Next Article in Journal
CollabABILITY Cards: Supporting Researchers and Educators to Co-Design Computer-Supported Collaborative Learning Activities for Deaf Children
Previous Article in Journal
Climate Variability, Temporal Migration, and Household Welfare among Agricultural Households in Tanzania
 
 
Font Type:
Arial Georgia Verdana
Font Size:
Aa Aa Aa
Line Spacing:
Column Width:
Background:
Article

Can Circular Economy Legislation Promote Pollution Reduction? Evidence from Urban Mining Pilot Cities in China

1
School of Business, Taizhou University, 1139 Shifu Road, Taizhou 310008, China
2
School of International Economics and Trade, Jiangxi University of Finance and Economics, Nanchang 330013, China
*
Author to whom correspondence should be addressed.
Sustainability 2022, 14(22), 14700; https://doi.org/10.3390/su142214700
Submission received: 14 September 2022 / Revised: 12 October 2022 / Accepted: 3 November 2022 / Published: 8 November 2022

Abstract

Major economies, such as the United States, European Union (EU), Japan, and China have enacted Circular Economy Promotion Laws (CEPLs) to promote the development of the recycling industry. The Urban Mining Pilot Policy (UMPP) is an essential provision of the CEPL in China, which promotes a circular economy and environmentally friendly industries and society. In China, the Urban Mining Pilot City (UMPC) program facilitates the addressing of the negative environmental impacts of industrial and urban waste, and conservation of scarce primary resources, which are necessary for sustainable industrialization and urban sustainability in developing countries. In the present study, a time-varying difference-in-difference analysis of city-level panel data was conducted to investigate the impact of the UMPC program on pollution reduction in China. The results indicated that the UMPC program has improved municipal waste management efficiency and environmental quality significantly, with robust results across various models and datasets. Additionally, the mediation test showed the positive impacts of the UMPC program are mainly associated with the economy-of-scale effects. Finally, the UMPP had geographical and social-economic heterogeneous effects. To the best of our knowledge, this is the first study to quantify the impact of the UMPC program on recyclable solid waste management and pollution reduction in urban China, with potential contributions to resource and environmental economics.

1. Introduction

Environmental pollution caused by industrial solid waste (ISW) and municipal solid waste (MSW) is a significant challenge to sustainable urban economic growth. If improperly managed, recyclable ISW and MSW may severely damage the environment [1,2,3] and human health [4,5,6,7,8], or even undermine the strategies preventing virus outbreak especially during the COVID-19 lockdown period [9]. To address such challenges, governments globally have spared no effort to minimize the negative impacts of solid waste in urban areas. Rapid economic growth due to urbanization and industrialization generates tremendous demand for resource inputs, and there is an increasing dependence on material recycling due to environmental concerns and primary resource scarcity [10]. A circular economy facilitates the maintenance of a harmonized relationship between urban sustainability and environmental safety [11,12,13,14].
Major developed economies, such as the United States (US), European Union (EU), and Japan, have enacted the Circular Economy Promotion Laws (CEPLs) to promote the development of the recycling industry [15,16,17] (see Appendix A Table A1). The US enacted the Resource Conservation and Recovery Act in 1976 and enacted the Pollution Prevention Act in 1990. The US federal and state governments have also promoted policies conducive for the development of circular economies. For example, California passed the Integrated Waste Management Act in 1989, which required that 50% of waste be disposed of through source reduction and recycling by 2000, and cities that failed to meet the requirements would be subject to an administrative fine of $10,000 per day. Since 2011, the US has also been frequently developing or amending policies in the areas of taxation, production, supply chain, and recycling. For instance, the US House of Representatives has proposed amending the Internal Revenue Code of 1986 to provide tax breaks for businesses that mine, recover, or recycle critical minerals and metals within the United States. In addition, the Department of the Interior is required to establish a $10 million pilot fund and ensure that no less than 30% of the funds are allocated to secondary recycling of critical minerals and metals.
In 1972, Germany enacted and implemented the Waste Disposal Act to manage waste generated in production and consumption. In 1991, Germany enacted the Packaging Waste Disposal Act, which required manufacturers and retailers to reduce and recycle packaging for goods, in an effort to reduce the pressure on landfills and incineration. Furthermore, in 1994, Germany published the Circular Economy and Recycling Act to facilitate the development of a circular economy. In 1975, the Council of the European Communities adopted the Waste Directive. Later, the EU adopted the End-of-Life Vehicles Directive and the End-of-Life Electrical and Electronic Equipment Directive in 2000 and 2003, respectively. Compared to the US and Germany, Japan has adopted the strongest degree of government regulation on urban mining development and the circular economy. In 2000, the Japanese government promulgated and implemented Basic Law for the Establishment of a Recycling-oriented Society. As the most proactive country in promoting CEPL [18], China established numerous circular economy industrial parks and initiated the Urban Mining Pilot City (UMPC) (China’s national development and reform commission (NDRC) and the ministry of finance (MOF) initiated the sequential construction of UMPC’s in different cities to alleviate the increase in recyclable wastes generated from industrial and municipal solid waste to foster sustainable urbanization) program in 2010 under the guidelines of the urban mining pilot policy (UMPP) (The Chinese central government enacted the urban mining pilot policy (UMPP) to conserve resources and protect the environment. The UMPP also aims to foster comprehensive recovery and utilization capability of various types of wastes such as municipal waste, urban construction waste, general industrial solid waste, and hazardous solid waste (NDRC, 2010). The UMPP is a milestone of the circular economy industry in China. It is the first national industrial promotion and stimulus policy package targeting circular economy. The majority of previous policies are regarding environmental regulations) to promote a circular economy [18,19].
The present study investigates the impact of the UMPC program on urban environmental performance and waste service efficiencies in China. We found the adoption of the UMPC program improves waste management efficiency and environmental quality. The environmental quality, measured based on sulphur dioxide (SO2) emissions and particulate matter 2.5 (PM2.5) density, was improved significantly in UMPCs. The results are robust in several tests, including the difference-in-difference model (DID), difference-in-difference-in-differences model (DDD), propensity score matching and the time-varying difference-in-difference model (PSM-DID). Furthermore, the mediation test shows that economic scale effect, instead of the technology and component effects, is the main pathway for improvement of municipal waste treatment efficiency and environmental quality.
Urban mining has a positively impact on environment and itcan be more cost-effective than virgin mining [20,21]. According to Reck and Graedel [22], mining “urban ore” may reduce virgin metal extraction. As a result, the concept of urban mining (UM) emerged [23] and countries globally are currently actively involved in resource conservation and waste recycling to prevent resource depletion [23,24]. UM refers to metal and resource recovery from anthropogenic sources [25]. Until recently, Krook and Baas [26] defined UM as “the extraction of secondary metal resources from obsolete or accessible reservoirs in urban areas inside city borders.” UM facilitates the achievement of long-term environmental protection, resource conservation, and economic benefits via systematic management of anthropogenic resources and recovery of compounds, energy, and elements from products, buildings, and waste generated from urban catabolism [27]. Compared to primary mine mining, UM can reduce urban waste pressure, increase energy conservation, and reduce pollutant emissions [28]. UM plays an essential role in easing resource scarcity, ensuring resource supply security, and reducing natural resource exploitation [29].
As the second-largest economy in the world, China has experienced rapid industrialization and urbanization, which has led to resource exhaustion and severe environmental pollution [30,31,32]. Large amounts of recyclable wastes are generated in urban areas. UM has attracted considerable attention from the academic and industrial sectors since it allows for the recovery of rare and precious metals, and provides environmental protection [26,33]. To mitigate environmental pollution, the Chinese central government has promulgated UMP to balance economic growth, save resources, and protect the environment. UMP aims to foster comprehensive recovery and utilization capability of various types of waste, such as municipal waste, urban construction waste, general industrial solid waste, and hazardous solid waste (NDRC, 2010). Due to the associated rapid economic growth and urbanization, China has collected 0.38 billion tons of waste material (Waste material refers to 10 main types of secondary materials including waste steel, waste ferrous metal, waste plastic, waste tyre, waste paper, waste electric and electronic products, end-of-life vehicles, waste textile products, waste glass, and waste batteries.) in year 2021 (see Figure 1).
The UMPC program is a circular economy development model based on “Reduce, Reuse, and Resource” (3Rs) [34]. Since 2010, China has introduced the UMPC program and tested it in a range of cities to promote resource recycling industrial development and improve resource utilization [29]. During 2010 and 2015, six batches of UMPCs were established in 49 cities (see Appendix A Table A2). Five to fifteen cities were selected as the UMPCs in each year. UMPCs were established in local industrial parks where industrial agglomeration and the industrial chain had reached an appropriate scale for a complete recycling network. Companies in the park where the UMPCs were established shared infrastructure, logistics facilities, and information service facilities. Therefore, waste materials and by-products of industrial enterprises could be efficiently used and exchanged, which reduces freight costs and enhances industrial waste management efficiency. Five provinces, (i.e., Tibet, Yunnan, Qinghai, Hainan, and Jilin) do not have UMPCs. Ten provinces have established one UMPC, and eight have established three UMPCs. Following the standard method of regional distribution of the National Bureau of Statistics of China, we divided 31 provinces into four regions: eastern, central, western, and northeast [35]. The majority of the provinces with UMPCs are located in the east (see Figure 2).
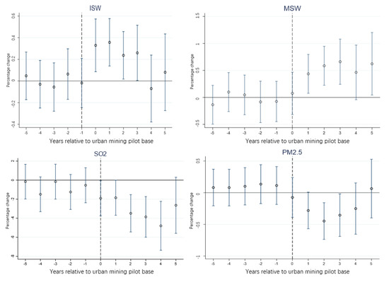
The central government initially provides guidelines for UMPC applications, and municipal cities with industrial parks are eligible to apply. The central government then provides financial grants and other supports to applicants that satisfy the requirements. Such requirements include a complete system and recycling technology for a circular economy. In the present study, the policymakers and applicants were unaware of which applicant was to be selected. However, the central government is more likely to allocate a UMPC project to a city with a relatively larger urban size, and which generates relatively more waste. Second, UM improves the recovery rates of ISW and MSW [21,29,36]. The preconditions for cities applying for a UMPC project are independent of its environmental quality; in other words, the environmental quality of the UMPC and whether or not a city will be selected as a UMPC are independent. The environmental pollution of a city (such as that caused by particulate matter with an aerodynamic diameter ≤ 2.5 µm [PM2.5] and dust) does not influence the central government’s selection of a UMPC. Therefore, a study on the impact of establishing a UMPC on the city’s environmental quality conforms to the principles of the natural experiment (The figure of parallel test using Event Study Approach-DID is show in Appendix A Figure A1).
This study was innovative in that it treated the establishment of UMPCs as a quasi-natural experiment of circular economy legislation to mitigate environmental pollution and contributes to the existing knowledge on resource and environmental economics, particularly regarding the circular economy and urban sustainability.

2. Literature Review

Government intervention impacts environmental quality significantly [37]. Many studies have explored the roles of government regulation and policies in pollution reduction in urban areas [18,19,38]. For example, China’s water pollution reduction mandates reducing water pollution and total factor productivity (TFP) of the factories upstream of the Yangtze River [39,40]. During the 2008 Olympic Games, environmental protection policies improved air quality and reduced the infant mortality rate dramatically [41]. As another example, the highway toll plays an essential role in mitigating air pollution [42]. Government intervention related to recyclable waste recycling is also considered very important [43]. The theory of planned behavior (TPB) suggests that pro-recycling attitudes determine recycling intention and behavior [1,44]. Government intervention in waste recycling is inevitable since its economic value is less than its financial cost [45]. Waste-pickers cannot sufficiently solve waste problems without government intervention [46]. Similarly, Asase [3] asserts that an adequate legal framework positively contributes to waste management. Furthermore, a lack of environmental policy [47] and weak enforcement of governmental regulations deteriorate solid waste management [48], e.g., weak law enforcement induces illegal dumping [49].
UM is an essential part of a circular economy [37,50,51,52,53]. However, few studies have investigated its impacts on ISW and MSW recycling and pollution reduction. Waste recycling, recovery, and reuse recover resources and redirect waste into production cycles, which provide vital environmental services to the local communities [50,54,55]. Previous studies on waste management efficiency (such as the recycling rate) have focused on socio-economic factors (e.g., GDP per capita and economic size), demographic characteristics (e.g., population density), technology levels, household-related socioeconomic factors (e.g., household participation rates, education, financial status, etc.) [56], and waste management systems [57,58,59].
Previous studies on solid waste generation and recycling have demonstrated the application of highly varied modeling techniques, including regression modeling [60], time-series analysis [61,62], system dynamics [63], and spatial panel modeling [64]. Panel data modeling [65] and case studies [66] have been used to investigate the effects of environmental regulations and policies on ISW disposal. The difference-in-difference-in-differences (DDD) framework [40], regression discontinuity design (RDD) [67], and DID method [42], have been used to analyze the impacts of government regulation on pollution reduction and environmental protection. Most studies have focused on the recycling rate or reuse rate of certain factors, and few have quantified the effect of a recycling policy on environmental quality. To the best of our knowledge, this is the first study to elucidate the impact of the UMPC program on urban pollution reduction using the time varying DID model.
The UMPC program was established to increase the extraction of recycled copper, aluminum and lead; recover waste plastics; reduce external dependence on critical natural resources (e.g., iron ore and petroleum); ensure national economic security; and solve environmental pollution problems. Recycling results in considerable resource conservation [68] and pollution reduction [29,69]. For example, the recovery of desktop computers and notebooks reduces resource consumption by 80% and 87% compared to primary mining. Existing research on UM has mainly centered on investigating the quantities, scales, and spatial location of metal stocks [70] and on the economic and environmental motivations for cable recovery [10]. Existing studies have contributed greatly to the understanding of the development of the Chinese circular economy. However, despite the importance of UM in industrial and urban waste treatment, only a few studies have investigated the impacts of UM on waste recycling efficiency and pollution reduction in urban areas. Most studies on UM report qualitative analyses, and few have adopted empirical methods to conduct in-depth studies on the impact of CEPL, especially the set-up of UMPC, on pollution reduction, and on resource recycling in urban areas. In addition, there is still no clear evidence on whether UMPC contributes to urban pollution reduction or resource constraints in China. This study addresses this knowledge gap and further reveals the significance of the UMPC program in pollution reduction and in fostering urban sustainability.

3. Data and Model Specification

3.1. Data and Variables

The study utilized annual datasets of 276 municipalities in 31 provinces from 2003 to 2016 which were obtained from the China City Statistical Yearbook (CCSY, 2004–2017). The PM2.5 data for the cities were obtained from the Beijing City Lab. In selecting the treatment group and control groups, several raw data adjustments were made to reflect the administrative change that has occurred in prefecture-level cities in China (Chaohu City in Anhui was revoked and changed to a county-level city in 2011. In 2012, the yearbook no longer contained data for Chaohu City; therefore, Chaohu City was excluded. Since 2011, Bijie and Tongren in Guizhou were newly established. Ten prefecture-level cities have been established since 2012, including Sansha in Hainan, Haidong in Qinghai, Rikaze and Changdo in Tibet, Danzhou in Hainan, Linzhi in Tibet, Turpan and Hami in Xinjiang, and Shannan and Naqu in Tibet). Lhasa in Tibet was excluded due to a lack of relevant data. The two dependent variables in this analysis were the waste recycling rate and environmental performance. First, according to Zhou et al. [71], the ISW regeneration rate was selected because it impacts the ISW recycling capability of a UMPC. The potential for reduced ISW pollution increases as the ISW reuse rate increases. Secondly, the MSW reuse rate is used to reflect the environmental protection efforts of local governments.
Additionally, for a robust test of the impacts of a UMPC on pollution alleviation, other variables (e.g., industrial sulfur dioxide [SO2]) were selected as indicators of the environmental pollution level. Effects of policy on air quality were compared in terms of changes in the PM2.5 concentration. Detailed explanations for the selection of dependent and independent variables are as follows:
ISW regeneration rate. Following Zhou et al. [71], we used the ISW regeneration rate to imply the recycling ability of a UMPC. The implementation of UM tends to increase the ISW reuse rate.
MSW. As discussed above, MSW was defined as the MSW reuse rate in each city in China. It reflects the local government’s effort in protecting the environment.
Environmental pollution (SO2 and PM2.5). In accordance with the existing literature, the annual volume of industrial SO2 emissions and average annual PM2.5 density were used as environmental pollution measures. Control variables were selected to indicate the characteristics of a municipality, including the industrial structure, population density, and real foreign direct investment.
Unit GDP energy (UnitE). The authors measure unit GDP energy at the prefecture-level city level to represent energy efficiency. At present, the Chinese government only publishes energy consumption data of major cities, and the China Urban Statistical Yearbook data only discloses the data of consumption of electricity, gas, and liquefied petroleum gas in prefecture-level cities. Due to data constraints, this paper assumes the proportion of total urban energy consumption is the same as that of the provincial level, and the energy consumption units are uniformly converted into 10,000 tons of standard coal.
Industrial structure was represented by the ratio of secondary industry GDP to total GDP. Secondary industries generate ISW along with emissions of pollutants such as SO2 and PM2.5.
Population Density. Urbanization increases the consumption of various goods, which then increases the volume of MSW. Since high population density is associated with increased MSW generation, the total population per km2 was selected as a population density indicator.
Real foreign direct investment (FDI). FDI has spillover effects such as the transfer of advanced technology and management skills [72,73,74]. However, inward FDI often occurs in industries that are not environmentally friendly and have high energy consumption and may influence the environmental quality of the host country [75]. Developing and less developed cities attract more pollution-intensive manufacturing sectors, which can result in severe pollution [76]. Real FDI is represented by utilized foreign capital. Several variables were selected to test how UMPC improves regeneration efficiency of MSW and environmental quality.
Scale effect (GDP). The real GDP of each city was used to measure the scale effect. To control for inflation, GDP values were deflated according to the 2003 consumer price index. Composition effect (CMP). Given the limited availability of data, CMP was calculated using the ratio of cargo transportation volume to the total transportation volume multiplied by the second industry ratio to total GDP output. Technology effect (Tech). The calculation of Tech was the ratio of cargo transportation to total transportation multiplied by the percentage of cargo transportation to total GDP of the secondary industry. Generally, pollution decreases as technology develops [77,78,79]. Table 1 shows the selection and calculation of the variables used in this study. The detailed calculation can be found in Section 3.2.4. Panel unit root test and panel co-integration test were carried out prior to empirical analysis and the results are presented in the Appendix A (see Appendix A Table A3 and Table A4).

3.2. Model Design

3.2.1. Baseline DID Model

The analysis of the UMPs in this study was analogous to a quasi-natural experiment. Many factors may affect the rate at which ISW is comprehensively utilized in pilot cities. According to Li and Li [80], the differences between the treated and control groups were compared to evaluate the policy effects before and after the policy implementation by controlling other factors. This study used the DID method to exclude general factors that affect ISW utilization, e.g., changes in environmental protection policies and regulations. The principle of DID is to define a “treatment group” that has received a policy treatment and a “control group” that has not received a policy treatment. The treatment group was defined as UMPCs established during 2010 and 2015, and the control group was defined as non-UMPCs. This setting automatically generates a treated group and a control group. If a city is batched as a pilot city in year t, it is marked as 1; otherwise, it is marked as 0. A time-varying DID model was set up based on the baseline regression model.
P o l l u t i o n c t = α + β D c t + γ X c t + A c + B t + ε c t
In Equation (1), P o l l u t i o n c t is a dependent variable including the ISW reuse rate, MSW reuse rate, industrial SO2 emissions, and PM2.5 density in city c in year t . The A c and B t are vectors of dummy variables for city and year that account for fixed effects of city and year. The X c t is a set of time-varying city-level controlled variables, and ε c t is the error term. The core variable is D c t , which is a dummy variable denoted by treat*post; D c t is defined as 1 in the years after city c is set as a UMPC and otherwise the value is 0. Coefficient β is used to examine the effects of UMPC on pollution reduction and sustainable urbanization.

3.2.2. PSM-DID Model

To avoid overestimating the impact of the UMPC on urban pollution reduction, we used the PSM-DID model by selecting cities with similar characteristics such as population size, GDP, and real FDI. Based on Equation (1), PSM-DID was used to obtain a robust estimation based on the regression model results. First, the PSM was used to identify the control group with the closest match of characteristics with the treatment group; second, the treatment group and the matched control group were used to perform DID regressions, as shown in Equation (2), and the meanings of variables in Equation (2) are similar to those in Equation (1).
P o l l u t i o n c t P S M = α + β D c t + γ X c t + A c + B t + ε c t  

3.2.3. DDD Model

Additionally, the DDD method was performed to verify the impacts of UMPC on urban pollution reduction in China. Another “treatment group” and “control group” were required to perform the DDD method. The treatment group comprised provinces that have established UMPCs, and the control group are provinces that have not established UMPCs.
P o l l u t i o n c t = α + β 1 D c t + β 2 D c t × G r o u p + β 3 G r o u p + γ X c t + A c + B t + ε c t
In Equation (3), variable Group is a dummy variable. A sample city in a province where UMPC had been implemented was assigned a value of 1, otherwise 0. Other control variables were the same as in Equation (1).

3.2.4. Mediating Effects Test

According to Antweiler et al. [2], the effects of industrial development on environmental pollution were divided into three products: scale, composition, and technology effects. Scale effect indicates industrial pollution led by economic development. Composition effect is pollution driven by changes in industrial structure, including composition changes in agriculture, manufacturing, and tertiary industries that generate different pollution levels and affect the environment. Technology effect implies that newly introduced technology will positively reduce environmental pollution by lowering pollutant emissions.
According to Cherniwchan et al. [81,82], this study investigated the relationship between industrial development and pollution. Consider an economy with aggregate pollution emissions Z generated by N industries. Each industry i emits Zi units of pollution. Let Si denote the scale of production in industry i. The aggregate emissions of the economy can be written as follows:
Z = i 1 N S i E i
  • where Z is the total emissions generated by N industries in the economy and where Zi is the total volume of pollution produced by each industry, and Si is the production scale of industry i (i.e., value-added during the period).
  • where E i = Z i S i , E i is the emissions intensity of industry i (i.e., industry emissions i divided by the added value of industry i). The logarithm and differentiation of Equation (4) gets logZ = S i + E i , as follows:
Z ^ = S ^ + i = 1 N z i s i + i = 1 N z i E i
Equation (5) is an industry-level decomposition based on the model used by Copeland and Taylor [83], and Jin et al. [84]. The estimation of industrial pollution is based on a sector’s size, composition effect, and pollution density. In Equation (5), Z ^ is industrial pollution intensity, S ^ is industrial scale, i = 1 N z i s i is the sum of industry emissions multiplied by the industry value added ratio, and i = 1 N z i E i equals is the sum of industry emissions intensity multiplied by Ei and emissions divided by added-value of industry i (The pollution caused by agriculture is not considered in the calculation. First, agriculture is not considered important in our study, and the pollution to the environment is relatively low. Levels of pollutants, such as PM2.5, SO2, ISW, and MSW in agriculture are negligible when compared with levels in secondary and tertiary industries. In addition, the carbon emissions data for agriculture are very difficult to obtain.). Based on the above development, we can further obtain the following:
S = i = 1 N S i
where S denotes to the output scale of the entire economy measured in real GDP.
s i = S i / S
In Equation (7), s i is the ratio of added value in the industry as a share of the final output of the total economic output.
z i = Z i / Z
In Equation (8), z i is the ratio between the emission of industry i and the whole emission.
Pollution changes are decomposed into three effects. The scale effect represents the change in pollution due to a change in overall economic activity; the composition effect reflects the change in pollution due to changes in the composition of economic activity across industries; and the technique effect reflects changes in the emissions due to technological innovations.
According to Cherniwchan et al. [81], suppose each industry i has a continuum of firms of the interval [0, n i ], where n i is the marginal firm that is endogenously determined by the industry’s profitability. Let z i n denote the emissions produced by firm n. The aggregate emissions of the industry can be formulated as:
Z i = 0 n i z i ( n ) d n
Let v i ( n ) , denote the value added of industry i. The output scale can be defined as:
S i = 0 n i v i ( n ) d n
The emission intensity of industry i can be written as:
E i = Z i S i = 0 n i e i ( n ) φ i ( n ) d n
where e i ( n ) = z i ( n ) v i ( n ) is the emission intensity of firm n, and φ i ( n ) = v i ( n ) S i is the contribution of firm n to the total value of production in industry i.
To test how a UMPC affects pollution alleviation, we further discuss mechanisms of the impact of industrial development on environmental pollution via the mediating effect model [85]. Equations (12)–(14) are the recursive equations used to analyze mediating effects:
P o l l u t i o n c t = α + β D c t + γ X c t + A c + B t + ε c t
M e d i a t o r c t = α + β D c t + γ X c t + A c + B t + ε c t
P o l l u t i o n c t = α + β 1 D c t + β 2 M e d i a t o r c t + γ X c t + A c + B t + ε c t
where M e d i a t o r c t in both Equations (13) and (14) is the mediating variable to be tested which is denoted as scale effect (lngdp), composition effect (lncomp), and technology effect (lntech) in grouping regressions, other variables are the same as for Equation (1).

4. Empirical Results

4.1. Impact of the UMPC on Pollution Reduction

According to the baseline regression results, the UMPC affected environmental performances significantly, as indicated by many variables, including the comprehensive ISW and MSW utilization rates, industrial SO2 release, and PM2.5 density. Implementation of the UMPC reduced urban environmental pollution significantly, including by increasing the ISW utilization rate by approximately 2.68% and MSW reuse rate by 13.60%, and reducing industrial SO2 emissions and PM2.5 concentrations by 0.36% and 0.87%, respectively (see Table 2).

4.2. PSM-DID Method

Due to the heterogeneity among cities in China, we also applied the PSM approach presented by Rosenbaum and Rubin [86] to avoid potential bias by pairing treatment cities with similar observed attributes from the control group attributes. The results support the hypothesis test that there is no significant difference between the covariates after matching. The kernel density function curve was drawn after matching the propensity scores of the treatment and control groups (see Figure 3 below).
According to Figure 3, prior to PSM, the control group was more dispersed whereas the treatment was more concentrated. The probability density distribution of the propensity score values differed substantially between the two groups. After matching, the probability density distributions of the two groups tended to be similar, i.e., the matching procedure resulted in two groups of sample cities with very similar characteristics. Therefore, selection bias was essentially eliminated.
The PSM-DID estimation results showed that the core explanatory variables (denoted as Dit) that captured the effects of different periods had significant regression coefficients in each model. Table 3 indicates that the UMPC significantly increased the ISW utilization by 1.63% and MSW reuse rate by 13.17%. The results also show that UMPC decreased industrial SO2 emissions and PM2.5 density by 0.429% and the 1.02%, respectively (see Table 3).

4.3. DDD Method

Table 4 presents the average treatment effects estimated by the DDD method. Average values were generally consistent with the DID and PSM-DID results, indicating that the UMPC improved the ISW and MSW utilization rates substantially, by 3.428% and 15.44%, respectively. Additionally, the UMPC reduced industrial SO2 emissions significantly, by 0.367%, and PM2.5 concentrations by 1.154%. The empirical data confirm that the UMPC program in China has achieved pollution reduction, and mechanisms of reduction in pollution were emissions reductions and increases in the waste treatment rates.

4.4. Robustness Test

We expected that the influence of other environmental policies (i.e., zero-waste pilot city program) would introduce unnecessary complexity in estimating the impact of a UMPC program on urban pollution reduction and result in overestimation or underestimation of the benefits of the UMPC. To avoid the problem, the analysis considered policies implemented after UMPP. The central government of China has promulgated a series of environmental protection policies to reduce environmental pollution since 2013 [34]. Consequently, the impact of a UMPC on pollution reduction may be overestimated. To accurately estimate the effect of UMPC, we used year 2013 as a dummy variable and the benchmark. If the inclusion of this dummy variable revealed no substantial effect of the UMPC in reducing urban pollution, then the UMPC had no effect on reducing pollution. However, if the UMPC was associated with a significant reduction in pollution, but the coefficient was reduced, the previous estimation results may have overestimated the effect of the UMPC in reducing pollution; alternatively, it would indicate high robustness of the previous estimation results.
After adding the year 2013 policy dummy variable, the estimation results showed that the 2013 policy significantly reduced urban pollution. According to the regression results (see Table 5), the UMPC still considerably increased MSW reuse rate, reduced the PM2.5 density, and SO2 density level. The regression results indicate that previous regression analyses indeed overestimated the role of UMPC in pollution reduction; however, the marginal effect was noticeable only in terms of ISW reuse rate. The significant decrease in pollution suggests high robustness of the estimation results.

4.5. Mediating Effect

This study also investigated the mediating effects related to the impact of the UMPC on ISW and MSW, and other environmental effects. Specifically, the roles of scale, composition, and technology were investigated to determine their mediating effects on the impacts of the UMPC on resource recovery and pollution reduction. Appendix A Table A5 shows that the scale effect had a significant mediating role in increasing the MSW utilization rate and alleviating SO2 emissions and PM2.5. However, the impacts of components and technology effects were not substantial. Therefore, we believe that the primary mechanism via which the UMPC improves ISW and MSW recycling rates and reduces urban pollution is economic scale effects (We only provide the results of economy-of-scale in the mediation test, since technology and composition effects were not significant in the mediation test. The information is provided in the Appendix A (Table A5).).

5. Heterogeneity Analysis

Based on the analysis of the impact of UMPC on waste management efficiency and pollution reduction, the effect on the MSW reuse rate was determined to be much higher than that of ISW reuse rate. To explain the causative factors, we further classify China into three traditional geographic locations (i.e., east, central, west, and northeast) combined with the classification according to the size of cities, (Municipal cities were divided into five categories: Mega cities (population > 10 million), large cities (5million < population < 10million), big cities (1 million < population < 5million), medium cities (0.5 million < population < 1million) and small cities(0.1million < population < 0.5million).) and conducted a comparative analysis of the cities in the country, as described below.

5.1. Regional Heterogeneity

Urban pollution is mainly determined by economic development level, industrial structure, and environmental governance. Generally, eastern regions of China have the highest intensity of environmental governance because they have the most advanced economic development. Additionally, changes in the industrial structure of eastern region have enabled the rapid growth of tertiary industries. Therefore, pollution is relatively low in the eastern regions than in regions with traditional industries such as manufacturing and textile industries, which are characterized by severe pollution levels and high energy consumption. Heavy industry in the northeast region has aggravated local environmental pollution [87,88]. However, due to the widely varying severity of environmental pollution in China and the numerous contributing factors in environmental pollution, this study further investigated whether the effect of the UMPC on pollution reduction was regionally heterogeneous.
The heterogeneity test results (Table 6, Panel A) reveal three main findings: (1) the UMPC increased the ISW and MSW reuse rates in northeastern cities significantly; (2) the UMPC increased the MSW reuse rate significantly, but not the ISW reuse rate, in central and western regions; and (3) the UMPC did not increase the ISW or MSW reuse rates significantly in the eastern region. According to Table 6 (Panel B), the UMPC reduced industrial SO2 emissions in central, western, and eastern regions significantly but not in the northeastern region. As for PM2.5, the UMPC decreased PM2.5 concentrations significantly in both west and central regions, but not in eastern or northeastern regions. Consistent with Brunner (2011), a possible reason is that some of the municipal cities in the northeast region were reducing in size, and aging materials were becoming obsolete and being recycled due to population loss and economic downturns. However, the fast-growing eastern region was experiencing a growing material input, and solid construction materials accumulated in urban areas but were not ready for recycling. As for the middle and west region, most municipal cities were in a steady state, where these solid waste materials may be recycled in the future.

5.2. City-Scale Heterogeneity

The above analysis shows that the UMPC reduced pollution significantly by reducing industrial SO2 emissions and PM2.5 density. Additionally, the UMPC improved the ecological environment by enhancing ISW and MSW reuse rates. However, a persisting issue in this study was whether the impact of a UMPC on pollution reduction differs along with the size of the city; if so, whether the pollution reduction effect is heterogeneous. This question was raised because the increased economic agglomeration in large cities is advantageous in terms of resource allocation and utilization efficiency. Large cities also tend to have higher pollutant emissions and more severe ecological deterioration. In contrast, small cities have relatively lower pollutants concentrations. To address this problem, this study compared the pollution reduction effects in UMPCs of different sizes.
The empirical results show that UMPCs had great pollution reduction effects in small- and medium-sized cities in the northeast region, where heavy industry accounts for a larger proportion of the local GDP. In such regions, environmental improvements were achieved by the improvement of ISW reuse rate and enlarging the ISW reuse rate gap between UMPCs and non-UMPCs in small- and medium-sized cities.
The results in Appendix A Table A6 (Panels A and Panel B) show the following: In medium- and small-scale cities, the UMPC increased the ISW and MSW reuse rates significantly and reduced industrial SO2 emissions substantially, but did not decrease the PM2.5 level; second, for megacities, the UMPC increased ISW and MSW reuse rates but has insignificant effects on industrial SO2 emissions or PM2.5 levels. This may be due to the excessively high pollutant levels in the economic development of megacities emissions; third, in large cities, the UMPC alleviated industrial SO2 emissions and PM2.5 concentration significantly, but had no significant effects on the ISW or MSW reuse rates; lastly, for big cities, the UMPC improved the MSW reuse rate significantly and reduced both industrial SO2 emission and the PM2.5 concentration significantly, but did not increase the ISW reuse rate.

6. Discussion

Based on panel data of 276 cities from 2003–2016, this study investigated the impact of UMPCs on urban pollution reduction in China. The empirical results suggest that UMPCs conserve substantial metal resource supplies via fostering recycling rates of ISWs and MSWs, mitigate pollutant emission, and foster urban sustainability after the CEPL implementation. The environmental quality, measured by SO2 emission and PM2.5 density, was improved in UMPCs.
The regression results based on the DID model showed that the implementation of UMPC in China since 2010 has improved the recycling rates of ISW and MSW in the pilot cities significantly, and effectively reduced SO2 emissions and PM2.5 density in pilot cities. To reduce the potential bias of the DID model, we adopted the PSM-DID model. The regression results based on the PSM-DID model were consistent with those of the DID model. The DDD model was further used to verify the regression results of both the DID and PSM-DID models, and the results of the DDD model once again demonstrated that the establishment of UMPC actually reduced the pollutant emissions and increased the recycling rates of both ISWs and MSWs in the pilot cities.
UMPC improves recycling of recyclable resources and fosters the circular economy since resource recycling is considered as the core basis of the circular economy [89]. UMPC projects have effectively reduced environmental pollution and alleviated metal resource constraints in Chinese cities. On the one hand, the establishment of UMPC can effectively reduce environmental pollution caused by solid wastes through centralizing the dismantling and processing of collected pollutants from urban areas. Urban mining forms a circular economy by effectively switching the traditional linear “resources-products-waste” mode to “resources-products-waste-renewable resources” mode, and complies with the core principle of “reduce, reuse, and resource” of the circular economy. On the other hand, the establishment of UMPC is an effective way of alleviating resource constraint in China. This is of great significance to China, since the country is still in the accelerated industrialization and urbanization stage. China’s rapid economic growth has led to a high demand for mineral resources; however, the lack of domestic mineral resources has led to a deepening of China’s external dependence on important mineral resources.
Notably, due to the variability of the industrial base, economic development level, and environmental regulation intensity among Chinese provinces and cities, there is regional heterogeneity in the impact of UMPCs on reducing environmental pollution and increasing solid waste recycling. Specifically, UMPC has the greatest effect on improvement of the recycling rate of ISW in the northeast region; however, the western region benefits the most from improving the recycling rate of MSW, followed by the central region, and then the northeast region. UMPC does not have a significant impact on improving the recycling rate of MSW or ISW in the eastern region. On the one hand, this may be due to the economic structure of the eastern region being more oriented to the tertiary industry, which makes the generated ISW and MSW relatively less; on the other hand, it may be due to the more intensive environmental regulations in the eastern region, and all stakeholders involved have a higher awareness of recycling due to higher economic development and income level.
In terms of reducing environmental pollution, the eastern region benefits the most in reducing SO2 emissions under the influence of UMPC, followed by the western and central regions; conversely, the western region benefits the most in terms of the PM2.5 indicator, followed by the central region. Overall, environmental pollution in the central and western regions has been improved more following the establishment of UMPCs, and the environmental pollution in the northeastern region has not been improved significantly following the establishment of UMPC. Therefore, China should actively summarize the successful cases and experiences of UMPC, make appropriate adjustments to the UMPC policy according to the actual status of each region, and develop reasonable incentives and policy inclinations to better promote the development of a circular economy.
This study has the following implications. First, the UMPC program is an example of a successful CEPL in China and should be adopted in other municipal cities. Developing or developed countries experiencing environmental pollution and resource shortages can also refer to the UMPC practice in China so that similar policies can be appropriately adopted under the unified arrangement and support from the government to resolve the conflict between economic development and environmental pollution. Meanwhile, as recyclable secondary resources imported from overseas have been strictly controlled or even banned in China, the central government is obliged to regulate to avoid repeated investment and negative competition among UMPCs. Although heterogeneity studies show that UMPCs substantially reduce pollution in small- and medium-sized cities in the northeastern and mid-western regions in China, the impacts on large cities and megacities in the eastern areas are limited. A possible reason for the above difference is that novel technologies for alleviating pollution have been widely adopted in the heavy industry in small- and medium-sized northeastern and mid-western cities to meet low carbon emission targets set by the central government. Therefore, the results of this study indicate that environmental policies (e.g., carbon exchange system versus tax incentives) adopted by the central government should be tailored to the unique environmental challenges of cities with varying sizes, at different locations, and with different economic scales. The conclusions are of great importance because they support the important role of UMPC in pollution reduction and avoid the scenario in which resource scarcity constrains rapid economic development.

7. Conclusions

Although economic reforms implemented in China since 1978 have facilitated many years of economic growth, the associated rapid urbanization and industrialization have generated tremendous amounts of pollutants, such as ISW and MSW, and impeded urban sustainability in the country. To better exploit UMPCs in promoting the circular economy, this study suggests that government support for circular industries in UMPCs should include preferential tax mechanisms for recycling-related entities, such as tax incentives and preferential tax policies. Additionally, due to local governments’ limited financial resources in small- and medium-sized cities, the government should consider increasing general transfer payments to UMPCs, particularly in the northeast region. Although this research used city-level panel data in China, these cities’ experiences and achievements in UM have implications for governments and stakeholders in other developing countries, since rapidly increasing industrial SO2 and PM2.5 density are global issues. The Chinese government must enact stronger policies to reduce SO2 emissions and PM2.5 density to combat urban pollution [90,91,92] because it is economically feasible [22]. The results of the present study contribute to existing literature on the recycling economy by improving the understanding of the relationship between UMPCs and urban sustainability. To expand the role of UMPCs in pollution reduction and ensure their sustained long-term development, China must implement further laws and regulations to raise the threshold for entry into the UMPC program in the private sector, to improve standardization of recycling practices, and to improve quality control.
This study had several limitations, which require further consideration. First, the recycling capacity of ISW and MSW among UMPCs, which is a critical factor in urban sustainability, was overlooked. Admittedly, evaluating the solid waste recycling capacity at city level is extremely difficult due to the lack of evaluation standards and data. However, such an analysis would achieve improved outcomes if these factors are considered and resolved. Second, this study covered cities of most provinces and did not incorporate a typical study on unique cities or regions, and economic and geographic features (i.e., mineral resources, industrial structure, and recycling behavior) may vary greatly across regions. This limitation could be addressed in future studies by considering inputs from geographic factors. Third, due to limited data availability, we were unable to draw an update on the impact of UMPC on the development of China’s circular economy today, especially considering China announced an ambitious pilot program for “waste-free cities” in 2019 aimed at minimizing solid waste generation and maximizing recycling in urban areas. The “waste-free city” pilot program may cause an overestimation of the impact of UMPC on pollution reduction and resource recycling. With access to updated and more complete data, studies can be carried out in the future to follow up on the impact of UMPC on reducing pollution and promoting recycling, to better analyze the impact of UMPC on the development of a circular economy in China. Finally, manufacturing enterprises in urban areas are the core force in implementing cleaner production; further research should be conducted from the perspective of enterprises, and company-level data should be adopted to determine the firm-level heterogeneity and mechanisms through which UMPC promotes the circular economy.

Author Contributions

H.S. designed this study, carried out the empirical work and the data analysis, wrote the literature review, and drafted the manuscript. Y.L. participated in the design of the study, made revisions and finalized this study. All authors have read and agreed to the published version of the manuscript.

Funding

This research was funded by Soft Science Program of Zhejiang Provincial Science and Technology Department, (grant number: 2020C35086), and Philosophy and Social Science Planning Key Project of Taizhou (grant number: 19GHZ01).

Institutional Review Board Statement

Not applicable.

Informed Consent Statement

Not applicable.

Data Availability Statement

The data that support the findings of this study are available from the corresponding author upon reasonable request.

Acknowledgments

The authors gratefully acknowledge the financial support received from the Soft Science Program of Zhejiang Provincial Science and Technology Department [Grant NO: 2020C35086] and from Taizhou City’s Philosophy and Social Science Planning Key Project [Grant NO: 19GHZ01], special thanks to the support of Taizhou 211 Talent Project and Taizhou University Young Talents Project.

Conflicts of Interest

The authors declare no conflict of interest.

Appendix A

Table A1. Urban Mining Legislations of Major Economies.
Table A1. Urban Mining Legislations of Major Economies.
YearUrban Mining LegislationsCountryPurpose
1976Resource Protection and Regeneration LawU.S.Resource protection
1990Pollution Prevention ActU.S.Reduce waste generation
1972Waste Treatment LawGermanyIncrease recycling rate
1991Packaging Waste Disposal ActGermanyReduce and recycle packages for goods
1994Circular Economy and Waste Management LawGermanyIncrease recycling rate
1975Waste DirectiveEuropean CommunityPrevent waste generation
2000End-of-life Vehicles DireciveE.U.Promote recycling
2003End-of-Life Electrical and Electronic Equipment DirectiveE.U.Promote recycling
1970Waste Treatment LawJapanIncrease recycling rate
2000Basic Law for the Establishment of a Circular EconomyJapanPromote circular economy
1987Notice on Several Issues Concerning the Further Development and Utilization of Renewable ResourcesChinaPropose renewable resources as a part of laws and regulations
1995Law of the People’s Republic of China on the Prevention and Control of Environmental Pollution by Solid WastesChinaMake full use of non-hazardous solid wastes as a precaution against the environmental pollution
2002Law of the People’s Republic of China on the Promotion of Cleaner ProductionChinaReduce waste generation and promote cleaner production
2002Several Opinions on Accelerating the Development of Circular EconomyChinaPromote circular economy
2008Recycling Economy Promotion LawChinaPromote circular economy
2010Notice on the Construction of UM Demonstration BasesChinaPromote UMPC
2010Accelerating the Cultivation and Development of Strategic Emerging IndustriesChinaEnsure resource supply, protect environment, and promote sustainable development
2011Regulations on the Management of the Recycling of Waste Electrical and Electronic ProductsChinaExtend producer’s responsibility
2015Circular Economy Promotion PlanChinaPromote circular economy
Table A2. The cities established UM pilot zone from 2010 to 2015.
Table A2. The cities established UM pilot zone from 2010 to 2015.
YearBatchCitiesUM Pilot Zones
2010First Batch7 citiesTianjin, Ningbo, Yueyang, Qingyuan, Fuyang, Qingdao, Neijiang
2011Second Batch15 citiesShanghai, Wuzhou, Xuzhou, Linyi, Chongqing, Hangzhou, Xiangfan, Dalian, Xinyu, Tangshan, Xuchang, Fuzhou, Yinchuan, Beijing, Dandong
2012Third Batch6 citiesFoshan, Chuzhou, Bazhou, Yangquan, Qitaihe, Chenzhou
2013Fourth Batch10 citiesJingmen, Yingtan, Nantong, Taizhou, Xingtai, Mianyang, Luoyang, Guiyang, Quanzhou, Xiamen
2014Fifth Batch6 citiesYantai, Baotou, Lanzhou, Kelamayi, Harbin, Yulin
2015Sixth Batch5 cities Taaizhou, Yichun, Huangshi, Baoding, Xianyang
Total 49 cities
Table A3. Panel data unit root test.
Table A3. Panel data unit root test.
LLCFisher-ADFPanel Unit-Root
VariableStatisticsp-ValueStatisticsp-Value
lnreuserate−1.95320.025428.67340.0000no
lnrubreuse−29.90540.000032.3480.0000no
lnso2−13.59420.000022.44570.0000no
lnpm25−38.36630.000028.06590.0000no
lnpopudens−13.16930.000018.21590.0000no
sigdprate−6.40680.000022.16250.0000no
lnrfdi−7.98570.000021.47290.0000no
lnGDP 16.3680.0000no
lnCompt 21.82020.0000no
lnTech 20.1140.0000no
Note: LLC means Levin and Lin and Chu unit root test; fisher-ADF means fisher-augmented-dickey-fuller unit root test.
Table A4. Panel co-integration test.
Table A4. Panel co-integration test.
(1)(2)(3)(4)
lnreuseratelnrubreuselnpm25lnso2
lnpopudens0.407 ***0.157 ***−0.617 ***1.497 ***
(297441.59)(293888.32)(−1606204.40)(1672897.36)
lnrfdi0.0128 ***0.00262 ***0.00504 ***0.0146 ***
(232337.12)(121556.58)(325434.87)(404089.94)
sigdprate−0.00816 ***−0.00429 ***−0.0131 ***0.0167 ***
(−371312.75)(−498454.97)(−2121419.31)(1159946.28)
_cons3.533 ***4.312 ***5.775 ***3.388 ***
(614444.96)(1913843.09)(3571938.78)(900053.07)
N13131313
Note: t statistics in parentheses; * p < 0.05, ** p < 0.01, *** p < 0.001.
Table A5. Mechanism test results with the mediation effect method.
Table A5. Mechanism test results with the mediation effect method.
(1)(2)(3)(4)(5)
ISWMSWSO2PM2.5lnGDP
Dit1.6507.554 **−0.257 ***−1.258 ***0.512 ***
(0.77)(2.21)(−2.954)(−2.766)(11.32)
lnGDP1.52612.106 ***−0.224 ***0.283
(1.01)(5.67)(−4.365)(0.90)
_cons−22.116−1.5e + 02 ***11.509 ***39.030 ***3.542 ***
(−0.722)(−3.145)(8.50)(5.66)(3.01)
N15681568156815681568
Notes: t statistics in parentheses, * p < 0.1, ** p < 0.05, *** p < 0.01.
Table A6. Heterogeneity test of waste management performance among different city scales.
Table A6. Heterogeneity test of waste management performance among different city scales.
MegaLargeBigMediumSmallMegaLargeBigMediumSmall
Panel A
(1)(2)(3)(4)(5)(6)(7)(8)(9)(10)
ISWISWISWISWISWMSWMSWMSWMSWMSW
Dit12.196 **1.3652.27812.988 ***20.434 ***12.770 *4.87615.606 ***45.012 ***21.940 *
(2.68)(0.52)(0.65)(5.14)(10.23)(1.78)(1.25)(2.72)(5.34)(2.72)
ControlsYesYesYesYesYesYesYesYesYesYes
_cons156.062 **−56.8660.965568.441 ***−35.07−250−13049.520607.112 ***−1.8e + 02 ***
(2.33)(−0.720)(1.08)(3.95)(−1.955)(−1.444)(−1.503)(0.72)(3.46)(−6.191)
N10548157630201054815763020
Panel B
(1)(2)(3)(4)(5)(6)(7)(8)(9)(10)
SO2SO2SO2SO2SO2PM2.5PM2.5PM2.5PM2.5PM2.5
Dit0.033−0.323 **−0.513 ***−0.619 ***−0.473 **−1.188−0.998 *−2.306 ***−0.1140.885
(0.20)(−2.074)(−2.735)(−8.801)(−4.112)(−0.927)(−1.678)(−4.486)(−0.117)(0.67)
ControlsYesYesYesYesYesYesYesYesYesYes
_cons6.710 **1.7677.113 **22.743 ***2.505 ***14.52341.204 ***14.34275.26040.294 ***
(2.59)(0.20)(2.18)(4.19)(8.47)(0.38)(6.83)(1.48)(1.26)(11.17)
N10548157630201054815763020
Note: t statistics in parentheses, * p < 0.1, ** p < 0.05, *** p < 0.01.
Figure A1. Parallel test using Event Approach Analysis and DID model.
Figure A1. Parallel test using Event Approach Analysis and DID model.
Sustainability 14 14700 g0a1

References

  1. Aboelmaged, M.; Mouakket, S. Influencing models and determinants in big data analytics research: A bibliometric analysis. Inf. Process. Manag. 2020, 57, 102234. [Google Scholar] [CrossRef]
  2. Antweiler, W.; Copeland, B.R.; Taylor, M.S. Is Free Trade Good for the Environment? Am. Econ. Rev. 2001, 91, 877–908. [Google Scholar] [CrossRef]
  3. Asase, M.; Yanful, E.K.; Mensah, M.; Stanford, J.; Amponsah, S. Comparison of municipal solid waste management systems in Canada and Ghana: A case study of the cities of London, Ontario, and Kumasi, Ghana. Waste Manag. 2009, 29, 2779–2786. [Google Scholar] [CrossRef] [PubMed]
  4. Chen, Y.-C. Effects of urbanization on municipal solid waste composition. Waste Manag. 2018, 79, 828–836. [Google Scholar] [CrossRef]
  5. Han, H.; Zhang, Z. The impact of the policy of municipal solid waste source-separated collection on waste reduction: A case study of China. J. Mater. Cycles Waste Manag. 2015, 19, 382–393. [Google Scholar] [CrossRef]
  6. Heyes, A.; Zhu, M. Air pollution as a cause of sleeplessness: Social media evidence from a panel of Chinese cities. J. Environ. Econ. Manag. 2019, 98, 102247. [Google Scholar] [CrossRef]
  7. Liu, H.; Salvo, A. Severe air pollution and child absences when schools and parents respond. J. Environ. Econ. Manag. 2018, 92, 300–330. [Google Scholar] [CrossRef]
  8. Lu, J.-W.; Zhang, S.; Hai, J.; Lei, M. Status and perspectives of municipal solid waste incineration in China: A comparison with developed regions. Waste Manag. 2017, 69, 170–186. [Google Scholar] [CrossRef]
  9. Ragazzi, M.; Rada, E.C.; Schiavon, M. Municipal solid waste management during the SARS-COV-2 outbreak and lockdown ease: Lessons from Italy. Sci. Total Environ. 2020, 745, 141159. [Google Scholar] [CrossRef]
  10. Krook, J.; Svensson, N.; Wallsten, B. Urban infrastructure mines: On the economic and environmental motives of cable recovery from subsurface power grids. J. Clean. Prod. 2015, 104, 353–363. [Google Scholar] [CrossRef]
  11. Chen, W.-M.; Kim, H. Circular economy and energy transition: A nexus focusing on the non-energy use of fuels. Energy Environ. 2019, 30, 586–600. [Google Scholar] [CrossRef]
  12. Govindan, K.; Hasanagic, M. A systematic review on drivers, barriers, and practices towards circular economy: A supply chain perspective. Int. J. Prod. Res. 2017, 56, 278–311. [Google Scholar] [CrossRef]
  13. Li, Y.; Wei, B.; Suo, A.; Zhang, Z.; Xu, Y.; Liang, Y. Spatial and Temporal Coupling Relationships of Coastline Exploitation and Environmental Carrying Safety in Ningbo, China. J. Coast. Res. 2020, 36, 1292–1301. [Google Scholar] [CrossRef]
  14. Xavier, L.H.; Giese, E.C.; Ribeiro-Duthie, A.C.; Lins, F.A.F. Sustainability and the circular economy: A theoretical approach focused on e-waste urban mining. Resour. Policy 2019, 74, 101467. [Google Scholar] [CrossRef]
  15. Hartley, K.; van Santen, R.; Kirchherr, J. Policies for transitioning towards a circular economy: Expectations from the European Union (EU). Resour. Conserv. Recycl. 2020, 155, 104634. [Google Scholar] [CrossRef]
  16. Kirchherr, J.; Piscicelli, L.; Bour, R.; Kostense-Smit, E.; Muller, J.; Huibrechtse-Truijens, A.; Hekkert, M. Barriers to the Circular Economy: Evidence From the European Union (EU). Ecol. Econ. 2018, 150, 264–272. [Google Scholar] [CrossRef]
  17. Vilamova, S.; Podlasova, A.; Piecha, M.; Janovska, K.; Sikyr, P.; Foltan, D.; Grosos, R. The conditions for implementing a circular economy in the Czech Republic. Acta Montan. Slovaca 2019, 24, 366–375. [Google Scholar]
  18. Hu, Y.; He, X.; Poustie, M. Can Legislation Promote a Circular Economy? A Material Flow-Based Evaluation of the Circular Degree of the Chinese Economy. Sustainability 2018, 10, 990. [Google Scholar] [CrossRef]
  19. Su, F.; Chang, J.; Li, X.; Zhou, D.; Xue, B. Urban Circular Economy in China: A Review Based on Chinese Literature Studies. Complexity 2021, 2021, 8810267. [Google Scholar] [CrossRef]
  20. Burneo, D.; Cansino, J.M.; Yniguez, R. Environmental and Socioeconomic Impacts of Urban Waste Recycling as Part of Circular Economy. The Case of Cuenca (Ecuador). Sustainability 2020, 12, 3406. [Google Scholar] [CrossRef]
  21. Zeng, X.; Mathews, J.A.; Li, J. Urban Mining of E-Waste is Becoming More Cost-Effective Than Virgin Mining. Environ. Sci. Technol. 2018, 52, 4835–4841. [Google Scholar] [CrossRef]
  22. Reck, B.K.; Graedel, T.E. Challenges in Metal Recycling. Science 2012, 337, 690–695. [Google Scholar] [CrossRef]
  23. Cossu, R.; Williams, I.D. Urban mining: Concepts, terminology, challenges. Waste Manag. 2015, 45, 1–3. [Google Scholar] [CrossRef]
  24. Kazançoglu, Y.; Ada, E.; Ozturkoglu, Y.; Ozbiltekin, M. Analysis of the barriers to urban mining for resource melioration in emerging economies. Resour. Policy 2020, 68, 101768. [Google Scholar] [CrossRef]
  25. Wittmer, D.; Lichtensteiger, T. Exploration of urban deposits: Long-term prospects for resource and waste management. Waste Manag. Res. J. Sustain. Circ. Econ. 2007, 25, 220–226. [Google Scholar] [CrossRef]
  26. Krook, J.; Baas, L. Getting serious about mining the technosphere: A review of recent landfill mining and urban mining research. J. Clean. Prod. 2013, 55, 1–9. [Google Scholar] [CrossRef]
  27. Ongondo, F.; Williams, I.; Whitlock, G. Distinct Urban Mines: Exploiting secondary resources in unique anthropogenic spaces. Waste Manag. 2015, 45, 4–9. [Google Scholar] [CrossRef] [PubMed]
  28. King, M.F.; Gutberlet, J. Contribution of cooperative sector recycling to greenhouse gas emissions reduction: A case study of Ribeirão Pires, Brazil. Waste Manag. 2013, 33, 2771–2780. [Google Scholar] [CrossRef] [PubMed]
  29. Wen, Z.; Zhang, C.; Ji, X.; Xue, Y. Urban Mining’s Potential to Relieve China’s Coming Resource Crisis. J. Ind. Ecol. 2015, 19, 1091–1102. [Google Scholar] [CrossRef]
  30. Kong, M.; Wan, H.; Wu, Q. Does manufacturing industry agglomeration aggravate regional pollution?—Evidence from 271 prefecture-level cities in China. Glob. Nest J. 2022, 24, 135–144. [Google Scholar] [CrossRef]
  31. Wang, X.; Zhang, Q.; Chang, W.-Y. Does economic agglomeration affect haze pollution? Evidence from China’s Yellow River basin. J. Clean. Prod. 2022, 335, 130271. [Google Scholar] [CrossRef]
  32. Zhao, J.; Yang, W.; Zhou, N.; Ain, Q.U.; Zhao, K. Measurement and space-time evolution of health level under constraint of environmental pollution, China: 2002–2016. Environ. Sci. Pollut. Res. 2020, 27, 26725–26741. [Google Scholar] [CrossRef]
  33. Zhou, C.; Huang, H.; Cao, A.; Xu, W. Modeling the carbon cycle of the municipal solid waste management system for urban metabolism. Ecol. Model. 2015, 318, 150–156. [Google Scholar] [CrossRef]
  34. Huang, M.; Carmichael, G.R.; Kulkarni, S.; Streets, D.G.; Lu, Z.; Zhang, Q.; Pierce, R.B.; Kondo, Y.; Jimenez, J.L.; Cubison, M.J.; et al. Sectoral and geographical contributions to summertime continental United States (CONUS) black carbon spatial distributions. Atmospheric Environ. 2012, 51, 165–174. [Google Scholar] [CrossRef]
  35. Zuo, L.; Wang, C.; Corder, G.D.; Sun, Q. Future trends and strategies of recycling high-tech metals from urban mines in China: 2015–2050. Resour. Conserv. Recycl. 2019, 149, 261–274. [Google Scholar] [CrossRef]
  36. Wang, C.; Lu, F.-H.; Sun, Q.; Zuo, L.-S.; Geng, H.-J. How do policies take effect in the development of the urban mining industry? A local capability perspective: Evidence from Miluo, China (2000–2017). J. Clean. Prod. 2019, 240, 118216. [Google Scholar] [CrossRef]
  37. de Romph, T.J.; Cramer, J.M. How to improve the EU legal framework in view of the circular economy. J. Energy Nat. Resour. Law 2020, 38, 245–260. [Google Scholar] [CrossRef]
  38. He, W.; Zhang, Y.; Zhong, Y.; Chen, J. The impact of income gap on the inverted U-shaped total factor productivity and its mechanisms: Evidence from transnational-level analysis. PLoS ONE 2020, 15, e0228023. [Google Scholar] [CrossRef]
  39. Cai, W.; Li, Y.; Wang, P.; Niu, L.; Zhang, W.; Wang, C. Revealing the relationship between microbial community structure in natural biofilms and the pollution level in urban rivers: A case study in the Qinhuai River basin, Yangtze River Delta. Water Sci. Technol. 2016, 74, 1163–1176. [Google Scholar] [CrossRef][Green Version]
  40. Chen, Y.; Jin, G.Z.; Kumar, N.; Shi, G. The promise of Beijing: Evaluating the impact of the 2008 Olympic Games on air quality. J. Environ. Econ. Manag. 2013, 66, 424–443. [Google Scholar] [CrossRef]
  41. Fu, S.; Gu, Y. Highway toll and air pollution: Evidence from Chinese cities. J. Environ. Econ. Manag. 2017, 83, 32–49. [Google Scholar] [CrossRef]
  42. Kunz, N.; Mayers, K.; Van Wassenhove, L.N. Stakeholder Views on Extended Producer Responsibility and the Circular Economy. Calif. Manag. Rev. 2018, 60, 45–70. [Google Scholar] [CrossRef]
  43. Wan, X.; Zhang, Y.; Mao, P.; Li, H.; Wang, R.; Yi, X.; Zhao, X. How perceived corporate social responsibility and public knowledge affect public participation intention: Evidence from Chinese waste incineration power projects. Eng. Constr. Arch. Manag. 2021. [Google Scholar] [CrossRef]
  44. Jia, X.; Shen, B.; Chen, Z.; Zhang, L.; Zheng, W. High-Performance Carbonized Waste Corrugated Boards Reinforced with Epoxy Coating as Lightweight Structured Electromagnetic Shields. ACS Sustain. Chem. Eng. 2019, 7, 18718–18725. [Google Scholar] [CrossRef]
  45. Kasinja, C.; Tilley, E. Formalization of Informal Waste Pickers’ Cooperatives in Blantyre, Malawi: A Feasibility Assessment. Sustainability 2018, 10, 1149. [Google Scholar] [CrossRef]
  46. Mrayyan, B.; Hamdi, M.R. Management approaches to integrated solid waste in industrialized zones in Jordan: A case of Zarqa City. Waste Manag. 2006, 26, 195–205. [Google Scholar] [CrossRef] [PubMed]
  47. Seng, B.; Kaneko, H.; Hirayama, K.; Katayama-Hirayama, K. Municipal solid waste management in Phnom Penh, capital city of Cambodia. Waste Manag. Res. 2011, 29, 491–500. [Google Scholar] [CrossRef]
  48. Liu, Y.; Kong, F.; Santibanez Gonzalez, E.D.R. Dumping, waste management and ecological security: Evidence from England. J. Clean. Prod. 2017, 167, 1425–1437. [Google Scholar] [CrossRef]
  49. Arora, M.; Raspall, F.; Cheah, L.; Silva, A. Buildings and the circular economy: Estimating urban mining, recovery and reuse potential of building components. Resour. Conserv. Recycl. 2019, 154, 104581. [Google Scholar] [CrossRef]
  50. Arora, M.; Raspall, F.; Fearnley, L.; Silva, A. Urban mining in buildings for a circular economy: Planning, process and feasibility prospects. Resour. Conserv. Recycl. 2021, 174, 105754. [Google Scholar] [CrossRef]
  51. Simoni, M.; Kuhn, E.; Morf, L.; Kuendig, R.; Adam, F. Urban mining as a contribution to the resource strategy of the Canton of Zurich. Waste Manag. 2015, 45, 10–21. [Google Scholar] [CrossRef] [PubMed]
  52. Zhang, L.; Zhong, Y.; Geng, Y. A bibliometric and visual study on urban mining. J. Clean. Prod. 2019, 239, 118067. [Google Scholar] [CrossRef]
  53. Gutberlet, J. More inclusive and cleaner cities with waste management co-production: Insights from participatory epistemologies and methods. Habitat Int. 2015, 46, 234–243. [Google Scholar] [CrossRef]
  54. Koutamanis, A.; van Reijn, B.; van Bueren, E. Urban mining and buildings: A review of possibilities and limitations. Resour. Conserv. Recycl. 2018, 138, 32–39. [Google Scholar] [CrossRef]
  55. Grazhdani, D.J.E.M. Contingent Valuation of Residents’ Attitudes and Willingness-to-Pay for Non-Point Source Pollution Control: A Case Study in AL-Prespa, Southeastern Albania. Environ. Manag. 2015, 56, 81–93. [Google Scholar] [CrossRef] [PubMed]
  56. Keser, S.; Duzgun, S.; Aksoy, A. Application of spatial and non-spatial data analysis in determination of the factors that impact municipal solid waste generation rates in Turkey. Waste Manag. 2012, 32, 359–371. [Google Scholar] [CrossRef] [PubMed]
  57. Xue, Y.; Wen, Z.; Ji, X.; Bressers, H.T.A.; Zhang, C. Location Optimization of Urban Mining Facilities with Maximal Covering Model in GIS: A Case of China. J. Ind. Ecol. 2016, 21, 913–923. [Google Scholar] [CrossRef]
  58. Zhang, Q.; Wang, R.; Shen, Y.; Zhan, L.; Xu, Z. Characteristics of unorganized emissions of microplastics from road fugitive dust in urban mining bases. Sci. Total Environ. 2022, 827, 154355. [Google Scholar] [CrossRef]
  59. Rimaityte, I.; Ruzgas, T.; Denafas, G.; Račys, V.; Martuzevicius, D. Application and evaluation of forecasting methods for municipal solid waste generation in an eastern-European city. Waste Manag. Res. 2012, 30, 89–98. [Google Scholar] [CrossRef] [PubMed]
  60. Denafas, G.; Ruzgas, T.; Martuzevičius, D.; Shmarin, S.; Hoffmann, M.; Mykhaylenko, V.; Ogorodnik, S.; Romanov, M.; Neguliaeva, E.; Chusov, A.; et al. Seasonal variation of municipal solid waste generation and composition in four East European cities. Resour. Conserv. Recycl. 2014, 89, 22–30. [Google Scholar] [CrossRef]
  61. Zaman, A.; Lehmann, S. The zero waste index: A performance measurement tool for waste management systems in a ‘zero waste city’. J. Clean. Prod. 2013, 50, 123–132. [Google Scholar] [CrossRef]
  62. Kollikkathara, N.; Feng, H.; Yu, D. A system dynamic modeling approach for evaluating municipal solid waste generation, landfill capacity and related cost management issues. Waste Manag. 2010, 30, 2194–2203. [Google Scholar] [CrossRef]
  63. Chen, L.; Ghanbarnejad, F.; Cai, W.; Grassberger, P. Outbreaks of coinfections: The critical role of cooperativity. Eur. Lett. 2013, 104, 50001. [Google Scholar] [CrossRef]
  64. Auffhammer, M.; Carson, R.T. Forecasting the path of China’s CO2 emissions using province-level information. J. Environ. Econ. Manag. 2008, 55, 229–247. [Google Scholar] [CrossRef]
  65. Zhou, X.L.; Chang, S.X.; Zheng, Z.R.; Sci, S. Analysis on Regional Vegetation Changes in Dust and Sandstorms Source Area: A Case Study of Naiman Banner in the Horqin Sandy Region of Northern China. Environ. Earth Sci. 2015, 73, 2013–2025. [Google Scholar] [CrossRef]
  66. Chen, Y.; Ebenstein, A.; Greenstone, M.; Li, H. Evidence on the impact of sustained exposure to air pollution on life expectancy from China’s Huai River policy. Proc. Natl. Acad. Sci. USA 2013, 110, 12936–12941. [Google Scholar] [CrossRef] [PubMed]
  67. Gu, Y.; Wu, Y.; Xu, M.; Mu, X.; Zuo, T. Waste electrical and electronic equipment (WEEE) recycling for a sustainable resource supply in the electronics industry in China. J. Clean. Prod. 2016, 127, 331–338. [Google Scholar] [CrossRef]
  68. Simoni, M.; Baldacci, S.; Maio, S.; Cerrai, S.; Sarno, G.; Viegi, G. Adverse effects of outdoor pollution in the elderly. J. Thorac. Dis. 2015, 7, 34–45. [Google Scholar] [CrossRef]
  69. Wallsten, B.; Carlsson, A.; Frändegård, P.; Krook, J.; Svanström, S. To prospect an urban mine—Assessing the metal recovery potential of infrastructure “cold spots” in Norrköping, Sweden. J. Clean. Prod. 2012, 55, 103–111. [Google Scholar] [CrossRef]
  70. Zhou, B.Y.; Sun, C.X.; Yi, H.T. Solid Waste Disposal in Chinese Cities: An Evaluation of Local Performance. Sustainability 2017, 9, 2234. [Google Scholar] [CrossRef]
  71. Dong, Y.; Shao, S.; Zhang, Y. Does FDI have energy-saving spillover effect in China? A perspective of energy-biased technical change. J. Clean. Prod. 2019, 234, 436–450. [Google Scholar] [CrossRef]
  72. Hu, J.; Wang, Z.; Lian, Y.; Huang, Q. Environmental Regulation, Foreign Direct Investment and Green Technological Progress-Evidence from Chinese Manufacturing Industries. Int. J. Environ. Res. Public Health 2018, 15, 221. [Google Scholar] [CrossRef]
  73. Vu, D.H.; Dehning, B.; Pavelkova, D. Firm life cycle and foreign direct investment spillover effect: The case of the Czech Republic. Econ. Transit. Institutional Chang. 2022. [Google Scholar] [CrossRef]
  74. Ahmad, M.; Jabeen, G.; Wu, Y.Y. Heterogeneity of pollution haven/halo hypothesis and Environmental Kuznets Curve hypothesis across development levels of Chinese provinces. J. Clean. Prod. 2021, 285, 124898. [Google Scholar] [CrossRef]
  75. Jiang, H.N.; Xu, W.; Zhang, W.Z. Transportation Accessibility and Location Choice of Japanese-Funded Electronic Information Manufacturing Firms in Shanghai. Sustainability 2018, 10, 390. [Google Scholar] [CrossRef]
  76. Chantret, F.; Chateau, J.; Dellink, R.; Durand-Lasserve, O.; Lanzi, E. Can better technologies avoid all air pollution damages to the global economy? Clim. Chang. 2020, 163, 1463–1480. [Google Scholar] [CrossRef]
  77. Ye, Q.; Wen, W.; Zhang, C. Theoretical and Empirical Analysis of the Influence of Technology Gap on Carbon Emission: The Case of China. Processes 2021, 9, 2013. [Google Scholar] [CrossRef]
  78. Zhang, S.; Collins, A.; Etienne, X.; Ding, R. The Environmental Effects of International Trade in China: Measuring the Mediating Effects of Technology Spillovers of Import Trade on Industrial Air Pollution. Sustainability 2021, 13, 6895. [Google Scholar] [CrossRef]
  79. Li, J.R.; Li, B.W. Digital inclusive finance and urban innovation: Evidence from China. Rev. Dev. Econ. 2022, 26, 1010–1034. [Google Scholar] [CrossRef]
  80. Cherniwchan, J. Trade liberalization and the environment: Evidence from NAFTA and U.S. manufacturing. J. Int. Econ. 2017, 105, 130–149. [Google Scholar] [CrossRef]
  81. Cherniwchan, J.; Copeland, B.R.; Taylor, M.S. Trade and the Environment: New Methods, Measurements, and Results. Annu. Rev. Econ. 2017, 9, 59–85. [Google Scholar] [CrossRef]
  82. Taylor, M.S.; Copeland, B.R. The Trade Induced Degradation Hypothesis. Resour. Energy Econ. 1997, 19, 321–344. [Google Scholar]
  83. Jin, Z.D.; Wang, J.C.; Yang, M.A.; Tang, Z.Y. The effects of participation in global value chains on energy intensity: Evidence from international industry-level decomposition. Energy Strategy Rev. 2022, 39, 100780. [Google Scholar] [CrossRef]
  84. Dou, J.; Han, X. How does the industry mobility affect pollution industry transfer in China: Empirical test on Pollution Haven Hypothesis and Porter Hypothesis. J. Clean. Prod. 2019, 217, 105–115. [Google Scholar] [CrossRef]
  85. Rosenbaum, P.R.; Rubin, D.B. Reducing Bias in Observational Studies Using Subclassification on the Propensity Score. J. Am. Stat. Assoc. 1984, 79, 516. [Google Scholar] [CrossRef]
  86. Liu, L.; Liang, Y.; Song, Q.; Li, J. A review of waste prevention through 3R under the concept of circular economy in China. J. Mater. Cycles Waste Manag. 2017, 19, 1314–1323. [Google Scholar] [CrossRef]
  87. Kong, P.; Cheng, X.; Sun, R.; Chen, L. The Synergic Characteristics of Surface Water Pollution and Sediment Pollution with Heavy Metals in the Haihe River Basin, Northern China. Water 2018, 10, 73. [Google Scholar] [CrossRef]
  88. Xu, J.; Jiang, Y.; Guo, X.; Jiang, L. Environmental Efficiency Assessment of Heavy Pollution Industry by Data Envelopment Analysis and Malmquist Index Analysis: Empirical Evidence from China. Int. J. Environ. Res. Public Health 2021, 18, 5761. [Google Scholar] [CrossRef]
  89. Murray, A.; Skene, K.; Haynes, K. The Circular Economy: An Interdisciplinary Exploration of the Concept and Application in a Global Context. J. Bus. Ethics 2017, 140, 369–380. [Google Scholar] [CrossRef]
  90. Hu, X.H.; Liu, Y.; Yang, L.Y.; Shi, Q.L.; Zhang, W.; Zhong, C. SO2 emission reduction decomposition of environmental tax based on different consumption tax refunds. J. Clean. Prod. 2018, 186, 997–1010. [Google Scholar] [CrossRef]
  91. Huang, J.-T. Sulfur dioxide (SO2) emissions and government spending on environmental protection in China - Evidence from spatial econometric analysis. J. Clean. Prod. 2018, 175, 431–441. [Google Scholar] [CrossRef]
  92. National Development and Reform Commission. The National Development and Reform Commission and the Ministry of Finance Plan to Build 30 Urban Mining Pilot Cities in 5 Years. Available online: https://www.ndrc.gov.cn/fggz/hjyzy/zyzhlyhxhjj/201005/t20100531_1315009.html?code=&state=123 (accessed on 2 November 2022).
Figure 1. Amount of waste materials collected in China between 2006 and 2021.
Figure 1. Amount of waste materials collected in China between 2006 and 2021.
Sustainability 14 14700 g001
Figure 2. Geographical distribution of urban mining pilot cities in China.
Figure 2. Geographical distribution of urban mining pilot cities in China.
Sustainability 14 14700 g002
Figure 3. Kernel density function curve of treatment and control groups before and after PSM.
Figure 3. Kernel density function curve of treatment and control groups before and after PSM.
Sustainability 14 14700 g003
Table 1. Descriptive Statistics.
Table 1. Descriptive Statistics.
VariableDefinitions (Unit)ObsMeanMinMax
ISWISW regeneration rate (%)399076.9350.49143.24
MSWMSW harmless treatment rate (%)399073.3940.44157.94
SO2Industrial SO2 emission (ton) 399010.4130.69313.434
PM2.5Annual PM2.5 concentration (ug/m3)399036.5234.51790.856
UnitEunit gdp energy consumption 39620.14450.00530.6824
lnPopudenspopulation density (person/sq·km) 39905.7181.5487.887
SigdprateProportion of 2nd industry to GDP (%)399048.636990.97
lnRfdiforeign capital actually utilized ($10,000)39908.999−2.40814.941
LnGDPGross Regional Product (yuan)385615.97710.3419.191
lnCmpntCargo trans. ratio*2nd ind. GDP ratio (%)38543.4711.4414.291
lnTechTech development in cargo trans. (%)3854−12.34−17.601−6.862
Table 2. Alleviating effect of UMPC on environmental pollution.
Table 2. Alleviating effect of UMPC on environmental pollution.
(1)(2)(3)(4)(5)(6)(7)(8)
ISWMSWSO2PM2.5ISWMSWSO2PM2.5
Dit3.3590 **15.6997 ***−0.3927 ***−0.8019 **2.6768 *13.6012 ***−0.3599 ***−0.8757 **
(2.276)(6.555)(−4.341)(−2.066)(1.816)(5.773)(−3.953)(−2.233)
lnrfdi 0.7433 ***2.7308 ***(0.013)0.1226 **
(3.955)(9.093)(−1.122)(2.451)
sigdprate 0.3732 ***0.7663 ***0.0215 ***0.005
(6.513)(8.368)(6.090)(0.298)
lnpopudens 10.5695 ***15.3261 ***0.103(0.476)
(4.381)(3.975)(0.689)(−0.741)
_cons76.7102 ***72.4813 ***10.4354 ***36.5693 ***(8.528)−76.8754 ***8.9155 ***37.9686 ***
(262.173)(152.665)(581.904)(475.245)(−0.610)(−3.442)(10.330)(10.211)
N399039903990399039903990 39903990
Note: t statistics in parentheses, * p < 0.1, ** p < 0.05, *** p < 0.01.
Table 3. Effect of UMPC on environmental pollution alleviation in PSM-DID.
Table 3. Effect of UMPC on environmental pollution alleviation in PSM-DID.
(1)(2)(3)(4)(5)(6)(7)(8)
ISWISWMSWMSWSO2SO2PM2.5PM2.5
Dit3.3590 * 1.63415.6997 ***13.1709 ***−0.3927 ***−0.4291 ***−0.8019 *−1.0203 **
(1.839)(0.760)(4.617)(4.328)(−4.152)(−3.849)(−1.881)(−2.507)
lnrfdi1.7427 ** 3.0083 *** 0.023 0.2435 *
(2.463) (2.779) (0.471) (1.935)
sigdprate0.165 0.463 0.0227 *** (0.002)
(1.087) (1.597) (2.771) (−0.049)
lnpopudens9.389 11.623 0.924 0.223
(1.138) (1.166) (1.030) (0.285)
_cons80.0847 ***(2.231)75.7740 ***(47.833)10.8446 ***3.90140.5752 ***36.9080 ***
(229.045)(−0.045)(116.408)(−0.773)(598.914)(0.728)(497.224)(6.842)
N 1212 1212 1212 12121212121212121212
Note: t statistics in parentheses, * p < 0.1, ** p < 0.05, *** p < 0.01.
Table 4. UMPC on environmental pollution alleviation under DDD.
Table 4. UMPC on environmental pollution alleviation under DDD.
(1)(2)(3)(4)(5)(6)(7)(8)
ISWISWMSWMSWSO2SO2PM2.5PM2.5
Dit * group3.428 *2.53215.443 ***14.062 ***−0.389 ***−0.367 ***−0.793 *−1.154 ***
(1.87)(1.30)(4.68)(4.54)(−4.157)(−3.915)(−1.862)(−2.668)
treats3.178−1.2912.427−2.6370.731 ***0.628 ***2.9721.174
(1.16)(−0.514)(0.66)(−0.790)(5.55)(4.82)(1.31)(0.61)
group7.569 *0.8387.8982.6300.925 **0.744 *13.527 ***10.617 ***
(1.71)(0.19)(1.37)(0.44)(2.24)(1.94)(5.14)(4.24)
lnrfdi 0.790 *** 2.421 *** 0.010 0.164 ***
(2.64) (5.57) (0.69) (3.71)
sigdprate 0.2032 ** 0.6331 *** 0.0254 *** 0.007
(2.44) (5.26) (5.94) (0.38)
lnpopudens 8.9593 *** 1.355 0.0664 4.746 ***
(6.53) (0.98) (0.78) (7.49)
_cons69.106 ***7.96864.715 ***10.2379.447 ***7.924 ***23.442 ***−2.473
(16.31)(0.96)(11.51)(1.04)(23.09)(15.14)(9.76)(−0.644)
N39903990399039903990399039903990
Note: t statistics in parentheses, * p < 0.1, ** p < 0.05, *** p < 0.01.
Table 5. Robustness test.
Table 5. Robustness test.
(1)(2)(3)(4)
ISWMSW SO2PM2.5
Dit0.1396.403 **−0.092 *−1.831 ***
(0.09)(2.46)(−1.027)(−3.492)
d20132.1809.876 ***−0.491 ***1.183 ***
(1.58)(4.51)(−6.510)(2.68)
lnrfdi1.621 ***2.461 ***0.049 **0.178
(3.75)(3.58)(2.10)(1.29)
sigdprate0.207 **0.652 ***0.013 **0.020
(1.96)(3.88)(2.28)(0.62)
lnpopudens8.960 **9.6831.020 ***−0.009
(2.18)(1.48)(4.53)(−0.007)
_cons−0.946−42.013.610 ***37.605 ***
(−0.038)(−1.053)(2.63)(4.69)
N1212121212121212
Note: t statistics in parentheses, * p < 0.1, ** p < 0.05, *** p < 0.01.
Table 6. Heterogeneity test of ISW and MSW by region.
Table 6. Heterogeneity test of ISW and MSW by region.
EastMiddleWestNortheastEastMiddleWestNortheast
Panel A
(1)(2)(3)(4)(5)(6)(7)(8)
ISWISWISWISWMSWMSWMSWMSW
Dit0.6840.2201.10613.913 **4.99615.863 **21.579 ***13.420 *
(0.39)(0.05)(0.25)(2.44)(1.50)(2.19)(2.88)(1.85)
ControlsYesYesYesYesYesYesYesYes
_cons−18.020−54.920221.030304.80−34.940−80.640−28.480724.930
(−0.283)(−1.028)(0.89)(1.22)(−0.411)(−0.710)(−0.145)(0.84)
N555356187114555356187114
Panel B
(1)(2)(3)(4)(5)(6)(7)(8)
SO2SO2SO2SO2PM2.5PM2.5PM2.5PM2.5
Dit−0.58 ***−0.227 *−0.44 **0.463−0.713−2.546 ***−3.45 ***1.391
(−3.193)(−1.985)(−2.099)(1.09)(−1.426)(−5.214)(−3.818)(0.68)
ControlsYesYesYesYesYesYesYesYes
_cons1.12610.420 ***−1.122−19.7822.032 ***16.02615.64854.851
(0.16)(5.18)(−0.154)(−0.583)(2.80)(1.42)(0.63)(0.62)
N555356187114555356187114
Note: t statistics in parentheses, * p < 0.1, ** p < 0.05, *** p < 0.01.
Publisher’s Note: MDPI stays neutral with regard to jurisdictional claims in published maps and institutional affiliations.

Share and Cite

MDPI and ACS Style

Shen, H.; Liu, Y. Can Circular Economy Legislation Promote Pollution Reduction? Evidence from Urban Mining Pilot Cities in China. Sustainability 2022, 14, 14700. https://doi.org/10.3390/su142214700

AMA Style

Shen H, Liu Y. Can Circular Economy Legislation Promote Pollution Reduction? Evidence from Urban Mining Pilot Cities in China. Sustainability. 2022; 14(22):14700. https://doi.org/10.3390/su142214700

Chicago/Turabian Style

Shen, Hongcheng, and Yi Liu. 2022. "Can Circular Economy Legislation Promote Pollution Reduction? Evidence from Urban Mining Pilot Cities in China" Sustainability 14, no. 22: 14700. https://doi.org/10.3390/su142214700

APA Style

Shen, H., & Liu, Y. (2022). Can Circular Economy Legislation Promote Pollution Reduction? Evidence from Urban Mining Pilot Cities in China. Sustainability, 14(22), 14700. https://doi.org/10.3390/su142214700

Note that from the first issue of 2016, this journal uses article numbers instead of page numbers. See further details here.

Article Metrics

Back to TopTop