Sustainable Development Mechanism in Rural Kindergartens: The Relationships among Enabling Organizational Structure, Kindergarten Directors’ Leadership and Early Childhood Teachers’ Well-Being
Abstract
1. Introduction
2. Literature Review
2.1. The Impact of Kindergarten Directors’ Leadership on Organizational Structure and Early Childhood Teachers’ Well-Being
2.2. The Impact of Organizational Structure on Kindergarten Directors’ Leadership and Early Childhood Teachers’ Well-Being
3. Material and Methods
3.1. Participant
3.2. Measures
3.2.1. Kindergarten Directors’ Leadership Scale
3.2.2. Enabling Organizational Structure Scale
3.2.3. Teachers’ Well-Being Scale
3.3. Data Analysis
3.3.1. Item Analysis
3.3.2. Reliability Analysis
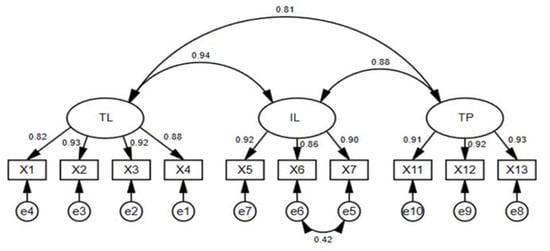
3.3.3. Confirmatory Factor Analysis
3.3.4. Common Method Biases
4. Results
4.1. Descriptive Analysis
4.2. Correlation Analysis among KDL, EOS and TWB
4.3. Regression Analysis of KDL, EOB and TWB
4.3.1. KDL Significantly and Positively Predicts EOS
4.3.2. KDL Significantly and Positively Predicted TWB
4.3.3. EOS Significantly and Positively Predicts KDL
4.3.4. EOS Significantly and Positively Predicted TWB
4.4. Intermediary Analysis
4.4.1. A Test of EOS as a Mediator of KDL and TWB
4.4.2. A Mediated Test of KDL in EOS and TWB
5. Discussion
5.1. There Is a Two-Way Correlation between the Leadership and Promotion of the Principal’s Leadership and Promotion Organizational Structure
5.2. Principals’ Leadership Has a Positive Predictive Effect on the Happiness of Preschool Teachers
5.3. Facilitating Organizational Structure Plays a Mediating Role in the Leadership of Principals and the Well-Being of Preschool Teachers
6. Conclusions, Recommendation, and Limitations
Author Contributions
Funding
Institutional Review Board Statement
Informed Consent Statement
Data Availability Statement
Conflicts of Interest
References
- Luo, R.F.; Zhao, Q.R.; He, M.; Liu, C.F.; Zhang, L.X. The Empirical Analysis of Early Childhood Education of Poor Rural China. Stud. Early Child. Educ. 2009, 1, 7–10. [Google Scholar]
- Li, H.; Yang, W.P.; Chen, J.J. From “Cinderella” to “beloved princess”: The evolution of early childhood education policy in China. Int. J. Child. Care Educ. Policy. 2016, 10, 2. [Google Scholar] [CrossRef]
- Ministry of Education, GOC. The Central Committee of the Communist Party of China and the State Council issued China Education Modernization 2035. 2019. Available online: http://www.moe.gov.cn/jyb_xwfb/s6052/moe_838/201902/t20190223_370857.html (accessed on 26 October 2022).
- Ministry of Education, GOC. State Council and Outline of China’s National Plan for Medium and Long Term Education Reform and Development (2010–2020). 2010. Available online: http://www.moe.gov.cn/srcsite/A01/s7048/201007/t20100729_171904.html (accessed on 26 October 2022).
- Ministry of Education, GOC. Statistical Bulletin of National Education Development in 2011. 2012. Available online: http://www.moe.gov.cn/srcsite/A03/s180/moe_633/201208/t20120830_141305.html (accessed on 26 October 2022).
- Ministry of Education, GOC. The Main Results of the National Education Statistics in 2021. 2022. Available online: http://www.moe.gov.cn/jyb_xwfb/gzdt_gzdt/s5987/202203/t20220301_603262.html (accessed on 26 October 2022).
- Hong, X.M. The responsibility and mission of Children with Education in the new era. Res. Educ. Dev. 2018, Z 2, 3. [Google Scholar]
- Jiang, Y. A strong education nation starts with quality preschool education. Res. Educ. Dev. 2022, 6, 3. [Google Scholar]
- Xie, S.; Li, H. Accessibility, affordability, accountability, sustainability and social justice of early childhood education in China: A case study of Shenzhen. Child. Youth Serv. Rev. 2020, 118, 105359. [Google Scholar] [CrossRef] [PubMed]
- Wang, G.; Huang, X.; Lu, X.; Zhang, D.J. Effects of Occupational Commitment on Job Performance among Kindergarten Teachers: Mediating Effect of Occupational Well-being. Psychol. Dev. Educ. 2015, 6, 753–760. [Google Scholar]
- Liu, X.; Jiang, Y.; Li, H. The Sustainability of Early Childhood Education in Chinese Teachers’ Perspective: Evidence from a National Validation Study. Sustainability 2022, 14, 6350. [Google Scholar] [CrossRef]
- Sun, G.F.; Zheng, Y.Y. Research on the sustainability of rural anti-poverty end governance under precise poverty alleviation. Theory Reform 2017, 3, 122–129. [Google Scholar]
- Bronfenbrenner, U. The Ecology of Human Development; Harvard University Press: Cambridge, MA, USA, 1979; p. 21. [Google Scholar]
- Haken, H. Synergetics: An Introduction, 3rd ed.; Springer: Berlin, Germany, 1983; pp. 120–127. [Google Scholar]
- Tan, C.B. On the Wellbeing of Teachers. Educ. Sci. 2002, 1, 39–43. [Google Scholar]
- Zhang, S. Principal Leadership: Background, Context and Practice. J. Chin. Soc. Educ. 2007, 9, 42–47. [Google Scholar]
- Mintzberg. An effective Organization; China Renmin University Press: Beijing, China, 2007; p. 3. [Google Scholar]
- Robbins, S.P. Organizational Behavior; China Renmin University Press: Beijing, China, 2000; pp. 423–431. [Google Scholar]
- Hall, S. Representation: Cultural Representations and Signifying Practices; Sage Publications: Thousands Oaks, CA, USA, 1997. [Google Scholar]
- Fremont, E.; Kast, J.E. Rosenzweig. Organization and Management: A Systems and Contingency Approach; China Social Sciences Press: Beijing, China, 2000; pp. 45–63. [Google Scholar]
- Hartnell, C.A.; Kinicki, A.J.; Lambert, L.S.; Fugate, M.; Corner, P.D. Do Similarities or Differences Between CEO Leadership and Organizational Culture Have a More Positive Effect on Firm Performance? A Test of Competing Predicti-ons. J. Appl. Psychol. 2016, 101, 846–861. [Google Scholar] [CrossRef] [PubMed]
- Eva, N.; Sendjaya, S.; Prajogo, D.; Cavanagh, A.; Robin, M. Creating strategic fit Aligning servant leadership with organizational structure and strategy. Pers. Rev. 2018, 47, 166–186. [Google Scholar] [CrossRef]
- Van der Voet, J. The effectiveness and specificity of change management in a public organization: Transformational leadership and a bureaucratic organizational structure. Eur. Manag. J. 2014, 32, 373–382. [Google Scholar] [CrossRef]
- Park, J.G.; Kim, J.S.; Yoon, S.W.; Joo, B.K. The effects of empowering leadership on psychological well-being and job engagement The mediating role of psychological capital. Leadersh. Organ. Dev. J. 2017, 38, 350–367. [Google Scholar] [CrossRef]
- Wang, H.; Song, H.; Wang, C.X. Effects of Principals’ Instructional Leadership on Teachers’ Well-being: The Chain Mediation Effect of Teachers’ Collective Efficacy and Self-Efficacy. Glob. Educ. 2020, 6, 90–101. [Google Scholar]
- Zhang, S. The Relationship between Principal Transformational Leadership and Teacher Well-being—The Self-other Agreement as a Perspective. J. Educ. Stud. 2021, 3, 14. [Google Scholar]
- Kim, S.; Shin, M. Transformational leadership behaviors, the empowering process, and organizational commitment: Investigating the moderating role of organizational structure in Korea. Int. J. Hum. Resour. Manag. 2019, 30, 251–275. [Google Scholar] [CrossRef]
- Judge, T.A.; Bono, J.E.; Ilies, R.; Gerhardt, M.W. Personality and leadership: A qualitative and quantitative review. J. Appl. Psychol. 2002, 87, 765–780. [Google Scholar] [CrossRef]
- Zhang, D.P.; Sun, X.B.; Liu, P.C.; Zhang, P. The Effects of Integrative Leadship on Organizational Innovation Perfor-mance. Chin. J. Manag. 2017, 3, 389–399. [Google Scholar]
- Paunova, M. The emergence of individual and collective leadership in task groups: A matter of achievement and ascription. Leadersh. Q. 2015, 26, 935–957. [Google Scholar] [CrossRef]
- Han, Z.P. Directions and Path Dependencies for Transforming Library Organizational Structures. Inf. Doc-Umentation Serv. 2009, 5, 64–68. [Google Scholar]
- Chen, S.F. Divisional Structure and Matrix Structure: The Evolution Trends of the Organizational Structure in Prima-ry and Secondary Schools. Res. Educ. Dev. 2013, 33, 21–26. [Google Scholar]
- Epitropaki, O.; Martin, R. Transformational-transactional leadership and upward influence: The role of Relative Leader-Member Exchanges and Perceived Organizational Support. Leadersh. Q. 2013, 24, 299–315. [Google Scholar] [CrossRef]
- Wang, L.H.; Xu, C.J. Impact of Primary and Secondary School Teachers’ Perceived Organizational Support on Their Happiness and Job Burnout. Chin. J. Clin. Psychol. 2008, 16, 574–575. [Google Scholar]
- Zhang, L.H.; Wang, D.; Bai, X.J. New Progresses of Studies on Influencing Factors of Teachers’ Job Burnout Abroad. J. Psychol. Sci. 2007, 2, 492–494. [Google Scholar]
- Helen, L.; Valerie, F. Does a supportive work environment moderate the relationship between work-family conflict and burnout among construction professionals? Constr. Manag. Econ. 2006, 24, 185–196. [Google Scholar]
- Byun, S.; Zhao, X.Y.; Buettner, C.K.; Chung, S.A.; Jeon, L. Early childhood teachers’ psychological well-being and r-esponsiveness toward children: A comparison between the US and South Korea. Teach. Teach. Educ. 2022, 114, 103705. [Google Scholar] [CrossRef]
- Wang, G.; Fan, Y.; Huang, X.; Liu, X.Q.; Wang, D.L. Effects of Government Support, Organizational Support and C-ompetency on Occupational Well-being among Kindergarten Teachers: Mediating Effect of Occupational Identity. Stud. Psychol. Behav. 2018, 16, 801–809. [Google Scholar]
- Li, J.B.; Xu, B.H.; Zuo, W.H. The Influence Analysis of Organizational Factor in Job Burnout. Chin. J. Clin. Psychol. 2006, 2, 146–149. [Google Scholar]
- Rhoades, L.; Eisenberger, R. Perceived organizational support: A review of the literature. J. Appl. Psychol. 2002, 87, 698–714. [Google Scholar] [CrossRef]
- Cheung, A.C.K.; Chao, G.C.N.; Lau, E.; Leung, A.N.M.; Chui, H. Cultivating the Psychological Well-Being of Early-Childhood Education Teachers: The Importance of Quality Work Life. Appl. Res. Qual. Life 2022, 3, 1533. [Google Scholar] [CrossRef]
- Kim, D.; Moon, C.W.; Shin, J. Linkages between empowering leadership and subjective well-being and work perfor-mance via perceived organizational and co-worker support. Leadersh. Organ. Dev. J. 2018, 39, 844–858. [Google Scholar] [CrossRef]
- Yao, W.; Wu, Q.R. The Research on the Present Situation of Kindergarten Headmaster’ Care and Education Leaders-hip. Mod. Educ. Manag. 2019, 6, 79–84. [Google Scholar]
- Hong, X.M.; Zhu, W.T.; Liu, P.; Jiao, R.K. Investigation and Reflection on Kindergarten Principals’ Professional Com-petencies in the New Era. J. Educ. Stud. 2018, 14, 82–91. [Google Scholar]
- OECD. PISA 2015 Results Volume II: Policies and Practices for Successful Schools; OECD Publishing: Paris, France, 2016. [Google Scholar]
- Yang, F.; Yang, L. Could Data-driven decision Making Enhance School Autonomy? Research based on PISA 2015 P-rincipal Survey. Res. Educ. Dev. 2019, 39, 15–22. [Google Scholar]
- Li, J.; Li, Y.; Han, X. Risk assessment method based on factor analysis and cloud model and its application. IOP Conf. Ser. Mater. Sci. Eng. 2019, 5, 055064. [Google Scholar] [CrossRef]
- Müller, A.; De Lange, A.; Weigl, M.; Oxfart, C.; Van der Heijden, B. Compensating losses in bridge employment? Examining relations between compensation strategies, health problems, and intention to remain at work. J. Vocat. Behav. 2013, 83, 68–77. [Google Scholar] [CrossRef]
- Hu, L.T.; Bentler, P.M. Cutoff Criteria for Fit Indexes in Covariance Structure Analysis: Conventional Criteria Versus New Alternatives. Struct. Equ. Model. A Multidiscip. J. 1999, 6, 1–55. [Google Scholar] [CrossRef]
- Steiger, J.H. Structure model evaluation and modification: An interval estimation approach. Multivar. Behav. Res. 1990, 25, 173–180. [Google Scholar] [CrossRef]
- Fan, X.; Thompson, B.; Wang, L. Effects of sample size, estimation methods, and model specification on structural equation modeling fit indexes. Struct. Equ. Model. A Multidiscip. J. 1999, 6, 56–83. [Google Scholar] [CrossRef]
- Wen, Z.L.; Hou, J.T.; Herbert, W.M. Structural Equation Model Testing: Cutoff Criteria for Goodness-of-Fit Indexes and CHI-Square Test. Acta Psychol. Sin. 2004, 2, 86–194. [Google Scholar]
- Bollen, K.A. Sample size and Bentler and Bonnett’s nonnormed fit index. Psychometrika 1986, 51, 375–377. [Google Scholar] [CrossRef]
- Hoy, W.K.; Sweetland, S.R. Designing Better Schools: The Meaning and Measure of Enabling School Structures. Educ. Adm. Q. 2001, 37, 296–321. [Google Scholar] [CrossRef]
- Zheng, X.M.; Zhu, W.C.; Zhao, H.X.; Zhang, C. Employee well-being in organizations: Theoretical model, scale development, and cross-cultural validation. J. Organ. Behav. 2015, 36, 621–644. [Google Scholar] [CrossRef]
- George, D.; Mallery, P. IBM SPSS Statistics 21 Step by Step: A Simple Guide and Reference; Pearson: Boston, MA, USA, 2014. [Google Scholar]
- Tavakol, M.; Dennick, R. Making sense of Cronbach’s alpha. Int. J. Med. Educ. 2011, 2, 53–55. [Google Scholar] [CrossRef] [PubMed]
- Zhou, H.; Long, L.R. Statistical Remedies for Common Method Biases. Adv. Psychol. Sci. 2004, 6, 942–950. [Google Scholar]
- Liu, L.L.; Tian, L.M.; Guo, J.J. The Associations of Parent-adolescent Relationship with Adolescent Risk-taking Behavior: A Moderated Mediating Model. Psychol. Dev. Educ. 2019, 35, 210–218. [Google Scholar]



| Demographic Characteristics | Options | Percent (%) | Demographic Characteristics | Options | Percent (%) |
|---|---|---|---|---|---|
| Educational background | Junior Secondary and below | 4.5 | Gender | Male | 1.7 |
| Senior high school | 15.3 | Female | 98.3 | ||
| Specialized schools | 40.4 | Kindergarten Address | County | 68.8 | |
| Undergraduate and above | 39.7 | Village | 31.2 | ||
| Family Status | Unmarried | 23.5 | Age | ≤30 | 39.6 |
| Married without children | 5.3 | 31–40 | 34.5 | ||
| Married with children | 71.2 | 41–50 | 18.8 | ||
| Teacher major | Preschool education major | 64.3 | ≥51 | 7.1 | |
| Education Non-Preschool major | 20.4 | Registered qualified teacher | Yes | 41 | |
| Non-education majors | 15.3 | No | 56.1 | ||
| Temporary establishment | 2.9 | ||||
| Item | Factor Loading | Extraction | ||
|---|---|---|---|---|
| 1 (4) | 2 (3) | 3 (3) | ||
| 1 | 0.84 | 0.87 | ||
| 2 | 0.78 | 0.89 | ||
| 3 | 0.72 | 0.85 | ||
| 4 | 0.60 | 0.82 | ||
| 5 | 0.58 | 0.85 | ||
| 6 | 0.78 | 0.91 | ||
| 7 | 0.74 | 0.91 | ||
| 11 | 0.84 | 0.90 | ||
| 12 | 0.79 | 0.88 | ||
| 13 | 0.83 | 0.91 | ||
| Total Explained Variance | 87.80% | |||
| Indicator | GFI | NFI | RFI | IFI | TLI | CFI | RMSEA | χ2/df | SRMR |
|---|---|---|---|---|---|---|---|---|---|
| Standard 1 (Excellent) | ≥0.9 | ≥0.9 | ≥0.9 | ≥0.9 | ≥0.9 | ≥0.9 | ≤0.05 | ≤3 | ≤0.05 |
| Standard (Acceptable) | ≥0.8 | ≥0.8 | ≥0.8 | ≥0.8 | ≥0.8 | ≥0.8 | ≤0.1 | ≤5 | ≤0.1 |
| KDL | 0.95 | 0.98 | 0.97 | 0.98 | 0.97 | 0.98 | 0.09 | 16.81 | 0.02 |
| EOS | 0.98 | 0.99 | 0.99 | 0.99 | 0.99 | 0.99 | 0.08 | 12.67 | 0.01 |
| TWB | 0.92 | 0.96 | 0.95 | 0.96 | 0.96 | 0.96 | 0.07 | 11.51 | 0.03 |
| KDL-EOS-TWB | 0.99 | 0.99 | 0.99 | 0.99 | 0.99 | 0.99 | 0.05 | 5.28 | 0.02 |
| Variable | Cronbach α | Number of Items | Split-Half Reliability | Variable | Cronbach α | Number of Items | Split-Half Reliability |
|---|---|---|---|---|---|---|---|
| TP | 0.93 | 4 | 0.92 | WWB | 0.94 | 6 | 0.93 |
| IL | 0.94 | 3 | 0.95 | LWB | 0.93 | 6 | 0.93 |
| TL | 0.94 | 3 | 0.95 | PWB | 0.95 | 6 | 0.94 |
| KDL | 0.97 | 13 | 0.92 | TWB | 0.97 | 18 | 0.93 |
| EB | 0.94 | 3 | 0.92 | ||||
| HB | 0.90 | 3 | 0.84 | ||||
| EOS | 0.96 | 6 | 0.95 |
| Variable | Dimension | Mean | SD | Variable | Dimension | Mean | SD |
|---|---|---|---|---|---|---|---|
| TWB | WWB | 4.21 | 0.80 | KDL | TL | 4.48 | 1.27 |
| LWB | 3.96 | 0.88 | IL | 4.58 | 1.23 | ||
| PWB | 4.17 | 0.77 | TP | 4.47 | 1.37 | ||
| Total | 4.12 | 0.76 | Total | 4.51 | 1.21 | ||
| EOS | EB | 4.03 | 0.93 | ||||
| HB | 4.03 | 0.91 | |||||
| Total | 4.03 | 0.90 |
| Variables | 1 | 2 | 3 | 4 | 5 | 6 | 7 | 8 | 9 | 10 |
|---|---|---|---|---|---|---|---|---|---|---|
| 1.TWB | - | |||||||||
| 2.WWB | 0.93 ** | - | ||||||||
| 3.LWB | 0.95 ** | 0.81 ** | - | |||||||
| 4.WB | 0.93 ** | 0.80 ** | 0.83 ** | - | ||||||
| 5.EOS | 0.77 ** | 0.73 ** | 0.72 ** | 0.71 ** | - | |||||
| 6.EB | 0.76 ** | 0.72 ** | 0.71 ** | 0.70 ** | 0.98 ** | - | ||||
| 7.HB | 0.74 ** | 0.70 ** | 0.70 ** | 0.69 ** | 0.97 ** | 0.90 ** | - | |||
| 8.KDL | 0.53 ** | 0.50 ** | 0.51 ** | 0.49 ** | 0.65 ** | 0.63 ** | 0.63 ** | - | ||
| 9.TL | 0.50 ** | 0.47 ** | 0.48 ** | 0.46 ** | 0.61 ** | 0.59 ** | 0.59 ** | 0.95 ** | - | |
| 10.IL | 0.51 ** | 0.47 ** | 0.48 ** | 0.47 ** | 0.61 ** | 0.59 ** | 0.60 ** | 0.95 ** | 0.87 ** | - |
| 11.TP | 0.49 ** | 0.46 ** | 0.48 ** | 0.44 ** | 0.60 ** | 0.59 ** | 0.58 ** | 0.91 ** | 0.76 ** | 0.82 ** |
| Dependent Variable | Independent Variable | B | SE | Adjusted R2 | ∆R2 | β | Sig |
|---|---|---|---|---|---|---|---|
| TWB | KDL | 0.34 | 0.01 | 0.29 | 0.29 | 0.53 | 0.000 |
| TWB | TL | 0.13 | 0.02 | 0.28 | 0.29 | 0.21 | 0.000 |
| IL | 0.09 | 0.03 | 0.15 | 0.000 | |||
| TP | 0.12 | 0.02 | 0.21 | 0.000 | |||
| TWB | EOS | 0.66 | 0.01 | 0.59 | 0.59 | 0.77 | 0.000 |
| TWB | EB | 0.39 | 0.03 | 0.60 | 0.60 | 0.48 | 0.000 |
| HB | 0.26 | 0.03 | 0.31 | 0.000 | |||
| EOS | KDL | 0.48 | 0.01 | 0.42 | 0.42 | 0.65 | 0.000 |
| EOS | TL | 0.17 | 0.03 | 0.42 | 0.42 | 0.24 | 0.000 |
| IL | 0.14 | 0.03 | 0.19 | 0.000 | |||
| TP | 0.17 | 0.02 | 0.27 | 0.000 | |||
| KDL | EOS | 0.99 | 0.10 | 0.42 | 0.42 | 0.65 | 0.000 |
| KDL | EB | 0.42 | 0.05 | 0.42 | 0.42 | 0.32 | 0.000 |
| HB | 0.46 | 0.05 | 0.34 | 0.000 |
| Point Estimate | Product of Coefficient | Bootstrapping | ||||||
|---|---|---|---|---|---|---|---|---|
| Bias-Corrected | Percentile | |||||||
| 95% CI | 95% CI | |||||||
| SE | Z | Lower | Upper | Lower | Upper | |||
| KDL-TWB | Total | 0.34 | 0.02 | 21.25 | 0.31 | 0.37 | 0.31 | 0.37 |
| Indirect | 0.33 | 0.02 | 17.42 | 0.30 | 0.37 | 0.30 | 0.37 | |
| Direct | 0.01 | 0.02 | 0.47 | −0.03 | 0.04 | −0.03 | 0.04 | |
| EOS-TWB | Total | 0.68 | 0.02 | 42.38 | 0.64 | 0.72 | 0.64 | 0.72 |
| Indirect | 0.01 | 0.03 | 0.29 | −0.02 | 0.04 | −0.02 | 0.04 | |
| Direct | 0.67 | 0.02 | 33.50 | 0.61 | 0.73 | 0.62 | 0.73 | |
Publisher’s Note: MDPI stays neutral with regard to jurisdictional claims in published maps and institutional affiliations. |
© 2022 by the authors. Licensee MDPI, Basel, Switzerland. This article is an open access article distributed under the terms and conditions of the Creative Commons Attribution (CC BY) license (https://creativecommons.org/licenses/by/4.0/).
Share and Cite
Yan, Z.; Wang, Z.; Meng, Q.; Wang, Y.; Liu, Y. Sustainable Development Mechanism in Rural Kindergartens: The Relationships among Enabling Organizational Structure, Kindergarten Directors’ Leadership and Early Childhood Teachers’ Well-Being. Sustainability 2022, 14, 14414. https://doi.org/10.3390/su142114414
Yan Z, Wang Z, Meng Q, Wang Y, Liu Y. Sustainable Development Mechanism in Rural Kindergartens: The Relationships among Enabling Organizational Structure, Kindergarten Directors’ Leadership and Early Childhood Teachers’ Well-Being. Sustainability. 2022; 14(21):14414. https://doi.org/10.3390/su142114414
Chicago/Turabian StyleYan, Zhonglian, Ziqing Wang, Qingling Meng, Yujie Wang, and Yunfei Liu. 2022. "Sustainable Development Mechanism in Rural Kindergartens: The Relationships among Enabling Organizational Structure, Kindergarten Directors’ Leadership and Early Childhood Teachers’ Well-Being" Sustainability 14, no. 21: 14414. https://doi.org/10.3390/su142114414
APA StyleYan, Z., Wang, Z., Meng, Q., Wang, Y., & Liu, Y. (2022). Sustainable Development Mechanism in Rural Kindergartens: The Relationships among Enabling Organizational Structure, Kindergarten Directors’ Leadership and Early Childhood Teachers’ Well-Being. Sustainability, 14(21), 14414. https://doi.org/10.3390/su142114414

