Lane-Changing Trajectory Tracking and Simulation of Autonomous Vehicles Based on Model Predictive Control
Abstract
1. Introduction
2. Nonlinear Dynamic Model
- (1)
- Autonomous driving vehicles only make longitudinal, lateral, and yaw movements on flat roads;
- (2)
- Ignore the coupling relationship between the longitudinal and lateral directions of the tire and only consider the pure cornering characteristics of the tire;
- (3)
- Ignore the influence of aerodynamics on vehicle dynamics;
- (4)
- The vehicle and suspension system are rigid bodies with the same rotation angle as the two front wheels;
- (5)
- Autonomous driving vehicles only make pure rolling during the steering process, ignoring tire load deviation;
- (6)
- During lane changes, the vehicle yaw angle and front wheel steering angle are both small angles, and the tire lateral force has an approximately linear relationship with the side deflection angle and the longitudinal force and slip rate.
3. Dynamic Constraints
3.1. The Constraints of Tire Side Deflection Angle
3.2. The Constraints of Centroid Side Deflection Angle
3.3. The Constraints of Vehicle Ground Adhesion Conditions
4. The Design of the Lateral Controller
4.1. Model Linearization Processing
4.2. Model Discretization
4.3. Build a Predictive Model
4.4. Trajectory-Tracking Control
4.4.1. Establish Objective Function
4.4.2. Constraint Analysis
5. The Joint Simulation Analysis
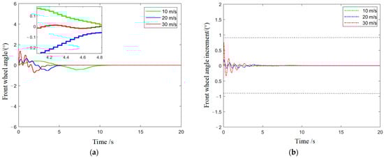
5.1. The Simulation under Different Speed Conditions
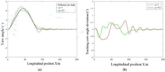
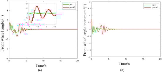
5.2. The Simulation of Different Road Adhesion Conditions
6. Conclusions
- (1)
- According to the assumption that the active steering of the autonomous driving vehicle has a small angle, the lateral force of the tire and the side deflection angle, the longitudinal force, and the slip rate are approximately linear. The three degrees of freedom dynamic model of autonomous driving vehicle is established by constraining the front wheel angle of vehicles with different road adhesion and using the model predictive control algorithm to design a lane-changing lateral controller. It analyzes the control variables, incremental constraints, and dynamics constraints and establishes an objective function that reflects the comprehensive performance of vehicle lane changing.
- (2)
- We used MATLAB/Carsim software to carry out joint simulation experiments and used the quintic Bézier curve as the lane-changing planned reference track. Benefiting from the continuous curvature and easy tracking characteristics of the quintic Bezier curve, we continuously adjusted the control points and model parameters of the Bezier curve to obtain the optimal curve and mpc control model suitable for different speeds and road adhesion coefficients. The experiment shows that when the lane-changing trajectory is tracked under different road adhesion coefficients or different speed conditions, the control algorithm does not need to adjust the control parameters, and the tracking deviation can be continuously corrected until it converges to zero. The lateral tracking deviation is between −0.1 and 0.3 m. The constructed lateral controller also has good trajectory-tracking robustness and driving stability for low adhesion coefficient roads and high-speed driving conditions.
- (3)
- This research mainly solves the lateral control problem and joint simulation of lane changing of autonomous vehicles under different road adhesion and speed. We achieved the best effect of controller tracking by adjusting the position of six control points of the Bezier curve and controller parameters. When facing a complex road traffic environment, vehicle lane changing is a complex driving behavior with constantly changing lateral and longitudinal speeds. For future work, the vehicle control problem with more complex road conditions and surrounding vehicle interference will be considered, the comprehensive change of lateral and longitudinal speed will be considered, and coupling control of lane-changing maneuver between both directions based on MPC will be developed to validated and verified in the field experiments.
Author Contributions
Funding
Institutional Review Board Statement
Informed Consent Statement
Data Availability Statement
Conflicts of Interest
References
- Petrov, P.; Nashashibi, F. Adaptive Steering Control for Autonomous Lane Change Maneuver. In Proceedings of the 2013 IEEE Intelligent Vehicles Symposium, Gold Coast, QLD, Australia, 23–26 June 2013; pp. 835–840. [Google Scholar]
- Bayar, G. Long distance autonomous trajectory tracking for an orchard vehicle. Ind. Robot. 2013, 40, 27–40. [Google Scholar] [CrossRef]
- Cao, W.; Mukai, M.; Kawabe, T.; Nishira, H.; Fujiki, N. Cooperative vehicle path generation during merging using model predictive control with real-time optimization. Control. Eng. Pract. 2015, 34, 98–105. [Google Scholar] [CrossRef]
- Yang, G.; Zhang, D.; Li, K.; Luo, Y. Cooperative Same-direction Automated Lane-changing Based on Vehicle-to-vehicle Communication. J. Highw. Transp. Res. Dev. 2017, 34, 120–129, 136. [Google Scholar]
- Cai, B. Multi-Vehicle Coordinated Lane Changing and Combined Control; Dalian University of Technology: Dalian, China, 2017; pp. 40–46. [Google Scholar]
- You, F.; Gu, G. Collaborative Lane Changing Trajectory Planning of Autonomous Vehicle. Sci. Technol. Eng. 2018, 18, 155–161. [Google Scholar]
- Ji, J.; Tang, Z.; Wu, M.; Fang, J. Path Planning and Tracking for Lane Changing Based on Model Predictive Control. China J. Highw. Transp. 2018, 31, 172–179. [Google Scholar]
- Huang, J.; Ji, Z.; Peng, X.; Hu, L. Driving Style Adaptive Lane-changing Trajectory Planning and Control. China J. Highw. Transp. 2019, 32, 226–239, 247. [Google Scholar]
- Wang, Z. Research on Autonomous Lane Change Control of Intelligent Networked Vehicles on Expressway; Harbin Institute of Technology: Harbin, China, 2019; pp. 44–51. [Google Scholar]
- Shao, Y.; Chen, Y. Design of Lateral Fuzzy Controller for Self-driving Cars. J. Chongqing Jiaotong Univ. Nat. Sci. 2019, 38, 7–13. [Google Scholar]
- Leng, Y.; Zhao, S. Explicit Model Predictive Control for Intelligent Vehicle Lateral Trajectory Tracking. J. Syst. Simul. 2021, 33, 1177–1187. [Google Scholar]
- Wang, J.; Teng, F.; Li, J.; Zang, L.; Fan, T.; Zhang, J.; Wang, X. Intelligent vehicle lane change trajectory control algorithm based on weight coefficient adaptive adjustment. Adv. Mech. Eng. 2021, 13, 1–16. [Google Scholar] [CrossRef]
- Bae, I.; Jin, H.K.; Moon, J.; Kim, S. Lane Change Maneuver based on Bezier Curve providing Comfort Experience for Autonomous Vehicle Users. In Proceedings of the 2019 IEEE Intelligent Transportation Systems Conference (ITSC), Auckland, New Zealand, 27–30 October 2019. [Google Scholar]
- Gong, J.; Liu, K.; Qi, J. Autonomous Vehicle Model Predictive Control, 2nd ed.; Beijing Institute of Technology Press: Beijing, China, 2019; pp. 88–89. [Google Scholar]
- Zheng, H.; Rong, J.; Ren, F. A lane changing model based on random utility theory. J. Highw. Transp. Res. Dev. 2004, 21, 88–91. [Google Scholar]
- Liu, W.; Deng, R.; Zhang, Y.; Mo, C. Vehicle lane-changing model for overtaking lane in freeway off-ramp diverging area. J. Highw. Transp. Res. Dev. 2012, 29, 106–111. [Google Scholar]
- Wang, C.; Li, Z.; Chen, Y.; Dai, G. Research on lane-changing models considering restricted space. J. Highw. Transp. Res. Dev. 2012, 29, 121–127. [Google Scholar]
- Shi, B.; Yang, X.; Yu, X. Modeling and simulation of discretionary lane-change considering the combination with the carfollowing model. J. Transp. Sci. Eng. 2009, 25, 91–96. [Google Scholar]
- Van Zanten, A.T.; Erhardt, R.; Landesfeind, K.; Pfaff, G. VDC Systems Development and Perspective. SAE Trans. 1998, 107, 424–444. [Google Scholar]
- Van Winsum, W.; De Waard, D.; Brookhuis, K.A. Lane Change Manoeuvres and Safety Margins. Transp. Res. Part F Traffic Psychol. Behav. 1999, 2, 139–149. [Google Scholar] [CrossRef]
- Li, X.; Qu, S.; Xia, Y. Cooperative Lane-changing Rules on Multilane under Condition of Cooperative Vehicle and Infrastructure System. China J. Highw. Transp. 2014, 27, 97–104. [Google Scholar]
- Yang, Z.; Qi, Z.; Huang, Y. Trajectory Planning of Lane Changing for Intelligent Vehicles. J. Chongqing Univ. Nat. Sci. Ed. 2013, 32, 520–524. [Google Scholar]
- Kesting, A.; Retiber, M.; Helbing, D. General Lane-changing Model MOBIL for Car-following Models. Transp. Res. Rec. 2007, 1999, 86–94. [Google Scholar] [CrossRef]












| Symbol | Parameter | Symbol | Parameter | Index Value |
|---|---|---|---|---|
| vx | Longitudinal speed | Ccf | Front-wheel side deflection stiffness/[N·(°)−1] | 66,900 |
| vy | Lateral speed | Ccr | Rear-wheel side deflection stiffness/[N·(°)−1] | 66,700 |
| phi | Vehicle yaw angle | Clf | Longitudinal stiffness of front wheel/N | 66,900 |
| ω | Vehicle yaw rate | Clr | Longitudinal stiffness of rear wheel/N | 66,700 |
| X | Longitudinal position | Sf | Front-wheel slip rate | 0.2 |
| Y | Lateral position | Sr | Rear-wheel slip rate | 0.2 |
| δf | front wheel angle | m | Vehicle quality/kg | 1723 |
| a | Distance from the centroid of the vehicle to the front axle/m | 1.232 | ||
| b | Distance from the centroid of the vehicle to the rear axle/m | 1.468 | ||
| Iz | Yaw moment of inertia/(kg·m2) | 4175 |
Publisher’s Note: MDPI stays neutral with regard to jurisdictional claims in published maps and institutional affiliations. |
© 2022 by the authors. Licensee MDPI, Basel, Switzerland. This article is an open access article distributed under the terms and conditions of the Creative Commons Attribution (CC BY) license (https://creativecommons.org/licenses/by/4.0/).
Share and Cite
Song, H.; Qu, D.; Guo, H.; Zhang, K.; Wang, T. Lane-Changing Trajectory Tracking and Simulation of Autonomous Vehicles Based on Model Predictive Control. Sustainability 2022, 14, 13272. https://doi.org/10.3390/su142013272
Song H, Qu D, Guo H, Zhang K, Wang T. Lane-Changing Trajectory Tracking and Simulation of Autonomous Vehicles Based on Model Predictive Control. Sustainability. 2022; 14(20):13272. https://doi.org/10.3390/su142013272
Chicago/Turabian StyleSong, Hui, Dayi Qu, Haibing Guo, Kekun Zhang, and Tao Wang. 2022. "Lane-Changing Trajectory Tracking and Simulation of Autonomous Vehicles Based on Model Predictive Control" Sustainability 14, no. 20: 13272. https://doi.org/10.3390/su142013272
APA StyleSong, H., Qu, D., Guo, H., Zhang, K., & Wang, T. (2022). Lane-Changing Trajectory Tracking and Simulation of Autonomous Vehicles Based on Model Predictive Control. Sustainability, 14(20), 13272. https://doi.org/10.3390/su142013272

