Residents’ Perceptions toward Tourism Development: A Case Study from Grand Canyon National Park, USA
Abstract
1. Introduction
2. Materials and Methods
2.1. Study Area
2.2. Data Collection
2.2.1. Questionnaire Design
2.2.2. Survey Procedure
2.2.3. Data Analysis
3. Results
3.1. Importance–Performance Analysis
3.1.1. The Common Characteristics of Residents’ Perceptions
3.1.2. The Importance–Performance Analysis of the Perceptions of Specific Residents
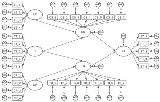
3.2. SEM
Results of Model Fitting Evaluation and Correction
4. Discussion
4.1. Prioritizing Tourism Management Based on the Results of the Importance–Performance Analysis
4.2. Verified Key Factors That Influence Local Support
5. Conclusions
6. Research Limitations and Future Work
Author Contributions
Funding
Institutional Review Board Statement
Informed Consent Statement
Data Availability Statement
Acknowledgments
Conflicts of Interest
Appendix A
| Variable Definition | Latent Variable | Observation Variables | ||
|---|---|---|---|---|
| Symbol | Meaning | Symbol | Indicator | |
| Exogenous potential variable | CP | Community participation | CP_1 | 1. Your opinion can influence the tourism development decisions here |
| CP_2 | 2. You or your family work in the national park or in a tourism-related departments | |||
| CP_3 | 3. You are involved in the management of local tourism development | |||
| CP_4 | 4. Your family has a close relationship with tourism | |||
| LE | Living environment | LE_1 | 1. Personal safety in residential areas | |
| LE_2 | 2. Community security measures | |||
| LE_3 | 3. Community greening level | |||
| LE_4 | 4. Traffic convenience in residential areas | |||
| TT | Trust in tourism agencies | TT_1 | 1. You trust the tourism department | |
| TT_2 | 2. You trust the housing and land sector | |||
| TT_3 | 3. You trust the environmental (and sustainable development) sector | |||
| TT_4 | 4. You trust the local (town) government | |||
| TT_5 | 5. You trust the village/neighborhood | |||
| TB | Tourism benefits | TB_1 | 1. National park tourism is closely related to your family | |
| TB_2 | 2. National park tourism has greatly promoted the economic development of the community | |||
| TB_3 | 3. National park tourism has promoted infrastructure construction in the community | |||
| TB_4 | 4. National park tourism developments are unevenly distributed among the nearby towns | |||
| TB_5 | 5. Residents of this community should benefit from national park tourism | |||
| TB_6 | 6. You are satisfied with the current status of the national park | |||
| TB_7 | 7. National park tourism has increased your personal income | |||
| TC | Tourism cost perception | TC_1 | 1. Increasing environmental pollution and serious ecological damage | |
| TC_2 | 2. Rising prices of goods and services | |||
| TC_3 | 3. Increase in land and property value | |||
| CS | Community satisfaction | CS_1 | 1. You are satisfied with the overall quality of life in this community | |
| CS_2 | 2. You like this community more than anywhere else | |||
| CS_3 | 3. You think your community is an ideal place to live | |||
| CS_4 | 4. You can always get help when you have trouble | |||
| CS_5 | 5. You enjoy your life here | |||
| CS_6 | 6. You often miss your community when you are away | |||
| CS_7 | 7. You plan to never move out of this community | |||
| Endogenous potential variable | ST | Support for tourism | ST_1 | 1. Tourism benefits community development |
| ST_2 | 2. Tourism promotes the development of the community in a better direction | |||
| ST_3 | 3. Tourism plays an important economic role in the community (or will in the future) | |||
| ST_4 | 4. Visitors provide opportunities to this community | |||
| ST_5 | 5. The government’s tourism development policy is in the right direction | |||
References
- Chidakel, A.; Child, B.; Muyengwa, S. Evaluating the economics of park-tourism from the ground-up: Leakage, multiplier effects, and the enabling environment at South Luangwa National Park, Zambia. Ecol. Econ. 2021, 182, 106960. [Google Scholar] [CrossRef]
- Kurtz, R.S. Public Lands Policy and Economic Trends in Gateway Communities. Rev. Policy Res. 2010, 27, 77–88. [Google Scholar] [CrossRef]
- Joyner, L.; Lackey, N.Q.; Bricker, K.S. Community Engagement: An Appreciative Inquiry Case Study with Theodore Roosevelt National Park Gateway Communities. Sustainability 2019, 11, 7147. [Google Scholar] [CrossRef]
- Howe, J.; MaMahon, E.T.; Propst, L. Balancing Nature and Commerce in Gateway Communities; Island Press: Washington, DC, USA, 1997. [Google Scholar]
- Beunen, R.; Regnerus, H.D.; Jaarsma, C.F. Gateways as a means of visitor management in national parks and protected areas. Tour. Manag. 2008, 29, 138–145. [Google Scholar] [CrossRef]
- Frauman, E.; Banks, S. Gateway community resident perceptions of tourism development: Incorporating Importance-Performance Analysis into a Limits of Acceptable Change framework. Tour. Manag. 2011, 32, 128–140. [Google Scholar] [CrossRef]
- Stoker, P.; Rumore, D.; Romaniello, L.; Levine, Z. Planning and Development Challenges in Western Gateway Communities. J. Am. Plan. Assoc. 2021, 87, 21–33. [Google Scholar] [CrossRef]
- Hu, F.; Wang, Z.; Sheng, G.; Lia, X.; Chen, C.; Geng, D.; Hong, X.; Xu, N.; Zhu, Z.; Zhang, Z.; et al. Impacts of national park tourism sites: A perceptual analysis from residents of three spatial levels of local communities in Banff national park. Environ. Dev. Sustain. 2021, 24, 3126–3145. [Google Scholar] [CrossRef]
- Fernando, A.G.; Antonia, B.V.; Rafael, C.M. Resident’s attitudes towards the impacts of tourism. Tour. Manag. Perspect. 2015, 13, 33–40. [Google Scholar] [CrossRef]
- McGehee, N.G.; Andereck, K.L. Factors predicting rural residents’ support of tourism. J. Travel Res. 2004, 43, 131–140. [Google Scholar] [CrossRef]
- Nunkoo, R.; Gursoy, D. Residents’ support for tourism. An Identity Perspective. Ann. Tour. Res. 2012, 39, 243–268. [Google Scholar] [CrossRef]
- Nunkoo, R.; Ramkissoon, H. Residents’ satisfaction with community attributes and support for tourism. J. Hosp. Tour. Res. 2011, 35, 171–190. [Google Scholar] [CrossRef]
- Perdue, R.R.; Long, P.T.; Allen, L. Resident support for tourism development. Ann. Tour. Res. 1990, 17, 586–599. [Google Scholar] [CrossRef]
- Sirakaya, E.; Teye, V.; Sönmez, S. Understanding residents’ support for tourism development in the central region of Ghana. J. Travel Res. 2002, 41, 57–67. [Google Scholar] [CrossRef]
- Jurowski, C.; Uysal, M.; Williams, D.R. A theoretical analysis of host community resident reactions to tourism. J. Travel Res. 1997, 36, 3–11. [Google Scholar] [CrossRef]
- Gursoy, D.; Jurowski, C.; Uysal, M. Resident attitudes: A structural modeling approach. Ann. Tour. Res. 2002, 29, 79–105. [Google Scholar] [CrossRef]
- Lee, T.H. Influence analysis of community resident support for sustainable tourism development. Tour. Manag. 2013, 34, 37–46. [Google Scholar] [CrossRef]
- Zafirovski, M. The influence of sociology on economics. J. Class. Sociol. 2005, 5, 123–156. [Google Scholar] [CrossRef]
- Nunkoo, R.; Ramkissoon, H.; Gursoy, D. Public trust in tourism institutions. Ann. Tour. Res. 2012, 39, 1538–1564. [Google Scholar] [CrossRef]
- McGehee, N.G.; Kim, K.; Jennings, G.R. Gender and motivation for agri-tourism entrepreneurship. Tour. Manag. 2007, 28, 280–289. [Google Scholar] [CrossRef]
- Garrod, B.; Fyall, A.; Leask, A.; Reid, E. Engaging residents as stakeholders of the visitor attraction. Tour. Manag. 2012, 33, 1159–1173. [Google Scholar] [CrossRef]
- Hung, K.; Sirakaya-Turk, E.; Ingram, L.J. Testing the Efficacy of an Integrative Model for Community Participation. J. Travel Res. 2011, 50, 276–288. [Google Scholar] [CrossRef]
- Lankford, S.V.; Howard, D.R. Developing a tourism impact attitude scale. Ann. Tour. Res. 1994, 21, 121–139. [Google Scholar] [CrossRef]
- Jurowski, C.; Gursoy, D. Distance effects on residents’ attitudes toward tourism. Ann. Tour. Res. 2004, 31, 296–312. [Google Scholar] [CrossRef]
- Ragheb, M.G.; Griffith, C.A. The Contribution of Leisure Participation and Leisure Satisfaction to Life Satisfaction of Older Persons. J. Leis. Res. 1982, 14, 295–306. [Google Scholar] [CrossRef]
- Nepal, S.K. Residents’ attitudes to tourism in Central British Columbia, Canada. Tour. Geogr. 2008, 10, 42–65. [Google Scholar] [CrossRef]
- Apleni, L.; Vallabh, D.; Henama, U.S. Motivation for tourists’ participation in religious tourism in Eastern Cape: A case study of Buffalo City, South Africa. Afr. J. Hosp. Tour. Leis. 2017, 6. Available online: https://www.semanticscholar.org/paper/Motivation-for-tourists%E2%80%99-participation-in-religious-Apleni-Vallabh/7f7d9dd67ee5c4bb6b0e62371e1669988d2b0680 (accessed on 28 May 2022).
- Job, H.; Paesler, F. Links between nature-based tourism, protected areas, poverty alleviation and crises-The example of Wasini Island (Kenya). J. Outdoor Recreat. Tour. 2013, 1–2, 18–28. [Google Scholar] [CrossRef]
- Andereck, K.L.; Valentine, K.M.; Knopf, R.C.; Vogt, C.A. Residents’ perceptions of community tourism impacts. Ann. Tour. Res. 2005, 32, 1056–1076. [Google Scholar] [CrossRef]
- Gursoy, D.; Rutherford, D.G. Host attitudes toward tourism: An improved structural model. Ann. Tour. Res. 2004, 31, 495–516. [Google Scholar] [CrossRef]
- Ko, D.W.; Stewart, W.P. A structural equation model of residents’ attitudes for tourism development. Tour. Manag. 2002, 23, 521–530. [Google Scholar] [CrossRef]
- Sirgy, M.J.; Cornwell, T. Further Validation of the Sirgy et al.’s Measure of Community Quality of Life. Soc. Indic. Res. 2001, 56, 125–143. [Google Scholar] [CrossRef]
- Vargas-Sánchez, A.; de los Ángeles Plaza-Mejía, M.; Porras-Bueno, N. Understanding residents’ attitudes toward the development of industrial tourism in a former mining community. J. Travel Res. 2009, 47, 373–387. [Google Scholar] [CrossRef]
- Grzeskowiak, S.; Sirgy, M.J.; Widgery, R. Resident’s satisfaction with community services: Predictors and outcomes. J. Reg. Anal. Policy 2003, 33, 1–36. [Google Scholar] [CrossRef]
- Milman, A.; Pizam, A. Social impacts of tourism on central florida. Ann. Tour. Res. 1988, 15, 191–204. [Google Scholar] [CrossRef]
- Haley, A.J.; Snaith, T.; Miller, G. The social impacts of tourism: A case study of Bath, UK. Ann. Tour. Res. 2005, 32, 647–668. [Google Scholar] [CrossRef]
- Lee, H.Y. Understanding community attitudes towards volunteer tourism. Tour. Recreat. Res. 2020, 45, 445–458. [Google Scholar] [CrossRef]
- Statista Number of Recreational Visitors to the Grand Canyon National Park in the United States from 2008 to 2020. Available online: https://www.statista.com/statistics/253878/number-of-visitors-to-grand-canyon-national-park/ (accessed on 25 June 2020).
- U.S. Census. Bureau Vintage 2019. Population Estimates. Available online: https://www.census.gov/search-results.html?searchType=web&cssp=SERP&q=Williams city, AZ (accessed on 20 October 2020).
- Arizona Trail Association Gateway communities. Available online: https://aztrail.org/explore/gateway-communities/ (accessed on 23 March 2020).
- The Grand Circle Association Grand Circle. Available online: https://secureservercdn.net/198.12.144.107/v3h.9b0.myftpupload.com/wp-content/uploads/2020/12/map-LR.pdf (accessed on 3 July 2021).
- U.S. Census. Bureau Vintage 2019. Population Estimates. Available online: https://www.census.gov/search-results.html?q=population+of+Page+AZ&page=1&stateGeo=none&searchtype=web&cssp=SERP&_charset_=UTF-8 (accessed on 13 October 2020).
- U.S. Census. Bureau Vintage 2019. Population Estimates. Available online: https://www.census.gov/search-results.html?searchType=web&cssp=SERP&q=Kanab city, UT (accessed on 20 March 2021).
- U.S. Census. Bureau Vintage 2019. Population Estimates. Available online: https://www.census.gov/search-results.html?searchType=web&cssp=SERP&q=Tusayan town, AZ (accessed on 26 May 2021).
- U.S. Census. Bureau Vintage 2019. Population Estimates. Available online: https://www.census.gov/search-results.html?searchType=web&cssp=SERP&q=Flagstaff city, AZ (accessed on 29 June 2021).
- City-Facts Flagstaff. Available online: https://www.city-facts.com/downtown-flagstaff-flagstaff (accessed on 24 May 2020).
- Legends of America Flagstaff, Arizona—City of Seven Wonders. Available online: https://www.legendsofamerica.com/az-flagstaff/ (accessed on 5 April 2020).
- Heffernon, R.; Andereck, K.; Vogt, C. Destination Flagstaff: How Important is the Tourism Cluster? 2000, pp. 1–33. Available online: https://kipdf.com/destination-flagstaff-how-important-is-the-flagstaff-area-tourism-cluster_5ae22dae7f8b9a022d8b460b.html (accessed on 28 May 2022).
- Mccool, S.F.; Martin, S.R. Community Attachment and Attitudes Toward Tourism Development. J. Travel Res. 1994, 32, 29–34. [Google Scholar] [CrossRef]
- Heerwegh, D.; Loosveldt, G. Face-to-face versus web surveying in a high-internet-coverage population: Differences in response quality. Public Opin. Q. 2008, 72, 836–846. [Google Scholar] [CrossRef]
- Chiu, Y.T.H.; Lee, W.I.; Chen, T.H. Environmentally responsible behavior in ecotourism: Antecedents and implications. Tour. Manag. 2014, 40, 321–329. [Google Scholar] [CrossRef]
- Tosun, C. Host perceptions of impacts: A comparative tourism study. Ann. Tour. Res. 2002, 29, 231–253. [Google Scholar] [CrossRef]
- Osborne, J.W.; Costello, A.B. Sample size and subject to item ratio in principal components analysis. Pract. Assessment, Res. Eval. 2004, 9, 11. [Google Scholar]
- Cortina, J.M. What is coefficient alpha? An examination of theory and applications. J. Appl. Psychol. 1993, 78, 98–104. [Google Scholar] [CrossRef]
- Marsh, H.W.; Morin, A.J.S.; Parker, P.D.; Kaur, G. Exploratory structural equation modeling: An integration of the best features of exploratory and confirmatory factor analysis. Annu. Rev. Clin. Psychol. 2014, 10, 85–110. [Google Scholar] [CrossRef] [PubMed]
- Christopher Westland, J. Lower bounds on sample size in structural equation modeling. Electron. Commer. Res. Appl. 2010, 9, 476–487. [Google Scholar] [CrossRef]
- Byrne, B.M. Structural equation modeling with LISREL. Prelis Simplis 1998, 20, 196–199. [Google Scholar]
- Wu, W.; West, S.G.; Taylor, A.B. Evaluating model fit for growth curve models: Integration of fit indices from SEM and MLM frameworks. Psychol. Methods 2009, 14, 183–201. [Google Scholar] [CrossRef]
- Schellinck, T.; Brooks, M.R. Improving port effectiveness through determinance/performance gap analysis. Marit. Policy Manag. 2014, 41, 328–345. [Google Scholar] [CrossRef]
- Nunkoo, R.; Ramkissoon, H. Developing a community support model for tourism. Ann. Tour. Res. 2011, 38, 964–988. [Google Scholar] [CrossRef]
- Gursoy, D.; Kendall, K.W. Hosting mega events. Modeling Locals’ Support. Ann. Tour. Res. 2006, 33, 603–623. [Google Scholar] [CrossRef]




| Hypothesis | Content |
|---|---|
| H1 | CP positively impacts TB |
| H2 | CP negatively impacts TC |
| H3 | CP positively impacts CS |
| H4 | LE positively impacts TB |
| H5 | LE negatively impacts TC |
| H6 | LE positively impacts CS |
| H7 | TT positively impacts TB |
| H8 | TT negatively impacts TC |
| H9 | TT positively impacts CS |
| H10 | TB positively impacts ST |
| H11 | TC negatively impacts ST |
| H12 | CS positively impacts TB |
| H13 | CS negatively impacts TC |
| H14 | CS positively impacts ST |
| Variable | Variable Meaning | Sample Size | % | Variable | Variable Meaning | Sample Size | % |
|---|---|---|---|---|---|---|---|
| Gender | Male | 224 | 40 | Education | Elementary | 10 | 1.8 |
| Female | 335 | 60 | Secondary | 52 | 9.3 | ||
| Age | <18 | 30 | 5.4 | Post-secondary | 194 | 34.7 | |
| 19–30 | 130 | 23.3 | Graduate | 304 | 54.2 | ||
| 31–45 | 116 | 20.8 | Relationship to the community | Permanent resident | 461 | 82.5 | |
| 46–60 | 154 | 27.5 | Part-time resident | 46 | 8.2 | ||
| >60 | 129 | 23.7 | Temporary resident | 52 | 9.3 | ||
| Duration of residency | <5 years | 132 | 23.6 | Annual income | <USD 1000 | 38 | 6.8 |
| 5–9 years | 56 | 10 | USD 10,000–24,999 | 111 | 20 | ||
| 10–14 years | 58 | 10.4 | USD 25,000–49,999 | 159 | 28.4 | ||
| 15–19 years | 70 | 12.5 | USD 50,000–74,999 | 115 | 20.5 | ||
| 20–29 years | 93 | 16.6 | USD 75,000–99,999 | 62 | 11.1 | ||
| >30 years | 165 | 29.5 | >USD 100,000 | 74 | 13.2 |
| Total | ||||
|---|---|---|---|---|
| p | I | p-I | ||
| Environmental | 1. Decreased environmental quality | −0.30 | 1.04 | −1.35 |
| 2. Increased garbage and litter | −0.64 | 1.15 | −1.79 | |
| 3. Increased water and air pollution | −0.58 | 1.04 | −1.62 | |
| 4. Occupied farmland landscape | −0.08 | 0.48 | −0.56 | |
| 5. Destroyed undeveloped area/wildness | −0.35 | 0.84 | −1.20 | |
| 6. Damaged natural resources | −0.38 | 0.87 | −1.25 | |
| Sociocultural | 7. Increased traffic problems | −0.75 | 1.01 | −1.76 |
| 8. Impeded infrastructure development | −0.31 | 0.63 | −0.94 | |
| 9. Promoted cultural identity | 0.55 | 0.86 | −0.31 | |
| 10. Promoted cultural exchange | 0.70 | 0.93 | −0.23 | |
| 11. Expanded the influence of local traditions | 0.59 | 0.87 | −0.28 | |
| 12. Changed your lifestyle positively | 0.41 | 0.60 | −0.19 | |
| 13. Increased popularity of the community | 0.75 | 0.86 | −0.11 | |
| 14. Improved neighborhood interpersonal relationships | 0.28 | 0.58 | −0.31 | |
| 15. Protected local dialect/language | 0.37 | 0.79 | −0.42 | |
| 16. Improved women’s social status | 0.22 | 0.65 | −0.43 | |
| 17. Improved residents’ morality | 0.23 | 0.61 | −0.38 | |
| Economic | 18. Increased employment opportunities | 1.07 | 1.25 | −0.18 |
| 19. Increased business/investment opportunities | 0.87 | 1.15 | −0.28 | |
| 20. Improved living conditions | 0.39 | 0.98 | −0.59 | |
| 21. Increased local family incomes | 0.67 | 1.10 | −0.44 | |
| 22. Increased household consumption level | 0.44 | 0.71 | −0.27 | |
| 23.Reduced number of young people working outside community | 0.35 | 0.70 | −0.34 | |
| 24. Enriched recreational entertainment | 0.69 | 1.00 | −0.31 | |
| 25. Benefited most residents | 0.69 | 1.03 | −0.34 | |
| Fit Index | Judging Criteria | Actual Fitting Value | Suitability Evaluation |
|---|---|---|---|
| Absolute Fitting Index | |||
| GFI | GFI > 0.90 | 0.733 | Is |
| RMR | RMR < 0.05 | 0.142 | Is |
| RMSEA | RMSEA < 0.1 | 0.085 | Is |
| Value-Added Fitting Index | |||
| TLI | tli > 0.90 | 0.839 | Is |
| NFI | Closer 1, better model suitability | 0.789 | Close |
| CFI | Closer 1, better model suitability | 0.853 | Close |
| IFI | Closer 1, better model suitability | 0.854 | Close |
| Simple Fit Index | |||
| PCFI | PCFI > 0.50 | 0.782 | Is |
| PNFI | PNFI > 0.50 | 0.724 | Is |
| CN | CN > 200 | 455 | Is |
| Chi-squared degree-of-freedom ratio | <5 | 2.795 | Is |
| Hypothesis | Content | Parameter Estimate | Critical Ratio Value | Significance | Results |
|---|---|---|---|---|---|
| H1 | CP positively impacts TB | 0.299 | 5.335 | *** | Validated |
| H2 | CP negatively impacts TC | N/A | N/A | N/A | No impact |
| H3 | CP positively impacts CS | 0.057 | 0.974 | 0.33 | Failed |
| H4 | LE positively impacts TB | 0.167 | 2.698 | 0.007 | Failed |
| H5 | LE negatively impacts TC | N/A | N/A | N/A | No impact |
| H6 | LE positively impacts CS | 0.596 | 5.638 | *** | Validated |
| H7 | TT positively impacts TB | 0.339 | 5.475 | *** | Validated |
| H8 | TT negatively impacts TC | N/A | N/A | N/A | No impact |
| H9 | TT positively impacts CS | 0.246 | 3.835 | *** | Validated |
| H10 | TB positively impacts ST | 0.748 | 6.868 | *** | Validated |
| H11 | TC negatively impacts ST | 0.072 | 0.971 | 0.331 | Failed |
| H12 | CS positively impacts TB | N/A | N/A | N/A | No impact |
| H13 | CS negatively impacts TC | N/A | N/A | N/A | No impact |
| H14 | CS positively impacts ST | 0.404 | 5.53 | *** | Validated |
Publisher’s Note: MDPI stays neutral with regard to jurisdictional claims in published maps and institutional affiliations. |
© 2022 by the authors. Licensee MDPI, Basel, Switzerland. This article is an open access article distributed under the terms and conditions of the Creative Commons Attribution (CC BY) license (https://creativecommons.org/licenses/by/4.0/).
Share and Cite
Hu, F.; Kong, W.; Innes, J.L.; Wu, W.; Sunderland, T.; Wang, G. Residents’ Perceptions toward Tourism Development: A Case Study from Grand Canyon National Park, USA. Sustainability 2022, 14, 13128. https://doi.org/10.3390/su142013128
Hu F, Kong W, Innes JL, Wu W, Sunderland T, Wang G. Residents’ Perceptions toward Tourism Development: A Case Study from Grand Canyon National Park, USA. Sustainability. 2022; 14(20):13128. https://doi.org/10.3390/su142013128
Chicago/Turabian StyleHu, Fangbing, Wenqing Kong, John L. Innes, Wanli Wu, Terry Sunderland, and Guangyu Wang. 2022. "Residents’ Perceptions toward Tourism Development: A Case Study from Grand Canyon National Park, USA" Sustainability 14, no. 20: 13128. https://doi.org/10.3390/su142013128
APA StyleHu, F., Kong, W., Innes, J. L., Wu, W., Sunderland, T., & Wang, G. (2022). Residents’ Perceptions toward Tourism Development: A Case Study from Grand Canyon National Park, USA. Sustainability, 14(20), 13128. https://doi.org/10.3390/su142013128

