Information Sharing in Competing Supply Chains with Carbon Emissions Reduction Incentives
Abstract
1. Introduction
2. Literature Review
2.1. Information Sharing
2.2. Low-Carbon Supply Chain
3. The Model
- (1)
- Before retailer knows the private signal , manufacturer offers a payment for to retailer who decides whether to accept the payment. If retailer accepts the payment and shares the observed signal with manufacturer accurately, we call the supply chain as communicative, and vice versa.
- (2)
- Each manufacturer determines the wholesale price and the carbon emission reducing level based on demand information they do or do not receive from the retailer.
- (3)
- Given a wholesale price , retailer determines the selling quantity and products are sold at a market-clearing price (). After receiving the orders of retailer , manufacturer produces the products to meet the demand of retailer . Finally, firms’ profits are realised.
- (1)
- We assume that the information-sharing agreements are longer-term decisions (Zhang et al. [58]; Hu et al. [59]), whereas carbon emissions reduction decisions (Andersson and Karpestam [60]; Carroll and Stevens [61]) and wholesale contracts (Zhou et al. [62]; Li and Liu [63]) are short-term decisions. Making an information-sharing arrangement between the supply chain partners requires the partners to make a long-term commitment and to establish systems and business processes for information transmission. As a result, it is not easy for firms to alter decisions frequently. However, investing in reducing carbon emissions or renegotiating the wholesale price can occur more frequently in practice.
- (2)
- The rival supply chain can observe whether supply chain is communicative or not, which means that such information is relatively easily obtained (Ha et al. [15]; Choi et al. [64]). However, the payment , the wholesale price, and the firm’s carbon emissions reduction efficiency cannot be observed by the rival supply chain. In practice, this information is regarded as strictly confidential and is not allowed to be distributed publicly.
- (3)
- In line with the related research of Guo [65] and Shang et al. [21], we assume that the information the retailer shares with the manufacturer is truthful. We do not consider a case in which the retailer deliberately manipulates their demand signal, as they aim to maintain a long-term relationship with the supplier. Moreover, the shared information may be tangible and easily verifiable, such as the POS data.
- (4)
- To avoid the equilibrium price, ordering quantity, and the carbon emissions reduction level being negative with a probability close to one, and to ensure that the Hessian matrix of the profit function is negative definite, we assume that and that both and are small relative to . Li and Zhang [13] and Ha et al. [15] also make similar assumptions in their studies.
4. The Single Supply Chain Case
4.1. The Equilibrium Analysis of the Game for Different Information-Sharing Arrangements
4.2. The Equilibrium Information-Sharing Decisions
5. The Case of Competing Supply Chains
5.1. Equilibrium Analysis under Different Information-Sharing Arrangements
5.2. The Effect of Information Sharing
5.3. The Equilibrium Information-Sharing Decisions
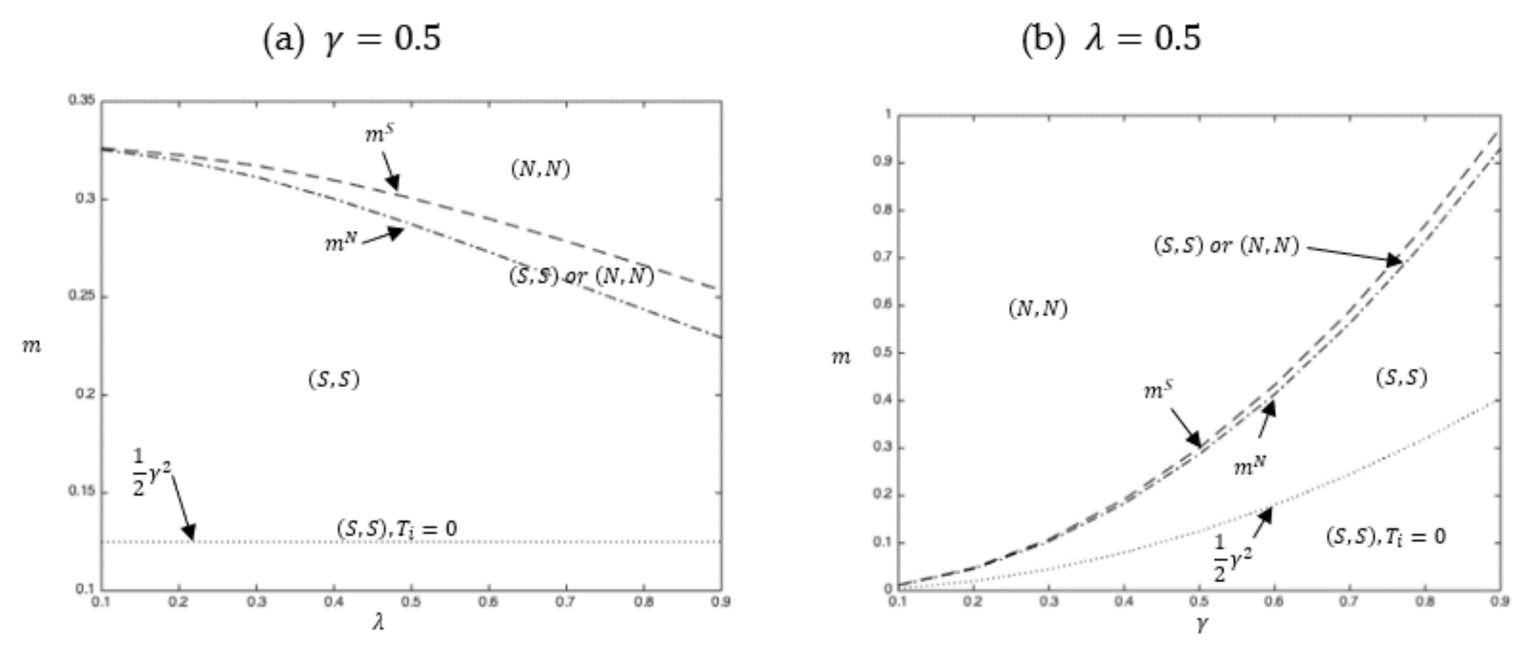
6. Numerical Study
7. Conclusions
7.1. Summary
7.2. Theoretical Contributions and Managerial Implications
7.3. Future Research Directions
Supplementary Materials
Author Contributions
Funding
Institutional Review Board Statement
Informed Consent Statement
Acknowledgments
Conflicts of Interest
References
- Aviv, Y. The effect of collaborative forecasting on supply chain performance. Manag. Sci. 2001, 47, 1326–1343. [Google Scholar] [CrossRef]
- Aviv, Y. Gaining benefits from joint forecasting and replenishment processes: The case of auto-correlated demand. Manuf. Serv. Oper. Manag. 2002, 4, 55–74. [Google Scholar] [CrossRef]
- Aviv, Y. On the benefits of collaborative forecasting partnerships between retailers and manufacturers. Manag. Sci. 2007, 53, 777–794. [Google Scholar] [CrossRef]
- Bourland, K.B.; Powell, S.; Pyke, D. Exploiting timely demand information to reduce inventories. Eur. J. Oper. Res. 1996, 92, 239–523. [Google Scholar] [CrossRef]
- Chen, F. Echelon reorder points, installation reorder points, and the value of centralised demand information. Manag. Sci. 1998, 44, 221–234. [Google Scholar] [CrossRef]
- Li, T.; Zhang, H. Information sharing in a supply chain with a make-to-stock manufacturer. Omega 2015, 50, 115–125. [Google Scholar] [CrossRef]
- Dominguez, R.; Cannella, S.; Barbosa-Póvoa, A.P.; Framinan, J.M. Information sharing in supply chains with heterogeneous retailers. Omega 2018, 79, 116–132. [Google Scholar] [CrossRef]
- Morrison, H. Low Carbon Products in Demand Despite Challenging Economic Climate. 2011. Available online: http://www.theguardian.com/environment/2011/jul/01/carbon-trust-research-footprint-consumer-demand (accessed on 10 August 2021).
- Boulstridge, E.; Carrigan, M. Do consumers really care about corporate responsibility? Highlighting the attitude-behavior gap. J. Commun. Manag. 2000, 4, 355–368. [Google Scholar] [CrossRef]
- Bray, J.; Johns, N.; Kilburn, D. An exploratory study into the factors impeding ethical consumption. J. Bus. Ethics 2011, 98, 597–608. [Google Scholar] [CrossRef]
- Roberts, J. Will the socially responsible consumer please step forward. Bus. Horiz. 1996, 39, 79–84. [Google Scholar] [CrossRef]
- Li, L. Information sharing in a supply chain with horizontal competition. Manag. Sci. 2002, 48, 1196–1212. [Google Scholar] [CrossRef]
- Li, L.; Zhang, H. Confidentiality and information sharing in supply chain coordination. Manag. Sci. 2008, 54, 1467–1481. [Google Scholar] [CrossRef]
- Fung, V.K.; Fung, W.K.; Wind, Y.J. Competing in a Flat World: Building Enterprises for a Borderless World; Pearson Education: Hoboken, NJ, USA, 2008. [Google Scholar]
- Ha, A.Y.; Tian, Q.; Tong, S. Information sharing in competing supply chains with production cost reduction. Manuf. Serv. Oper. Manag. 2017, 19, 246–262. [Google Scholar] [CrossRef]
- Zhang, H. Vertical information exchange in a supply chain with duopoly retailers. Prod. Oper. Manag. 2002, 11, 531–546. [Google Scholar] [CrossRef]
- Zhang, J.; Chen, J. Coordination of information sharing in a supply chain. Int. J. Prod. Econ. 2013, 143, 178–187. [Google Scholar] [CrossRef]
- Dai, Y.; Dou, L.; Song, H.; Zhou, L.; Li, H.Y. Two-way information sharing of uncertain demand forecasts in a dual-channel supply chain. Comput. Ind. Eng. 2022, 169, 108162. [Google Scholar] [CrossRef]
- Li, G.; Liu, M.Q.; Zheng, H. Subsidization or Diversification? Mitigating Supply Disruption with Manufacturer Information Sharing. Omega 2022, 112, 102670. [Google Scholar] [CrossRef]
- Yu, M.; Cao, E. Information sharing format and carbon emission abatement in a supply chain with competition. Int. J. Prod. Res. 2019, 58, 1–16. [Google Scholar] [CrossRef]
- Shang, W.; Ha, A.Y.; Tong, S. Information Sharing in a Supply Chain with a Common Retailer. Manag. Sci. 2016, 62, 245–263. [Google Scholar] [CrossRef]
- Ha, A.Y.; Tong, S. Contracting and Information Sharing Under Supply Chain Competition. Manag. Sci. 2008, 54, 701–715. [Google Scholar] [CrossRef]
- Ha, A.Y.; Tong, S.; Zhang, H. Sharing Demand Information in Competing Supply Chains with Production Diseconomies. Manag. Sci. 2011, 57, 566–581. [Google Scholar] [CrossRef]
- Guo, L.; Li, T.; Zhang, H. Strategic Information Sharing in Competing Channels. Prod. Oper. Manag. 2014, 23, 1719–1731. [Google Scholar] [CrossRef]
- Ha, A.Y.; Shang, W.X.; Wang, J.Y. Supplier Audit Information Sharing and Responsible Sourcing. Manag. Sci. 2022. [Google Scholar] [CrossRef]
- Lee, H.L.; So, K.C.; Tang, C.S. The Value of Information Sharing in a Two-Level Supply Chain. Manag. Sci. 2000, 46, 626–643. [Google Scholar] [CrossRef]
- Cachon, G.P.; Fisher, M. Supply chain inventory management and the value of shared information. Manag. Sci. 2000, 46, 1032–1048. [Google Scholar] [CrossRef]
- Yue, X.; Liu, J. Demand forecast sharing in a dual-channel supply chain. Eur. J. Oper. Res. 2006, 174, 646–667. [Google Scholar] [CrossRef]
- Cui, R.; Allon, G.; Bassamboo, A.; Mieghem, J.A.V. Information Sharing in Supply Chains: An Empirical and Theoretical Valuation. Manag. Sci. 2015, 61, 2803–2824. [Google Scholar] [CrossRef]
- Sabitha, D.; Rajendran, C.; Kalpakam, S.; Ziegler, H. The value of information sharing in a serial supply chain with AR(1) demand and non-zero replenishment lead times. Eur. J. Oper. Res. 2016, 255, 758–777. [Google Scholar] [CrossRef]
- Khan, M.; Hussein, M.; Saber, H.M. Information sharing in a sustainable supply chain. Int. J. Prod. Econ. 2016, 181, 208–214. [Google Scholar] [CrossRef]
- Lai, X.; Tao, Y.; Wang, F.; Zou, Z. Sustainability investment in maritime supply chain with risk behavior and information sharing. Int. J. Prod. Econ. 2019, 218, 16–29. [Google Scholar] [CrossRef]
- Zhang, X.M.; Fang, W.G.; Pi, Z.Y. Interaction among information sharing, supply chain structure and performance. J. Coast. Res. 2019, 93, 870–878. [Google Scholar] [CrossRef]
- Gavirneni, S.; Kapuscinski, R.; Tayur, S. Value of information in capacitated supply chains. Manag. Sci. 1999, 45, 16–24. [Google Scholar] [CrossRef]
- Fiala, P. Information sharing in supply chains. Omega 2005, 33, 419–423. [Google Scholar] [CrossRef]
- Zhang, F. Competition cooperation and information sharing in a two-echelon assembly system. Manuf. Serv. Oper. Manag. 2006, 8, 273–291. [Google Scholar] [CrossRef]
- Trapero, J.R.; Kourentzes, N.; Fildes, R. Impact of information exchange on supplier forecasting performance. Omega 2012, 40, 738–747. [Google Scholar] [CrossRef]
- Teunter, R.H.; Babai, M.Z.; Bokhorst, J.A.C.; Syntetos, A.A. Revisiting the value of information sharing in two-stage supply chains. Eur. J. Oper. Res. 2018, 270, 1044–1052. [Google Scholar] [CrossRef]
- Kovtun, V.; Giloni, A.; Hurvich, C. The value of sharing disaggregated information in supply chains. Eur. J. Oper. Res. 2019, 277, 469–478. [Google Scholar] [CrossRef]
- Liu, M.L.; Dan, B.; Zhang, S.G.; Ma, S.Y. Information sharing in an E-tailing supply chain for fresh produce with freshness-keeping effort and value-added service. Eur. J. Oper. Res. 2021, 290, 572–584. [Google Scholar] [CrossRef]
- Chen, F. Information sharing and supply chain coordination. Handb. Oper. Res. Manag. Sci. 2003, 11, 341–421. [Google Scholar]
- Benjaafar, S.; Li, Y.; Daskin, M. Carbon footprint and the management of supply chains: Insights from simple models. IEEE Trans. Autom. Sci. Eng. 2013, 10, 99–115. [Google Scholar] [CrossRef]
- Absi, N.; Dauzere-Peres, S.; Kedad-Sidhoum, S.; Penz, B.; Rapine, C. Lot sizing with carbon emission constraints. Eur. J. Oper. Res. 2013, 227, 55–61. [Google Scholar] [CrossRef]
- Helmrich, M.J.R.; Jans, R.; van den Heuvel, W.; Wagelmans, A.P.M. The economic lot-sizing problem with an emission capacity constraint. Eur. J. Oper. Res. 2015, 241, 50–62. [Google Scholar] [CrossRef]
- Palak, G.; Eksioglu, S.D.; Geunes, J. Analyzing the impacts of carbon regulatory mechanisms on supplier and mode selection decisions: An application to a biofuel supply chain. Int. J. Prod. Econ. 2014, 154, 198–216. [Google Scholar] [CrossRef]
- Chen, X.; Benjaafar, S.; Elomri, A. The carbon-constrained EOQ. Oper. Res. Lett. 2013, 41, 172–179. [Google Scholar] [CrossRef]
- Hua, G.; Cheng, T.C.E.; Wang, S. Managing carbon footprints in inventory management. Int. J. Prod. Econ. 2011, 132, 178–185. [Google Scholar] [CrossRef]
- Wang, Z.; Wang, C. How carbon offsetting scheme impacts the duopoly output in production and abatement: Analysis in the context of carbon cap-and-trade. J. Clean. Prod. 2015, 103, 715–723. [Google Scholar] [CrossRef]
- Xu, X.; Xu, X.; He, P. Joint production and pricing decisions for multiple products with cap-and-trade and carbon tax regulations. J. Clean. Prod. 2016, 112, 4093–4106. [Google Scholar] [CrossRef]
- Caro, F.; Corbett, C.J.; Tan, T.; Zuidwijk, R. Double counting in supply chain carbon footprinting. Manuf. Serv. Oper. Manag. 2013, 15, 545–558. [Google Scholar] [CrossRef]
- Ren, J.; Bian, Y.; Xu, X.; He, P. Allocation of product-related carbon emission abatement target in a make-to-order supply chain. Comput. Ind. Eng. 2015, 80, 181–194. [Google Scholar] [CrossRef]
- Zhang, L.; Wang, J.; You, J. Consumer environmental awareness and channel coordination with two substitutable products. Eur. J. Oper. Res. 2015, 241, 63–73. [Google Scholar] [CrossRef]
- Luo, Z.; Chen, X.; Wang, X. The role of co-opetition in low carbon manufacturing. Eur. J. Oper. Res. 2016, 253, 392–403. [Google Scholar] [CrossRef]
- Yang, L.; Zhang, Q.; Ji, J. Pricing and carbon emission reduction decisions in supply chains with vertical and horizontal cooperation. Int. J. Prod. Econ. 2017, 191, 286–297. [Google Scholar] [CrossRef]
- Wu, X.; Zhang, F. Home or overseas? An analysis of sourcing strategies under competition. Manag. Sci. 2014, 60, 1223–1240. [Google Scholar] [CrossRef]
- Ericson, W.A. A note on the posterior mean of a population mean. J. R. Stat. Soc. 1969, 31, 332–334. [Google Scholar] [CrossRef]
- Vives, X. Oligopoly Pricing: Old Ideas and New Tools; MIT Press: Cambridge, MA, USA, 1999. [Google Scholar]
- Zhang, S.C.; Wei, L.Q.; Zhang, J.X. Demand forecast sharing for a dominant retailer with supplier encroachment and quality decisions. Eur. J. Oper. Res. 2022, 301, 39–50. [Google Scholar] [CrossRef]
- Hu, H.Q.; Sun, S.X.; Zheng, X.N.; Chen, L.H.; Huang, T. Committed or contingent? The retailer’s information acquisition and sharing strategies when confronting manufacturer encroachment. Int. J. Prod. Econ. 2021, 242, 108294. [Google Scholar] [CrossRef]
- Andersson, F.N.G.; Karpestam, P. CO2 emissions and economic activity: Short- and long-run economic determinants of scale, energy intensity and carbon intensity. Energy Policy 2013, 61, 1285–1294. [Google Scholar] [CrossRef]
- Carroll, D.A.; Stevens, K.A. The short-term impact on emissions and federal tax revenue of a carbon tax in the U.S. electricity sector. Energy Policy 2021, 158, 112526. [Google Scholar] [CrossRef]
- Zhou, M.S.; Bin, D.; Ma, S.X.; Zhang, X.M. Supply chain coordination with information sharing: The informational advantage of GPOs. Eur. J. Oper. Res. 2017, 256, 785–802. [Google Scholar] [CrossRef]
- Li, X.; Liu, Q. Strategic ignorance: Managing endogenous demand in a supply chain. Omega 2023, 114, 102729. [Google Scholar] [CrossRef]
- Choi, S.; Kim, W.; Kim, N. International alliance formations: The role of brokerage in technology competition networks. J. Bus. Res. 2022, 144, 440–449. [Google Scholar] [CrossRef]
- Guo, L. The benefits of downstream information acquisition. Mark. Sci. 2009, 28, 457–471. [Google Scholar] [CrossRef]






| Paper | Supply Chain Structure | Demand Uncertainty | Corporate Performance | Carbon Emissions Reduction | Customer Preference | Insights |
|---|---|---|---|---|---|---|
| Lee et al. [26] | 1M-1R | √ | √ | / | / | They identify the demand information benefits and rank the importance of drivers. |
| Zhang and Chen [17] | 1M-1R | √ | √ | / | / | They find that, under single price contract, the quality and the correlation of the two firms’ information and the competitor’s information revelation behaviour are the main factors influence information sharing. |
| Cachon and Fisher [27] | 1M-NR | √ | √ | / | / | They reveal the value of sharing demand and inventory data in inventory management. |
| Ha et al. [23] | 2M-2R | √ | √ | / | / | They find that information-sharing decisions should not be made in isolation and the supply chain should be cautious when it improves information accuracy or decreases the production diseconomy. |
| Ha et al. [25] | 2M-2R | √ | √ | / | / | They study competing manufacturers’ incentives to share supplier audit information and find that audit information sharing will reduce the manufacturer’s risk of supplier-responsibility violations. |
| Li [12] | 1M-NR (N ≥ 2) | √ | √ | / | / | They investigate the incentives of vertical information sharing in a two-level supply chain and identify the direct and indirect effects of information sharing, which will affect the profitability of firms. |
| Yu and Cao [20] | 1M-2R | √ | √ | √ | / | They reveal that the manufacturer’s carbon emissions abatement capacity and demand uncertainty are two significant factors that influence incumbent retailers’ incentives and choice of information-sharing formats. |
| Ha and Tong [22] | 2M-2R | √ | √ | / | / | They reveal the importance of contract type to the value of information sharing and identify information sharing as a competitive advantage. |
| Dai et al. [18] | 1M-1R | √ | √ | / | / | They investigate demand forecast information sharing in a dual-channel supply chain with big data technology. They find the influence of information sharing under different intensity of competition and the information symmetry cannot be realised in this supply chain structure. |
| Chen et al. [46] | 1M-1R | / | √ | √ | / | They investigate how to effectively reduce carbon emissions under the EOQ model and analyse the applicability of their results under different environmental regulations, such as strict carbon caps, carbon tax, cap-and-offset, and cap-and-price. |
| Hua et al. [47] | 1R | / | √ | √ | / | They find that the cap-and-trade mechanism induces the retailer to reduce carbon emissions, while it may increase the retailer’s total cost. |
| Zhang et al. [52] | 1M-1R | √ | √ | / | √ | They investigate how to effectively coordinate the effects of consumer environmental awareness (CEA) in a supply chain, where environmental and traditional products are considered. The results show that retailers’ profits increase while manufacturers’ profits become convex with CEA. |
| Luo et al. [53] | 2M | √ | √ | √ | / | They show that co-opetition will lead to more profit and less total carbon emissions compared to pure competition. |
| Yang et al. [54] | 2M-2R | √ | √ | √ | / | They show that vertical cooperation leads to a higher carbon emissions reduction rate and lower retail prices |
| Our paper (2022) | 2M-2R | √ | √ | √ | √ | This paper investigates the incentive of firms to share demand information in two competing supply chains with the consideration of carbon emissions reduction and consumers’ preference for low-carbon products. |
Publisher’s Note: MDPI stays neutral with regard to jurisdictional claims in published maps and institutional affiliations. |
© 2022 by the authors. Licensee MDPI, Basel, Switzerland. This article is an open access article distributed under the terms and conditions of the Creative Commons Attribution (CC BY) license (https://creativecommons.org/licenses/by/4.0/).
Share and Cite
Zhang, W.; Wang, F. Information Sharing in Competing Supply Chains with Carbon Emissions Reduction Incentives. Sustainability 2022, 14, 13086. https://doi.org/10.3390/su142013086
Zhang W, Wang F. Information Sharing in Competing Supply Chains with Carbon Emissions Reduction Incentives. Sustainability. 2022; 14(20):13086. https://doi.org/10.3390/su142013086
Chicago/Turabian StyleZhang, Weidong, and Fuqiang Wang. 2022. "Information Sharing in Competing Supply Chains with Carbon Emissions Reduction Incentives" Sustainability 14, no. 20: 13086. https://doi.org/10.3390/su142013086
APA StyleZhang, W., & Wang, F. (2022). Information Sharing in Competing Supply Chains with Carbon Emissions Reduction Incentives. Sustainability, 14(20), 13086. https://doi.org/10.3390/su142013086
