Evaluation of Green Logistics Efficiency in Jiangxi Province Based on Three-Stage DEA from the Perspective of High-Quality Development
Abstract
:1. Introduction
2. Literature Review
3. Construction of a Three-Stage DEA Model
- (1)
- The concept of high-quality development established in this paper also exists in other countries;
- (2)
- The indicator system established in this paper has the same indicators in other regions;
- (3)
- All data are available;
- (4)
- The green logistics efficiency of the selected provinces is affected by the external environment and random perturbations.
3.1. The First Stage of DEA Efficiency Measurement
3.2. The Second Stage of the Stochastic Frontier Approach
3.3. A Comparative Analysis of the Efficiency Values of the Third Stage
4. Design of Green Logistics Efficiency Evaluation Index from the Perspective of High-Quality Development
4.1. A System of Indicators of High-Quality Economy Development
4.2. Selection of Input–Output Index of Green Logistics Efficiency
- (I)
- Input index. From the perspective of capital input, energy input and labor input, we selected the following as input indicators: fixed asset investment in transportation; warehousing and postal services (X1); energy consumption (X2); number of employees in transportation, storage and postal industries at the end of the year (X3).
- (II)
- Out index. From the perspective of output scale and output quality, the following were selected as output indicators: total postal and telecommunications business (Y1); and value added to the tertiary industry (Y2).
- (III)
- Environmental criteria. Environmental indicators refer to factors that have an impact on the efficiency of the logistics industry and are outside the sample subjects. The environmental factors used in the logistics industry generally include the relevant institutions for logistics development, government policies, talents in logistics, infrastructure of the logistics industry, the level of information technology in logistics and the economic level. Using factor analysis and principal component analysis, we screened the indicators from the perspective of the results of regional economic production activities and the ability to innovate in science and technology. The following two indicators were selected as environmental indicators: GDP (Z1) and R&D expenditure (Z2).
5. Empirical Analysis
5.1. Data Sources
5.2. Spatial Effciency Analysis
5.3. Numerical Analysis
5.3.1. Empirical Study of the First Stage BCC Model
5.3.2. Analysis of the Second-Stage SFA Regression Results
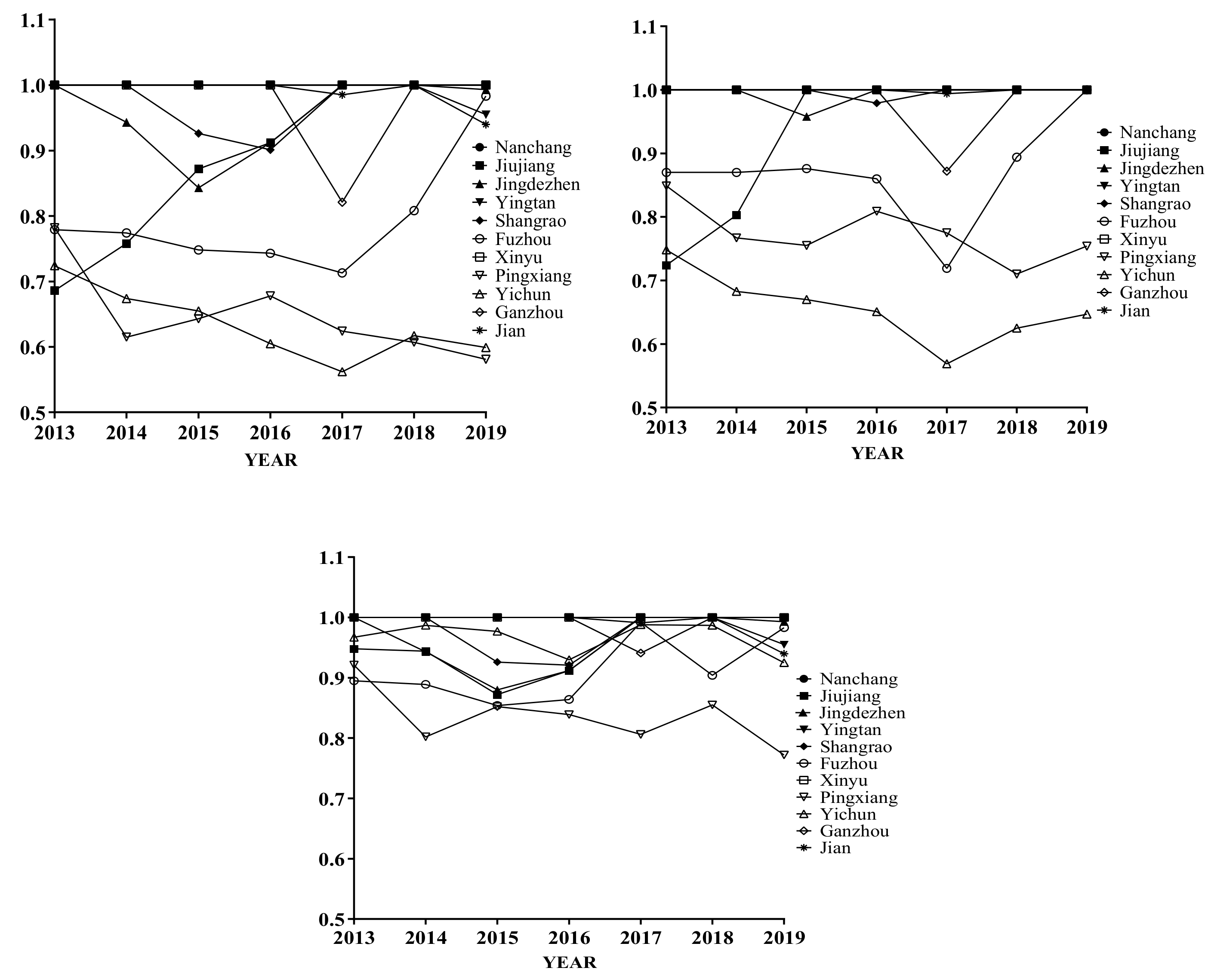
5.3.3. The Third-Stage Efficiency and Difference Analysis
6. Conclusions and Suggestions
6.1. Conclusions
- (I)
- There are great differences in green logistics efficiency and development quality between regional cities. Logistics efficiency is obviously affected by environmental factors, but the effect is different between different cities. Nanchang, Xinyu and Ganzhou city are at the forefront of efficiency, which are less affected by environmental factors. Logistics efficiency of other cities are obviously affected by environmental factors.
- (II)
- The comprehensive technical efficiency (TE) of green logistics in Jiangxi Province is strongly influenced by scale efficiency (SE). The poor scale efficiency reduces the comprehensive technical efficiency of green logistics.
- (III)
- There is a positive correlation between high-quality economic development and logistics efficiency. In these cities of Jiangxi province (Nanchang, Ganzhou, Jiujiang, etc.) the share of total economy and green logistics efficiency are high. The study proves that Jiangxi province is moving towards high-quality economic development, due to good environmental protection.
- (IV)
- In 2017, Jiangxi Province was recognized as a national ecological civilization pilot region by the State Council. Green logistics efficiency in Jiangxi Province showed an inflection point in 2017, indicating that the green concept is becoming more and more popular. From the government to enterprises, the province has achieved initial results in promoting the transformation of the economic development mode. It aims to provide reference for the high-quality development of other provinces.
6.2. Suggestion
Author Contributions
Funding
Institutional Review Board Statement
Informed Consent Statement
Data Availability Statement
Conflicts of Interest
References
- Liu, Y.; Liu, M.; Wang, G.; Zhao, L.; An, P. Effect of Environmental Regulation on High-quality Economic Development in China—An Empirical Analysis Based on Dynamic Spatial Durbin Model. Environ. Sci. Pollut. Res. 2021, 28, 54661–54678. [Google Scholar] [CrossRef] [PubMed]
- Wang, Y. The high-quality development of the new era calls for high-quality Zhejiang businessmen. Zhejiang Soc. Sci. 2018, 4, 62–68. [Google Scholar]
- Yan, B.R.; Dong, Q.L.; Li, Q.; Amin, F.U.; Wu, J.N. A Study on the Coupling and Coordination between Logistics Industry and Economy in the Background of High-Quality Development. Sustainability 2021, 13, 10360. [Google Scholar] [CrossRef]
- Huang, Q.; Wang, F.; Wu, A. The measurement of high-quality economic development in China is characterized by timely and empty evolution. Stat. Decis.-Mak. 2021, 37, 112–117. [Google Scholar]
- Li, Z.; Yang, W.; Wang, C.; Zhang, Y.; Yuan, X. Guided high-quality development, resources, and environmental forcing in China’s green development. Sustainability 2019, 11, 1936. [Google Scholar] [CrossRef] [Green Version]
- Jiang, Y.; Meng, Q.; Li, X. Performance evaluation of regional scientific and technological innovation driving high-quality economic development. Stat. Decis.-Mak. 2021, 37, 76–80. [Google Scholar]
- Cao, Y.; Li, W.; Lin, H. The path of high-quality development of China’s regional logistics industry is based on the empirical analysis of 31 provinces and municipalities in China. Bus. Res. 2020, 12, 66–74. [Google Scholar]
- Chen, Z.; Sun, G. A coordinated study on the coupling of scientific and technological innovation and high-quality economic development in Guangdong, Hong Kong and Macao. Yunnan Soc. Sci. 2021, 4, 92–100. [Google Scholar]
- Tian, Q.; Liu, Y.; Li, N.; Wu, Q.; Liu, M. Study on the efficiency evaluation of logistics industry in the Pan-Ring Bohai Economic Circle based on DEA. Road Traffic Technol. 2020, 37, 149–158. [Google Scholar]
- Bo, H.; Liu, T.; Liu, J.; Deng, S. A study on the level of open level of FTZ based on PCA-TOPSIS. Sci. Res. Manag. 2018, 39, 69–79. [Google Scholar]
- Wang, W.; Kao, X. The study of logistics efficiency measurement in Bohai Rim area from the perspective of high-quality development c is based on the three-stage DEA model. Bus. Res. 2021, 4, 75–84. [Google Scholar]
- Chen, Y. Under the background of high-quality economic development, the evaluation and promotion of regional logistics capacity in China--take Shandong Province as an example. Bus. Econ. Res. 2021, 15, 113–116. [Google Scholar]
- Elena, V.A. The Directions for Development of Logistics Management in Ukraine. Bìznes Inf. 2017, 9, 262–267. [Google Scholar]
- Deng, H.; Munkhtuul, J.; Liu, M. Analysis of logistics efficiency of China-Mongolia highway port based on DEA-Malmquist. J. Chongqing Polytech. Univ. Nat. Sci. 2021, 35, 224–230. [Google Scholar]
- Yu, Y.; Shen, Y.; Lian, W. Study on the efficiency of Chinese logistics enterprises based on THEA-Malmquist and Tobit models—Empirical evidence from listed companies. Pract. Underst. Math. 2020, 50, 95–105. [Google Scholar]
- Murphy, P.R.; Poist, R.F. Green perspectives and practices: A “comparative logistics” study. Supply Chain. Manag. 2003, 8, 122–131. [Google Scholar] [CrossRef]
- Wang, D.F.; Dong, Q.L.; Peng, Z.M.; Khan, S.A.R.; Tarasov, A. The green logistics impact on international trade: Evidence from developed and developing countries. Sustainability 2018, 10, 2235. [Google Scholar] [CrossRef] [Green Version]
- Ni, S.; Lin, Y.; Li, Y.; Shao, H.; Wang, S. An evaluation method for green logistics system design of agricultural products: A case study in Shandong province, China. Adv. Mech. Eng. 2019, 11, 1–9. [Google Scholar] [CrossRef] [Green Version]
- Li, A.; Chen, Y.; Wang, D. An empirical study of the factors influencing the willingness to implement green coal logistics in China. J. Clean. Prod. 2019, 245, 118932. [Google Scholar]
- Zhang, W.; Zhang, X.; Zhang, M.; Li, W. How to coordinate economic, logistics and ecological environment evidences from 30 Provinces and Cities in China. Sustainability 2020, 12, 1058. [Google Scholar] [CrossRef] [Green Version]
- Liu, F.; Xu, H. Heterogeneity of green TFP in China’s logistics industry under environmental constraints. Complexity 2020, 2020, 8842560. [Google Scholar] [CrossRef]
- Zhao, T.; Yang, Z. Towards green growth and management: Relative efficiency and gaps of Chinese cities. Renew. Sustain. Energy Rev. 2017, 80, 481–494. [Google Scholar] [CrossRef]
- Ren, Y.; Fang, C.; Lin, X.; Sun, S.; Li, G.; Fan, B. Evaluation of the eco-efficiency of four major urban agglomerations in coastal eastern China. J. Geogr. Sci. 2019, 29, 1315–1330. [Google Scholar] [CrossRef] [Green Version]
- Wang, L.; Song, X.; Song, X. Research on the measurement and spatial-temporal difference analysis of energy efficiency in China’s construction industry based on a game cross-efficiency model. J. Clean. Prod. 2021, 278, 123918. [Google Scholar] [CrossRef]
- Chen, J.X. A new approach to overall performance evaluation based on multiple contexts: An application to the logistics of China. Comput. Ind. Eng. 2018, 122, 170–180. [Google Scholar] [CrossRef]
- Li, J.; Liu, L. Study on the evolution of energy efficiency and emission reduction potential of all factors in logistics industry. Environ. Sci. Technol. 2019, 42, 222–231. [Google Scholar]
- Wang, G.; Yang, D. Internet and Traffic Logistics and Population Urbanization: Based on the “Two New Ones” Fusion Model. Econ. J. 2021, 8, 129–158. [Google Scholar]
- Wang, S.; Tian, L. Internet penetration level, logistics efficiency and network retail development from a spatial perspective. Res. World 2021, 8, 35–42. [Google Scholar]
- Zhang, H.; Yu, J. Two-stage efficiency evaluation model for the logistics industry facing the production process. J. Tongji Univ. Nat. Sci. Ed. 2021, 49, 591–598. [Google Scholar]
- Lu, M.; Xie, R.; Chen, P.; Zou, Y.; Tang, J. Green transportation and logistics performance: An improved composite index. Sustainability 2019, 11, 2976. [Google Scholar] [CrossRef] [Green Version]
- Cheng, C.; Mu, W. Study on the impact of environmental regulation on the green development of logistics industry—An empirical test from Beijing-Tianjin-Hebei region. Ind. Technol. Econ. 2021, 40, 107–114. [Google Scholar]
- Wang, Y.; Xin, L. The impact of China’s trade with economies participating in the Belt and Road Initiative on the ecological total factor energy efficiency of China’s logistics industry. J. Clean. Prod. 2020, 276, 124196. [Google Scholar] [CrossRef]
- Gan, W.; Xu, Y.; Huang, W.; Ding, R.; He, D. Research on total factor productivity of logistics industry in Jiangxi Province based on DEA-Malmquist. Ind. Eng. 2015, 18, 108–114. [Google Scholar]
- Gan, W.; Yao, W.; Liu, Z. Evaluation of the Impact of Logistics Industry on Regional Economic Vitality from the Perspective of National Logistics Hub Construction. Logist. Technol. 2020, 39, 16–22. [Google Scholar]
- Tian, X.; Zhang, M. Research on Spatial Correlations and Influencing Factors of Logistics Industry Development Level. Sustainability 2019, 11, 1356. [Google Scholar] [CrossRef] [Green Version]
- Lan, S.; Tseng, M.L. Coordinated Development of Metropolitan Logistics and Economy Toward Sustainability. Comput. Econ. 2018, 52, 1113–1138. [Google Scholar] [CrossRef]
- Moldabekova, A.; Philipp, R.; Satybaldin, A.A.; Prause, G. Technological readiness and innovation as drivers for logistics 4.0. J. Asian Financ. Econ. Bus. 2021, 8, 145–156. [Google Scholar]
- Färe, R.; Grosskopf, S.; Lindgren, B.; Roos, P. Productivity changes in Swedish pharmacies 19801989: A non-parametric approach. J. Product. Anal. 1992, 3, 85101. [Google Scholar]
- Liu, F.H.F.; Wang, P. DEA Malmquist productivity measure: Taiwanese semiconductor companies. Int. J. Prod. Econ. 2008, 112, 367–379. [Google Scholar] [CrossRef]
- Klumpp, M. Do forwarders improve sustainability efficiency? Evidence from a European DEA Malmquist Index Calculation. Sustainability 2017, 9, 842. [Google Scholar] [CrossRef] [Green Version]
- Andrejić, M.; Kilibarda, M.; Pajić, V. Measuring Efficiency Change in Time Applying Malmquist Productivity Index: A Case of Distribution Centers in Serbia. Facta Univ. Ser. Mech. Eng. 2021, 19, 499–514. [Google Scholar] [CrossRef]
- Fried, H.O.; Lovell, C.K.; Schmidt, S.S.; Yaisawarng, S. Accounting for Environmental Effects and Statistical Noise in Data Envelopment Analysis. J. Product. Anal. 2002, 17, 157–174. [Google Scholar] [CrossRef]
- Wang, Q.; Zhang, Y. Comprehensive Evaluationof the Silk Road Economic Belt “Core Zone” Logistics Efficiency and Differentiate Provincial and Country Comparison. Chin. J. Manag. Sci. 2016, 24, 152–157. [Google Scholar]
- Guan, L.; Zhao, W. Evaluation of the efficiency of rural infrastructure supply based on DEA-Malmquist. Stat. Decis.-Mak. 2020, 36, 172–175. [Google Scholar]
- Carayannis, E.G.; Grigoroudis, E.; Goletsis, Y. A multilevel and multistage efficiency evaluation of innovation systems: A multiobjective DEA approach. Expert Syst. Appl. 2016, 62, 63–80. [Google Scholar] [CrossRef]
- Charnes, A.; Cooper, W.W.; Rhodes, E. Measuring the efficiency of decision-making units. Eur. J. Oper. Res. 1979, 3, 339. [Google Scholar] [CrossRef]
- Banker, R.D.; Charnes, A.; Cooper, W.W. Some models for estimating technical and scale inefficiencies in data envelopment analysis. Manag. Sci. 1984, 30, 1078–1092. [Google Scholar] [CrossRef] [Green Version]
- Jondrow, J.; Lovell, C.K.; Materov, I.S.; Schmidt, P. On the estimation of technical inefficiency in the stochastic frontier production function model. J. Econom. 1982, 19, 233–238. [Google Scholar] [CrossRef] [Green Version]
- Yue, R. Three stage DEA model management inefficiency estimation note. Stat. Res. 2012, 29, 104–107. [Google Scholar]
- Chen, W.; Zhang, L.; Ma, T.; Liu, Q. A few studies on the three-stage DEA model. Syst. Eng. 2014, 32, 144–149. [Google Scholar]




| Characteristics | Secondary Indexes | Unit | Index Attribute |
|---|---|---|---|
| Innovation | R&D expenditure | 10,000 Yuan | Negative |
| Number of patent applications | parts | Positive | |
| Number of patents granted | parts | Positive | |
| Total postal and telecommunications business | Billions (Yuan) | Positive | |
| Coordination | Value added of primary industry/GDP | % | Positive |
| Value added of the secondary industry/GDP | % | Positive | |
| Value added of the tertiary industry | Billions (Yuan) | Positive | |
| Urban–rural disposable income | Yuan | Negative | |
| GDP | Billion Yuan | Positive | |
| Green | Energy consumption | Tons of standard coal | Positive |
| Wastewater discharge of tertiary industry | 10,000 Ton/Year | Negative | |
| CO2 emission | Kg | Negative | |
| Comprehensive utilization rate of general industrial solid waste | % | Negative | |
| Openness | Total imports and exports | Billions (dollars) | Positive |
| Foreign exchange income from international tourism | Billions (dollars) | Positive | |
| Fixed asset investment in transportation, warehousing and postal services | 10,000 Yuan | Positive | |
| Sharing | Logistics storage land | Square kilometers | Positive |
| Number of employees in transportation, storage and postal industries at the end of the year | 10,000 people | Positive | |
| Number of Internet broadband access users | 10,000 households | Positive |
| The Type of Energy | NCV (kJ/kg) | CEF (kgC/CJ) | COF | Standard Coal Conversion Coefficient (kgC/kg) |
|---|---|---|---|---|
| Raw coal | 20,908 | 25.8 | 1 | 0.7143 |
| Gasoline | 43,070 | 18.9 | 1 | 1.4714 |
| Kerosene | 43,070 | 19.6 | 1 | 1.4714 |
| Diesel oil | 42,652 | 20.2 | 1 | 1.4571 |
| Fuel oil | 41,815 | 21.2 | 1 | 1.4283 |
| Liquefied natural gas | 50,171 | 17.3 | 1 | 1.7141 |
| Natural gas | 38,930 | 15.2 | 1 | 1.3301 |
| Category | Specific Indictors | Variable | Index Explanation |
|---|---|---|---|
| Input | Capital | X1 | Transportation, storage and postal fixed assets investment includes construction and installation projects, equipment, tools, equipment purchase and other costs. |
| Energy consumption | X2 | Energy consumption includes the total consumption of raw coal and crude oil and their products, natural gas and electricity. | |
| employees | X3 | Number of employees in transportation, storage and postal industries at the end of the year. | |
| Output | Demand scale | Y1 | The total amount of post and telecommunication business reflects the total achievements of post and telecommunication work in a certain period, reflecting the demand scale of the logistics industry. |
| Added value of tertiary industry | Y2 | The added value of tertiary industry refers to the growth value of the circulation and service industry in the cycle (usually annual) over the previous liquidation cycle. | |
| Environmental | GDP | Z1 | GDP refers to the final results of the production activities of the permanent residence units around the region in a certain period of time. |
| R&D expenditure | Z2 | R&D expenditure refers to scientific research funds and the cost of scientific research. |
| Year | Index | Y1 | Y2 | Year | Index | Y1 | Y2 |
|---|---|---|---|---|---|---|---|
| 2013 | X1 | 0.910 *** | 0.753 *** | 2017 | X1 | 0.309 * | 0.355 * |
| X2 | 0.543 * | 0.661 ** | X2 | 0.720 ** | 0.780 *** | ||
| X3 | 0.910 ** | 0.742 *** | X3 | 0.645 * | 0.643 ** | ||
| 2014 | X1 | 0.912 *** | 0.719 ** | 2018 | X1 | 0.868 *** | 0.781 *** |
| X2 | 0.582 * | 0.648 ** | X2 | 0.730 ** | 0.839 *** | ||
| X3 | 0.844 ** | 0.722 ** | X3 | 0.768 * | 0.687 ** | ||
| 2015 | X1 | 0.856 *** | 0.660 ** | 2019 | X1 | 0.848 *** | 0.847 *** |
| X2 | 0.626 * | 0.737 *** | X2 | 0.744 *** | 0.808 *** | ||
| X3 | 0.818 ** | 0.673 ** | X3 | 0.851 *** | 0.727 ** | ||
| 2016 | X1 | 0.722 * | 0.628 ** | ||||
| X2 | 0.661 * | 0.770 *** | |||||
| X3 | 0.760 ** | 0.705 ** |
| Independent Variable | Year | Constant | Z1 | Z2 | σ2 | γ | Log Likelihood Function | LR Test of the One-Sided Error |
|---|---|---|---|---|---|---|---|---|
| X1 | 2013 | −57,074.24 | 52.04 | −0.33 | 84,923,892.00 | 0.9999 | −133.75 | 5.4276 |
| 2014 | −51,148.01 | 32.16 | −0.11 | 351,466,110.00 | 0.9999 | −140.22 | 7.6720 | |
| 2015 | −36,987.75 | 13.41 | −0.04 | 559,527,500.00 | 0.9999 | −142.32 | 8.6230 | |
| 2016 | −31,474.15 | 7.99 | −0.01 | 217,073,610.00 | 0.9999 | −137.19 | 8.4209 | |
| 2017 | −903,826.26 | 85.41 | 0.84 | 27,186,879,000.00 | 0.9999 | −164.35 | 7.422 | |
| 2018 | −69,412.96 | −22.02 | 0.16 | 616,301,710.00 | 0.9999 | −144.14 | 5.9971 | |
| 2019 | −166,724.22 | −9.83 | 0.32 | 984,244,690.00 | 0.9999 | −145.77 | 5.3177 | |
| X2 | 2013 | −75.80 | 0.06 | 0.00 | 18,265.83 | 0.9999 | −61.39 | 5.4354 |
| 2014 | −68.89 | 0.05 | 0.00 | 23,303.35 | 0.9999 | −62.38 | 6.8700 | |
| 2015 | −44.90 | 0.03 | 0.00 | 25,782.08 | 0.9999 | −61.96 | 8.8061 | |
| 2016 | −63.15 | 0.04 | 0.00 | 59,356.24 | 0.9999 | −66.48 | 8.9452 | |
| 2017 | −68.69 | 0.02 | 0.00 | 51,549.45 | 0.9999 | −66.19 | 7.9655 | |
| 2018 | −106.94 | 0.04 | 0.00 | 40,770.65 | 0.9999 | −64.56 | 8.8656 | |
| 2019 | −94.92 | 0.00 | 0.00 | 39,385.37 | 0.9999 | −64.62 | 3.7720 | |
| X3 | 2013 | 0.02 | −0.00 | 0.00 | 244.54 | 0.9999 | −36.95 | 5.435 |
| 2014 | −0.02 | 0.00 | 0.00 | 301.28 | 0.9999 | −37.56 | 8.7403 | |
| 2015 | −6.05 | 0.00 | 0.00 | 344.32 | 0.9999 | −38.67 | 7.9069 | |
| 2016 | −18.62 | 0.01 | 0.00 | 1896.03 | 0.9999 | −48.31 | 7.4038 | |
| 2017 | −25.86 | 0.00 | 0.00 | 4670.73 | 0.9999 | −53.89 | 6.1528 | |
| 2018 | −18.68 | 0.01 | 0.00 | 675.83 | 0.9999 | −42.28 | 8.1052 | |
| 2019 | −12.49 | 0.00 | 0.00 | 462.35 | 0.9999 | −40.40 | 9.2546 |
Publisher’s Note: MDPI stays neutral with regard to jurisdictional claims in published maps and institutional affiliations. |
© 2022 by the authors. Licensee MDPI, Basel, Switzerland. This article is an open access article distributed under the terms and conditions of the Creative Commons Attribution (CC BY) license (https://creativecommons.org/licenses/by/4.0/).
Share and Cite
Gan, W.; Yao, W.; Huang, S. Evaluation of Green Logistics Efficiency in Jiangxi Province Based on Three-Stage DEA from the Perspective of High-Quality Development. Sustainability 2022, 14, 797. https://doi.org/10.3390/su14020797
Gan W, Yao W, Huang S. Evaluation of Green Logistics Efficiency in Jiangxi Province Based on Three-Stage DEA from the Perspective of High-Quality Development. Sustainability. 2022; 14(2):797. https://doi.org/10.3390/su14020797
Chicago/Turabian StyleGan, Weihua, Wenpei Yao, and Shuying Huang. 2022. "Evaluation of Green Logistics Efficiency in Jiangxi Province Based on Three-Stage DEA from the Perspective of High-Quality Development" Sustainability 14, no. 2: 797. https://doi.org/10.3390/su14020797
APA StyleGan, W., Yao, W., & Huang, S. (2022). Evaluation of Green Logistics Efficiency in Jiangxi Province Based on Three-Stage DEA from the Perspective of High-Quality Development. Sustainability, 14(2), 797. https://doi.org/10.3390/su14020797

