Seismic Performance of Hybrid Corrosion-Free Self-Centering Concrete Shear Walls
Abstract
:1. Introduction
2. SMA-FRP Composite Bar
3. Shear Wall Design
4. Numerical Modeling
4.1. Damage Criteria
4.2. Numerical Model Validation
5. Lateral Force–Displacement Response
5.1. Effect of Axial Load Ratio (Cases 1, 2, and 3)
5.2. Effect of Boundary Element Length (Case 2, 4, and 5)
5.3. Effect of Boundary Element Reinforcement Ratio (Case 6, 9, and 10)
5.4. Effect of web reinforcement ratio (Case 6, 7, and 8)
6. Dynamic Analysis
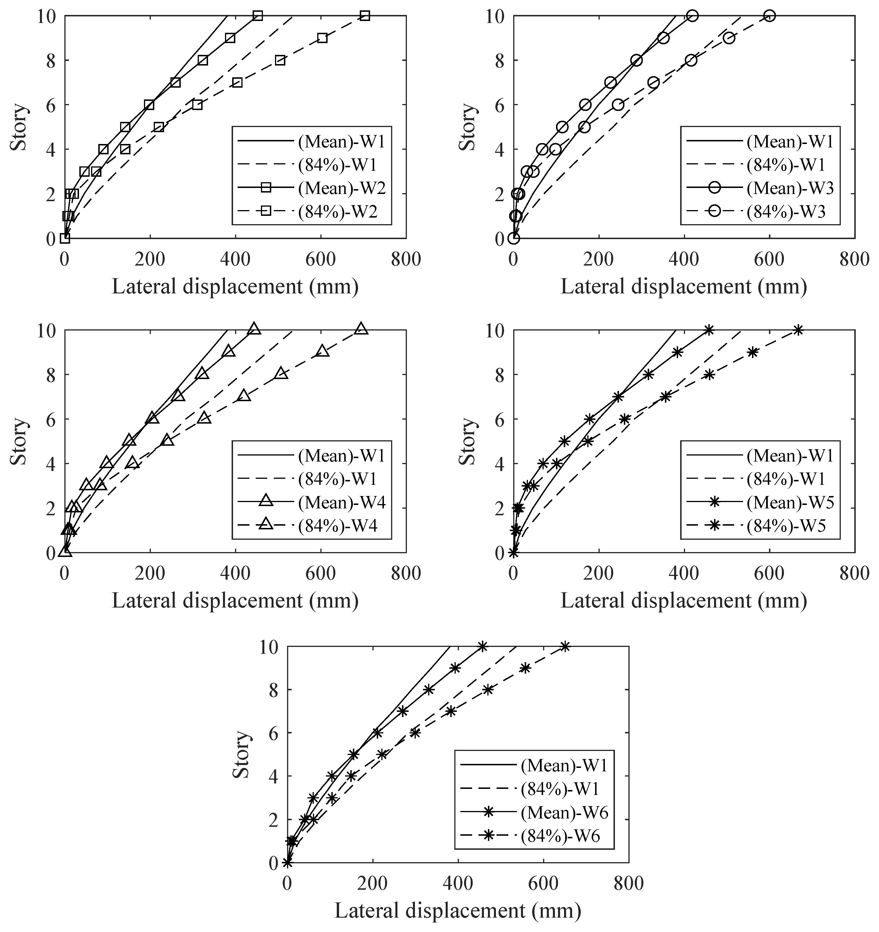
6.1. Story Displacements
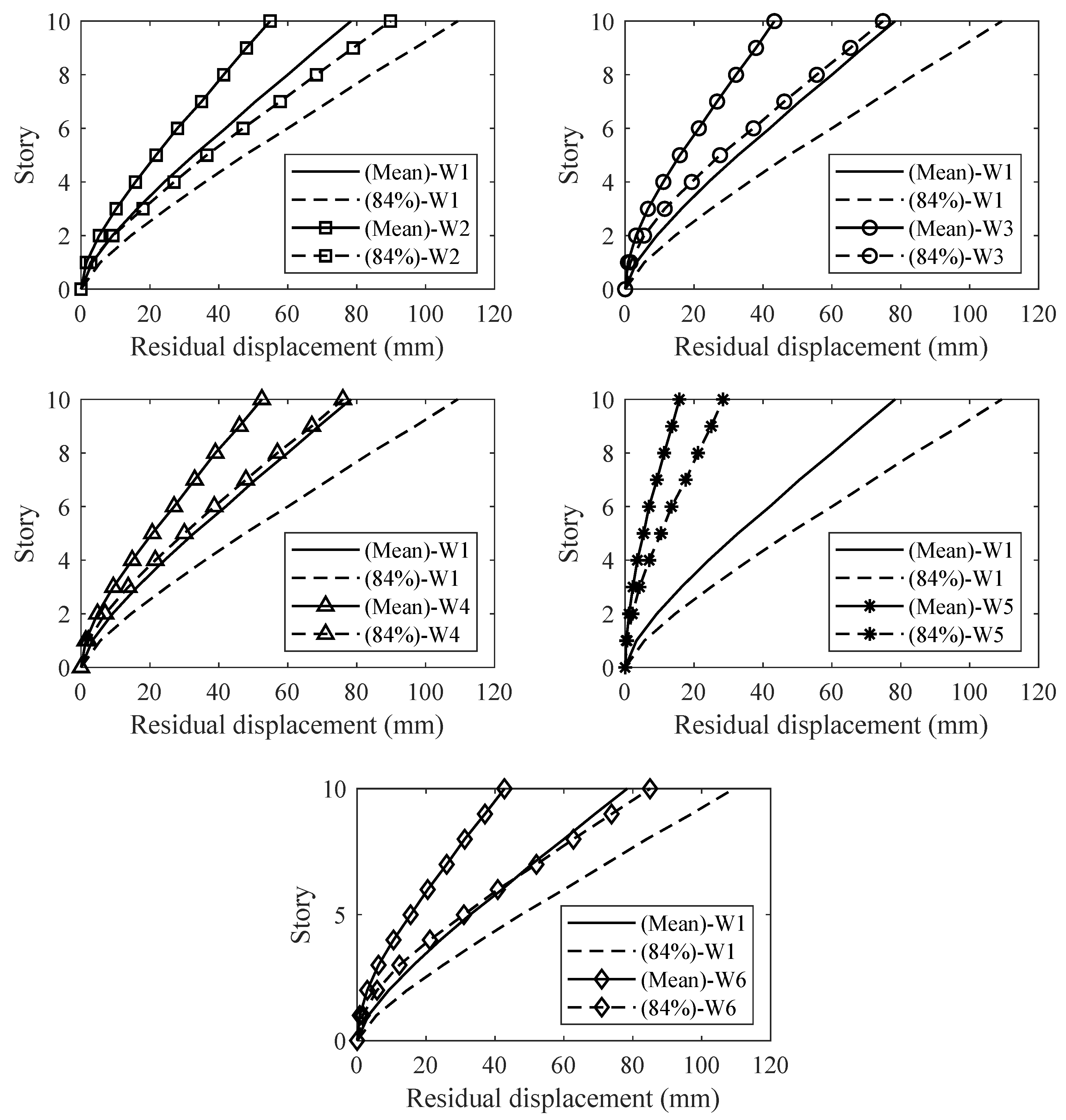
6.2. Residual Displacements
6.3. Floor Acceleration
6.4. Internal Forces and Moments
6.5. Damage Level
7. Conclusions
- 1.
- Pushover Analysis:
- a.
- The axial load increased the lateral resistance of the examined walls as it delayed the yielding of the longitudinal bars. This delay significantly reduced the ductility for walls that were reinforced with either steel or SMA bars. However, the ductility for walls reinforced with composite bars was not significantly reduced due to their lower yield strength.
- b.
- The improvement in the lateral load capacity and lateral displacement capacity associated with increasing the length of the boundary elements is slight for steel RC walls, visible for SMA RC walls (i.e., 3% to 20%), and major for composite RC walls (i.e., 17% to 68%).
- c.
- Increasing the longitudinal reinforcement of the wall boundary elements increased the lateral capacity of the considered walls but did not affect their displacement capacity.
- d.
- The web reinforcement had a minor effect on the load and displacement capacities. This effect vanishes for reinforcement ratios higher than 0.4%.
- 2.
- Seismic Analysis
- a.
- For the frequent 10% in 50 y seismic events, the story displacements are not greatly affected by the type of reinforcement. However, for the 2% in 50 y seismic events, utilizing SMA or composite bars increases the maximum story displacements by 10 to 31% as well as the MID by about 40% due to their relatively low modulus of elasticity.
- b.
- The recentering capability of SMA and composite bars significantly reduced the seismic residual deformations, as well as the RIDs. Utilization of the composite bars in the web and boundary elements for the length of the lower plastic hinge provided the best performance in terms of residual deformations. It reduced the seismic residual deformations by about 80% and the RIDs by about 64%. The residual deformations for this case were also judged to meet the serviceability limit, which indicates that the wall requires minor repair following a major seismic event. Some of the analysis cases showed a significant difference between the mean and the 84% seismic residual deformations. This observation suggests that care should be taken in designing structures utilizing SMA and composite bars to ensure that they achieve the required reduction in seismic residual deformations for a wide array of seismic events.
- c.
- For the case of a moderate seismic event, the studied SMA and composite RC walls had lower shear forces and bending moments when compared with the steel RC wall. This observation held true for SMA RC walls considering the case of major seismic events. However, the bending moments were increased by 35% on average for composite RC walls suggesting the need to conduct future studies to develop criteria to design such walls.
- d.
- The strain results from both reinforcements and concrete imply a significant margin of safety against damage for composite RC walls (i.e., the SMA and composite bar strains were lower than the steel and concrete strains by 64% and 52% on average, respectively). The use of SMA bars reduced the level of concrete damage but did not eliminate it.
Author Contributions
Funding
Institutional Review Board Statement
Informed Consent Statement
Data Availability Statement
Conflicts of Interest
References
- Liu, C.; Ni, X.; Wu, H.; Wei, X.; He, B. Calculation theory and test verification for skeleton curve of T-shaped shear walls. Struct. Eng. Int. 2017, 27, 281–291. [Google Scholar] [CrossRef]
- Liu, C.; Fang, D.; Zhao, L. Reflection on earthquake damage of buildings in 2015 Nepal earthquake and seismic measures for post-earthquake reconstruction. In Structures; Elsevier: Amsterdam, The Netherlands, 2021; Volume 30, pp. 647–658. [Google Scholar] [CrossRef]
- Bank, L.C. Composites for Construction: Structural Design with FRP Materials; John Wiley & Sons, Inc.: Hoboken, NJ, USA, 2006. [Google Scholar]
- Kassem, C.; Farghaly, A.S.; Benmokrane, B. Evaluation of flexural behavior and serviceability performance of concrete beams reinforced with FRP Bars. J. Compos. Constr. 2011, 15, 682–695. [Google Scholar] [CrossRef]
- El-Salakawy, E.; Benmokrane, B.; El-Ragaby, A.; Nadeau, D. Field investigation on the first bridge deck slab reinforced with glass FRP bars constructed in Canada. J. Compos. Constr. 2005, 9, 470–479. [Google Scholar] [CrossRef]
- Tobbi, H.; Farghaly, A.S.; Benmokrane, B. Concrete columns reinforced longitudinally and transversally with glass fiber-reinforced polymer bars. ACI Struct. J. 2012, 109, 551–558. [Google Scholar]
- Mohamed, N.; Farghaly, A.S.; Benmokrane, B.; Neale, K.W. Experimental investigation of concrete shear walls reinforced with glass fiber-reinforced bars under lateral cyclic loading. J. Compos. Constr. 2014, 18, A4014001. [Google Scholar] [CrossRef]
- Yamakawa, T.; Fujisaki, T. A study on elasto-plastic behavior of structural walls reinforced by CFRP grids. In Proceedings of the Second International RILEM Symposium (FRPRCS-2), Ghent, Belgium, 23–25 August 1995; pp. 306–313. [Google Scholar]
- McCormick, J.; Tyber, J.; DesRoches, R.; Gall, K.; Maier, H.J. Structural engineering with NiTi. II: Mechanical behavior and scaling. J. Eng. Mech. 2007, 133, 1019–1029. [Google Scholar]
- Meshaly, M.E.; Youssef, M.A.; Abou Elfath, H.M. Use of SMA Bars to Enhance the Seismic Performance of SMA Braced RC Frames. Earthq. Struct. 2014, 6, 267–280. [Google Scholar] [CrossRef]
- Araki, Y.; Shrestha, K.C.; Maekawa, N.; Koetaka, Y.; Omori, T.; Kainuma, R. Shaking table tests of steel frame with superelastic Cu-Al-Mn SMA tension braces. Earthq. Eng. Struct. Dyn. 2016, 45, 297–314. [Google Scholar] [CrossRef]
- Qiu, C.; Zhu, S. Shake table test and numerical study of self-centering steel frame with SMA braces. Earthq. Eng. Struct. Dyn. 2017, 46, 117–137. [Google Scholar] [CrossRef]
- Sultana, P.; Youssef, M.A. Seismic performance of modular steel frames equipped with shape memory alloy braces. Bull. Earthq. Eng. 2018, 16, 5503–5527. [Google Scholar] [CrossRef]
- Youssef, M.A.; Alam, M.S.; Nehdi, M. Experimental investigation on the seismic behaviour of beam-column joints reinforced with superelastic shape memory alloys. J. Earthq. Eng. 2008, 12, 1205–1222. [Google Scholar] [CrossRef]
- Saiidi, M.S.; Sadrossadat-Zadeh, M.; Ayoub, C.; Itani, A. Pilot study of behavior of concrete beams reinforced with shape memory alloys. J. Mater. Civ. Eng. 2007, 19, 454–461. [Google Scholar] [CrossRef]
- Tazarv, M.; Saiidi, M.S. Analytical studies of the seismic performance of a full-scale SMA-reinforced bridge column. Int. J. Bridge Eng. 2013, 1, 37–50. [Google Scholar]
- Abdulridha, A. Performance of Superelastic Shape Memory Alloy Reinforced Concrete Elements Subjected to Monotonic and Cyclic Loading. Ph.D. Thesis, University of Ottawa, Ottawa, ON, Canada, 2012. [Google Scholar]
- Abraik, E.; Youssef, M.A. Cyclic performance of shape memory alloy reinforced concrete walls 2015. In Response of Structures under Extreme Loading, In Proceedings of the Fifth International Workshop on Performance, Protection, and Strength of Structures under Extreme Loading, Lansing, MI, USA, 28–30 June 2015; pp. 326–333.
- Abraik, E.; Youssef, M.A. Ductility and overstrength of shape-memory-alloy reinforced-concrete shear walls. Eng. Struct. 2021, 239, 112236. [Google Scholar] [CrossRef]
- Abraik, E.; Youssef, M.A. Seismic Fragility assessment of superelastic shape memory alloy reinforced concrete shear walls. J. Build. Eng. 2018, 19, 142–153. [Google Scholar] [CrossRef]
- Zafar, A.; Andrawes, B. Incremental dynamic analysis of concrete moment resisting frames reinforced with shape memory composite bars. J. Smart Mater. Struct. 2012, 21, 025013. [Google Scholar] [CrossRef]
- Zafar, A.; Andrawes, B. Experimental flexural behavior of SMA-FRP reinforced concrete beam. Front. Struct. Civ. Eng. 2013, 7, 341–355. [Google Scholar] [CrossRef]
- Zafar, A.; Andrawes, B. Fabrication and cyclic behavior of highly ductile superelastic shape memory composites. J. Mater. Civ. Eng. 2014, 26, 622–632. [Google Scholar] [CrossRef]
- Zafar, A.; Andrawes, B. Seismic behavior of SMA-FRP reinforced concrete frames under sequential seismic hazard. Eng. Struct. 2015, 98, 163–173. [Google Scholar] [CrossRef]
- NBCC. The National Building Code of Canada; National Research Council: Ottawa, ON, Canada, 2015. [Google Scholar]
- CSA A23. 3. Design of Concrete Structures; Canadian Standards Association: Mississauga, ON, Canada, 2014. [Google Scholar]
- OpenSees. Open System for Earthquake Engineering Simulation; University of California at Berkeley: Berkeley, CA, USA, 2018. [Google Scholar]
- ASCE 41. Seismic Rehabilitation of Existing Buildings; American Society of Civil Engineers: Reston, VA, USA, 2006. [Google Scholar]
- Menegotto, M.; Pinto, P.E. Method of analysis of cyclically loaded RC plane frames including changes in geometry and non-elastic behavior of elements under normal force and bending. In Symposium on the Resistance and Ultimate Deformability of Structures Acted on by Well Defined Repeated Loads; International Association for Bridge and Structural Engineering: Zurich, Switzerland, 1973; pp. 15–22. [Google Scholar]
- Mander, J.B.; Priestley, M.J.; Park, R. Theoretical stress-strain model for confined concrete. J. Struct. Eng. ASCE 1988, 114, 1804–1826. [Google Scholar] [CrossRef] [Green Version]
- Kowalsky, M.J. Deformation limit states for circular reinforced concrete bridge columns. J. Struct. Eng. 2000, 126, 869–878. [Google Scholar] [CrossRef]
- Sharbatdar, M.K.; Saatcioglu, M. Seismic Design of FRP Reinforced Concrete Structures. Asian J. Appl. Sci. 2009, 2, 211–222. [Google Scholar]
- Hurlebaus, S.; Gaul, L. Smart structure dynamics. Mech. Syst. Signal Process. 2006, 20, 255–281. [Google Scholar] [CrossRef]
- Henry, R.; Sritharan, S.; Ingham, J. Residual drift analyses of realistic self-centering concrete wall systems. Earthq. Struct. 2016, 10, 409–428. [Google Scholar] [CrossRef]
- McCormick, J.; Aburano, H.; Ikenaga, M.; Nakashima, M. Permissible residual deformation level for building structures considering both safety and human elements. In Proceedings of the 14th World Conference on Earthquake Engineering, Beijing, China, 12–17 October 2008. [Google Scholar]
- Priestley, M.J.N.; Calvi, G.M.; Kowalsky, M.J. Direct displacement-based seismic design of structures. In Proceedings of the Performance by Design—Can We Predict It, New Zealand Society for Earthquake Engineering (NZSEE) Conference, Palmerston North, New Zealand, 30 March–1 April 2007. [Google Scholar]
- ASCE 7. Minimum Design Loads for Buildings and Other Structures; ASCE/SEI 7: Reston, VA, USA, 2016. [Google Scholar]






















| Material | Parameter | Value [17] |
|---|---|---|
| Ni–Ti SMA (55.9% Nickel and 44.1% Titanium) | Austenite to Martensite start stress, (MPa) | 380 |
| Austenite modulus, (MPa) | 36,459 | |
| Martensite modulus, (MPa) | 365 | |
| Recoverable strain | 7% | |
| Austenite to Martensite finish stress (MPa) | 520 | |
| Martensite to Austenite start stress (MPa) | 209 | |
| Martensite to Austenite finish stress (MPa) | 170 |
| Material | Parameter | Value [21] |
|---|---|---|
| FPR | Modulus of elasticity () | 86.7 GPa |
| Rupture strain | 3.0% | |
| Resin | Modulus of elasticity | 1.57 GPa |
| Yield stress | 32.0 MPa | |
| SMA | Modulus of elasticity | 65.0 GPa |
| Austenite to Martensite start stress | 500 MPa | |
| Austenite to Martensite finish stress | 510 MPa | |
| Martensite to Austenite start stress | 135 MPa | |
| Martensite to Austenite finish stress | 145 MPa |
| Wall | |||||||
|---|---|---|---|---|---|---|---|
| Steel RC wall [17] | 2200 | 1000 | 150 | 30 | 425 380 | 1.33 | 0.88 |
| SMA RC wall [17] | 1.68 |
| Case | Axial Load Ratio (%) | Boundary Length (mm) | Boundary Reinforcement Ratio (%) | Web Reinforcement Ratio (%) |
|---|---|---|---|---|
| 1 | 0 | 500 | 1.28 | 0.25 |
| 2 | 10 | 500 | 1.28 | 0.25 |
| 3 | 15 | 500 | 1.28 | 0.25 |
| 4 | 10 | 600 | 1.28 | 0.25 |
| 5 | 10 | 700 | 1.28 | 0.25 |
| 6 | 10 | 500 | 1.28 | 0.25 |
| 7 | 10 | 500 | 1.28 | 0.40 |
| 8 | 10 | 500 | 1.28 | 1.00 |
| 9 | 10 | 500 | 1.50 | 0.25 |
| 10 | 10 | 500 | 2.00 | 0.25 |
| Hazard Level | Earthquake (Eq) with Components C1 and C2 | Station | Magnitude | Scale |
|---|---|---|---|---|
| 10% in 50 y | 1. Northridge-01 | LA - Baldwin Hills | 6.69 | 0.73 |
| 2. Northridge-01b | LA - W 15th St | 6.69 | 0.94 | |
| 3. Chuetsu-oki, Japan | Sanjo Shinbori | 6.80 | 0.39 | |
| 4. Chuetsu-oki, Japan(b) | Niigata Nishi Kaba District | 6.80 | 0.78 | |
| 5. El Mayor-Cucapah, Mexico | Calexico Fire Station | 7.20 | 0.41 | |
| 6. Darfield, New Zealand | RKAC | 7.00 | 1.01 | |
| 7. El Mayor-Cucapah, Mexico | Westside School | 7.20 | 0.35 | |
| 2% in 50 y | 8. Imperial Valley-06 | El Centro Array #1 | 6.53 | 2.98 |
| 9. Imperial Valley-06 | El Centro Array #12 | 6.53 | 1.88 | |
| 10. Imperial Valley-06 | El Centro Array #13 | 6.53 | 2.40 | |
| 11. Northridge-01 | LA - Baldwin Hills | 6.69 | 1.50 | |
| 12. Northridge-01 | LA - W 15th St | 6.69 | 1.96 | |
| 13. Chuetsu-oki, Japan | Hinodecho Yoshida | 6.80 | 1.72 | |
| 14. ElMayor-Cucapah, Mexico | Calexico Fire Station | 7.20 | 0.85 |
| Wall | Seismic Risk | MID (%) | MRID (%) | ||
|---|---|---|---|---|---|
| MEAN | 84% | MEAN | 84% | ||
| W1 | 10% in 50 y | 0.67 | 0.80 | 0.07 | 0.14 |
| 2% in 50 y | 1.70 | 2.48 | 0.33 | 0.43 | |
| W2 | 10% in 50 y | 0.70 | 1.04 | 0.04 | 0.11 |
| 2% in 50 y | 2.29 | 3.59 | 0.24 | 0.38 | |
| W3 | 10% in 50 y | 0.63 | 0.87 | 0.02 | 0.04 |
| 2% in 50 y | 2.40 | 3.40 | 0.20 | 0.34 | |
| W4 | 10% in 50 y | 0.64 | 0.84 | 0.03 | 0.05 |
| 2% in 50 y | 2.55 | 3.27 | 0.23 | 0.29 | |
| W5 | 10% in 50 y | 0.64 | 0.85 | 0.03 | 0.05 |
| 2% in 50 y | 2.45 | 3.36 | 0.08 | 0.13 | |
| W6 | 10% in 50 y | 0.57 | 0.71 | 0.013 | 0.03 |
| 2% in 50 y | 2.29 | 3.33 | 0.20 | 0.40 | |
Publisher’s Note: MDPI stays neutral with regard to jurisdictional claims in published maps and institutional affiliations. |
© 2022 by the authors. Licensee MDPI, Basel, Switzerland. This article is an open access article distributed under the terms and conditions of the Creative Commons Attribution (CC BY) license (https://creativecommons.org/licenses/by/4.0/).
Share and Cite
Abraik, E.; Youssef, M.A.; El-Fitiany, S.F. Seismic Performance of Hybrid Corrosion-Free Self-Centering Concrete Shear Walls. Sustainability 2022, 14, 712. https://doi.org/10.3390/su14020712
Abraik E, Youssef MA, El-Fitiany SF. Seismic Performance of Hybrid Corrosion-Free Self-Centering Concrete Shear Walls. Sustainability. 2022; 14(2):712. https://doi.org/10.3390/su14020712
Chicago/Turabian StyleAbraik, Emad, Maged A. Youssef, and Salah F. El-Fitiany. 2022. "Seismic Performance of Hybrid Corrosion-Free Self-Centering Concrete Shear Walls" Sustainability 14, no. 2: 712. https://doi.org/10.3390/su14020712
APA StyleAbraik, E., Youssef, M. A., & El-Fitiany, S. F. (2022). Seismic Performance of Hybrid Corrosion-Free Self-Centering Concrete Shear Walls. Sustainability, 14(2), 712. https://doi.org/10.3390/su14020712

