Abstract
Noise pollution poses a significant hazard to humans by disrupting the maintenance of the quiet environment that is thought to promote innovation. In this study, the causal relationship between traffic noise and innovation was explored using four models. First, the panel data model with fixed effects was applied to determine the impact of traffic noise on innovation. Second, the interaction model was used to estimate the health regulatory effect. Third, the regression discontinuity model was used to identify the natural experience of the impact of traffic noise on innovation and further determine the causal effect of the noise threshold. Finally, the difference-in-differences model was used to identify the micro impact of traffic noise on innovation. The results show that from macro and micro perspectives, traffic noise suppresses innovation, and that health has a differential impact on the traffic noise–innovation relationship. In addition, we identified the critical point at which the impact of traffic noise on innovation is favorable owing to the white noise effect, providing a quantitative basis for policy implementation. Our results show that current environmental noise regulations must be re-examined to determine new measures for improving the innovative acoustic environment, promoting innovation, and achieving sustainable economic development.
1. Introduction
During the past few decades, China has been constantly confronted with problems caused by increasing road traffic. This increase in traffic demand leads to an adverse effect on traffic safety, air pollution, and energy consumption [,]. Apart from these negative effects, a very important factor regarding environmental pollution in urban areas is noise. Among different sources of noise that are present in an urban area, traffic noise is by far the most annoying noise source [,]. According to the Annual Report on China Environmental Noise Prevention and Control issued by the Ministry of Ecology and Environment of China, 20.9% of the cities in China are exposed to road traffic noise with an equivalent sound pressure level exceeding 55 dB in 2003, the proportion increased to 48.6% in 2018. Traffic noise pollution arises as a severe problem that cannot be ignored.
Noise pollution is one of the three most significant environmental pollution problems, along with water and air pollution []. Traffic noise pollution has become a significant public hazard in urban areas, causing physical and psychological harm to residents, and has been shown to cause mental stress [,,,], memory decline [,,], anxiety [,,], insomnia [,,,], and traffic noise-related diseases [,,,]. These harmful effects of traffic noise can impact the quality of life, learning efficiency, and work innovation [,,,]. Previous studies have mainly focused on the effects of traffic noise on health, with few studies exploring the impact of traffic noise on innovation.
Innovation involves the construction of new ideas, technologies, and products [] and is a significant stimulus for economic and social development []. The optimization of environmental conditions can help to increase the rate of innovation. Previous studies have suggested that quiet environments favor concentration and thus improve innovation [], stating that all unnecessary interference must be eliminated to obtain continuous creativity [,]. However, other studies have shown that for creativity-related tasks, white noise, such as soft hissing (a sound with a power spectral density evenly distributed throughout the frequency domain) may be more helpful [,] and that appropriate noise may affect concentration and disturb “normal thinking”, stimulating creativity []. For example, a study on the “Starbucks effect” showed that when participants were exposed to a coffee shop environment with a medium noise level, their creative thought increased [].
This study aims to (1) establish the impacts of traffic noise on regional innovation and enterprise innovation, (2) identify the moderating mechanism of health on this relationship, and (3) analyze the differential impact of traffic noise amplitude on innovative behavior. To achieve these aims, multiple models were used: first, a panel regression model with fixed effects was used to identify the effect of city traffic noise on city innovation; second, the regression discontinuity method was adopted to identify the critical value at which traffic noise improves rather than harms innovation; third, an interaction model was used to identify the health regulation mechanism by which traffic noise affects innovation; finally, the micro-influence of highway noise on enterprise innovation was examined, and a quasi-natural experiment was conducted using the difference-in-differences model.
This study adopts city-level statistical and large-scale traffic geographical location data and uses the regression discontinuity and difference-in-differences models to conduct quasi-natural experiments, which can accurately identify causal relationships. The results are therefore more precise and applicable to a broader range, contributing to the marginal value of the study. The quantitative analysis of traffic noise has several applications, such as being used to inform policy design concerning urban design, traffic flow, and vehicle improvement. The results of this study will provide insights into effectively controlling traffic noise pollution and promoting high-quality innovation.
2. Materials and Methods
2.1. Empirical Models
2.1.1. Panel Regression Model
This study used the panel regression model with fixed effects to estimate the impact of traffic noise pollution on innovation. The estimation equation is as follows:
where is the city, is the year, is the explained variable that indicates the level of urban innovation, is an explanatory variable representing traffic noise pollution, is the control variable vector that affects innovation, and are the city fixed effect and the time fixed effect, respectively (which control the city-related influenced factors that change with time), is a random error term, is a constant term, is the coefficient of the explanatory variable to capture the impact of traffic noise on innovation, and is the coefficient of the control variable.
2.1.2. Interaction Model
To evaluate the regulatory effect of health on the relationship between traffic noise and innovation, we introduced the health explanatory variable and the interaction term between health and traffic noise based on the panel model with fixed effects. The model is as follows:
where is an explanatory variable that indicates human health, is a constant term, is the coefficient of the noise variable, is the coefficient of the health explanatory variable, is the coefficient of the interaction term and measures how the impact of traffic noise on innovation changes with changes in health.
2.1.3. Regression Discontinuity Model
Although city characteristics are controlled in the regression model, some individual characteristics, such as individuals’ intellectual or creative ability, are beyond our control or cannot be observed. When using the panel model with fixed effects to estimate the impact of traffic noise on innovation, some variables were therefore absent. Parameter estimation errors caused by missing variables are collectively referred to as endogeneity, which can be overcome using the identification of causality. Therefore, the regression discontinuity model and difference-in-differences method were used to estimate the impact of traffic noise on innovation and solve the endogenous problem.
The regression discontinuity design is one such quasi-experimental method. Regression discontinuity takes advantage of policy decision rules in which individuals are differentially assigned to treatment if they fall above or below a cut-off for a continuous variable, i.e., assignment to a treatment group might be determined by the critical value of traffic noise. A change in the trend of samples near the critical value can then reflect a direct causal relationship between traffic noise and innovation. The discontinuous change of the dependent variable, innovation, was attributed to the treated state (the traffic noise being greater than the critical value). Therefore, we set the following state variables:
where traffic is a driver variable, is the critical value of traffic noise, and is the treated state variable (when it is equal to 1, the traffic noise exceeds the critical value , which means that the treatment is accepted; otherwise, it is 0, indicating that the treatment is not accepted). Based on Equation (3), the causal impact of traffic noise on innovation is obtained through regression of the following equation:
where is a polynomial function, and the requirements on the form of function can be relaxed by limiting the samples near the cutoff. The distance between the selected sample and the cutoff is referred to as the bandwidth; the smaller the bandwidth, the smaller the requirements for the control variable and form, but more sample observations will be lost, and the parameter estimation error will increase. In the subsequent analysis, we used the methods described by Imbens and Kalyanaraman (2012) to calculate the optimal bandwidth [], report the estimation results using multiple bandwidth settings near the optimal bandwidth, and demonstrate the robustness of the model.
2.1.4. Difference-in-Differences Model
The difference-in-differences model is an important method for identifying causality in empirical research. There are two essential preconditions for implementing a difference-in-differences design: it must have an exogenous event impact and it must differentiate the experimental group affected by the event from the control group not affected by the event []. In this study, highway construction was used as an exogenous event impact in that the experimental group comprised samples within the geographical buffer of the enterprises that the expressway construction passed through, and the control group comprised samples that were not in the geographical vicinity of the expressway construction. The difference-in-differences model controlled the systematic difference between the experimental and control groups by comparing the changes in innovation before and after the experimental treatment (before and after the highway construction). To evaluate the impact of traffic noise on enterprise innovation, the following difference-in-differences model was established:
where is the enterprise, is the explained variable, and is a dummy variable. When a highway is constructed within a specific buffer zone of enterprises in year t, is then equal to 1 from year t, and 0. If there is no nearby highway, is 0. combines the difference before and after the construction of a highway and the difference between the construction of the highway. Hence, the variable coefficient represents the impact of noise from the construction of highways on enterprise innovation.
2.2. Variables and Data Source
2.2.1. The Dependent Variables
Innovation was the explained variable in this study and was measured by the number of patent authorizations [,,]. Patent authorization data was obtained from two sources. The first source was the China City Statistical Yearbook, which provides the total number of urban patent authorizations and the number of invention patents, appearance patents, and practical patents from 2003 to 2018. Urban patent authorization data were used for regression analysis in Models (1), (2), and (4). The second source was the State Intellectual Property Office of China, covering all enterprise patent data authorized and disclosed by the State Intellectual Property Office from 1990 to 2017. This data set included the exact address of each patent application enterprise and individual at the time of patent authorization.
2.2.2. The Independent Variables
The primary explanatory variable was traffic noise, which was constructed with data obtained from two sources. The first source was the city traffic noise data from the China City Statistical Yearbook, which includes the noise data of the city’s main traffic arteries from 2003 to 2018. These data were used for the regression analysis in Models (1), (2), and (4). The construction of the traffic noise dummy variable required three steps: (1) according to the address information of the patent application enterprise, we used Python to call the Google map API interface to convert the address into latitude and longitude; (2) based on the 2017 China Highway digital map on OpenStreetMap, we used Python to query the opening year of each Highway on Wikipedia and the Baidu Encyclopedia; (3) we used QGIS software to calculate the distance between the geographical location of the patentee and the nearest highway. If it was within a certain distance, we set equal to 1, otherwise, it was set to 0. Dummy variables within 20, 35, 50, 70, and 150 m were constructed according to the Technical Specifications for Regionalizing Environmental Noise Function in China. The dummy variable of traffic noise was used for regression analysis of Model (5).
2.2.3. Interaction Variables and Control Variables
The adjustment variables in Model (2) included anxiety, mental tension frequency, memory, insomnia, and noise-related disease. The data of these five variables were obtained from the 2010–2018 China Family Panel Studies (CFPS), which is a nationally representative longitudinal survey implemented by Peking University. Anxiety was expressed as a number from 1–7; the higher the value, the higher the degree of anxiety. Mental tension frequency and memory were expressed as numerical values from 1–5; the more significant the numerical value, the greater the mental tension or more the memory disruption. Insomnia was defined as sleeping for a shorter time than 8 h; the larger the value, the more serious the insomnia []. Noise-related diseases were determined according to the report Burden of Disease from Environmental Noise issued by the World Health Organization. The dummy variable indicates disease, with the presence of diseases related to traffic noise expressed as 1 and the absence of disease as 0.
The control variables included the city gross domestic product (GDP), the number of college students, the total loan balance of financial institutions, the road freight volume, the air freight volume, and the railway freight volume. Variables were matched by location and year, and all continuous variables were regressed by logarithm.
3. Empirical Results
3.1. Statistical Analysis
The descriptive statistics of the main variables are shown in Table 1. The explanatory variables of Models (1), (2), and (4) were city innovation and traffic noise of 113 cities in China from 2003 to 2018 (Distribution of 113 cities in Appendix C and heterogeneity of cities in Appendix D). The explanatory variable in Model (5) was enterprise innovation. The sample size of the explanatory variable was significant, including 823,967 enterprises involving 297 cities in China. The years included were 1990–2017 (the first highway in China was opened in 1990). The minimum distance between the enterprise location and the highway was 20.01 m, as the minimum distance specified by Technical Specifications for Regionalizing Environmental Noise Function in China is 20 m. The explanatory variable was a dummy variable based on whether the distance between the enterprise address and the highway was within the specified buffer distance.

Table 1.
Descriptive statistical results of continuous variables.
We referred to the methods of Campante and Yanagizawa-Drott to construct a scatter diagram of city patent authorization and traffic noise (Figure 1) []. There was a decrease in the number of patent authorizations when the traffic noise increased above 61 dB. However, when the traffic noise was between 55 and 61 dB, the number of patent authorizations was elevated. This discontinuity provides a strategy to identify the causal relationship between traffic noise and patent authorization. More than 50% of the variability in the number of patent authorizations is accounted for by traffic noise (Appendix A).

Figure 1.
Scatter diagram of traffic noise and number of patent authorizations.
3.2. Impact of Traffic Noise on Innovation
Table 2 shows the regression results of the relationship between traffic noise and the number of patent authorizations (The results of the level-level model can be found in Appendix B). The regression process controls other variables affecting patent authorization, the city fixed effect, and the year fixed effect. Each column in the table represents a separate regression. The first column is the regression result for traffic noise and the number of patent authorizations. The coefficient of traffic noise was −0.6358, which is significant at the level of 0.1%. This means that for every 1% increase in the equivalent sound pressure level of traffic noise in a city, the number of patent authorizations in the city is statistically likely to decrease by 0.6358%. The regression results for traffic noise and the numbers of invention patent authorizations, utility patent authorizations, and design patent authorizations were statistically significant and had coefficients that meet the research expectations. These results show that traffic noise has a significant negative impact on the number of patent authorizations. In other words, the level of innovation in a city decreases with increases in severe traffic noise pollution.

Table 2.
Regression results for the impact of traffic noise on innovation.
3.3. Interaction Effect of Health on the Traffic Noise and Innovation Relationship
This study further investigated the interaction effect of health on the relationship between traffic noise and innovation. Health was expressed using five measurements: mental tension frequency, memory, anxiety, noise-related diseases, and insomnia. Figure 2 shows the regression results of the interaction Model (2). The curves in the figure display average marginal effect of traffic noise on innovation, the horizontal axis represents the interaction variable of health, and the curve displays the average marginal effect of traffic noise at a 95% confidence interval. Figure 2a shows that traffic noise had different marginal effects on innovation at varying levels of mental tension frequency. In general, the marginal effect curve showed a decrease, meaning that the higher the mental tension frequency, the more significant the impact of traffic noise on innovation. Figure 2b shows the interaction effect of memory, which also had a downward-sloping marginal effect curve. However, the degree of decline was not as severe as that in Figure 2a, which indicates that memory had a lesser impact on the traffic noise-innovation relationship than mental stress.


Figure 2.
Average marginal effects of traffic noise with 95% CIs as related to: (a) stress; (b) memory; (c) anxiety, (d) disease; and (e) insomnia.
Figure 2c illustrates the anxiety levels. The marginal effect curve rose first and then decreased, which indicates that slight anxiety can alleviate the impact of traffic noise on innovation and severe anxiety worsens innovation. With the aggravation of anxiety, the effect of traffic noise on innovation diminished. Figure 2d shows the case of noise-related diseases that according to Burden of Disease from Environmental Noise released by World Health Organization. The marginal effect of traffic noise on innovation was −0.20 when there was no disease, whereas when there was a disease, the marginal effect of traffic noise on innovation was −0.37. Therefore, the presence of disease increased the absolute value of the marginal effect by 0.17. Figure 2e shows the situation of insomnia, which is a continuous variable. The marginal effect of traffic noise gradually decreased with the increasing duration of insomnia.
3.4. Quasi-Natural Experiment on Traffic Noise Impact Innovation
3.4.1. Regression Disconnected Designs with a Single Cutoff
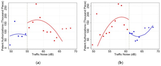
In this study, traffic noise was used as the cutoff for regression and the sample points and key variables for determining the processing were described using a coordinate system and graphical method. This was done to explain the discontinuous relationship between the driving and result variables. A “jump” or discontinuity in the sample points would indicate that the processing effect does exist. The regression discontinuity results are shown in Figure 3. Figure 3a shows the state variable of traffic noise at 55 dB and the polynomial function on the innovation regression results. As traffic noise increased above 55 dB, the number of patent authorizations increased, indicating that medium traffic noise is conducive to innovation. Figure 3b shows the graph of the state variables and polynomial function of traffic noise at 61 dB on the regression results of innovation. As the traffic noise exceeded 61 dB, the number of patent authorizations decreased, indicating that traffic noise exceeding 61 dB harms innovation. The cutoff evidence from traffic noise reflects a causal relationship between traffic noise and the number of patents.

Figure 3.
Regression discontinuity results for (a) the cutoff of traffic noise at 55 dB and (b) the cutoff of traffic noise at 61 dB.
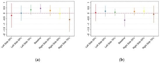
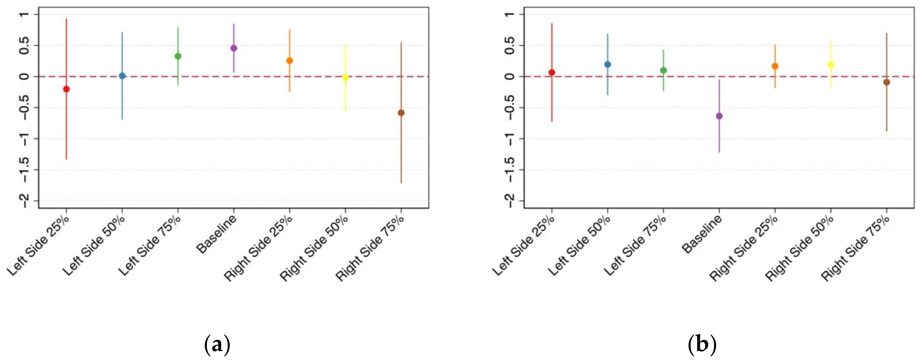
To demonstrate the robustness of the cutoff selection, we performed a test using placebo cutoff points. Other noise levels were selected as cutoffs for regression analysis. Regression results of different cutoffs becoming insignificant would indicate that the cutoffs determined in this study were accurate and robust. Therefore, the traffic noise levels at 25%, 50%, and 75% of the band width on both sides of the cutoffs were selected for regression. The effect size and 95% confidence interval results of the regression discontinuity are shown in Figure 4. The result of regression discontinuity with the actual cutoff was added to the figure as a benchmark for comparison. Figure 4a and 4b show the placebo cutoff tests for the two real cutoffs. Except for the real cutoffs (traffic noise of 55 and 61 dB), the coefficients of regression discontinuity with other cutoff noise levels were not significantly different from 0, and there was no processing effect. This indicates that the noise separation selected in this study was robust.

Figure 4.
Placebo test of regression discontinuity for (a) traffic noise at 55 dB and (b) traffic noise at 61 dB.
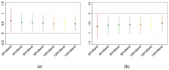
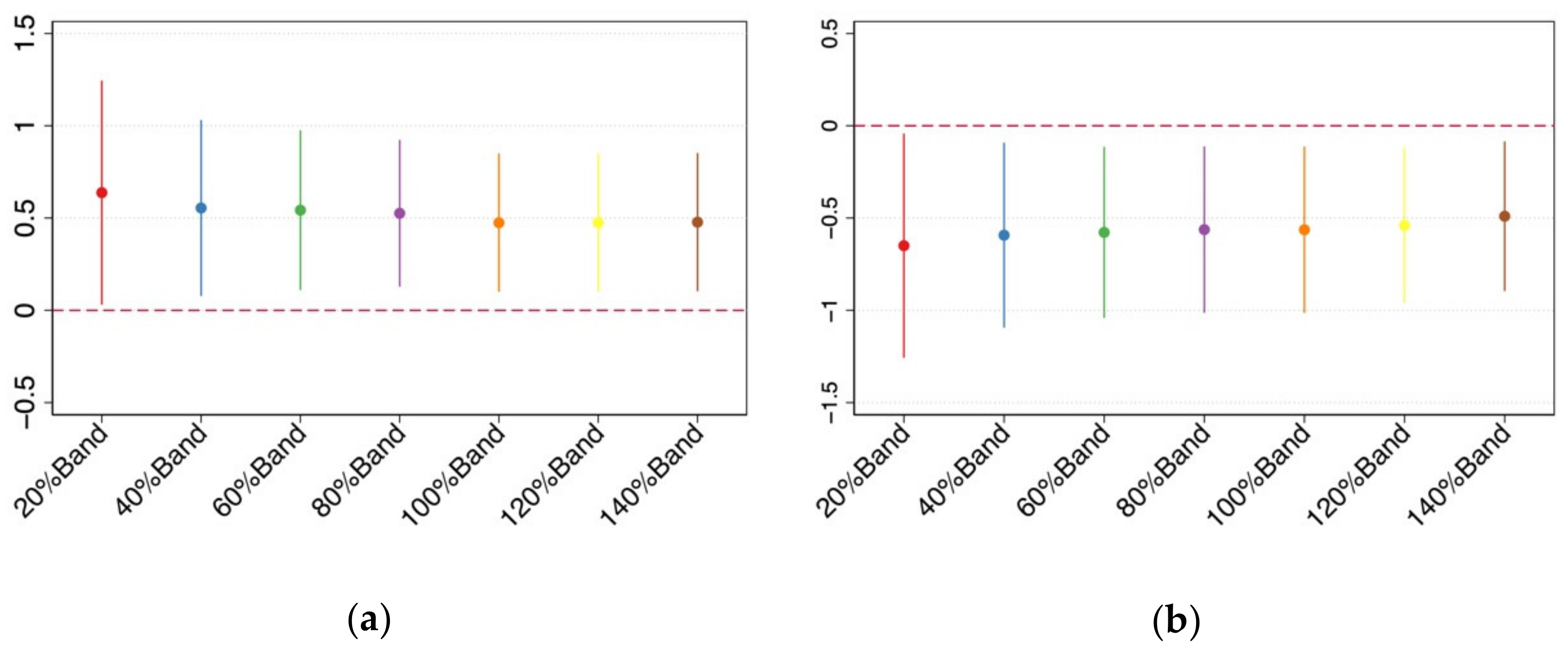
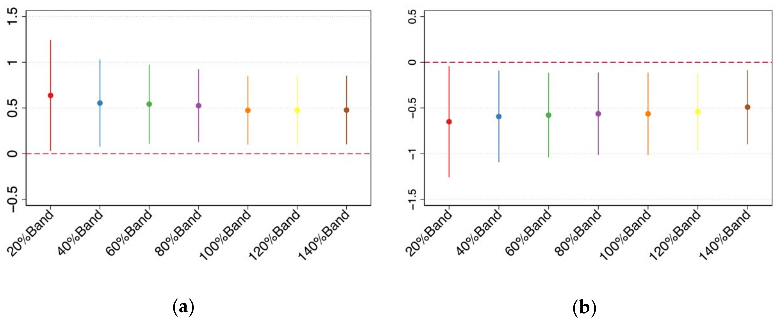
In the regression discontinuity analysis, the bandwidth may impact the regression results. Even though the optimal bandwidth was used in the regression discontinuity, a robust result requires less sensitivity to the bandwidth length. Because of this, we further evaluated the sensitivity of the bandwidth. Specifically, by setting the bandwidth to 20, 40, 60, 80, 100, 120, and 140% of the optimal bandwidth. The coefficients and 95% confidence intervals of the regression results are shown in Figure 5.

Figure 5.
Robustness test of band selection of (a) 55 dB and (b) 61 dB.
At different bandwidths, the results of breakpoint regression were significant, and the symbols met the expectations, indicating that the regression discontinuity results were robust and reliable.
3.4.2. Regression Discontinuity Designs with Multiple Cutoffs
Figure 1 shows two cutoffs in traffic noise. In Figure 3, the regression discontinuity with a single cutoff confirms that these two cutoffs resulted from the causal relationship between traffic noise and the number of patent authorizations. However, the causal relationship between the two cutoffs, traffic noise, and the number of patent authorizations remained unclear. This was addressed by designing a regression discontinuity with two cutoffs. Cutoffs were set at 55 and 61 dB of traffic noise within the same regression discontinuity design. Through regression discontinuity analysis with these two cutoffs, the graphical method was used to observe whether the number of patent authorizations simultaneously and suddenly changed at the two cutoffs. The regression results are shown in Figure 6. The number of patent authorizations sharply increased at the traffic noise cutoff of 55 dB. Additionally, at the traffic noise cutoff of 61 dB, the number of patent authorizations sharply decreased. Therefore, traffic noise between 55 and 61 dB was more conducive to innovation than below or above these levels.

Figure 6.
Regression discontinuity with two cutoffs, shown with dotted lines.
3.5. Micro Impact of Highway Noise on Enterprise Innovation
According to the Technical Specifications for Regionalizing Environmental Noise Function in China, the minimum distances between the highway and different functional areas are 70, 50, 35, and 20 m. This study sets a buffer zone for the patentee according to the specified distance. If a highway passes through the buffer zone, the highway noise dummy variable was set to 1, otherwise, it was set to 0. The dummy variable divided the research object into two groups: the group near the expressway was the treatment group, and the group not near the expressway was the control group. Taking the dummy variables as explanatory variables, a difference-in-differences regression analysis was performed on the number of patent authorizations of enterprises.
Other factors affecting the number of patent authorizations and city and year fixed effects were controlled. The regression results are shown in Table 3. In the first column to the fourth column, the regression coefficient had a significant negative value, which indicates that the highway noise generated by the highway reduced the innovation degree of the enterprise. With decreasing buffer distance, the impact of highway noise on the innovation of the enterprise increased. In addition, this study further expanded the buffer zone to 150 m, which exceeded twice the maximum distance specified in the calculation specification. At this buffer distance, the coefficient was significantly positive. This result indicates that the passage of highways was conducive to the innovation of enterprises. This aligns with previous research that concluded that traffic lines can improve enterprises’ productivity and innovation levels [,].

Table 3.
The impact of highway noise pollution on enterprise innovation at different buffer distances.
The difference-in-differences regression does not require the experimental and control groups to be entirely consistent, and there may be specific differences between the two groups. However, the difference must remain constant with time. Therefore, the treatment and control groups must have the same development trend with the highway. Therefore, the target variables of the processing and the control groups can only use difference-in-differences regression if they meet the parallel trend assumption before the policy occurs, a condition called the difference-in-differences parallel trend assumption. If there is a specific difference between the treatment and the control groups in advance, the results of the difference-in-differences regression cannot represent the net effect of noise pollution, and there are likely other factors affecting the changes in the explained variables.
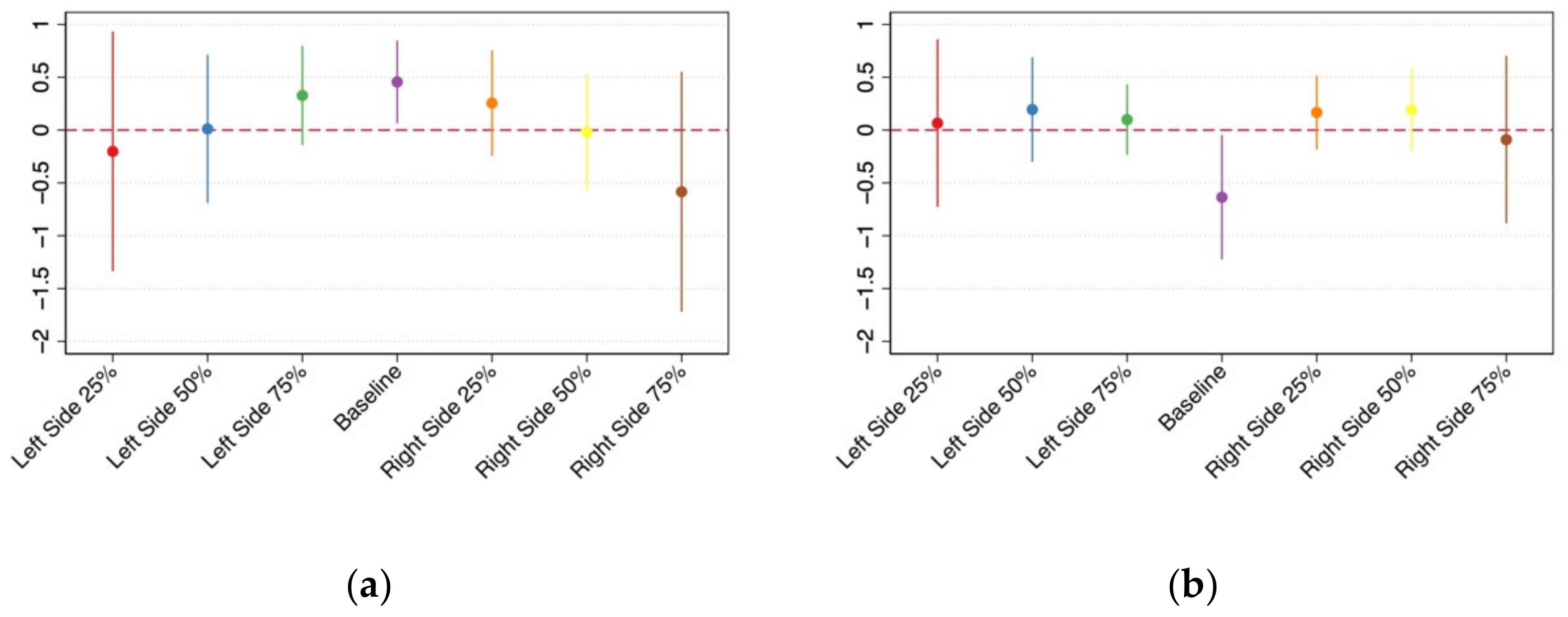
In this study, the three periods before and after the highway’s opening were used as explanatory variables for regression with control variables, year fixed effect, and city fixed effect. The coefficient of each explanatory variable and the corresponding 95% confidence interval were included. As shown in Figure 7, in the three periods before the highway’s opening, the coefficient was not significantly different from 0, and the coefficient fluctuated around 0, indicating no significant difference between the control and experimental groups. After the highway’s opening, the coefficients were significantly greater than 0, indicating that the highway noise reduced the innovation level of the enterprise. Therefore, the difference-in-differences model designed in this study conforms to the balance trend and can effectively identify the treatment effect.

Figure 7.
Difference-in-difference balance trend test.
4. Discussion
Innovation is the long-term driving force of economic and social development and is affected by environmental conditions, including traffic noise pollution. At the city level, this study showed that the impact of traffic noise on innovation within a city was approximate −0.64%, while the effect of traffic noise on the innovation of the three types of subdivisions was approximately 0.29–1.96%. These results are consistent with the results of other relevant literature. For example, using used cross-sectional data of 44 samples, Massonnié et al. [] stated that noise affects students’ continuous attention and hurts creativity. In contrast, the present study used panel data of a longer and broader range of research objects, making our research applicable to more comprehensive coverage and suitable for combination with quasi-natural experimental methods. To a certain extent, the data selected in the study solves the problem of non-randomness in selecting research objects.
The uniqueness of the results of this study is that they show two critical points in the impact of traffic noise on regional innovation. Making full use of these two critical points of traffic noise to control noise pollution plays an essential role in suppressing the impact of traffic noise on city innovation. It is conducive to the production of white noise to promote city innovation. This implication has been represented in previous studies. For example, Toplyn and Maguire found through noise induction experiments that medium-level noise can encourage innovation in undergraduates [], while Mehta et al. [] found that mediating levels of noise are conducive to innovation through experiments and questionnaires. However, higher noise levels have been shown to be harmful to innovation []. The study by Mehta et al. [] is the most relevant to our study. The difference is that our analysis was based on the empirical evidence of quasi-natural experiments. Regression discontinuity strongly supported the idea that the two noise cutoffs were the causal relationship between noise and innovation.
The evidence related to health mechanisms presented in this study shows that our results regarding the effect of traffic noise on innovation were reliable. Previous studies have shown that traffic noise causes physical and mental effects such as mental stress [,,,,,], memory [,,], anxiety [,,], insomnia [,,,,,], traffic noise-related diseases [,,,], and physical and mental health problems. Although these studies differed from the present study, they are closely related as these physical and mental effects can affect innovation [,,,]. On this basis, this study statistically linked the two impacts provided evidence for the impact of traffic noise on innovation and provided a feasible scheme for health management to solve the problems associated with traffic noise.
In addition to the overall evidence of traffic noise in the city, this study also provides evidence for the impact of traffic noise on innovation from the micro vision of enterprises. Within a certain buffer distance, the closer an enterprise is to the highway, the more it is affected by the highway noise and the lower the innovation level. Beyond a certain distance, enterprises are not affected by the noise of the highway and cannot experience the increase in innovation resulting from moderate traffic noise. The microscopic evidence of the impact of traffic noise on enterprises was consistent with the evidence of this study. Our research results are vital in highway planning to minimize the adverse effects of traffic noise on enterprises’ innovation levels.
This study shows that traffic noise affects innovation in multiple ways. Although there are regulations to prevent traffic noise, the complaints about traffic noise in recent years show that traffic noise control has not been successful. According to the growth data of traffic lines and car ownership, traffic noise management will become an even increasingly severe problem in the future. If no new and effective traffic noise control strategy is established, traffic noise will intensify and further affect the innovation. Using the regression discontinuity model, this study identified two cutoffs of traffic noise (55 and 61 dB) that affect innovation and showed that innovation is closely related to traffic noise. Therefore, we recommend reducing traffic noise through more effective strategies of traffic noise control to maximize innovation.
5. Conclusions
The effectiveness of a traffic noise control policy within an environment can determine the quality of innovation in the environment, which will, in turn, inform environmental policy design. This study introduced the differential impact of traffic noise pollution on innovation. We applied the panel model with fixed effect to analyze the overall impact of traffic noise on city innovation, the interaction model to study the health interaction mechanism, and the regression discontinuity and difference-in-differences models to conduct quasi-natural experiments and further analyze the cutoffs of traffic noise impacting innovation and the effects of traffic noise on enterprise innovation. We also conducted robustness tests from multiple perspectives and found that the results were robust and reliable.
Like other studies, the current study is also constrained by some limitations. Firstly, although this study deals with different types of patent authorization (invention patents, appearance patents, and practical patents), it measures the quantity and effects of innovation in terms of indicators without capturing the innovation capability and innovation performance well. Secondly, since innovation is dynamic and progressive, it is quite difficult to capture the exact process of innovation in panel data with a limited period of data and limited numbers of cities. This implies that future researchers should collect data to identify the innovation capability, the process of innovation, and innovation performance over a long period.
The impact of traffic noise depends on various factors such as road location and design, land use, planning measures, building design, traffic composition, and driver behavior. Some applications of our results can be implemented:
- infrastructure upgrades for main city roads;
- traffic flow management optimization;
- plantation of trees and construction of sound barriers;
- improve vehicles and shape good driver behavior.
Author Contributions
Conceptualization, X.C. and W.X.; methodology, X.C.; software, X.C.; validation, X.C. and W.X.; formal analysis, X.C.; investigation, W.X.; resources, W.X.; data curation, W.X.; writing—original draft preparation, X.C.; writing—review and editing, W.X.; visualization, W.X.; supervision, W.X.; project administration, X.C.; funding acquisition, X.C. All authors have read and agreed to the published version of the manuscript.
Funding
This research was funded by the Ministry of Education in China (MOE) Project of Humanities and Social Sciences for Young Scholars (grant number 20YJC790015), Research Project of Guangzhou University (grant number PTZC2022025 and PT252022035).
Institutional Review Board Statement
This study used the publicly available data only. No exper- iments were conducted, nor were patients involved in this study. Therefore, this study does not require ethical approval.
Informed Consent Statement
This study analyzed the publicly available data only. No experiments were conducted, nor were patients involved in this study.
Data Availability Statement
The data of this study are available from the authors upon request.
Acknowledgments
We would like to thank School of Public Administration, Guangzhou University for Supporting.
Conflicts of Interest
The authors declare no conflict of interest.
Appendix A

Figure A1.
Scatter plot with fitted lines.
Appendix B

Table A1.
Impact of traffic noise on innovation (level-level model).
Table A1.
Impact of traffic noise on innovation (level-level model).
Patent | Invention | Utility | Design | |
---|---|---|---|---|
Traffic Noise | −227.4095 *** | −67.5058 *** | −14.4762 *** | −145.4276 *** |
(0.0350) | (0.0096) | (0.0218) | (0.0130) | |
Control Variables | Yes | Yes | Yes | Yes |
City FE | Yes | Yes | Yes | Yes |
Year FE | Yes | Yes | Yes | Yes |
R2 | 0.9206 | 0.9371 | 0.8976 | 0.8484 |
N | 3150 | 3150 | 3150 | 3150 |
Standard errors in parentheses *** p < 0.001.
Appendix C

Figure A2.
Distribution of 113 Cities in China.
Appendix D

Table A2.
Descriptive statistical results of 113 cities in 2018.
Table A2.
Descriptive statistical results of 113 cities in 2018.
Variable | Unit | Obs | Mean | Std. Dev. | Min | Max |
---|---|---|---|---|---|---|
GDP | Million Yuan | 113 | 5304.25 | 5981.76 | 264.24 | 32,679.87 |
Population | Ten Thousand People | 113 | 551.43 | 406.99 | 31 | 3404 |
Area | Square Kilometer | 113 | 13,851.8 | 13,024 | 1701 | 90,021 |
References
- Čubranić-Dobrodolac, M.; Švadlenka, L.; Čičević, S.; Trifunović, A.; Dobrodolac, M. A bee colony optimization (BCO) and type-2 fuzzy approach to measuring the impact of speed perception on motor vehicle crash involvement. Soft Comput. 2022, 26, 4463–4486. [Google Scholar] [CrossRef]
- Sun, C.; Xu, S.; Yang, M.; Gong, X. Urban traffic regulation and air pollution: A case study of urban motor vehicle restriction policy. Energy Policy 2022, 163, 112819. [Google Scholar] [CrossRef]
- Li, F.; Xue, W.; Rong, Y.; Du, C.; Tang, J.; Zhao, Y. A probability distribution prediction method for expressway traffic noise. Transp. Res. D Transp. Environ. 2022, 103, 103175. [Google Scholar] [CrossRef]
- Van Arem, B.; Van Driel, C.J.; Visser, R. The impact of cooperative adaptive cruise control on traffic-flow characteristics. IEEE Trans. Intell. Transp. Syst. 2006, 7, 429–436. [Google Scholar] [CrossRef]
- Wang, L.K.; Pereira, N.C.; Hung, Y.-T. Advanced Air and Noise Pollution Control; Humana Press: Totowa, NJ, USA, 2007; Volume 2. [Google Scholar]
- Hao, G.; Zuo, L.; Xiong, P.; Chen, L.; Liang, X.; Jing, C. Associations of PM2. 5 and road traffic noise with mental health: Evidence from UK Biobank. Environ. Res. 2022, 207, 112221. [Google Scholar] [CrossRef]
- McLean, E.K.; Tarnopolsky, A. Noise, discomfort and mental health: A review of the socio-medical implications of disturbance by noise. Psychol. Med. 1977, 7, 19–62. [Google Scholar] [CrossRef]
- Wang, S.S.; Glied, S.; Williams, S.; Will, B.; Muennig, P.A. Impact of aeroplane noise on mental and physical health: A quasi-experimental analysis. BMJ Open 2022, 12, e057209. [Google Scholar] [CrossRef]
- Tzivian, L.; Winkler, A.; Dlugaj, M.; Schikowski, T.; Vossoughi, M.; Fuks, K.; Weinmayr, G.; Hoffmann, B. Effect of long-term outdoor air pollution and noise on cognitive and psychological functions in adults. Int. J. Hyg. Environ. Health. 2015, 218, 1–11. [Google Scholar] [CrossRef]
- Das, D. A systematic review of the effects of noise characteristics on human mental performance. In Proceedings of the International Conference of the Indian Society of Ergonomics, Aligarh, India, 8 December 2021. [Google Scholar] [CrossRef]
- Molesworth, B.R.C.; Burgess, M.; Koh, S. The relationship between noise and mode of delivery on recognition memory and working memory. Appl. Acoust. 2017, 116, 329–336. [Google Scholar] [CrossRef]
- Golmohammadi, R.; Darvishi, E.; Faradmal, J.; Poorolajal, J.; Aliabadi, M. Attention and short-term memory during occupational noise exposure considering task difficulty. Appl. Acoust. 2020, 158, 107065. [Google Scholar] [CrossRef]
- Veber, T.; Tamm, T.; Ründva, M.; Kriit, H.K.; Pyko, A.; Orru, H. Health impact assessment of transportation noise in two Estonian cities. Environ. Res. 2022, 204, 112319. [Google Scholar] [CrossRef] [PubMed]
- Fuks, K.B.; Wigmann, C.; Altug, H.; Schikowski, T. Road traffic noise at the residence, annoyance, and cognitive function in elderly women. Int. J. Environ. Res. Public Health 2019, 16, 1790. [Google Scholar] [CrossRef] [PubMed]
- Gong, X.; Fenech, B.; Blackmore, C.; Chen, Y.; Rodgers, G.; Gulliver, J.; Hansell, A.L. Association between noise annoyance and mental health outcomes: A systematic review and meta-analysis. Int. J. Environ. Res. Public Health 2022, 19, 2696. [Google Scholar] [CrossRef] [PubMed]
- Li, D.; Wang, L.; Yang, Y.; Hu, Y.; Wang, Y.; Tian, Y.; Wang, F. Associations of long-term exposure to ambient air pollution and road traffic noise with sleep health in UK Biobank. J. Affect. Disord. 2022, 310, 1–9. [Google Scholar] [CrossRef] [PubMed]
- Muzet, A. Environmental noise, sleep and health. Sleep Med. Rev. 2007, 11, 135–142. [Google Scholar] [CrossRef]
- Yli-Tuomi, T.; Turunen, A.W.; Tiittanen, P.; Lanki, T. Exposure–response functions for the effects of traffic noise on self-reported annoyance and sleep disturbance in Finland: Effect of exposure estimation method. Int. J. Environ. Res. Public Health 2022, 19, 1314. [Google Scholar] [CrossRef]
- Nassur, A.M.; Lefevre, M.; Leger, D.; Laumon, B.; Evrard, A.S. The effects of aircraft noise exposure on subjective sleep quality: The results of the DEBATS study in France. In Proceedings of the 12th ICBEN Congress on Noise as a Public Health Problem, Zurich, Germany, 18 June 2017. [Google Scholar]
- Radun, J.; Maula, H.; Saarinen, P.; Keränen, J.; Alakoivu, R.; Hongisto, V. Health effects of wind turbine noise and road traffic noise on people living near wind turbines. Renew. Sustain. Energy Rev. 2022, 157, 112040. [Google Scholar] [CrossRef]
- Moudon, A.V. Real noise from the urban environment: How ambient community noise affects health and what can be done about it. Am. J. Prev. Med. 2009, 37, 167–171. [Google Scholar] [CrossRef]
- Lee, E.Y.; Jerrett, M.; Ross, Z.; Coogan, P.F.; Seto, E.Y. Assessment of traffic-related noise in three cities in the United States. Environ. Res. 2014, 132, 182–189. [Google Scholar] [CrossRef]
- King, R.P.; Davis, J.R. Community noise: Health effects and management. Int. J. Hyg. Environ. Health. 2003, 206, 123–131. [Google Scholar] [CrossRef]
- Vandervert, L.R.; Schimpf, P.H.; Liu, H. How working memory and the cerebellum collaborate to produce creativity and innovation. Creativity Res. J. 2007, 19, 1–18. [Google Scholar] [CrossRef]
- Remoli, T.C.; Santos, F.H. Interactions between working memory and creativity: A systematic. Psicol. Estudo. 2017, 22, 53–65. [Google Scholar] [CrossRef]
- Viswanath, K.; Reddy, K.J.; Reddy, S.V. Effect of mental health on creativity. Indian J Health Wellbeing 2015, 6, 1109–1113. [Google Scholar]
- Yeh, Y.; Lai, G.-J.; Lin, C.F.; Lin, C.-W.; Sun, H.-C. How stress influences creativity in game-based situations: Analysis of stress hormones, negative emotions, and working memory. Comput. Educ. 2015, 81, 143–153. [Google Scholar] [CrossRef]
- Runco, M.A. Education for creative potential. Scand. J. Educ. Res. 2003, 47, 317–324. [Google Scholar] [CrossRef]
- Acemoglu, D.; Akcigit, U.; Alp, H.; Bloom, N.; Kerr, W. Innovation, reallocation, and growth. Am. Econ. Rev. 2018, 108, 3450–3491. [Google Scholar] [CrossRef]
- Sharma, D.; Gurbani, A.; Manjunath, K.; Dutta, D.; Guneli, H. Effect of different types of noises on divergent creativity in young adults. OALib 2021, 8, 1–10. [Google Scholar] [CrossRef]
- Oquendo, V.J.; Santos, M.R. Noise pollution and its incidence in the experience of foreign tourists during the operation of a city tour in the historic center of Quito. In Proceedings of the International Conference on ‘Knowledge Society: Technology, Sustainability and Educational Innovation’, Ibarra, Ecuador, 3 July 2019. [Google Scholar] [CrossRef]
- Martindale, C.; Anderson, K.; Moore, K.; West, A.N. Creativity, oversensitivity, and rate of habituation. Pers. Individ. Dif. 1996, 20, 423–427. [Google Scholar] [CrossRef]
- Toplyn, G.; Maguire, W. The differential effect of noise on creative task performance. Creativity Res. J. 1991, 4, 337–347. [Google Scholar] [CrossRef]
- Mehta, R.; Zhu, R.; Cheema, A.J. Consum. Res. J. Consum. Res. 2012, 39, 784–799. [Google Scholar] [CrossRef]
- Massonnié, J.; Rogers, C.J.; Mareschal, D.; Kirkham, N.Z. Is classroom noise always bad for children? The contribution of age and selective attention to creative performance in noise. Front. Psychol. 2019, 10, 381. [Google Scholar] [CrossRef]
- Imbens, G.; Kalyanaraman, K. Optimal bandwidth choice for the regression discontinuity estimator. Rev. Econ. Stud. 2012, 79, 933–959. [Google Scholar] [CrossRef]
- Bertrand, M.; Duflo, E.; Mullainathan, S. How much should we trust differences-in-differences estimates? Q. J. Econ. 2004, 119, 249–275. [Google Scholar] [CrossRef]
- Jose, M.; Sharma, R. Effectiveness of fiscal incentives for innovation: Evidence from meta-regression analysis. J. Public. Affairs 2021, 21, e2146. [Google Scholar] [CrossRef]
- Yi, S.; Xiao-li, A. Application of threshold regression analysis to study the impact of regional technological innovation level on sustainable development. Renew. Sustain. Energy Rev. 2018, 89, 27–32. [Google Scholar] [CrossRef]
- Abraham, B.P.; Moitra, S.D. Innovation assessment through patent analysis. Technovation. 2001, 21, 245–252. [Google Scholar] [CrossRef]
- Kripke, D.F.; Garfinkel, L.; Wingard, D.L.; Klauber, M.R.; Marler, M.R. Mortality associated with sleep duration and insomnia. Arch. Gen. Psychiatry 2002, 59, 131–136. [Google Scholar] [CrossRef]
- Campante, F.; Yanagizawa-Drott, D. Long-range growth: Economic development in the global network of air links. Q. J. Econ. 2018, 133, 1395–1458. [Google Scholar] [CrossRef]
- Chatman, D.G.; Noland, R.B. Transit service, physical agglomeration and productivity in US metropolitan areas. Urban. Stud. 2014, 51, 917–937. [Google Scholar] [CrossRef]
- Duranton, G.; Turner, M.A. Urban growth and transportation. Rev. Econ. Stud. 2012, 79, 1407–1440. [Google Scholar] [CrossRef]
Publisher’s Note: MDPI stays neutral with regard to jurisdictional claims in published maps and institutional affiliations. |
© 2022 by the authors. Licensee MDPI, Basel, Switzerland. This article is an open access article distributed under the terms and conditions of the Creative Commons Attribution (CC BY) license (https://creativecommons.org/licenses/by/4.0/).