The Design of the Outer-Rotor Brushless DC Motor and an Investigation of Motor Axial-Length-to-Pole-Pitch Ratio
Abstract
1. Introduction
2. Materials and Methods
Hub Motor Design
3. Results and Discussions
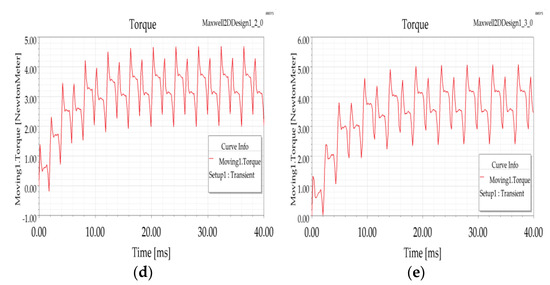
3.1. Hub Motor Analysis Results (L/τ = 0.75)
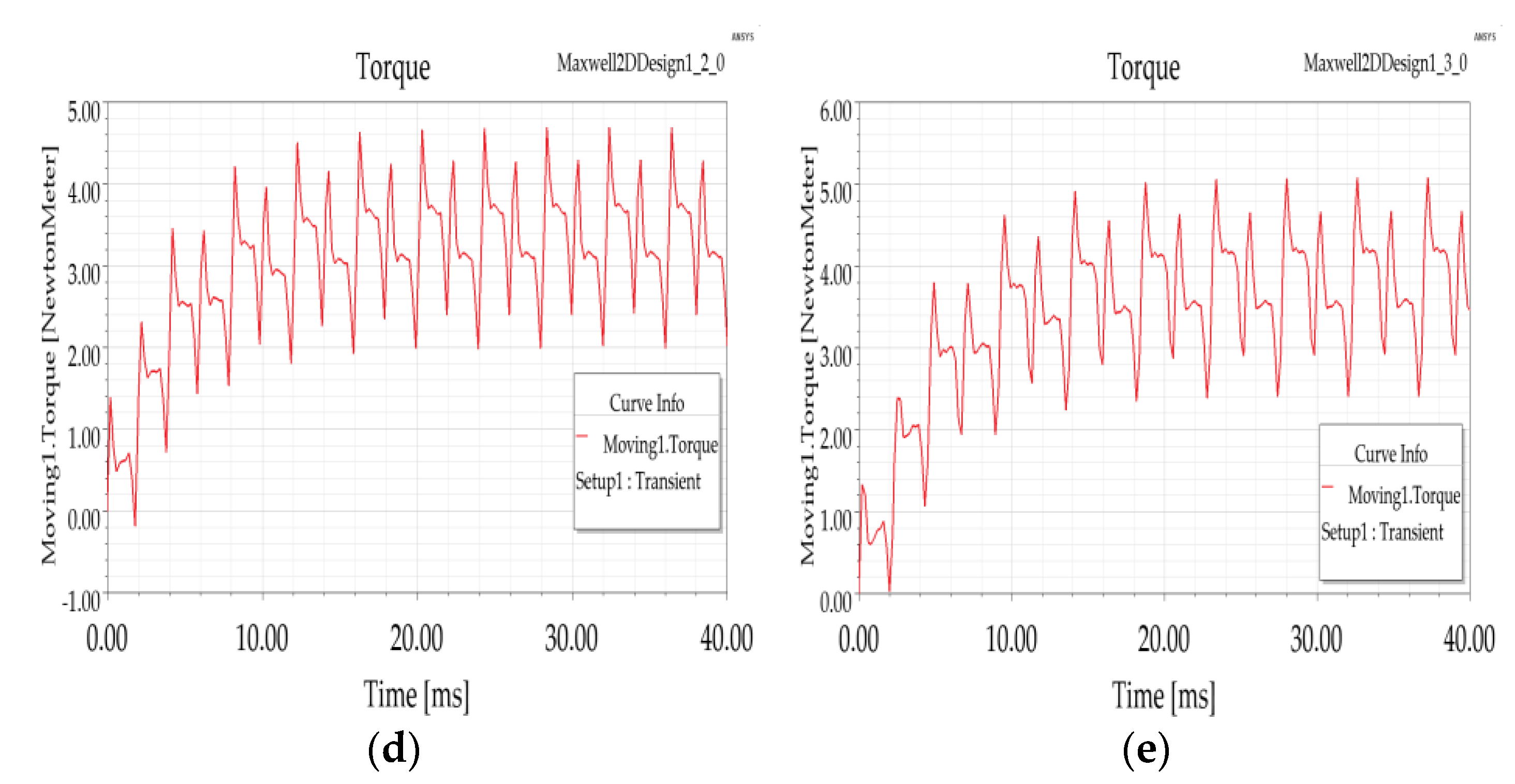
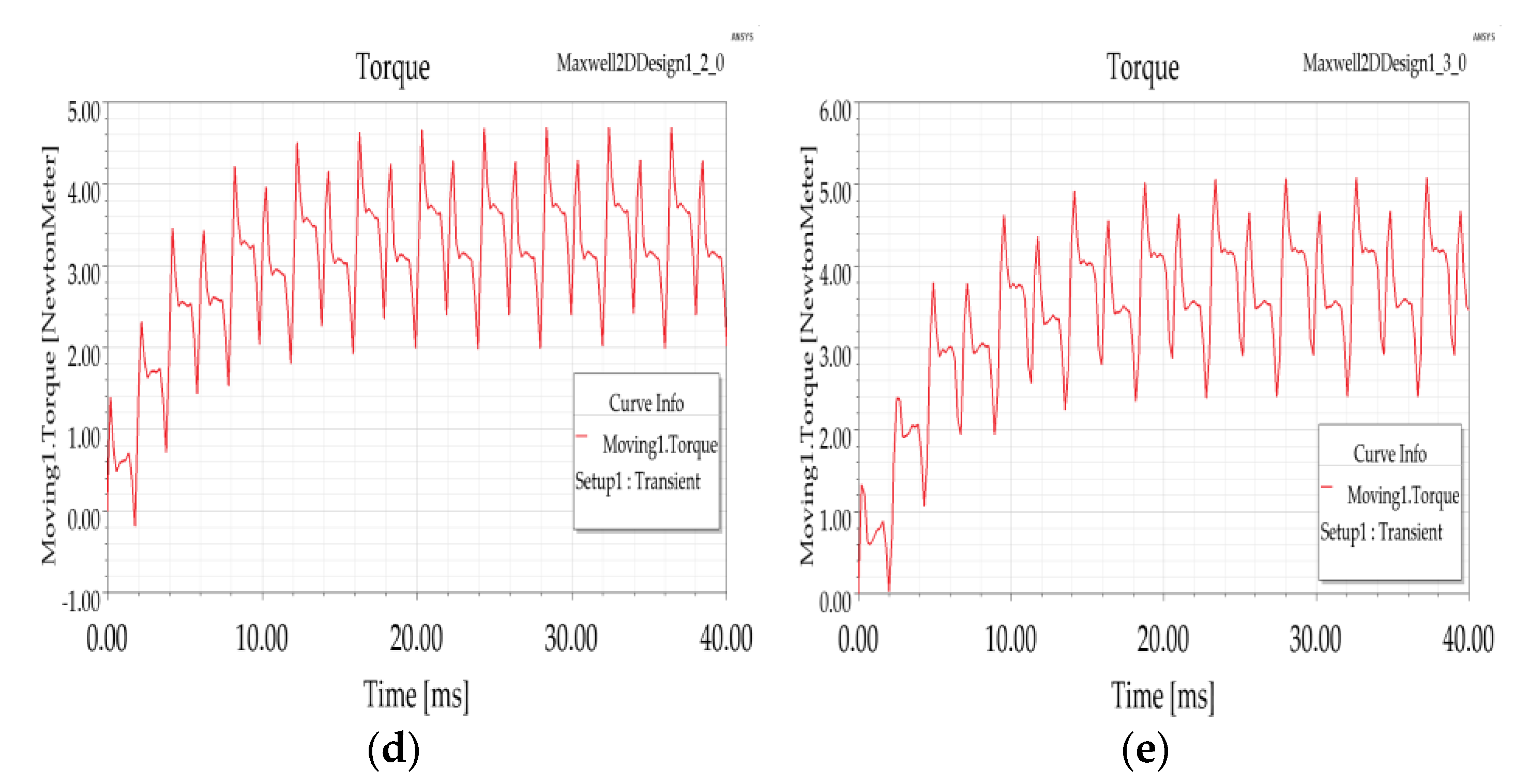
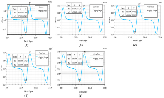
3.2. Examination of Motor’s Axial-Length-to-Pole-Pitch Ratio (L/τ)
3.3. Optimization of Stator Outer Diameter and Axial Length by Genetic Algorithm
4. Conclusions
- The increase in phase resistance caused copper loss. There was a decrease in the efficiency performance (0.57%) when comparing the first case to the last case.
- The highest torque, volume, and cogging torque values were obtained at a ratio of 3.
- When the motor ratio was at 0.75, the lowest volume, torque, and cogging torque values were observed. In addition, the highest efficiency, torque/volume, and torque/weight values were obtained.
- It was observed that the torque, motor volume, cogging torque, specific electrical loading, and phase resistance increased as the ratio increased. The torque/weight, torque/volume, rated speed, and flux density in the rotor yoke decreased.
- When the first ratio and the last ratio were compared, the efficiency change increased by 0.35%, the torque change decreased by 28.65%, and the volume change increased by 55%.
- The efficiency value obtained by the genetic algorithm was 0.357% higher than the initial (L/τ = 0.75) efficiency value. The weight was 16.66% higher, the volume was 11.19% larger, and the torque was 8.70% higher.
Author Contributions
Funding
Institutional Review Board Statement
Informed Consent Statement
Data Availability Statement
Conflicts of Interest
References
- Hao, H.; Shen, J.; Yuan, C.; Qu, Q. Influences of machine structure on high speed PM BLDC motor. In Proceedings of the 17th International Conference on Electrical Machines and Systems (ICEMS), Pune, India, 17 October 2014; pp. 3309–3312. [Google Scholar]
- Li, H.; Li, W.; Ren, H. Fault-Tolerant Inverter for High-Speed Low-Inductance BLDC Drives in Aerospace Applications. IEEE Trans. Power Electron. 2016, 32, 2452–2463. [Google Scholar] [CrossRef]
- Karnavas, Y.L.; Chasiotis, I.D.; Gkiokas, A.D. An Investigation Study Considering the Effect of Magnet Type, Slot Type and Pole-Arc to Pole-Pitch Ratio Variation on PM Brushless DC Motor Design. In Proceedings of the 2018 5th International Conference on Mathematics and Computers in Sciences and Industry (MCSI), Corfu, Greece, 25–27 August 2018; pp. 7–13. [Google Scholar] [CrossRef]
- Hwang, K.-Y.; Lin, H.; Rhyu, S.-H.; Kwon, B.-I. A Study on the Novel Coefficient Modeling for a Skewed Permanent Magnet and Overhang Structure for Optimal Design of Brushless DC Motor. IEEE Trans. Magn. 2011, 48, 1918–1923. [Google Scholar] [CrossRef]
- Wang, D.; Wang, X.; Kim, M.-K.; Jung, S.-Y. Integrated Optimization of Two Design Techniques for Cogging Torque Reduction Combined With Analytical Method by a Simple Gradient Descent Method. IEEE Trans. Magn. 2012, 48, 2265–2276. [Google Scholar] [CrossRef]
- Tosun, O.; Serteller, N.F.O. Analysis of Brushless Direct Current Motor Stator Slot Geometry and Winding Type with FEM. In Proceedings of the 3rd International Symposium on Multidisciplinary Studies and Innovative Technologies (ISMSIT), Ankara, Turkey, 20–22 October 2019; pp. 105–111. [Google Scholar]
- Uygun, D.; Selim, S. Design and dynamic study of a 6 kW external rotor permanent magnet Brushless DC motor for electric drivetrains. In Proceedings of the 2015 IEEE 5th International Conference on Power Engineering, Energy and Electrical Drives (POWERENG), Riga, Latvia, 20–22 October 2015; pp. 87–92. [Google Scholar]
- Chasiotis, I.D.; Karnavas, Y.L. A computer aided educational tool for design, modeling, and performance analysis of Brushless DC motor in post graduate degree courses. Comput. Appl. Eng. Educ. 2018, 26, 749–767. [Google Scholar] [CrossRef]
- Zhilichev, Y. Analysis of Permanent Magnet Demagnetization Accounting for Minor B–HB–H Curves. IEEE Trans. Magn. 2008, 44, 4285–4288. [Google Scholar] [CrossRef]
- Bernard, N.; Martin, F.; Zaïm, M.E.-H. Design Methodology of a Permanent Magnet Synchronous Machine for a Screwdriver Application. IEEE Trans. Energy Convers. 2012, 27, 624–633. [Google Scholar] [CrossRef]
- Uzhegov, N.; Kurvinen, E.; Nerg, J.; Pyrhonen, J.; Sopanen, J.T.; Shirinskii, S. Multidisciplinary Design Process of a 6-Slot 2-Pole High-Speed Permanent-Magnet Synchronous Machine. IEEE Trans. Ind. Electron. 2015, 63, 784–795. [Google Scholar] [CrossRef]
- Ismagilov, F.R.; Uzhegov, N.; Vavilov, V.E.; Bekuzin, V.I.; Ayguzina, V.V. Multidisciplinary Design of Ultra-High-Speed Electrical Machines. IEEE Trans. Energy Convers. 2018, 33, 1203–1212. [Google Scholar] [CrossRef]
- Messine, F. Deterministic global optimization using interval constraint propagation techniques. RAIRO-Oper. Res. 2004, 38, 277–293. [Google Scholar] [CrossRef][Green Version]
- Ki-Chan, K.; Ju, L.; Hee, J.K.; Dae, H.K. Multiobjective Optimal Design for Interior Permanent Magnet Synchronous Motor. IEEE Trans. Magn. 2009, 45, 1780–1783. [Google Scholar] [CrossRef]
- Stipetic, S.; Miebach, W.; Zarko, D. Optimization in design of electric machines: Methodology and workflow. In Proceedings of the 2015 Intl Aegean Conference on Electrical Machines & Power Electronics (ACEMP), 2015 Intl Conference on Optimization of Electrical & Electronic Equipment (OPTIM) & 2015 Intl Symposium on Advanced Electromechanical Motion Systems (ELECTROMOTION), Side, Turkey, 2–4 September 2015; pp. 441–448. [Google Scholar] [CrossRef]
- Ismagilov, F.R.; Vavilov, V.Y.; Ayguzina, V.V.; L’vov, N.Y.; L’vovskiy, T.A. Optimal design of electric machines by using genetic algorithms: Mathematical apparatus to determine machine parameters. In Proceedings of the 2019 International Conference on Electrotechnical Complexes and Systems (ICOECS), Ufa, Russia, 21 October 2019; pp. 1–5. [Google Scholar] [CrossRef]
- Bramerdorfer, G. Multiobjective electric machine optimization for highest reliability demands. CES Trans. Electr. Mach. Syst. 2020, 4, 71–78. [Google Scholar] [CrossRef]
- Finken, T.; Felden, M.; Hameyer, K. Comparison and design of different electrical machine types regarding their applicability in hybrid electrical vehicles. In Proceedings of the 2008 18th International Conference on Electrical Machines, Vilamoura, Portugal, 6–9 September 2008; pp. 1–5. [Google Scholar]
- Liu, X.; Slemon, G. AN improved method of optimization for electrical machines. IEEE Trans. Energy Convers. 1991, 6, 492–496. [Google Scholar] [CrossRef]
- Lukaniszyn, M.; Jagiela, M.; Wrobel, R. Optimization of Permanent Magnet Shape for Minimum Cogging Torque Using a Genetic Algorithm. IEEE Trans. Magn. 2004, 40, 1228–1231. [Google Scholar] [CrossRef]
- Le Besnerais, J.; Lanfranchi, V.; Hecquet, M.; Brochet, P. Multiobjective Optimization of Induction Machines Including Mixed Variables and Noise Minimization. IEEE Trans. Magn. 2008, 44, 1102–1105. [Google Scholar] [CrossRef]
- Pellegrino, G.; Cupertino, F. FEA-based Multi-Objective Optimization of IPM Motor Design Including Rotor Losses. In Proceedings of the IEEE Energy Conversion Congress and Exposition (ECCE), Atlanta, GA, USA, 12–16 September 2010; pp. 3659–3666. [Google Scholar]
- Bianchi, N.; Durello, D.; Fornasiero, E. Multi-Objective Optimization of a PM Assisted Synchronous Reluctance Machine, Including Torque and Sensorless Detection Capability. In Proceedings of the 6th IET International Conference on Power Electronics, Machines and Drives (PEMD 2012), Bristol, UK, 27–29 March 2012; pp. 1–6. [Google Scholar]
- Lee, C.-S.; Kim, H.-J. Harmonic Order Analysis of Cogging Torque for Interior Permanent Magnet Synchronous Motor Considering Manufacturing Disturbances. Energies 2022, 15, 2428. [Google Scholar] [CrossRef]
- Minaz, M.R.; Çelebi, M. Design and analysis of a new axial flux coreless PMSG with three rotors and double stators. Results Phys. 2017, 7, 183–188. [Google Scholar] [CrossRef]
- Havel, A.; Sobek, M.; Stepanec, L.; Strossa, J. Optimization of Permanent Magnet Parameters in Axial Flux Rotary Converter for HEV Drive. Energies 2022, 15, 724. [Google Scholar] [CrossRef]
- Bozkurt, A.; Baba, A.F.; Oner, Y. Design of Outer-Rotor Permanent-Magnet-Assisted Synchronous Reluctance Motor for Electric Vehicles. Energies 2021, 14, 3739. [Google Scholar] [CrossRef]
- Prasetio, K.D.; Yuniarto, M.N. Design and Performance Test of Axial Halbach Brushless DC Motor with Power Density 1.5 Kw/Kg. J. Tek. ITS 2017, 5, 2. [Google Scholar] [CrossRef]
- Çunkaş, M.; Akkaya, R. Design optimization of induction motor by genetic algorithm and comparison with existing motor. Math. Comput. Appl. 2006, 11, 193–203. [Google Scholar] [CrossRef]

















| Specification | Value |
|---|---|
| Rated power | 550 W |
| Rated voltage | 220 V |
| Rated speed | 1500 rpm |
| Number of phases | 3 |
| Number of poles | 4 |
| Number of slots | 24 |
| Steel type | M19_24G |
| Magnet type | XG196/96 |
| Dimension | Value |
|---|---|
| Rotor outer diameter | 140 mm |
| Rotor inner diameter | 111 mm |
| Stator outer diameter | 110 mm |
| Stator inner diameter | 50 mm |
| Air gap length | 0.5 mm |
| Motor axial length | 65 mm |
| Parameter | Value |
|---|---|
| Rated power | 550.24 W |
| Rated torque | 3.46 Nm |
| Rated speed | 1517 rpm |
| Efficiency | 89.11% |
| L/τ | Torque (Nm) | Torque/Weight (Nm/kg) | Volume (cm3) | Torque/Volume (Nm/cm3) | Efficiency (%) | Cogging Torque (Nm) |
|---|---|---|---|---|---|---|
| 0.75 | 3.46 | 0.57 | 1000 | 0.0034 | 89.11 | 0.79 |
| 1 | 3.28 | 0.46 | 1092 | 0.0030 | 89.57 | 0.82 |
| 1.50 | 3.84 | 0.39 | 1430 | 0.0026 | 89.80 | 0.98 |
| 2 | 4.22 | 0.35 | 1738 | 0.0024 | 89.79 | 1.10 |
| 3 | 4.85 | 0.30 | 2261 | 0.0021 | 89.46 | 1.27 |
| Design Variables | Value |
|---|---|
| Stator outer diameter (Dso) | 100 ≤ Dso ≤ 120 mm |
| Axial length (L) | 55 ≤ L ≤ 75 mm |
Publisher’s Note: MDPI stays neutral with regard to jurisdictional claims in published maps and institutional affiliations. |
© 2022 by the authors. Licensee MDPI, Basel, Switzerland. This article is an open access article distributed under the terms and conditions of the Creative Commons Attribution (CC BY) license (https://creativecommons.org/licenses/by/4.0/).
Share and Cite
Tosun, O.; Serteller, N.F.O. The Design of the Outer-Rotor Brushless DC Motor and an Investigation of Motor Axial-Length-to-Pole-Pitch Ratio. Sustainability 2022, 14, 12743. https://doi.org/10.3390/su141912743
Tosun O, Serteller NFO. The Design of the Outer-Rotor Brushless DC Motor and an Investigation of Motor Axial-Length-to-Pole-Pitch Ratio. Sustainability. 2022; 14(19):12743. https://doi.org/10.3390/su141912743
Chicago/Turabian StyleTosun, Ozturk, and Necibe Fusun Oyman Serteller. 2022. "The Design of the Outer-Rotor Brushless DC Motor and an Investigation of Motor Axial-Length-to-Pole-Pitch Ratio" Sustainability 14, no. 19: 12743. https://doi.org/10.3390/su141912743
APA StyleTosun, O., & Serteller, N. F. O. (2022). The Design of the Outer-Rotor Brushless DC Motor and an Investigation of Motor Axial-Length-to-Pole-Pitch Ratio. Sustainability, 14(19), 12743. https://doi.org/10.3390/su141912743

