Development of Thermoplastic Cassava Starch Composites with Banana Leaf Fibre
Abstract
1. Introduction
2. Materials and Methods
2.1. Materials
2.2. Preparation of Samples
2.3. Tests on Mechanical Properties
2.4. Analysis of Thermogravimetric (TGA)
2.5. Analysis of FT-IR Spectroscopy
2.6. Analysis of Scanning Electron Microscopy
2.7. Statistical Analysis
3. Result and Discussion
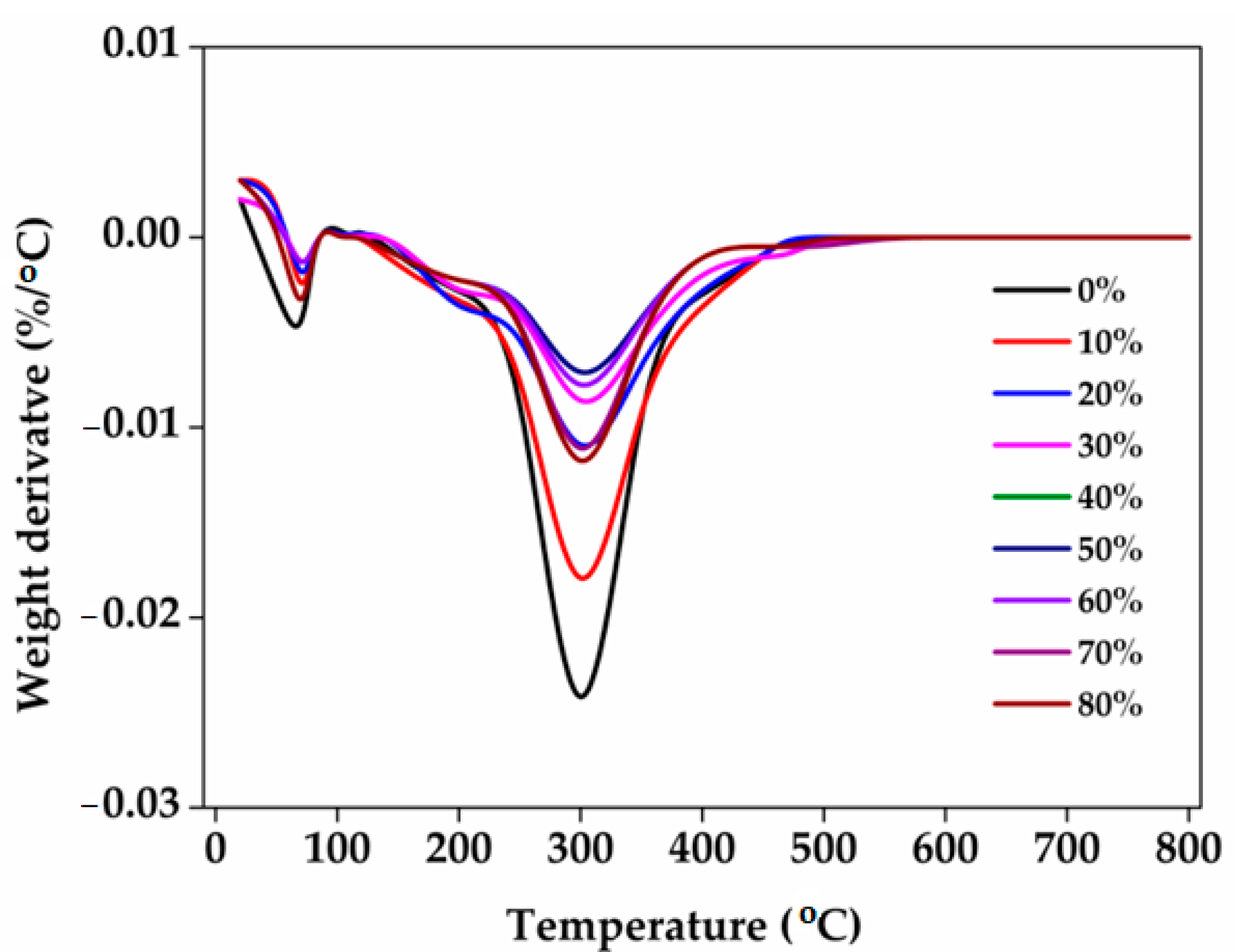
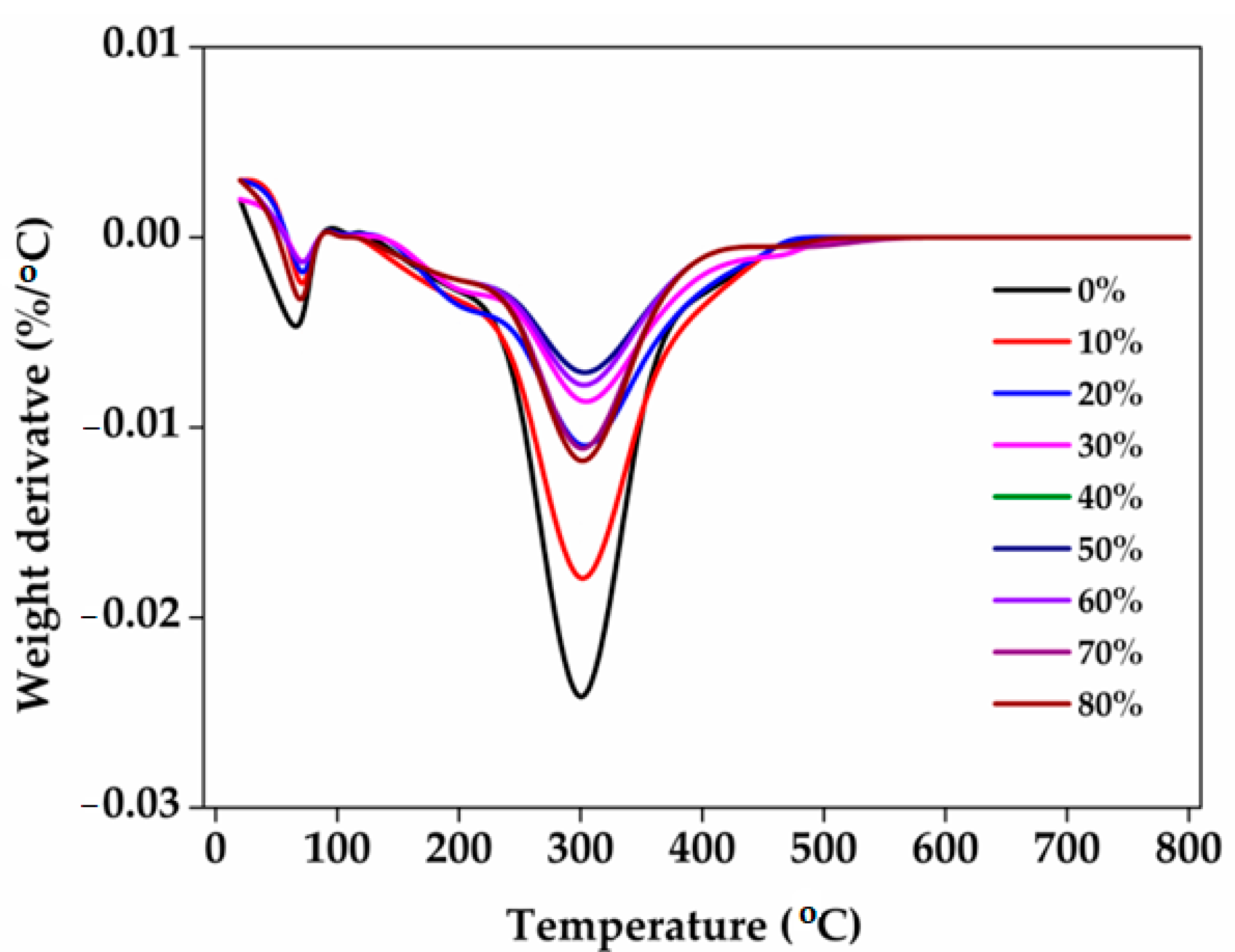
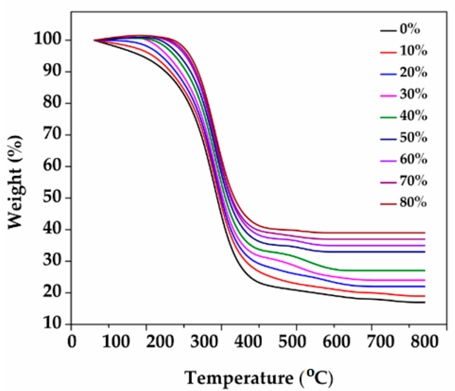
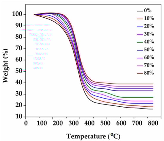
3.1. Thermographic Analysis
3.2. Mechanical Properties
3.2.1. Results of Tensile Test
3.2.2. Results of Flexural Test
3.3. Analysis of Microstructural Properties
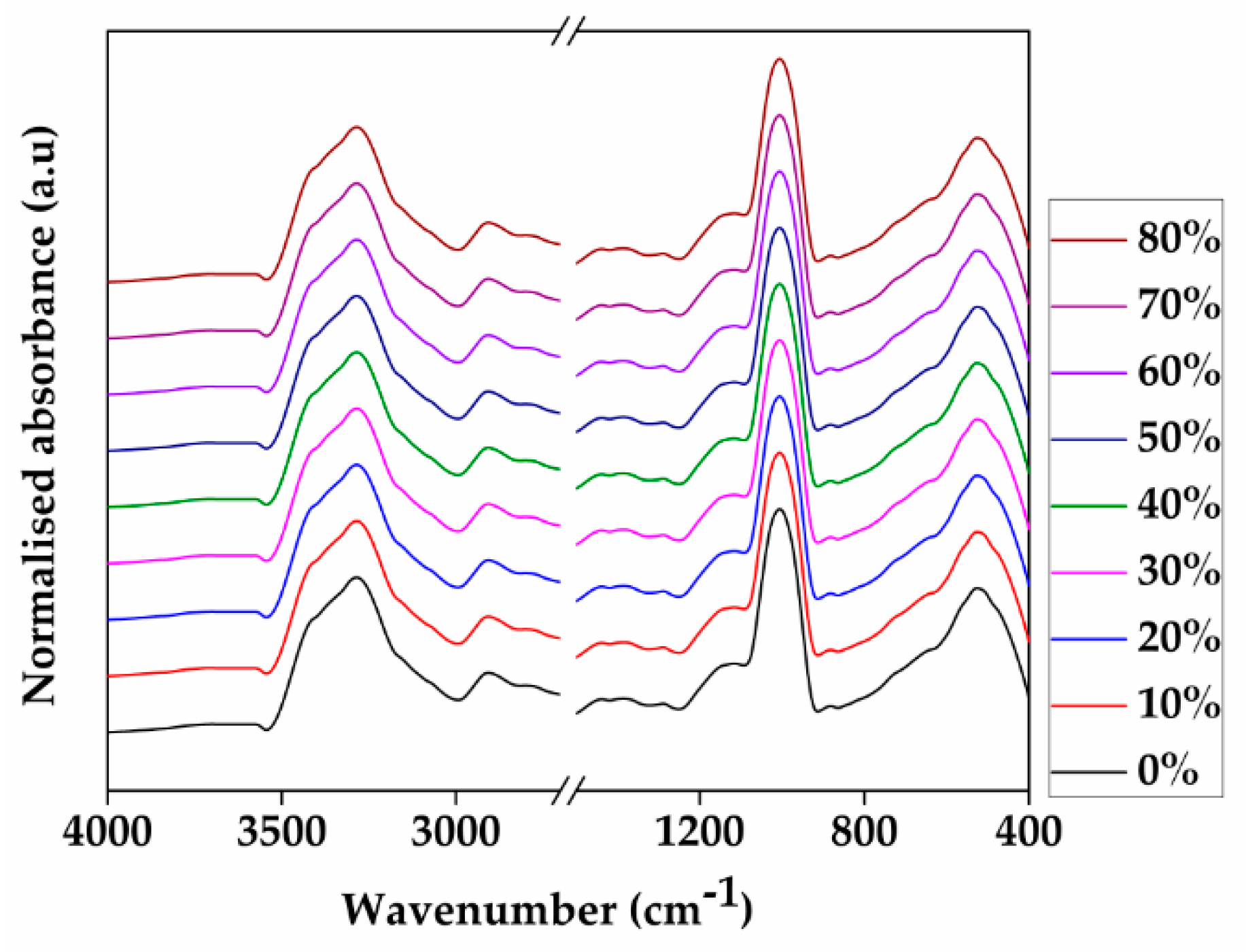
3.3.1. FT-IR Test
3.3.2. Analysis of SEM
3.4. Biodegradation
4. Conclusions
- It was discovered that adding BLF to the material increased its thermal stability. This was demonstrated by the fact that the composites had a higher temperature at which they decomposed in comparison to the plain TPCS. Because of the incorporation of BLF, both the tensile and flexural characteristics of the material exhibited clear signs of significant enhancement.
- The morphological analysis of tensile fracture revealed fibre breakage processes, which indicated that the material possessed both strong fibre–matrix bonding and reinforcing.
- A reduction in the samples mechanical characteristics was observed for those that had a higher BLF concentration when measured at 50%. The incorporation of BLF into this TPCS resulted in an overall improvement to the thermal as well as the mechanical properties of the material.
- BLF can be used as a natural reinforcing material for a bio-based polymer matrix, as found in this study.
Author Contributions
Funding
Institutional Review Board Statement
Informed Consent Statement
Data Availability Statement
Conflicts of Interest
References
- Geyer, R.; Jambeck, J.R.; Law, K.L. Production, Use, and Fate of All Plastics Ever Made. Sci. Adv. 2017, 3, 25–29. [Google Scholar] [CrossRef]
- Gourmelon, G. Global Plastic Production Rises, Recycling Lags; Worldwatch Institute: Washington, DC, USA, 2015; pp. 91–95. [Google Scholar]
- Abral, H.; Atmajaya, A.; Mahardika, M.; Hafizulhaq, F.; Kadriadi; Handayani, D.; Sapuan, S.M.; Ilyas, R.A. Effect of Ultrasonication Duration of Polyvinyl Alcohol (PVA) Gel on Characterizations of PVA Film. J. Mater. Res. Technol. 2020, 9, 2477–2486. [Google Scholar] [CrossRef]
- Zhang, Y.; Rempel, C.; Liu, Q. Thermoplastic Starch Processing and Characteristics-A Review. Crit. Rev. Food Sci. Nutr. 2014, 54, 1353–1370. [Google Scholar] [CrossRef]
- Student, P.G. Useful. Definitions 2020, 3, 431–436. [Google Scholar] [CrossRef]
- Omran, A.A.B.; Mohammed, A.A.B.A.; Sapuan, S.M.; Ilyas, R.A.; Asyraf, M.R.M.; Koloor, S.S.R.; Petrů, M. Micro-and Nanocellulose in Polymer Composite Materials: A Review. Polymers 2021, 13, 231. [Google Scholar] [CrossRef]
- Abral, H.; Ariksa, J.; Mahardika, M.; Handayani, D.; Aminah, I.; Sandrawati, N.; Sapuan, S.M.; Ilyas, R.A. Highly Transparent and Antimicrobial PVA Based Bionanocomposites Reinforced by Ginger Nanofiber. Polym. Test. 2020, 81, 106186. [Google Scholar] [CrossRef]
- Beristain-Bauza, S.D.C.; Hernández-Carranza, P.; Cid-Pérez, T.S.; Ávila-Sosa, R.; Ruiz-López, I.I.; Ochoa-Velasco, C.E. Antimicrobial Activity of Ginger (Zingiber Officinale) and Its Application in Food Products. Food Rev. Int. 2019, 35, 407–426. [Google Scholar] [CrossRef]
- Aisyah, H.A.; Paridah, M.T.; Sapuan, S.M.; Khalina, A.; Berkalp, O.B.; Lee, S.H.; Lee, C.H.; Nurazzi, N.M.; Ramli, N.; Wahab, M.S.; et al. Thermal Properties of Woven Kenaf/Carbon Fibre-Reinforced Epoxy Hybrid Composite Panels. Int. J. Polym. Sci. 2019, 2019, 5258621. [Google Scholar] [CrossRef]
- Sabaruddin, F.A.; Tahir, P.M.; Sapuan, S.M.; Ilyas, R.A.; Lee, S.H.; Abdan, K.; Mazlan, N.; Roseley, A.S.M.; Khalil Hps, A. The Effects of Unbleached and Bleached Nanocellulose on the Thermal and Flammability of Polypropylene-Reinforced Kenaf Core Hybrid Polymer Bionanocomposites. Polymers 2021, 13, 116. [Google Scholar] [CrossRef]
- Prachayawarakorn, J.; Limsiriwong, N.; Kongjindamunee, R.; Surakit, S. Effect of Agar and Cotton Fiber on Properties of Thermoplastic Waxy Rice Starch Composites. J. Polym. Environ. 2012, 20, 88–95. [Google Scholar] [CrossRef]
- Reis, M.O.; Olivato, J.B.; Bilck, A.P.; Zanela, J.; Grossmann, M.V.E.; Yamashita, F. Biodegradable Trays of Thermoplastic Starch/Poly (Lactic Acid) Coated with Beeswax. Ind. Crops Prod. 2018, 112, 481–487. [Google Scholar] [CrossRef]
- Nguyen, T.T.; Thi Dao, U.T.; Thi Bui, Q.P.; Bach, G.L.; Ha Thuc, C.N.; Ha Thuc, H. Enhanced Antimicrobial Activities and Physiochemical Properties of Edible Film Based on Chitosan Incorporated with Sonneratia Caseolaris (L.) Engl. Leaf Extract. Prog. Org. Coat. 2020, 140, 105487. [Google Scholar] [CrossRef]
- Mazani, N.; Sapuan, S.M.; Sanyang, M.L.; Atiqah, A.; Ilyas, R.A. Design and Fabrication of a Shoe Shelf from Kenaf Fiber Reinforced Unsaturated Polyester Composites; Elsevier Inc.: Amsterdam, The Netherlands, 2019; ISBN 9780128163542. [Google Scholar]
- Asrofi, M.; Sapuan, S.M.; Ilyas, R.A.; Ramesh, M. Characteristic of Composite Bioplastics from Tapioca Starch and Sugarcane Bagasse Fiber: Effect of Time Duration of Ultrasonication (Bath-Type). Mater. Today Proc. 2020, 46, 1626–1630. [Google Scholar] [CrossRef]
- Jumaidin, R.; Diah, N.A.; Ilyas, R.A.; Alamjuri, R.H.; Yusof, F.A.M. Processing and Characterisation of Banana Leaf Fibre Reinforced Thermoplastic Cassava Starch Composites. Polymers 2021, 13, 1420. [Google Scholar] [CrossRef] [PubMed]
- Bilba, K.; Arsene, M.A.; Ouensanga, A. Study of Banana and Coconut Fibers. Botanical Composition, Thermal Degradation and Textural Observations. Bioresour. Technol. 2007, 98, 58–68. [Google Scholar] [CrossRef]
- Mo, X.; Zhong, Y.; Liang, C.; Yu, S. Studies on the Properties of Banana Fibers-Reinforced Thermoplastic Cassava Starch Composites: Preliminary Results. Adv. Mater. Res. 2010, 87–88, 439–444. [Google Scholar] [CrossRef]
- De Blasio, C. Thermogravimetric Analysis (TGA). In Fundamentals of Biofuels Engineering and Technology; Springer: Berlin/Heidelberg, Germany, 2019; p. 429. [Google Scholar] [CrossRef]
- Boopalan, M.; Niranjanaa, M.; Umapathy, M.J. Study on the Mechanical Properties and Thermal Properties of Jute and Banana Fiber Reinforced Epoxy Hybrid Composites. Compos. Part B Eng. 2013, 51, 54–57. [Google Scholar] [CrossRef]
- Jumaidin, R.; Sapuan, S.M.; Jawaid, M.; Ishak, M.R.; Sahari, J. Thermal, Mechanical, and Physical Properties of Seaweed/Sugar Palm Fibre Reinforced Thermoplastic Sugar Palm Starch/Agar Hybrid Composites. Int. J. Biol. Macromol. 2017, 97, 606–615. [Google Scholar] [CrossRef]
- Sahari, J.; Sapuan, S.M.; Zainudin, E.S.; Maleque, M.A. Mechanical and Thermal Properties of Environmentally Friendly Composites Derived from Sugar Palm Tree. Mater. Des. 2013, 49, 285–289. [Google Scholar] [CrossRef]
- Wattanakornsiri, A.; Tongnunui, S. Sustainable Green Composites of Thermoplastic Starch and Cellulose Fibers. Songklanakarin J. Sci. Technol. 2014, 36, 149–161. [Google Scholar]
- Monteiro, S.N.; Calado, V.; Rodriguez, R.J.S.; Margem, F.M. Thermogravimetric Behavior of Natural Fibers Reinforced Polymer Composites-An Overview. Mater. Sci. Eng. A 2012, 557, 17–28. [Google Scholar] [CrossRef]
- Ramesh, M.; Sri Ananda Atreya, T.; Aswin, U.S.; Eashwar, H.; Deepa, C. Processing and Mechanical Property Evaluation of Banana Fiber Reinforced Polymer Composites. Proc. Eng. 2014, 97, 563–572. [Google Scholar] [CrossRef]
- Thomason, J.L.; Rudeiros-Fernández, J.L. Thermal Degradation Behaviour of Natural Fibres at Thermoplastic Composite Processing Temperatures. Polym. Degrad. Stab. 2021, 188, 109594. [Google Scholar] [CrossRef]
- Jumaidin, R.; Khiruddin, M.A.A.; Asyul Sutan Saidi, Z.; Salit, M.S.; Ilyas, R.A. Effect of Cogon Grass Fibre on the Thermal, Mechanical and Biodegradation Properties of Thermoplastic Cassava Starch Biocomposite. Int. J. Biol. Macromol. 2020, 146, 746–755. [Google Scholar] [CrossRef]
- Chotiprayon, P.; Chaisawad, B.; Yoksan, R. Thermoplastic Cassava Starch/Poly(Lactic Acid) Blend Reinforced with Coir Fibres. Int. J. Biol. Macromol. 2020, 156, 960–968. [Google Scholar] [CrossRef]
- Edhirej, A.; Sapuan, S.M.; Jawaid, M.; Zahari, N.I. Tensile, Barrier, Dynamic Mechanical, and Biodegradation Properties of Cassava/Sugar Palm Fiber Reinforced Cassava Starch Hybrid Composites. BioResources 2017, 12, 7145–7160. [Google Scholar] [CrossRef]
- Cheng, W. Preparation and Properties of Lignocellulosic Fiber/CaCO3/Thermoplastic Starch Composites. Carbohydr. Polym. 2019, 211, 204–208. [Google Scholar] [CrossRef]
- Prachayawarakorn, J.; Chaiwatyothin, S.; Mueangta, S.; Hanchana, A. Effect of Jute and Kapok Fibers on Properties of Thermoplastic Cassava Starch Composites. Mater. Des. 2013, 47, 309–315. [Google Scholar] [CrossRef]
- Hassan, M.M.; Le Guen, M.J.; Tucker, N.; Parker, K. Thermo-Mechanical, Morphological and Water Absorption Properties of Thermoplastic Starch/Cellulose Composite Foams Reinforced with PLA. Cellulose 2019, 26, 4463–4478. [Google Scholar] [CrossRef]
- Kamaruddin, Z.H.; Jumaidin, R.; Ilyas, R.A.; Selamat, M.Z.; Alamjuri, R.H.; Yusof, F.A.M. Biocomposite of Cassava Starch-Cymbopogan Citratus Fibre: Mechanical, Thermal and Biodegradation Properties. Polymers 2022, 14, 514. [Google Scholar] [CrossRef]













| Parameters | Tensile Strength | Tensile Modulus | Elongation |
|---|---|---|---|
| Sum of squares | 427.381 | 10,588,991.02 | 0.201 |
| df | 4 | 4 | 4 |
| Mean square | 84.256 | 2,012,223.485 | 0.38 |
| F | 8.458 | 20.125 | 29.254 |
| Variables | Flexural Strength | Flexural Modulus |
|---|---|---|
| Sum of squares | 497.381 | 12,588,991.02 |
| df | 4 | 4 |
| Mean square | 88.256 | 3,012,223.485 |
| F | 10.458 | 25.125 |
Publisher’s Note: MDPI stays neutral with regard to jurisdictional claims in published maps and institutional affiliations. |
© 2022 by the authors. Licensee MDPI, Basel, Switzerland. This article is an open access article distributed under the terms and conditions of the Creative Commons Attribution (CC BY) license (https://creativecommons.org/licenses/by/4.0/).
Share and Cite
Sivakumar, A.A.; Canales, C.; Roco-Videla, Á.; Chávez, M. Development of Thermoplastic Cassava Starch Composites with Banana Leaf Fibre. Sustainability 2022, 14, 12732. https://doi.org/10.3390/su141912732
Sivakumar AA, Canales C, Roco-Videla Á, Chávez M. Development of Thermoplastic Cassava Starch Composites with Banana Leaf Fibre. Sustainability. 2022; 14(19):12732. https://doi.org/10.3390/su141912732
Chicago/Turabian StyleSivakumar, Aburpa Avanachari, Cristian Canales, Ángel Roco-Videla, and Manuel Chávez. 2022. "Development of Thermoplastic Cassava Starch Composites with Banana Leaf Fibre" Sustainability 14, no. 19: 12732. https://doi.org/10.3390/su141912732
APA StyleSivakumar, A. A., Canales, C., Roco-Videla, Á., & Chávez, M. (2022). Development of Thermoplastic Cassava Starch Composites with Banana Leaf Fibre. Sustainability, 14(19), 12732. https://doi.org/10.3390/su141912732

