Accounting for Environmental Awareness on Green Purchase Intention and Behaviour: Evidence from the Philippines
Abstract
1. Introduction
1.1. Motivation
1.2. Environmental Awareness
1.3. Purchase Behaviour
2. Theories and Hypotheses
2.1. Theoretical Background
2.2. Conceptual Framework for Hypothesis Development
2.3. Attitude (Behavioural Belief towards Environmental Degradation) and Purchase Intention
2.4. Subjective Norms (Normative Beliefs of Identifying Green Products) and Perceived Behavioural Control (in Identifying Green Product Attributes)
2.5. Subjective Norms and Perceived Purchase Intention
2.6. Perceived Behavioural Control and Purchase Intention
2.7. Purchase Intention (in Green Purchase) and Purchase Behaviour (in Green Purchase)
3. Research Methods
3.1. Measures of the Constructs
3.2. Data Collection and Sample
3.3. Data Analysis Procedure
4. Results
4.1. Sample Profile and Descriptive Statistics
4.2. Construct Reliability and Validity
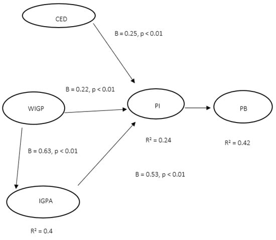
4.3. Path Analysis and Hypothesis Testing
4.4. Robustness Testing
5. Discussion
6. Conclusions
6.1. Practical Implications
6.2. Social Implications
6.3. Research Limitations
Author Contributions
Funding
Institutional Review Board Statement
Informed Consent Statement
Data Availability Statement
Conflicts of Interest
References
- Brundtland, G.H. Report of the World Commission on Environment and Development: Our Common Future. 1987. Available online: https://sustainabledevelopment.un.org/content/documents/5987our-common-future.pdf (accessed on 31 July 2022).
- Chen, T.B.; Chai, L.T. Attitude towards the environment and green products: Consumers’ perspective. Manag. Sci. Eng. 2010, 4, 27–39. [Google Scholar] [CrossRef]
- Ajzen, I. The theory of planned behaviour. Organ. Behav. Hum. Decis. Processes 1991, 50, 179–211. [Google Scholar] [CrossRef]
- Badana, M.A.N.S.; Andel, R. Aging in the Philippines. Gerontol. 2018, 58, 212–218. [Google Scholar] [CrossRef]
- Portes, J. Commentary: Intergenerational and intragenerational equity. Natl. Inst. Econ. Rev. 2014, 227, F4–F11. [Google Scholar] [CrossRef]
- Arli, D.; Tan, L.P.; Tjiptono, F.; Yang, L. Exploring consumers’ purchase intention towards green products in an emerging market: The role of consumers’ perceived readiness. Int. J. Consum. Stud. 2018, 42, 389–401. [Google Scholar] [CrossRef]
- Peña-García, N.; Gil-Saura, I.; Rodríguez-Orejuela, A.; Siqueira-Junior, J.R. Purchase intention and purchase behavior online: A cross-cultural approach. Heliyon 2020, 6, e04284. [Google Scholar] [CrossRef]
- Hofstede Insights. Country Comaparison. 2022. Available online: https://www.hofstede-insights.com/country-comparison/ (accessed on 8 August 2022).
- Veron, S.; Mouchet, M.; Govaerts, R.; Haevermans, T.; Pellens, R. Vulnerability to Climate Change of Islands Worldwide and Its Impact on the Tree of Life. Sci. Rep. 2019, 9, 14471. [Google Scholar] [CrossRef]
- Yusuf, A.A.; Francisco, H. Climate Change Vulnerability Mapping for South East Asia. Economy and Environment Program for Southeast Asia (EEPSEA), Singapore. 2009. Available online: https://research.fit.edu/media/site-specific/researchfitedu/coast-climate-adaptation-library/asia-amp-indian-ocean/southeast-asia-amp-philippines/Yusuf--Francisco.--2009.---CC-Vulnerability-for-Southeast-Asia.pdf (accessed on 31 July 2022).
- Dasgupta, S.; Laplante, B.; Meisner, C.; Wheeler, D.; Yan, J. The Impact of Sea Level Rise on Developing Countries: A Comparative Analysis. World Bank Policy Research Working Paper 4136, Development Research Group, World Bank. February 2007. Available online: https://openknowledge.worldbank.org/bitstream/handle/10986/7174/wps4136.pdf (accessed on 31 July 2022).
- Alburo Aluro & Associates. What is Republic Act No. 9512 or the National Environmental Awareness and Education Act of 2008? 2022. Available online: https://www.alburolaw.com/what-is-republic-act-no-9512-or-the-national-environmental-awareness-and-education-act-of-2008 (accessed on 1 August 2022).
- Republic of the Philippines. Republic Act No. 9512. An Act to Promote Environmental Awareness Through Environmental Education and for Other Purposes. 12 December 2008. Available online: https://www.officialgazette.gov.ph/2008/12/12/republic-act-no-9512/ (accessed on 1 August 2022).
- Lasco, R.D.; Pulhin, J.M. Environmental impacts of community-based forest management in the Philippines. Int. J. Environ. Sustain. Dev. 2006, 5, 46. [Google Scholar] [CrossRef]
- Chaussard, E.; Kerosky, S. Characterization of Black Sand Mining Activities and Their Environmental Impacts in the Philippines Using Remote Sensing. Remote Sens. 2016, 8, 100. [Google Scholar] [CrossRef]
- Macusi, E.D.; Estor, D.E.P.; Borazon, E.Q.; Clapano, M.B.; Santos, M.D. Environmental and Socioeconomic Impacts of Shrimp Farming in the Philippines: A Critical Analysis Using PRISMA. Sustainability 2022, 14, 2977. [Google Scholar] [CrossRef]
- Mohiuddin, M.; Al Mamun, A.; Syed, F.A.; Masud, M.M.; Su, Z. Environmental Knowledge, Awareness, and Business School Students’ Intentions to Purchase Green Vehicles in Emerging Countries. Sustainability 2018, 10, 1534. [Google Scholar] [CrossRef]
- Yazdanpanah, M.; Forouzani, M. Application of the Theory of Planned Behaviour to predict Iranian students’ intention to purchase organic food. J. Clean. Prod. 2015, 107, 342–352. [Google Scholar] [CrossRef]
- Lualhati, G.P. Environmental awareness and participation of Filipino pre-service teachers. J. Pendidik. Biol. Indones. 2019, 5, 345–352. [Google Scholar] [CrossRef]
- Rogayan, D.V., Jr.; Nebrida, E.E.D. Environmental Awareness and Practices of Science Students: Input for Ecological Management Plan. Int. Electron. J. Environ. Educ. 2019, 9, 106–119. [Google Scholar]
- Soomro, R.B.; Mirani, I.A.; Ali, M.S.; Marvi, S. Exploring the green purchasing behavior of young generation in Pakistan: Opportunities for green entrepreneurship. Asia Pac. J. Innov. Entrep. 2020, 14, 289–302. [Google Scholar] [CrossRef]
- Suki, N.M. Green awareness effects on consumers’ purchasing decision: Some insights from Malaysia. Int. J. Asia-Pac. Stud. 2013, 9, 49–63. [Google Scholar]
- Joshi, Y.; Rahman, Z. Factors Affecting Green Purchase Behaviour and Future Research Directions. Int. Strategy Manag. Rev. 2015, 3, 128–143. [Google Scholar] [CrossRef]
- Yadav, R.; Pathak, G.S. Young consumers’ intention towards buying green products in a developing nation: Extending the theory of planned behavior. J. Clean. Prod. 2016, 135, 732–739. [Google Scholar] [CrossRef]
- Adrita, U.W.; Mohiuddin, M.F. Impact of opportunity and ability to translate environmental attitude into ecologically conscious consumer behavior. J. Mark. Theory Pr. 2020, 28, 173–186. [Google Scholar] [CrossRef]
- Cheung, M.F.; To, W.M. An extended model of value-attitude-behavior to explain Chinese consumers’ green purchase behavior. J. Retail. Consum. Serv. 2019, 50, 145–153. [Google Scholar] [CrossRef]
- Witek, L.; Kuzniar, W. Green Marketing: The Effectiveness of Socio-Demographic Variables for Explaining Green Purchases Behavior in Emerging Markets. Eur. Res. Stud. J. 2021, 24, 1070–1080. [Google Scholar] [CrossRef]
- Hawthorne, M.; Alabaster, T. Citizen 2000: Development of a model of environmental citizenship. Glob. Environ. Chang. 1999, 9, 25–43. [Google Scholar] [CrossRef]
- Abeysekera, I.; Tran, K.T. The Coronavirus as a Disrupter of a Sustainable Small Early Childhood Family Business in Vietnam. Sustainability 2021, 13, 10692. [Google Scholar] [CrossRef]
- Dutta, B.; Hwang, H.-G. Consumers Purchase Intentions of Green Electric Vehicles: The Influence of Consumers Technological and Environmental Considerations. Sustainability 2021, 13, 12025. [Google Scholar] [CrossRef]
- Kaiser, F.G.; Wolfing, S.; Fuhrer, U. Environmental attitude and ecological behaviour. J. Environ. Psychol. 1999, 19, 1–19. [Google Scholar] [CrossRef]
- Ajzen, I.; Fishbein, M. Attitude-behavior relations: A theoretical analysis and review of empirical research. Psychol. Bull. 1977, 84, 888–918. [Google Scholar] [CrossRef]
- Ajzen, I.; Madden, T.J. Prediction of goal-directed behavior: Attitudes, intentions, and perceived behavioral control. J. Exp. Soc. Psychol. 1986, 22, 453–474. [Google Scholar] [CrossRef]
- Schifter, D.E.; Ajzen, I. Intention, perceived control, and weight loss: An application of the theory of planned behavior. J. Pers. Soc. Psychol. 1985, 49, 843–851. [Google Scholar] [CrossRef]
- Hackman, C.L.; Knowlden, A.P. Theory of reasoned action and theory of planned behavior-based dietary interventions in adolescents and young adults: A systematic review. Adolesc. Health Med. Ther. 2014, 5, 101–114. [Google Scholar] [CrossRef]
- Fishbein, M.; Ajzen, I. Belief, attitude, intention, and behaviour: An introduction to theory and research. Philos. Rhetor. 1977, 10, 130–132. [Google Scholar]
- Mostafa, M.M. A hierarchical analysis of the green consciousness of the Egyptian consumer. Psychol. Mark. 2007, 24, 445–473. [Google Scholar] [CrossRef]
- Wang, L. Determinants of Consumers Purchase Attitude and Intention Toward Green Hotel Selection. J. China Tour. Res. 2020, 18, 203–222. [Google Scholar] [CrossRef]
- Hojnik, J.; Ruzzier, M.; Manolova, T.S. Sustainable development: Predictors of green consumerism in Slovenia. Corp. Soc. Responsib. Environ. Manag. 2020, 27, 1695–1708. [Google Scholar] [CrossRef]
- Liao, Y.-K.; Wu, W.-Y.; Pham, T.-T. Examining the Moderating Effects of Green Marketing and Green Psychological Benefits on Customers’ Green Attitude, Value and Purchase Intention. Sustainability 2020, 12, 7461. [Google Scholar] [CrossRef]
- Holbrook, M.B.; Moore, W.L. Feature interactions in consumer judgements of verbal versus pictorial presentations. J. Consum. Res. 1981, 8, 103–113. [Google Scholar] [CrossRef]
- Borin, N.; Cerf, D.C.; Krishnan, R. Consumer effects of environmental impact in product labeling. J. Consum. Mark. 2011, 28, 76–86. [Google Scholar] [CrossRef]
- Johnstone, M.-L.; Tan, L.P. Exploring the Gap Between Consumers’ Green Rhetoric and Purchasing Behaviour. J. Bus. Ethic 2014, 132, 311–328. [Google Scholar] [CrossRef]
- Leong, T.P.; Mariadass, A.M. Factors affecting young adults’ purchase intention of green food products in Malaysia. J. Tour. Hosp. Culin. Art 2019, 11, 20–45. [Google Scholar]
- Hasbullah, N.; Ithnin, M. Can The Theory of Planned Behavior Be Extended ? Evidence From Numerous Research. Int. J. Curr. Res. 2014, 6, 11167–11169. [Google Scholar]
- D’Souza, C.; Taghian, M.; Lamb, P. An empirical study on the influence of environmental labels on consumers. Corp. Commun. Int. J. 2006, 11, 162–173. [Google Scholar] [CrossRef]
- Madden, T.J.; Ellen, P.S.; Ajzen, I. A comparison of the theory of planned behavior and the theory of reasoned action. Pers. Soc. Psychol. Bull. 1992, 18, 3–9. [Google Scholar] [CrossRef]
- Cerjak, M.; Mesić, Z.; Kopić, M.; Kovačić, D.; Markovina, J. What Motivates Consumers to Buy Organic Food: Comparison of Croatia, Bosnia Herzegovina, and Slovenia. J. Food Prod. Mark. 2010, 16, 278–292. [Google Scholar] [CrossRef]
- Vermeir, I.; Verbeke, W. Sustainable food consumption among young adults in Belgium: Theory of planned behaviour and the role of confidence and values. Ecol. Econ. 2008, 64, 542–553. [Google Scholar] [CrossRef]
- Aoki, M. Evaluation of Green Products—The Process of Recognising Information and Forming Qualitative Judgments. Asia Pac. Adv. Consum. Res. 1994, 1, 36–42. [Google Scholar]
- Chan, T.; Wong, C.W.Y. The consumption side of sustainable fashion supply chain: Understanding fashion consumer eco-fashion consumption decision. J. Fash. Mark. Manag. 2012, 16, 193–215. [Google Scholar] [CrossRef]
- Jaiswal, D.; Kant, R. Green purchasing behaviour: A conceptual framework and empirical investigation of Indian consumers. J. Retail. Consum. Serv. 2018, 41, 60–69. [Google Scholar] [CrossRef]
- Montaño, D.E.; Kasprzyk, D. Theory of Reasoned Action, Theory of Planned Behavior, and the Integrated Behavioral Model. In Health Behavior: Theory, Research, and Practice; Glanz, K., Rimer, B.K., Viswanath, K.V., Eds.; Jossey-Bass/Wiley: San Francisco, CA, USA, 2015; pp. 95–124. [Google Scholar]
- Khoiruman, M.; Haryanto, A.T. Green Purchasing Behavior Analysis of Government Policy About Paid Plastic Bags. Indones. J. Sustain. Account. Manag. 2017, 1, 65. [Google Scholar] [CrossRef]
- Asha, P.; Rathiha, R. Consumer awareness towards green products. Int. J. Manag. 2017, 8, 8–14. [Google Scholar]
- Gliem, J.A.; Gliem, R.R. Calculating, interpreting, and reporting Cronbach’s alpha reliability coefficient for Likert-type scales. In Proceedings of the Midwest Research-to-Practice Conference in Adult, Continuing, and Community Education, Colombus, OH, USA, 8–10 October 2003. [Google Scholar]
- Nederhof, A.J. Methods of coping with social desirability bias: A review. Eur. J. Soc. Psychol. 1985, 15, 263–280. [Google Scholar] [CrossRef]
- Grimm, P. Social Desirability Bias. Wiley International Encyclopedia of Marketing; Jagdish, N.S., Naresh, K.M., Eds.; Wiley Sons and Limited: Hoboken, NJ, USA, 2010. [Google Scholar]
- Amora, J.T. Convergent validity assessment in PLS-SEM: A loadings-driven approach. Data Anal. Perspect. J. 2021, 2, 1–6. [Google Scholar]
- Kock, N. Common Method Bias in PLS-SEM: A full collinearity assessment approach. Int. J. e-Collab. 2015, 11, 1–10. [Google Scholar] [CrossRef]
- Iacobucci, D. Structural equations modeling: Fit Indices, sample size, and advanced topics. J. Consum. Psychol. 2010, 20, 90–98. [Google Scholar] [CrossRef]
- Bandalos, D.L. Relative Performance of Categorical Diagonally Weighted Least Squares and Robust Maximum Likelihood Estimation. Struct. Equ. Model. A Multidiscip. J. 2014, 21, 102–116. [Google Scholar] [CrossRef]
- Kang, H.; Ahn, J.-W. Model Setting and Interpretation of Results in Research Using Structural Equation Modeling: A Checklist with Guiding Questions for Reporting. Asian Nurs. Res. 2021, 15, 157–162. [Google Scholar] [CrossRef] [PubMed]
- Fornell, C.; Larcker, D.F. Evaluating structural equation models with unobservable variables and measurement error. J. Mark. Res. 1981, 18, 39–50. [Google Scholar] [CrossRef]
- Kock, N. Advanced mediating effects tests, multi-group analyses, and measurement SEM: An illustration and recommendations. Int. J. e-Collab. 2014, 13, 546–580. [Google Scholar] [CrossRef]
- Kock, N.; Lynn, G.S. Lateral collinearity and misleading results in variance-based model assessments in PLS-based SEM. Int. J. e-Collab. 2012, 10, 1–13. [Google Scholar] [CrossRef]
- Kock, N. WarpPLS User Manual; Version 8.0; ScriptWarp Systems: Laredo, TX, USA, 2022. [Google Scholar]
- Gold, A.H.; Malhotra, A.; Segars, A.H. Knowledge Management: An Organizational Capabilities Perspective. J. Manag. Inf. Syst. 2001, 18, 185–214. [Google Scholar] [CrossRef]
- Henseler, J.; Ringle, C.M.; Sarstedt, M. A new criterion for assessing discriminant validity in variance-based structural equation modeling. J. Acad. Mark. Sci. 2015, 43, 115–135. [Google Scholar] [CrossRef]
- Cohen, J. Statistical Power Analysis for the Behavioural Sciences; Lawrence Earlbaum: Mahwah, NJ, USA, 1988. [Google Scholar]
- Chin, W.W. The Partial Least Squares Approach for Structural Equation Modeling. In Modern Methods for Business Research; Marcoulides, G.A., Ed.; Lawrence Erlbaum Associates: Mahwah, NJ, USA, 1998; pp. 295–336. [Google Scholar]
- Hofstede, G. Dimensionalizing Cultures: The Hofstede Model in Context. Online Readings in Psychology and Culture. 2011. 8, Unit 2. Available online: http://scholarworks.gvsu.edu/orpc/vol2/iss1/8 (accessed on 8 September 2022).
- Beugelsdijk, S.; Welzel, C. Dimensions and Dynamics of National Culture: Synthesizing Hofstede With Inglehart. J. Cross-Cult. Psychol. 2018, 49, 1469–1505. [Google Scholar] [CrossRef]
- Gómez-Rey, P.; Barbera, E.; Fernández-Navarro, F. The Impact of Cultural Dimensions on Online Learning. Educ. Technol. Soc. 2016, 19, 225–238. [Google Scholar]
- Cahiles-Magkilat, B. 75% of Filipino Consumers Prefer Eco-Friendly Brands. 25 April 2021. Available online: https://mb.com.ph/2021/04/25/75-of-filipino-consumers-prefer-eco-friendly-brands/ (accessed on 8 August 2022).
- Ghali-Zinoubi, Z. Examining Drivers of Environmentally Conscious Consumer Behavior: Theory of Planned Behavior Extended with Cultural Factors. Sustainability 2022, 14, 8072. [Google Scholar] [CrossRef]
- Ajzen, I. The theory of planned behaviour: Reactions and reflections. Psychol. Health 2011, 26, 1113–1127. [Google Scholar] [CrossRef] [PubMed]
- Conner, M.; Sheeran, P.; Norman, P.; Armitage, C.J. Temporal stability as a moderator of relationships in the theory of planned behaviour. Br. J. Soc. Psychol. 2000, 39, 469–493. [Google Scholar] [CrossRef]
- Sheeran, P.; Orbell, S.; Trafimow, D. Does the temporal stability of behavioral intentions moderate intention-behavior and past behavior-future behavior relations? Personal. Soc. Psychol. Bull. 1999, 25, 721–730. [Google Scholar] [CrossRef]
- Medallon, M.C.; Gallardo, M. Environmental Awareness Campaign: The Change It Brings. Asia Pac. J. Multidiscip. Res. 2014, 2, 115–120. Available online: https://www.hilarispublisher.com/open-access/environmental-awareness-campaign-the-change-it-bringsthe-impacts-of-climate-change-on-natural-environments.pdf (accessed on 30 September 2022).



| Course/Degree | Frequencies | Percentages |
|---|---|---|
| Accountancy | 547 | 59.30% |
| Business and Management | 337 | 36.50% |
| Graduate School of Business | 39 | 4.20% |
| No. of Years in the Program | ||
| 1st year | 183 | 19.80% |
| 2nd year | 378 | 41.00% |
| 3rd year | 361 | 39.10% |
| 4th year | 1 | 0.10% |
| Variables and Items | Factor Loadings | Mean | SD | Ave. Variance Extracted | α |
|---|---|---|---|---|---|
| Attitude—Consequences of Environmental Degradation (CED) | 4.57 | 0.467 | 0.504 | 0.901 | |
| i. “The increase in temperature across the globe is a result of global warming.” | 0.699 | ||||
| ii. “Climate change caused by greenhouse gases has some destructive impacts such as the melting of glaciers and change in seasons.” | 0.736 | ||||
| iii. “The ozone layer is being destroyed by CFCs (chlorofluorocarbons), which are used in industries and everyday life.” | 0.653 | ||||
| iv. “Hazardous waste from households, hospitals, manufacturing, and laboratories, and many other establishments causes environmental destruction.” | 0.702 | ||||
| v. “The introduction of harmful substances into rivers, oceans, lakes, and ponds, changes the physical, chemical, or biological condition of the water called water pollution.” | 0.755 | ||||
| vi. “Due to climate change, air and water pollution caused by environmental destruction, health problems among humans arise.” | 0.731 | ||||
| vii. “Loss and destruction of habitat increase the number of endangered species.” | 0.709 | ||||
| viii. “Water and air pollution, water shortages, and technological/industrial practices cause a reduction of natural resources.” | 0.705 | ||||
| ix. “Toxic substances such as lead poisoning, heavy metal, pollutants, and pesticides, industrial wastes bring a serious impact to the environment.” | 0.694 | ||||
| Norm—Identification of green Product Attributes (IGPA) | 4.18 | 0.622 | 0.519 | 0.915 | |
| i. “Green products are recyclable products or those that can be reused.” | 0.729 | ||||
| ii “Green products are non-toxic products that are NOT poisonous and don’t harm the environment.” | 0.780 | ||||
| iii. “Green products are made from recycled waste or made from natural renewable materials.” | 0.768 | ||||
| iv. “Green products are products with natural ingredients.” | 0.764 | ||||
| v. “Green products come in eco-friendly packaging.” | 0.772 | ||||
| vi. “Green products are originally developed products.” | 0.701 | ||||
| vii. “Green products have low embodied energy.” | 0.594 | ||||
| viii. “Green products are products that will not be tested on animals.” | 0.643 | ||||
| ix. “Green products are non-polluting.” | 0.715 | ||||
| x. “Green products are healthy for users.” | 0.715 | ||||
| Perceived Behavioural Control—Ways of Identifying Green Products (WIGP) | 3.947 | 0.651 | 0.512 | 0.862 | |
| i. “Green products are labeled with the word ‘organic’.” | 0.614 | ||||
| ii. “Green products are packaged in recycled biodegradable materials.” | 0.606 | ||||
| iii. “Green products have an ‘Energy Star ‘ or ‘Green seal’ label.” | 0.722 | ||||
| iv. “I can identify green products through the experience of using the brands.” | 0.788 | ||||
| v. “I can identify green products through the help of green product usage.” | 0.795 | ||||
| vi. “I can identify green products through self-perception knowledge.” | 0.744 | ||||
| Purchase Intention (PI) | 4.336 | 0.617 | 0.601 | 0.819 | |
| i. “I will likely choose to buy green products if they are available in the store where I usually shop.” | 0.839 | ||||
| ii. “I am consistently considering buying green products to protect the environment.” | 0.748 | ||||
| iii. “I am willing to shift from non-green to green products.” | 0.735 | ||||
| Purchase Behaviour (PB) | 3.948 | 0.761 | 0.622 | 0.908 | |
| i. “Knowing a product can be recycled, reused or repaired after you use it, is it a reason for me to buy these particular products?” | 0.752 | ||||
| ii. “I remain loyal to companies which practices are environmentally friendly (decrease wastes, recycle materials, etc.).” | 0.803 | ||||
| iii. “When I learn about the negative and harmful impact a product has in the environment, I stop buying it.” | 0.703 | ||||
| iv. “In case there is an alternative, I prefer products which cause less pollution.” | 0.848 | ||||
| v. “Choosing between two products, I always buy the one which has the minimum impact to people and environment.” | 0.833 | ||||
| vi. “I change products when they do not comply with the ecological condition/rules.” | 0.783 |
| CED | IGPA | WIGP | PI | PB | |
|---|---|---|---|---|---|
| CED | |||||
| IGPA | 0.554 | ||||
| WIGP | 0.422 | 0.758 | |||
| PI | 0.516 | 0.501 | 0.516 | ||
| GPD | 0.326 | 0.314 | 0.394 | 0.853 | - |
| Hypotheses | Path Coefficient | p-Value | Effect Size | Findings |
|---|---|---|---|---|
| H1: CED → PI | 0.246 | < 0.001 | 0.098 | Supported |
| H2: WIGP → IGPA | 0.631 | < 0.001 | 0.398 | Supported |
| H3: WIGP → PI | 0.216 | < 0.001 | 0.085 | Supported |
| H4: IGPA → PI | 0.133 | < 0.001 | 0.053 | Supported |
| H5: PI → PB | 0.648 | < 0.001 | 0.420 | Supported |
| Latent Construct | Full Collinearity VIF | R2 | Q2 |
|---|---|---|---|
| CED | 1.417 | ||
| IGPA | 1.96 | 0.398 | 0.399 |
| WIGP | 1.744 | ||
| PI | 1.953 | 0.236 | 0.236 |
| PB | 1.753 | 0.42 | 0.419 |
Publisher’s Note: MDPI stays neutral with regard to jurisdictional claims in published maps and institutional affiliations. |
© 2022 by the authors. Licensee MDPI, Basel, Switzerland. This article is an open access article distributed under the terms and conditions of the Creative Commons Attribution (CC BY) license (https://creativecommons.org/licenses/by/4.0/).
Share and Cite
Abeysekera, I.; Manalang, L.; David, R.; Grace Guiao, B. Accounting for Environmental Awareness on Green Purchase Intention and Behaviour: Evidence from the Philippines. Sustainability 2022, 14, 12565. https://doi.org/10.3390/su141912565
Abeysekera I, Manalang L, David R, Grace Guiao B. Accounting for Environmental Awareness on Green Purchase Intention and Behaviour: Evidence from the Philippines. Sustainability. 2022; 14(19):12565. https://doi.org/10.3390/su141912565
Chicago/Turabian StyleAbeysekera, Indra, Leah Manalang, Raul David, and Bethel Grace Guiao. 2022. "Accounting for Environmental Awareness on Green Purchase Intention and Behaviour: Evidence from the Philippines" Sustainability 14, no. 19: 12565. https://doi.org/10.3390/su141912565
APA StyleAbeysekera, I., Manalang, L., David, R., & Grace Guiao, B. (2022). Accounting for Environmental Awareness on Green Purchase Intention and Behaviour: Evidence from the Philippines. Sustainability, 14(19), 12565. https://doi.org/10.3390/su141912565

