Research on Closed-Loop Supply Chain Decision Making of Power Battery Considering Subsidy Transfer under EPR System
Abstract
:1. Introduction
- (1)
- What is the optimal decision for each subject under different subsidy models? What are the conditions under which different subsidy strategies are applicable?
- (2)
- What is the impact of subsidies on the decision making and profitability of the power battery CLSC, product pricing and product recovery rates, as well as the distribution of CLSC profits?
2. Literature Review
2.1. Analysis of the Economic and Environmental Benefits of Power Battery Recycling
2.2. Research Related to CLSC Operation Decisions under Government Subsidies
2.3. Research Related to CLSC Operation Decisions under EPR System
3. Problem Description and Assumption
3.1. Description of Symbols
3.2. Model Assumption
4. Model and Analysis
4.1. No Government Subsidy Model N
4.2. Subsidized Retailer Model R
4.3. Subsidized Retailer and Complete Vehicle Manufacturer Model RM
4.4. Subsidized All Themes Model A
5. Numerical Analysis
5.1. Internal Analysis of Each Model
- (1)
- Only subsidized retailers
- (2)
- Both retailers and complete vehicle manufacturers are subsidized
- (3)
- Subsidized retailers, vehicle manufacturers and power battery producers
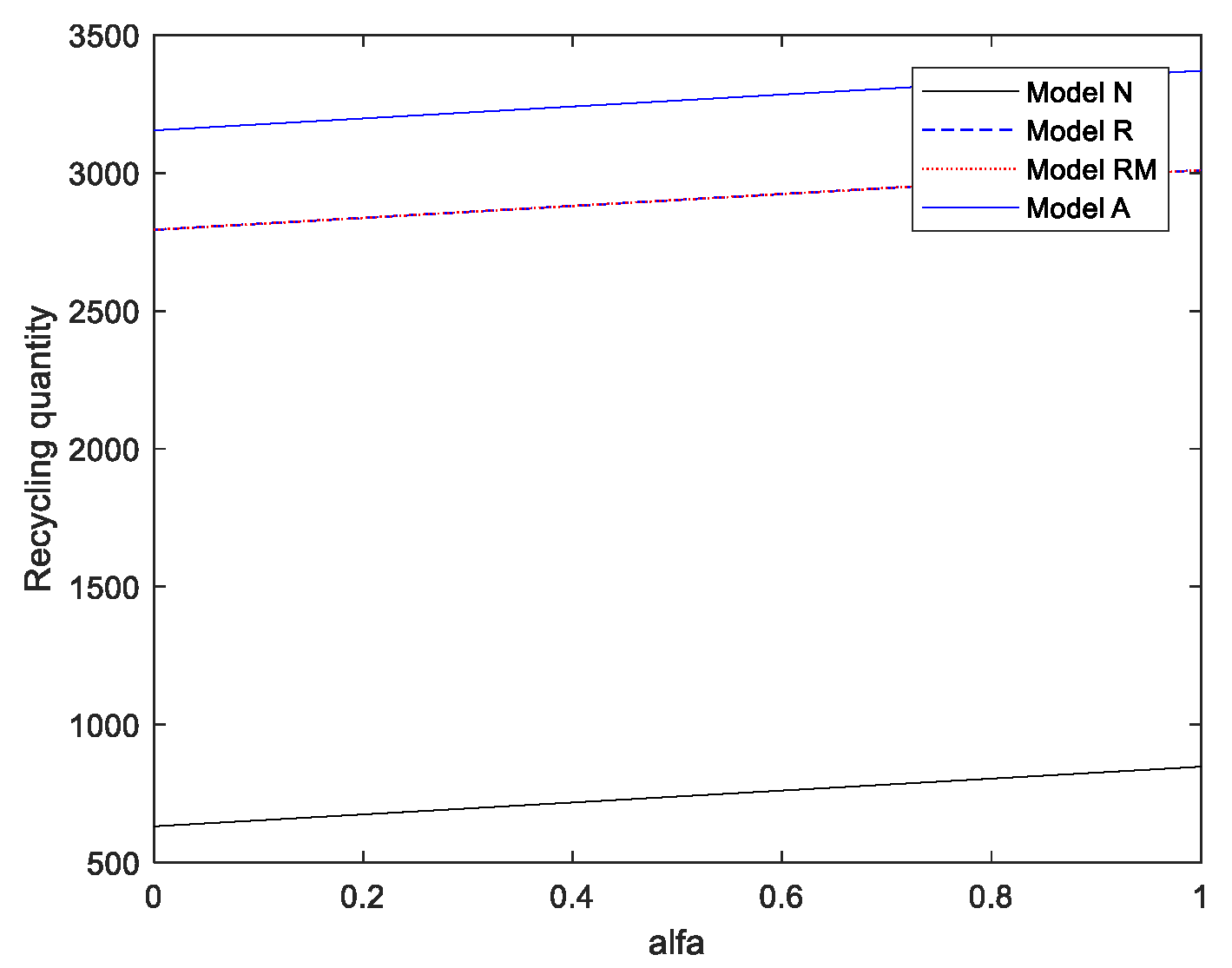
5.2. Comparative Analysis of the Models
6. Discussion and Management Implications
7. Conclusions and Outlook
- (1)
- A change in government subsidy objects will not impact the CLSC’s profit distribution ratio. Under the premise that the CLSC’s overall utility will increase, each subject’s enthusiasm will be effectively improved. This is mainly because subsidies increase the recovery rate and the profitability of each entity. Therefore, the CLSC of subsidized power batteries has certain necessity and feasibility.
- (2)
- To describe the real power battery CLSC, this paper considers a three-phase supply chain. Under the premise that the unit subsidy amount is limited while the government subsidizes all objects in the CLSC, and the promotion effect on the benefit of the CLSC is significantly higher than the effect of the subsidy of a single entity. Therefore, the government should try to subsidize all the objects in the CLSC. The main body fully mobilizes the enthusiasm to participate in recycling.
- (3)
- When the government provides subsidies to power battery manufacturers, which is called remanufacturing subsidy, as recycling subsidies to vehicle manufacturers and retailers. When the government provides remanufacturing subsidies to power battery manufacturers, the recovery rate is the highest, which is most beneficial to the entire CLSC.
- (4)
- Power battery manufacturers and sellers not only need to build an efficient CLSC but also advocate for consumers to participate in power battery recycling actively. Moreover, it further obtains better economic benefits.
Author Contributions
Funding
Institutional Review Board Statement
Informed Consent Statement
Data Availability Statement
Acknowledgments
Conflicts of Interest
Appendix A
References
- Ye, M.; Zhang, R. An Empirical Case on the Measurement of China’s regional Low-carbon Development Level. IOP Conf. Ser. Earth Environ. Sci. 2021, 798, 12006. [Google Scholar] [CrossRef]
- Gong, K. Research and Analysis on Technical Problems of New Energy Vehicles in China Based on Big Data and Artificial Intelligence Algorithm. J. Phys. Conf. Ser. 2021, 2138, 12020. [Google Scholar] [CrossRef]
- Rao, Z.; Wang, S. A review of power battery thermal energy management. Renew. Sust. Energ. Rev. 2011, 15, 4554–4571. [Google Scholar] [CrossRef]
- Zhou, J.; He, R.; Wang, Y.; Jiang, S.; Zhu, Z.; Hu, J.; Miao, J.; Luo, Q. Autonomous Driving Trajectory Optimization with Dual-Loop Iterative Anchoring Path Smoothing and Piecewise-Jerk Speed Optimization. J. IEEE Robot. Autom. Lett. 2021, 6, 439–446. [Google Scholar] [CrossRef]
- Lupi, C.; Pasquali, M.; Dell’Era, A. Nickel and cobalt recycling from lithium-ion batteries by electrochemical processes. Waste Manag. 2005, 25, 215–220. [Google Scholar] [CrossRef]
- Zhoujian, A.N.; Jia, L.; Ding, Y. A Review on Lithium-ion Power Battery Thermal Management Technologies and Thermal Safety. J. Ther. Sci. 2017, 26, 391–412. [Google Scholar]
- Ieromonachou, P.; Gu, X.; Zhou, L.; Tseng, M.L. Optimising quantity of manufacturing and remanufacturing in an electric vehicle battery closed-loop supply chain 2017, 118 283–302. Ind. Manag. Data Syst. 2017, 118, 283–302. [Google Scholar]
- Miller, F.P.; Vandome, A.F.; Mcbrewster, J. Ministry of Industry and Information Technology (China), 2010 ed. Available online: https://xueshu.baidu.com/usercenter/paper/show?paperid=eb5c5b08633c04ee67b98c7269e57386&site=xueshu_se (accessed on 14 August 2022).
- Hertwich, E.G. Increased carbon footprint of materials production driven by rise in investments. Nat. Geosci. 2021, 14, 151–155. [Google Scholar] [CrossRef]
- Gao, Y.; Liu, Y.; Tan, Z. Analysis of cooperation equilibrium of participants in power battery recycling chains considering information barrier. Chin. J. Popul. Resour. Environ. 2022, 20, 9. [Google Scholar] [CrossRef]
- Baars, J.; Domenech, T.; Bleischwitz, R. Circular economy strategies for electric vehicle batteries reduce reliance on raw materials. Nat. Sustain. 2021, 4, 71–79. [Google Scholar] [CrossRef]
- Yu, J.; Hills, P.; Welford, R. Extended producer responsibility and eco-design changes: Perspectives from China. Corp. Soc. Responsib. Environ. Mgmt. 2008, 15, 111–124. [Google Scholar] [CrossRef]
- Lifset, R.; Atasu, A.; Tojo, N. Extended Producer Responsibility National, International, and Practical Perspectives. J. Ind. Ecol. 2013, 17, 162–166. [Google Scholar] [CrossRef]
- Corsini, F.; Rizzi, F.; Frey, M. Extended producer responsibility: The impact of organizational dimensions on WEEE collection from households. Waste Manag. 2016, 59, 23–29. [Google Scholar] [CrossRef]
- Gui, L.; Atasu, A.; Ergun, Ö.; Toktay, L.B. Design Incentives Under Collective Extended Producer Responsibility. Manag. Sci. 2018, 2017, 2897. [Google Scholar]
- Lai, K.H.; Wong, C.; Lun, Y. The role of customer integration in extended producer responsibility: A study of Chinese export manufacturers. Int. J. Prod. Econ. 2014, 147, 284–293. [Google Scholar] [CrossRef]
- Giosuè, C.; Marchese, D.; Cavalletti, M.; Isidori, R.; Conti, M.; Orcioni, S.; Ruello, M.L.; Stipa, P. An Exploratory Study of the Policies and Legislative Perspectives on the End-of-Life of Lithium-Ion Batteries from the Perspective of Producer Obligation. Sustainability. 2021, 13, 1154. [Google Scholar] [CrossRef]
- Chan, C.K.; Man, N.; Fang, F.; Campbell, J.F. Supply Chain Coordination with Reverse Logistics: A Vendor/Recycler-Buyer Synchronized Cycles Model. Omega 2019, 95, 102090. [Google Scholar] [CrossRef]
- Khan, S.A.R.; Zhang, Y.; Sharif, A. No Silver Bullet for De-carbonization: Preparing for Tomorrow, Today. Resour. Policy 2021, 71, 101942. [Google Scholar] [CrossRef]
- Syed, A.R.K.; Zhang, Y.; Muhammad, U.; Muhammad, T. Green capabilities and green purchasing practices: A strategy striving towards sustainable operations. Bus Strategy Environ. 2022, 31, 1719–1729. [Google Scholar]
- Li, Z.; Zheng, W.; Meng, Q.; Jin, S. The impact of government subsidy and tax policy on the competitive decision-making of remanufacturing supply chains. Int. J. Sustain. Eng. 2019, 12, 18–29. [Google Scholar] [CrossRef]
- Lyu, X.; Xu, Y.; Sun, D. An Evolutionary Game Research on Cooperation Mode of the NEV Power Battery Recycling and Gradient Utilization Alliance in the Context of China’s NEV Power Battery Retired Tide. Sustainability 2021, 13, 4165. [Google Scholar] [CrossRef]
- Buravleva, Y.; Tang, D.; Bethel, B.J. Incentivizing Innovation: The Causal Role of Government Subsidies on Lithium-Ion Battery Research and Development. Sustainability 2021, 13, 8309. [Google Scholar] [CrossRef]
- Jba, B.; Zhao, X.C. Tax or subsidy? An analysis of environmental policies in supply chains with retail competition. Eur. J. Oper. Res. 2020, 283, 901–914. [Google Scholar]
- Liu, W.; Hong, G. The Urgency and Countermeasures of Power Lithium Battery Recycling in China. Ind. Econ. Rev. 2017, 4, 26–31. [Google Scholar]
- Savaskan, R.C.; Bhattacharya, S.; Wassenhove, L. Closed-Loop Supply Chain Models with Product Remanufacturing. Manag. Sci. 2004, 50, 239–252. [Google Scholar] [CrossRef]
- Ma, Z.; Zhang, N.; Dai, Y.; Hu, S. Managing channel profits of different cooperative models in closed-loop supply chains. Omega 2016, 59, 251–262. [Google Scholar]
- Sun, Q.; Chen, H.; Long, R.; Li, Q.; Huang, H. Comparative evaluation for recycling waste power batteries with different collection modes based on Stackelberg game. J. Environ. Manag. 2022, 312, 114892. [Google Scholar] [CrossRef]
- Zheng, B.; Chu, J.; Jin, L. Recycling channel selection and coordination in dual sales channel closed-loop supply chains. Appl. Math. Model. 2021, 95, 484–502. [Google Scholar] [CrossRef]
- Yang, X.; Yang, Y.; Shao, H. Differences in the effects of Co and CoO on the performance of Ni(OH)2 electrode in Ni/MH power battery. J. Power Sources 2011, 196, 495–503. [Google Scholar]
- Zou, R.; Liu, Q. Current situation and Countermeasures of power battery recycling industry in China. IOP Conf. Ser. Earth Environ. Sci. 2021, 702, 12013. [Google Scholar] [CrossRef]
- Zhu, G.Y.; Liu, S.B.; Hai, B.; Chen, X.H. Research status of power battery recycling and echelon utilization. J. Power Sources 2015, 358, 131922. [Google Scholar]
- Swain, B. Recovery and recycling of lithium: A review. Sep. Purif. Technol. 2017, 172, 388–403. [Google Scholar] [CrossRef]
- Hao, H.; Qiao, Q.; Liu, Z.; Zhao, F. Impact of recycling on energy consumption and greenhouse gas emissions from electric vehicle production: The China 2025 case. Resour. Conserv. Recy. 2017, 122, 114–125. [Google Scholar] [CrossRef]
- Wang, W.; Wu, Y. An overview of recycling and treatment of spent LiFePO4 batteries in China. Resour. Conserv. Recy. 2017, 127, 233–243. [Google Scholar] [CrossRef]
- Lv, Y.; Luo, W.; Mo, Y.; Zhang, G. Investigation on the thermo-electric-electrochemical characteristics of retired LFP batteries for echelon applications. RSC Adv. 2022, 12, 14127–14136. [Google Scholar] [CrossRef]
- Cready, E.; Lippert, J.; Pihl, J.; Weinstock, I.; Symons, P. Technical and Economic Feasibility of Applying Used EV Batteries in Stationary Applications. Off. Entific Tech. Inf. Tech. Rep. 2003. [Google Scholar] [CrossRef]
- Zheng, Y.; Liu, Y.; Dong, C.; Hui-Min, W.U.; Liu, J.W. Research status of spent lithium iron phosphate battery recycling. Chin. J. Power Sources 2014, 163, 112515. [Google Scholar]
- Yu, H.; Zhang, T.; Liu, Y.; Ou, Y.; Xie, Y. Safety and Environmental Technologies for Recycling and Dismantling Vehicle Power Battery. Ind. Saf. Environ. Prot. 2014, 77, 77–92. [Google Scholar]
- Gu, X.; Zhou, L.; Huang, H.; Shi, X.; Ieromonachou, P. Electric Vehicle Battery Secondary Use Under Government Subsidy: A Closed-loop Supply Chain Perspective. Int. J. Prod. Econ. 2021, 234, 108035. [Google Scholar] [CrossRef]
- Ma, C.; Zhao, S. Research on the coordination of the power battery echelon utilization supply chain considering recycling outsourcing. J. Clean Prod. 2022, 358, 131922. [Google Scholar]
- Gu, X.; Ieromonachou, P.; Zhou, L.; Tseng, M.L. Developing pricing strategy to optimise total profits in an electric vehicle battery closed loop supply chain. J. Clean Prod. 2018, 203 Pt1-1216, 376–385. [Google Scholar] [CrossRef]
- Ma, W.M.; Zhao, Z.; Ke, H. Dual-channel closed-loop supply chain with government consumption-subsidy. Eur. J. Oper. Res. 2013, 226, 221–227. [Google Scholar] [CrossRef]
- He, P.; He, Y.; Xu, H. Channel structure and pricing in a dual-channel closed-loop supply chain with government subsidy. Int. J. Prod. Econ. 2019, 213, 108–123. [Google Scholar] [CrossRef]
- Zhao, H.; Liu, Y.; Liu, Z. Coordination of Retailer-Led Closed Loop Supply Chain Considering Corporate Social Responsibility. Sustainability 2022, 14, 10851. [Google Scholar] [CrossRef]
- Vorasyan, J.; Ryan, S.M. Optimal price and quantity of refurbished products. Prod. Oper. Manag. 2006, 15, 369–383. [Google Scholar] [CrossRef]
- Pazoki, M.; Zaccour, G. A mechanism to promote product recovery and environmental performance. Eur. J. Oper. Res. 2018, 274, 601–614. [Google Scholar] [CrossRef]
- Gu, H.; Liu, Z.; Qing, Q. Optimal electric vehicle production strategy under subsidy and battery recycling. Energy Policy 2017, 109, 579–589. [Google Scholar] [CrossRef]
- Mitra, S.; Webster, S. Competition in remanufacturing and the effects of government subsidies. Int. J. Prod. Econ. 2008, 111, 287–298. [Google Scholar] [CrossRef]
- Liu, C.; Wang, H.; Tang, J.; Chang, C.; Liu, Z. Optimal recovery model in a used batteries closed-loop supply chain considering uncertain residual capacity. Transp. Res E-Log. 2021, 156, 102516.1–102516.22. [Google Scholar] [CrossRef]
- Giovanni, P.D.; Reddy, P.V.; Zaccour, G. Incentive strategies for an optimal recovery program in a closed-loop supply chain. Eur. J. Oper. Res. 2016, 249, 605–617. [Google Scholar] [CrossRef]
- Zan, X.; Zhang, D. Analysis on the Optimal Recycling Path of Chinese Lead-Acid Battery under the Extended Producer Responsibility System. Sustainability 2022, 14, 4950. [Google Scholar] [CrossRef]
- Zhong, H.; Zhao, C. E-Waste Deposit System under EPR in China: A View from Closed-Loop Supply Chain; ICSSM: Shanghai, China, 2012; pp. 239–243. [Google Scholar] [CrossRef]
- Zhao, Y.; Wang, W.; Ni, Y. EPR system based on a reward and punishment mechanism: Producer-led product recycling channels. Waste Manag. 2020, 103, 198–207. [Google Scholar] [CrossRef] [PubMed]
- He, L.; Sun, B. Exploring the EPR system for power battery recycling from a supply-side perspective: An evolutionary game analysis. Waste Manag. 2022, 140, 204–212. [Google Scholar] [CrossRef] [PubMed]
- Heydari, J.; Govindan, K.; Jafari, A. Reverse and Closed Loop Supply Chain Coordination by Considering Government Role. Transp. Res. D-Tr E 2017, 52, 379–398. [Google Scholar] [CrossRef]
- Wei, J.; Govindan, K.; Li, Y.; Zhao, J. Pricing and collecting decisions in a closed-loop supply chain with symmetric and asymmetric information. Comput. Oper. Res. 2015, 54, 257–265. [Google Scholar] [CrossRef]
- Ouardighi, F.E. Supply quality management with optimal wholesale price and revenue sharing contracts: A two-stage game approach. Int. J. Prod. Econ. 2014, 156, 260–268. [Google Scholar] [CrossRef]











| Author(s) | CLSC? | Subsidy? | EPR? | Power Battery? | Echelon Utilization? |
|---|---|---|---|---|---|
| Gu et al. (2021) [40] | √ | √ | √ | ||
| Zhao et al. (2022) [41] | √ | √ | √ | √ | |
| Gu et al. (2018) [42] | √ | √ | √ | ||
| Ma et al. (2013) [43] | √ | √ | |||
| Le et al. (2018) [21] | √ | √ | |||
| He et al. (2019) [44] | √ | √ | |||
| Pazoki et al. (2018) [47] | √ | √ | |||
| Gu et al. (2017) [48] | √ | √ | √ | ||
| Mitra et al. (2008) [49] | √ | √ | |||
| He et al. (2022) [55] | √ | √ | √ | √ | |
| Sun et al. (2022) [28] | √ | √ | |||
| Liu et al. (2022) [50] | √ | √ | √ | ||
| Zheng et al. (2021) [29] | √ | √ | |||
| Giovanni et al. (2016) [51] | √ | ||||
| Zan et al. (2022) [52] | √ | √ | √ | √ | |
| Zhong et al. (2012) [53] | √ | √ | √ | ||
| This paper | √ | √ | √ | √ | √ |
| Parameters | |||
|---|---|---|---|
| New brake battery manufacturing cost | Complete vehicle manufacturer operation and cost recovery | ||
| Recycled battery manufacturing cost | Retailer operating and recovery costs | ||
| Environmental awareness of consumers | Consumer Recycling Price Sensitivity | ||
| Consumer Price Sensitivity Coefficient | The biggest demand in the market | ||
| Market Recovery Price Sensitivity | Class I power battery proportion | ||
| Power battery sales | Power battery recycling | ||
| Cascade utilization price | Distribution ratio of | ||
| Recycling allowance | Remanufacturing subsidies | ||
| Cost savings for battery manufacturers due to recycling | |||
| Decision variables | |||
| Wholesale pricing of power battery to automakers | Battery dealer recycling price | ||
| Retailer selling price | Retailer Wholesale Price | ||
| Battery recycling prices for complete vehicle manufacturers | Retailer Recovery Price | ||
Publisher’s Note: MDPI stays neutral with regard to jurisdictional claims in published maps and institutional affiliations. |
© 2022 by the authors. Licensee MDPI, Basel, Switzerland. This article is an open access article distributed under the terms and conditions of the Creative Commons Attribution (CC BY) license (https://creativecommons.org/licenses/by/4.0/).
Share and Cite
Shen, Y.; Song, Z.; Gao, T.; Ma, J. Research on Closed-Loop Supply Chain Decision Making of Power Battery Considering Subsidy Transfer under EPR System. Sustainability 2022, 14, 12488. https://doi.org/10.3390/su141912488
Shen Y, Song Z, Gao T, Ma J. Research on Closed-Loop Supply Chain Decision Making of Power Battery Considering Subsidy Transfer under EPR System. Sustainability. 2022; 14(19):12488. https://doi.org/10.3390/su141912488
Chicago/Turabian StyleShen, Yan, Zizhao Song, Tian Gao, and Ji Ma. 2022. "Research on Closed-Loop Supply Chain Decision Making of Power Battery Considering Subsidy Transfer under EPR System" Sustainability 14, no. 19: 12488. https://doi.org/10.3390/su141912488
APA StyleShen, Y., Song, Z., Gao, T., & Ma, J. (2022). Research on Closed-Loop Supply Chain Decision Making of Power Battery Considering Subsidy Transfer under EPR System. Sustainability, 14(19), 12488. https://doi.org/10.3390/su141912488
