Experimental Study on the Strength and Stress–Strain Properties of Waste Concrete Fine Aggregate and Cement-Solidified Sludge
Abstract
:1. Introduction
2. Materials and Methods
2.1. Materials
2.2. Experimental Methods
3. Results and Discussion
3.1. Unconfined Compression Strength Property
3.1.1. Particle Size of Waste Concrete Fine Aggregate
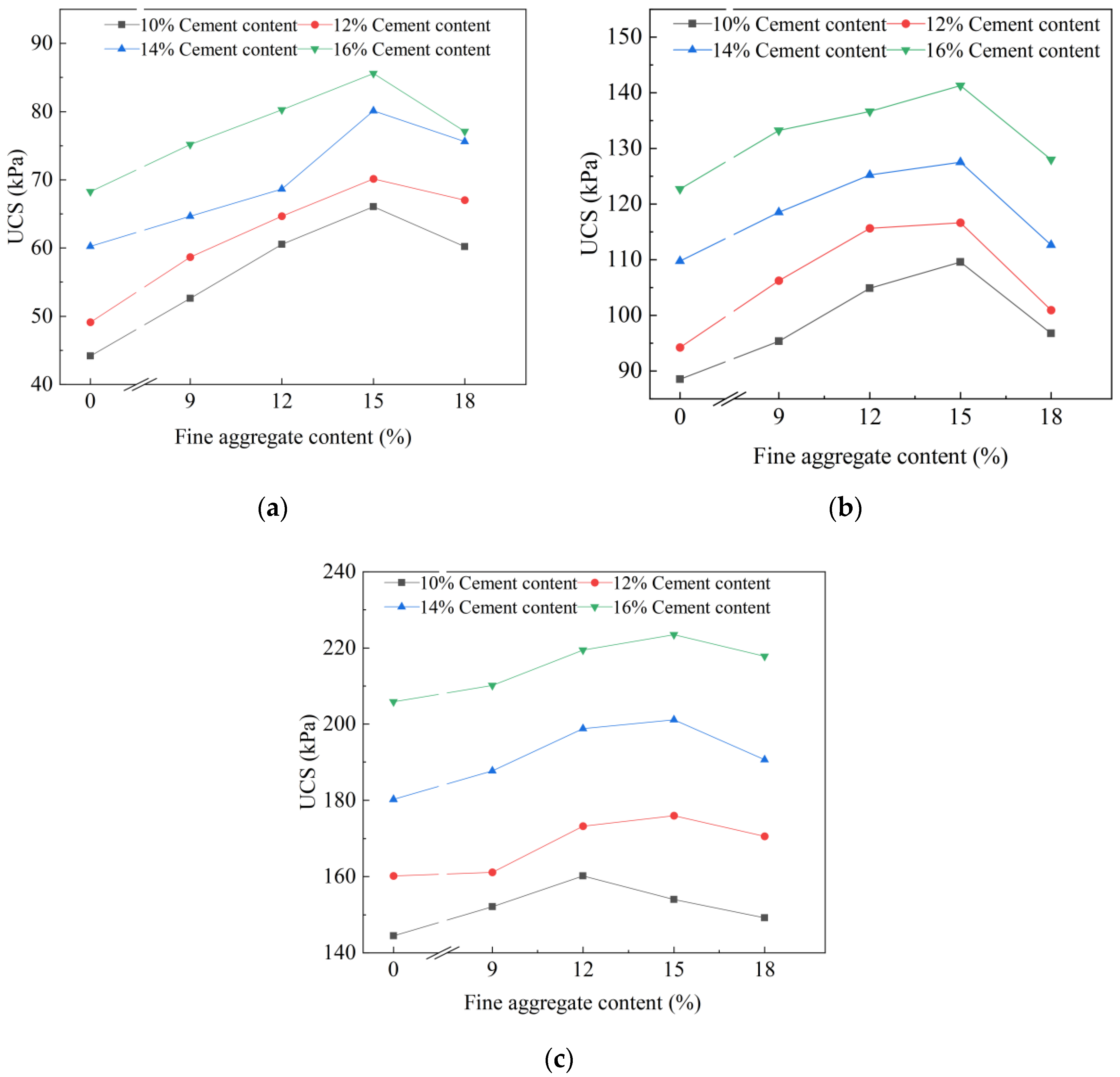
3.1.2. Content of Waste Concrete Fine Aggregate
- The UCS of the sample was macroscopically determined by the synergistic action of the cement-solidified sludge and the support skeleton formed by the waste concrete fine aggregate. When a small number of fine aggregates was added, the waste concrete fine aggregates were surrounded and separated by soil, leading to the failure to form a complete support skeleton, or the support skeleton was discontinuous in the soil. The integrity of the support skeleton could be improved with an enhanced UCS by increasing the fine aggregate content of the waste concrete. The mixed cement could also react to generate cementation products that filled the pores in the soil and the skeleton, bonding the soil particles to the skeleton and further improving the UCS of the solidified sludge. However, excess waste concrete fine aggregates failed to strengthen the formed support skeleton and even harmed the skeleton. When stressed, the original skeleton structure in the soil was destroyed, and excess fine aggregates also hindered the effective connection of cementation products generated by cement hydrolysis and hydration reactions. As a result, the UCS of the sample decreased.
- With the water content elevated, the distance between the soil particles and the clusters was enlarged, resulting in weaker soil fabric and cementation. Therefore, a high water content also greatly impacted the UCS [13]. Due to the high porosity and coarse surface of the waste concrete fine aggregate, an appropriate content of waste concrete fine aggregate could absorb water in the sludge, thus causing a water content reduction. Finally, the UCS of the dredging sludge was improved. However, after adding too many waste concrete fine aggregates, redundant fine aggregates absorbed the moisture that should have undergone hydrolysis and hydration reactions with the cement. Therefore, the water content of the sample was further reduced, resulting in insufficient solidification, fewer cementation products, and resultant failure to form an effective link between the soil particle clusters and the waste concrete fine aggregates. Based on the above test results, the UCS improvement of the sample was most significant when the content of the waste concrete fine aggregate was 12–15%.
3.1.3. Cement Content
3.1.4. Multiple Linear Regression Analysis of the UCS of the WCSS
3.2. Stress–Strain Analysis
3.2.1. Stress–Strain Curve
3.2.2. Effect of the Curing Time
3.2.3. Relationship between the UCS and Failure Strain
3.3. Deformation Modulus Analysis
3.3.1. Relationship between E50 and qu
3.3.2. Effect of the Curing Time and Fine Aggregate Content on the Deformation Modulus E50
4. Conclusions
- (1)
- When the fine aggregate content of the waste concrete was 12–15%, the improvement effect of the UCS of the WCSS was the most obvious. This indicates the feasibility of improving the strength of cement-solidified sludge by adding waste concrete fine aggregates. Nevertheless, compared with the fine aggregate content, the cement content and curing time were the main factors affecting the UCS.
- (2)
- Multiple linear regression analysis between the UCS, fine aggregate content, cement content, and curing time satisfied the equation y = −54.654 + 0.379x1 + 6.545x2 + 5.377x3, where y is qu, x1 is the fine aggregate content, x2 is the cement content, and x3 is the curing time. This equation can be used to estimate the UCS of WCSS samples when the fine aggregate content, cement content, and curing age are known.
- (3)
- The stress–strain curves of the solidified sludge changed with different waste concrete particle contents, cement contents, and curing ages, which comprised four stages: the compaction stage, elastic deformation stage, plastic yield stage, and destruction stage. The peak strength of the WCSS increased with the decrease in the failure strain. The failure strain in this study was mostly distributed between 1.1% and 2.1%. Under four fine aggregate contents, the relationship between the strength and failure strains of solidified sludge can be expressed by a power function.
- (4)
- There was a linear relationship between the deformation modulus E50 and the UCS of the WCSS, and the E50 corresponding to a certain strength value could be fitted by Equation (7). When the fine aggregate content was 9–15%, E50 increased with the rising fine aggregate content, but when the content was 15–18%, E50 began to decrease.
Author Contributions
Funding
Institutional Review Board Statement
Informed Consent Statement
Data Availability Statement
Conflicts of Interest
References
- Zhang, R.J.; Lu, Y.T.; Tan, T.S.; Phoon, K.K.; Santoso, A.M. Long-term effect of curing temperature on the strength behavior of cement-stabilized clay. J. Geotech. Geoenvironmental Eng. 2014, 140, 04014045–04014056. [Google Scholar] [CrossRef]
- Wang, S.C.; Zhang, C.L.; Huang, Y.H. Study of diversification of water contents in dredged sediment storage yard. Rock Soil Mech. 2010, 9, 2823–2828. (In Chinese) [Google Scholar]
- Wang, D.X.; Xiao, J.; Gao, X.Y. Strength gain and microstructure of carbonated reactive MgO-fly ash solidified sludge from East Lake, China. Eng. Geol. 2019, 251, 37–47. [Google Scholar] [CrossRef]
- Zhang, R.J.; Dong, C.Q.; Lu, Z.; Pu, K.F. Strength characteristics of hydraulically dredged mud slurry treated by flocculation-solidification combined method. Constr. Build. Mater. 2019, 228, 116742. [Google Scholar] [CrossRef]
- He, J.; Shi, X.K.; Li, Z.X.; Zhang, L.; Feng, X.-Y.; Zhou, L.-R. Strength properties of dredged soil at high water content treated with soda residue, carbide slag, and ground granulated blast furnace slag. Constr. Build. Mater. 2020, 242, 118–126. [Google Scholar] [CrossRef]
- Abdul, W.N.; Jawed, R.M.; Safuan, A.; Hezmi, M.; Jusoh, S.; Norsyahariati, N.N.; Tamassoki, S. Strength and durability of cement-treated lateritic soil. Sustainability 2021, 13, 6430. [Google Scholar] [CrossRef]
- Omid, A.; Mojtaba, G. Laboratory study of the effects of using magnesium slag on the geotechnical properties of cement stabilized soil. Constr. Build. Mater. 2019, 223, 409–420. [Google Scholar] [CrossRef]
- Uddin, K.; Balasubramaniam, A.S.; Bergado, D.T. Engineering behavior of cement-treated bangkok soft clay. Geotech. Eng. 1997, 28, 89–119. [Google Scholar]
- Walker, P.; Stace, T. Properties of some cement stabilised compressed earth blocks and mortars. Mater. Struct. 1996, 30, 545–551. [Google Scholar] [CrossRef]
- Crivener, K.L.; Kirkpatrick, R.J. Innovation in use and research on cementitious material. Cem. Concr. Res. 2008, 38, 128–136. [Google Scholar] [CrossRef]
- Shi, X.S.; Collins, F.G.; Zhao, X.L.; Wang, Q.Y. Mechanical properties and microstructure analysis of fly ash geopolymeric recycled concrete. J. Hazard. Mater. 2012, 237–238, 20–29. [Google Scholar] [CrossRef] [PubMed]
- Elliott, A.; Mahmood, T. Pretreatment technologies for advancing anaerobic digestion of pulp and paper biotreatment residues. Water Res. 2007, 41, 4273–4286. [Google Scholar] [CrossRef]
- Liu, F.; Zhu, C.; Yang, K.; Ni, J.; Hai, J.; Gao, S. Effects of fly ash and slag content on the solidification of river-dredged sludge. Mar. Georesources Geotechnol. 2019, 39, 65–73. [Google Scholar] [CrossRef]
- Liu, L.; Zhou, A.N.; Deng, Y.F.; Cui, Y.J.; Yu, Z.; Yu, C. Strength performance of cement/slag-based stabilized soft clays. Constr. Build. Mater. 2019, 211, 909–918. [Google Scholar] [CrossRef]
- Gu, Z.; Hua, S.D.; Zhao, W.X.; Li, S.S.; Gao, Z.; Shan, H. Using alkali-activated cementitious materials to solidify high organic matter content dredged sludge as roadbed material. Adv. Civ. Eng. 2018, 2018, 2152949. [Google Scholar] [CrossRef]
- Zhang, B.W.; Jiang, W.; Xu, Q.Z.; Yuan, D.D.; Shan, J.H.; Lu, R. Experimental feasibility study of ethylene-vinyl acetate copolymer (EVA) as cement stabilized soil curing agent. Road Mater. Pavement Des. 2020, 23, 617–638. [Google Scholar] [CrossRef]
- Estabragh, A.R.; Namdar, P.; Javadi, A.A. Behavior of cement-stabilized clay reinforced with nylon fiber. Geosynth. Int. 2012, 19, 85–92. [Google Scholar] [CrossRef]
- Wei, Y.S.; Ji, G.Q.; Hu, L.Q. Research summary on recycling of vonstruction waste. Bull. Chin. Ceram. Soc. 2019, 276, 147–151. (In Chinese) [Google Scholar] [CrossRef]
- Tan, Y.S. Research on Uniaxial Compression Constitutive Relationship and Damage Model of Recycled Concrete. Master’s Thesis, Beijing University of Civil Engineering and Architecture, Beijing, China, 2019. [Google Scholar]
- Ai, W.B.; Liu, H.M.; Zhang, J.; Lv, S.S.; Xu, Q.; Li, H.H. Research on crushing and recycling of waste concrete. IOP Conf. Ser. Earth Environ. Sci. 2020, 446, 032069. [Google Scholar] [CrossRef]
- Martínez-García, R.; Rojas, M.I.S.d.; Pozo, J.M.M.-d.; Fraile-Fernández, F.J.; Juan-Valdés, A. Evaluation of mechanical characteristics of cement mortar with fine recycled concrete aggregates (FRCA). Sustainability 2021, 13, 414. [Google Scholar] [CrossRef]
- Shah, S.K.H.; Uchimura, T.; Kawamoto, K. Permanent deformation and breakage response of recycled concrete aggregates under cyclic loading subject to moisture change. Sustainability 2022, 14, 5427. [Google Scholar] [CrossRef]
- Chen, X.; Li, Y.; Zhuang, P.Y. Experimental study on cementitious properties of recycled fine powder from waste concrete. China Concr. Cem. Prod. 2019, 11, 96–100. [Google Scholar]
- GBT50145-2007; Standard for Engineering Classification of Soil. China Plan Press: Beijing, China, 2007.
- GBT50123-2019; Standard for Geotechnical Testing Method. China Plan Press: Beijing, China, 2019.
- Ma, X.; Chen, S.L.; Hou, R. Mechanical properties of composite cement soil mixed in wasted concrete particle. Bull. Chin. Ceram. Soc. 2018, 37, 1010–1016. (In Chinese) [Google Scholar] [CrossRef]
- Li, J.J.; Liang, R.W. Research on compression strength and modulus of deformation of cemented soil. Rock Soil Mech. 2009, 30, 473–477. (In Chinese) [Google Scholar]
- Tang, Y.X.; Liu, H.L.; Zhu, W. Study on engineering properties of cement-stabilized soil. Chin. J. Geotech. Eng. 2000, 22, 549–554. (In Chinese) [Google Scholar]










| Properties | Wenzhou Sludge |
|---|---|
| Relative density ds | 2.69 |
| Liquid limit wL (%) | 53.7 |
| Plasticity limit wP (%) | 26.5 |
| Plasticity index IP | 27.2 |
| Loss on ignition (%) | 4.41 |
| Sand fraction (0.075–2 mm) (%) | 14.9 |
| Silt fraction (0.002–0.075 mm) (%) | 79.5 |
| Clay and colloid fraction (<0.002 mm) (%) | 5.6 |
| Oxide | SiO2 | Al2O3 | Fe2O3 | TiO2 | CaO | MgO | SO3 | K2O | Na2O | Loss on Ignition |
|---|---|---|---|---|---|---|---|---|---|---|
| Content (%) | 22.92 | 6.09 | 3.64 | 0.39 | 59.71 | 0.88 | 2.82 | 0.76 | 0.66 | 2.13 |
| Distribution of Particle Size (mm) | Apparent Density (kg/m3) | Porosity (%) | Mud Content (%) | Crush Value (%) |
|---|---|---|---|---|
| 0–4.75 | 2679 | 39.4 | 0.45 | 11.6 |
| Case | Fine Aggregate Particle Sizes Bi | Fine Aggregate Content of Waste Concrete Ci | Cement Content Di | Curing Time |
|---|---|---|---|---|
| 1–20 | B1 (0–2.36 mm) | 0%, 9%, 12%, 15%, 18% (C1, C2, C3, C4, C5) | 10%, 12%, 14%, 16% (D1, D2, D3, D4) | 7 d, 14 d, 28 d |
| 21–40 | B2 (2.36–4.75 mm) | 0%, 9%, 12%, 15%, 18% (C1, C2, C3, C4, C5) | 10%, 12%, 14%, 16% (D1, D2, D3, D4) | 7 d, 14 d, 28 d |
| R | R2 | Adjusted R2 | Errors in Standard Estimation | Durbin–Watson |
|---|---|---|---|---|
| 0.981 a | 0.962 | 0.959 | 10.223 | 1.712 |
| Sum of Squares | Degree of Freedom | Mean Square | F | Significance Level | |
|---|---|---|---|---|---|
| Regression | 116,143.599 | 3 | 38,714.533 | 370.439 | 0.000 b |
| Residual | 4598.440 | 44 | 104.510 | ||
| Total | 120,742.038 | 47 |
| Unstandardized Coefficients | Standardized Coefficients | t | Significance | ||
|---|---|---|---|---|---|
| B | Standard Error | Beta | |||
| Constant | −54.654 | 10.893 | −5.017 | 0.000 | |
| Fine aggregate content | 0.379 | 0.440 | 0.025 | 0.862 | 0.394 |
| Cement content | 6.545 | 0.660 | 0.292 | 9.919 | 0.000 |
| Curing time | 5.377 | 0.169 | 0.936 | 31.815 | 0.000 |
| Minimum Value | Maximum Value | Average Value | Standard Deviation | Number of Cases | |
|---|---|---|---|---|---|
| Predicting value | 51.850 | 207.452 | 123.378 | 49.711 | 48 |
| Residual | −18.951 | 17.836 | 0.000 | 9.891 | 48 |
| Standard predictive value | −1.439 | 1.691 | 0.000 | 1.000 | 48 |
| Standardized residual | −1.854 | 1.745 | 0.000 | 0.968 | 48 |
Publisher’s Note: MDPI stays neutral with regard to jurisdictional claims in published maps and institutional affiliations. |
© 2022 by the authors. Licensee MDPI, Basel, Switzerland. This article is an open access article distributed under the terms and conditions of the Creative Commons Attribution (CC BY) license (https://creativecommons.org/licenses/by/4.0/).
Share and Cite
Bian, X.; Yang, H.; Chen, J.; Liu, H.; Chen, X. Experimental Study on the Strength and Stress–Strain Properties of Waste Concrete Fine Aggregate and Cement-Solidified Sludge. Sustainability 2022, 14, 12217. https://doi.org/10.3390/su141912217
Bian X, Yang H, Chen J, Liu H, Chen X. Experimental Study on the Strength and Stress–Strain Properties of Waste Concrete Fine Aggregate and Cement-Solidified Sludge. Sustainability. 2022; 14(19):12217. https://doi.org/10.3390/su141912217
Chicago/Turabian StyleBian, Xiaoya, Haodong Yang, Jiale Chen, Hui Liu, and Xuyong Chen. 2022. "Experimental Study on the Strength and Stress–Strain Properties of Waste Concrete Fine Aggregate and Cement-Solidified Sludge" Sustainability 14, no. 19: 12217. https://doi.org/10.3390/su141912217
APA StyleBian, X., Yang, H., Chen, J., Liu, H., & Chen, X. (2022). Experimental Study on the Strength and Stress–Strain Properties of Waste Concrete Fine Aggregate and Cement-Solidified Sludge. Sustainability, 14(19), 12217. https://doi.org/10.3390/su141912217
