A Data-Driven Based Method for Pipeline Additional Stress Prediction Subject to Landslide Geohazards
Abstract
1. Introduction
- A multi-parameter integrated monitoring system was developed to monitor the pipeline and landslide conditions in a complex geologic environment.
- The data-driven based predictive model was proposed for additional stress evaluation under landslide movement.
- Field sites were selected for demonstration of the geohazard monitoring system, and the additional stress model was verified based on the on-site data.
2. Pipeline Geohazards Monitoring Implementation
2.1. Selection of Monitoring Sites
2.2. Selection of Monitoring Elements
2.2.1. Pipeline Monitoring
2.2.2. Landslide Deformation Monitoring
2.3. The Implementation of Monitoring System
3. Proposed Methodology
3.1. The Framework of Proposed Method
3.2. Data Preprocessing
3.3. Model Training
3.3.1. Support Vector Regression
3.3.2. Random Forest
3.3.3. Adaptive Boosting
3.3.4. Gradient Boosting Regression Tree
- Weak learner initializationIn Equation (9), N is the number of samples, c is the constant value with the smallest loss function; is the actual target value.
- Iteratively build M boosted treesThe negative gradient for samples is expressed as Equation (10).is the residual, (, ) are used as the training data of the next tree, the corresponding node area of the newly established regression tree is , . The expression of a new learner can be obtained as Equation (11).is the minimum value of the loss function for the m-th tree at the j-th iteration, which is shown in Equation (12). is the characteristic function, c is the constant value with the smallest loss function.
- Final outputThe predictive results are based on the ensemble predictions of the weak learner models as Equation (13).where M is the maximum number of iterations.
3.3.5. Extreme Gradient Boosting
3.4. Performance Evaluation
4. Case Study
4.1. Monitoring Sites Description
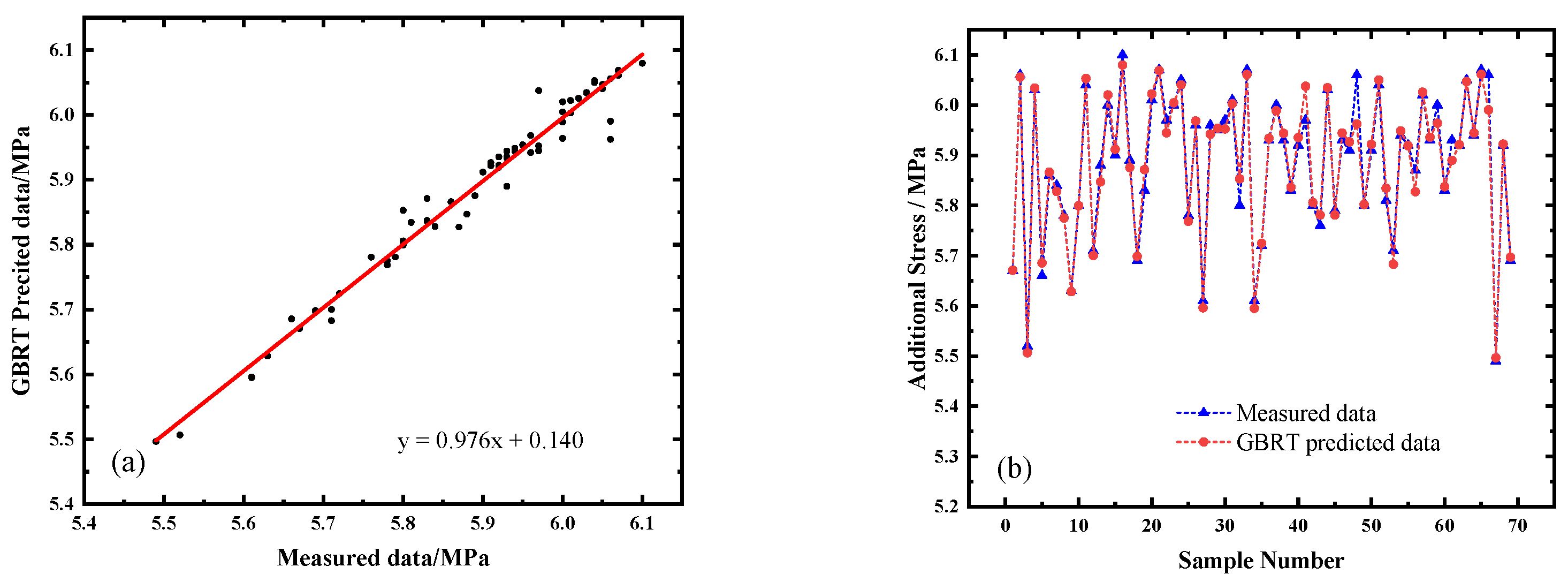
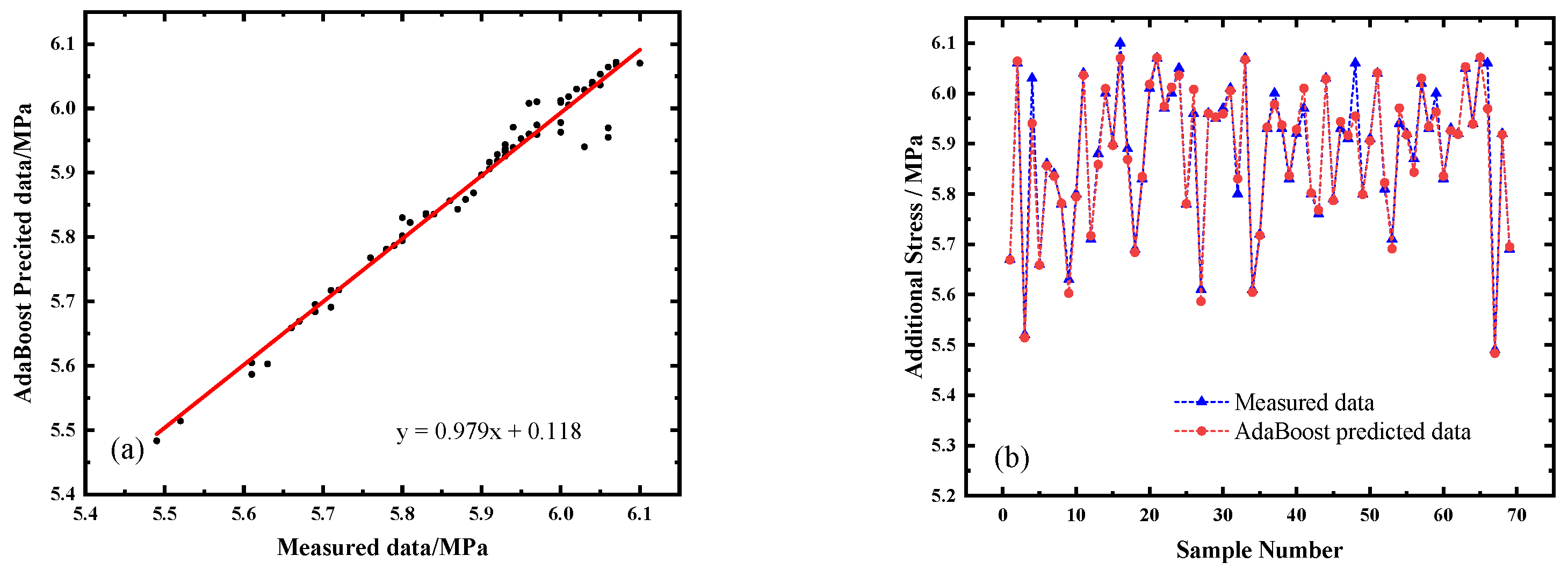
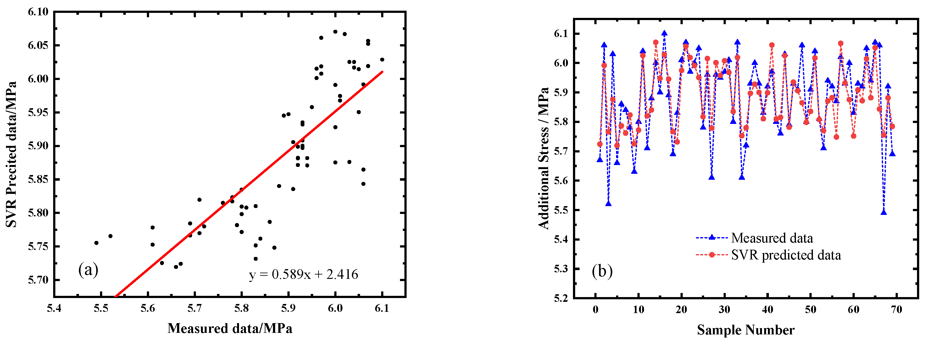
4.2. Comparative Analysis
4.3. Sensitivity Analysis
5. Conclusions
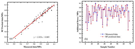
- The results indicate that the XGBoost model has the highest performance in the prediction of the additional stress, with RMSE of 0.0154 MPa, MAE of 0.0118 MPa, and value of 0.9893.
- The top five factors contributing to the additional stress for the applied dataset are landslide compressive stress, landslide traction stress, landslide surface y-axis displacement, soil pressure, and landslide surface x-axis displacement.
Author Contributions
Funding
Institutional Review Board Statement
Informed Consent Statement
Data Availability Statement
Conflicts of Interest
References
- Badida, P.; Balasubramaniam, Y.; Jayaprakash, J. Risk evaluation of oil and natural gas pipelines due to natural hazards using fuzzy fault tree analysis. J. Nat. Gas Sci. Eng. 2019, 66, 284–292. [Google Scholar] [CrossRef]
- Zhang, S.-Z.; Li, S.-Y.; Chen, S.-N.; Wu, Z.-Z.; Wang, R.-J.; Duo, Y.-Q. Stress analysis on large-diameter buried gas pipelines under catastrophic landslides. Pet. Sci. 2017, 14, 579–585. [Google Scholar] [CrossRef][Green Version]
- Pu, H.; Xie, J.; Schonfeld, P.; Song, T.; Li, W.; Wang, J.; Hu, J. Railway alignment optimization in mountainous regions considering spatial geological hazards: A sustainable safety perspective. Sustainability 2021, 13, 1661. [Google Scholar] [CrossRef]
- Teng, M.-C.; Ke, S.-S. Disaster impact assessment of the underground hazardous materials pipeline. J. Loss Prev. Process. Ind. 2021, 71, 104486. [Google Scholar] [CrossRef]
- Zahid, U.; Godio, A.; Mauro, S. An analytical procedure for modelling pipeline-landslide interaction in gas pipelines. J. Nat. Gas Sci. Eng. 2020, 81, 103474. [Google Scholar] [CrossRef]
- Yavorskyi, A.; Karpash, M.; Zhovtulia, L.; Poberezhny, L.Y.; Maruschak, P. Safe operation of engineering structures in the oil and gas industry. J. Nat. Gas Sci. Eng. 2017, 46, 289–295. [Google Scholar] [CrossRef]
- Zheng, J.; Zhang, B.; Liu, P.; Wu, L. Failure analysis and safety evaluation of buried pipeline due to deflection of landslide process. Eng. Fail. Anal. 2012, 25, 156–168. [Google Scholar] [CrossRef]
- Vasseghi, A.; Haghshenas, E.; Soroushian, A.; Rakhshandeh, M. Failure analysis of a natural gas pipeline subjected to landslide. Eng. Fail. Anal. 2021, 119, 105009. [Google Scholar] [CrossRef]
- Ali, H.; Choi, J.-H. A review of underground pipeline leakage and sinkhole monitoring methods based on wireless sensor networking. Sustainability 2019, 11, 4007. [Google Scholar] [CrossRef]
- Guo, W.; Liu, Y.; Li, C. Stress analysis and mitigation measures for floating pipeline. IOP Conf. Ser. Earth Environ. Sci. 2017, 59, 012014. [Google Scholar] [CrossRef]
- Xu, P.; Zhang, M.; Lin, Z.; Cao, Z.; Chang, X. Additional stress on a buried pipeline under the influence of coal mining subsidence. Adv. Civ. Eng. 2018, 2018, 3245624. [Google Scholar] [CrossRef]
- Zhang, S.; Liu, B.; He, J. Pipeline deformation monitoring using distributed fiber optical sensor. Measurement 2019, 133, 208–213. [Google Scholar] [CrossRef]
- Yin, J.; Li, Z.-W.; Liu, Y.; Liu, K.; Chen, J.-S.; Xie, T.; Zhang, S.-S.; Wang, Z.; Jia, L.-X.; Zhang, C.-C.; et al. Toward establishing a multiparameter approach for monitoring pipeline geohazards via accompanying telecommunications dark fiber. Opt. Fiber Technol. 2022, 68, 102765. [Google Scholar] [CrossRef]
- Li, X.; Wu, Q.; Jin, H.; Kan, W. A new stress monitoring method for mechanical state of buried steel pipelines under geological hazards. Adv. Mater. Sci. Eng. 2022, 2022, 4498458. [Google Scholar] [CrossRef]
- Sarvanis, G.C.; Karamanos, S.A. Analytical model for the strain analysis of continuous buried pipelines in geohazard areas. Eng. Struct. 2017, 152, 57–69. [Google Scholar] [CrossRef]
- Xin, L.; Mingzhou, B.; Bohu, H.; Pengxiang, L.; Lebin, Z.; Yun, C.; Hai, S. Safety analysis of landslide in pipeline area through field monitoring. J. Test. Eval. 2021, 51, e200751. [Google Scholar] [CrossRef]
- Xu, W.; Xu, H.; Chen, J.; Kang, Y.; Pu, Y.; Ye, Y.; Tong, J. Combining numerical simulation and deep learning for landslide displacement prediction: An attempt to expand the deep learning dataset. Sustainability 2022, 14, 6908. [Google Scholar] [CrossRef]
- Yan, Y.; Yang, D.-S.; Geng, D.-X.; Hu, S.; Wang, Z.-A.; Hu, W.; Yin, S.-Y. Disaster reduction stick equipment: A method for monitoring and early warning of pipeline-landslide hazards. J. Mt. Sci. 2019, 16, 2687–2700. [Google Scholar] [CrossRef]
- Kunert, H.G.; Otegui, J.; Marquez, A. Nonlinear fem strategies for modeling pipe–soil interaction. Eng. Fail. Anal. 2012, 24, 46–56. [Google Scholar] [CrossRef]
- Wei, A.; Yu, K.; Dai, F.; Gu, F.; Zhang, W.; Liu, Y. Application of tree-based ensemble models to landslide susceptibility mapping: A comparative study. Sustainability 2022, 14, 6330. [Google Scholar] [CrossRef]
- Alvarado-Franco, J.P.; Castro, D.; Estrada, N.; Caicedo, B.; Sánchez-Silva, M.; Camacho, L.A.; Muñoz, F. Quantitative-mechanistic model for assessing landslide probability and pipeline failure probability due to landslides. Eng. Geol. 2017, 222, 212–224. [Google Scholar] [CrossRef]
- Liu, S.; Wang, H.; Li, R.; Ji, B. A novel feature identification method of pipeline in-line inspected bending strain based on optimized deep belief network model. Energies 2022, 15, 1586. [Google Scholar] [CrossRef]
- Yan, Y.; Xiong, G.; Zhou, J.; Wang, R.; Huang, W.; Yang, M.; Wang, R.; Geng, D. A whole process risk management system for the monitoring and early warning of slope hazards affecting gas and oil pipelines. Front. Earth Sci. 2022, 9, 812527. [Google Scholar] [CrossRef]
- Ding, Y.; Yang, H.; Xu, P.; Zhang, M.; Hou, Z. Coupling interaction of surrounding soil-buried pipeline and additional stress in subsidence soil. Geofluids 2021, 2021, 7941989. [Google Scholar] [CrossRef]
- Radwan, A.E.; Wood, D.A.; Radwan, A.A. Machine learning and data-driven prediction of pore pressure from geophysical logs: A case study for the mangahewa gas field, new zealand. J. Rock Mech. Geotech. Eng. 2022. [Google Scholar] [CrossRef]
- Awad, M.; Khanna, R. Support vector regression. In Efficient Learning Machines; Springer: Berlin/Heidelberg, Germany, 2015; pp. 67–80. [Google Scholar]
- Jia, Z.; Ho, S.-C.; Li, Y.; Kong, B.; Hou, Q. Multipoint hoop strain measurement based pipeline leakage localization with an optimized support vector regression approach. J. Loss Prev. Process. Ind. 2019, 62, 103926. [Google Scholar] [CrossRef]
- Rodriguez-Galiano, V.; Sanchez-Castillo, M.; Chica-Olmo, M.; Chica-Rivas, M. Machine learning predictive models for mineral prospectivity: An evaluation of neural networks, random forest, regression trees and support vector machines. Ore Geol. Rev. 2015, 71, 804–818. [Google Scholar] [CrossRef]
- Roy, M.-H.; Larocque, D. Robustness of random forests for regression. J. Nonparametr. Stat. 2012, 24, 993–1006. [Google Scholar] [CrossRef]
- Ying, C.; Qi-Guang, M.; Jia-Chen, L.; Lin, G. Advance and prospects of adaboost algorithm. Acta Autom. Sin. 2013, 39, 745–758. [Google Scholar]
- Riccardi, A.; Fernández-Navarro, F.; Carloni, S. Cost-sensitive adaboost algorithm for ordinal regression based on extreme learning machine. IEEE Trans. Cybern. 2014, 44, 1898–1909. [Google Scholar] [CrossRef]
- Huang, Y.; Liu, Y.; Li, C.; Wang, C. Gbrtvis: Online analysis of gradient boosting regression tree. J. Vis. 2019, 22, 125–140. [Google Scholar] [CrossRef]
- Nie, P.; Roccotelli, M.; Fanti, M.P.; Ming, Z.; Li, Z. Prediction of home energy consumption based on gradient boosting regression tree. Energy Rep. 2021, 7, 1246–1255. [Google Scholar] [CrossRef]
- Chen, T.; Guestrin, C. Xgboost: A scalable tree boosting system. In Proceedings of the 22nd ACM SIGKDD International Conference on Knowledge Discovery and Data Mining, San Francisco, CA, USA, 13–17 August 2016; pp. 785–794. [Google Scholar]
- Ferreira, N.J.; Blatz, J.A. Measured pipe stresses on gas pipelines in landslide areas. Can. Geotech. J. 2021, 99, 1855–1869. [Google Scholar] [CrossRef]
- Liu, Y.; Bao, Y. Review on automated condition assessment of pipelines with machine learning. Adv. Eng. Inform. 2022, 53, 101687. [Google Scholar] [CrossRef]









| Monitoring Type | Variables | Symbol | Xmin | Xmax | Xmean | Xstd |
|---|---|---|---|---|---|---|
| Landslide monitoring | Inner x-axis displacement, mm | 0 | 7 | 2.31 | 1.8 | |
| Inner y-axis displacement, mm | 0 | 8 | 3.66 | 2.17 | ||
| Surface x-axis displacement, mm | 0.05 | 0.25 | 0.16 | 0.03 | ||
| Surface y-axis displacement, mm | 0 | 0.25 | 0.16 | 0.03 | ||
| Surface z-axis displacement, mm | −0.08 | −0.03 | −0.04 | 0.01 | ||
| Anti-slide pile inclination, ° | I | 0 | 1.2 | 0.41 | 0.21 | |
| Soil pressure, kPa | P | 100 | 150 | 135.05 | 16.34 | |
| Traction stress, kN | 60 | 80 | 72.25 | 4.03 | ||
| Compressive stress, kN | 50 | 70 | 61.92 | 3.52 | ||
| Pipeline monitoring | Pipe additional stress, MPa | S | 4 | 7 | 5.98 | 0.28 |
| Model Type | Data-Driven Models | RMSE | MAE | |
|---|---|---|---|---|
| Individual | SVR | 0.0910 | 0.0666 | 0.6233 |
| Ensemble | RF | 0.0288 | 0.0193 | 0.9623 |
| AdaBoost | 0.0217 | 0.0119 | 0.9758 | |
| GBRT | 0.0198 | 0.0147 | 0.9821 | |
| XGBoost | 0.0154 | 0.0118 | 0.9893 |
| Rank (XGBoost) | Monitoring Parameter | Feature Importance (XGBoost) | Rank (RF) | Monitoring Parameter | Feature Importance (RF) |
|---|---|---|---|---|---|
| 1 | Compressive stress | 0.5070 | 1 | Compressive stress | 0.4109 |
| 2 | Traction stress | 0.2406 | 2 | Traction stress | 0.3867 |
| 3 | Surface y-axis displacement | 0.0910 | 3 | Surface y-axis displacement | 0.1361 |
| 4 | Soil pressure | 0.0844 | 4 | Inclination | 0.0266 |
| 5 | Surface z-axis displacement | 0.0450 | 5 | Soil pressure | 0.0249 |
| 6 | Inclination | 0.0162 | 6 | Surface z-axis displacement | 0.0081 |
| 7 | Surface x-axis displacement | 0.0119 | 7 | Surface x-axis displacement | 0.0055 |
| 8 | Inner x-axis displacement | 0.0039 | 8 | Inner x-axis displacement | 0.0010 |
Publisher’s Note: MDPI stays neutral with regard to jurisdictional claims in published maps and institutional affiliations. |
© 2022 by the authors. Licensee MDPI, Basel, Switzerland. This article is an open access article distributed under the terms and conditions of the Creative Commons Attribution (CC BY) license (https://creativecommons.org/licenses/by/4.0/).
Share and Cite
Zhang, M.; Ling, J.; Tang, B.; Dong, S.; Zhang, L. A Data-Driven Based Method for Pipeline Additional Stress Prediction Subject to Landslide Geohazards. Sustainability 2022, 14, 11999. https://doi.org/10.3390/su141911999
Zhang M, Ling J, Tang B, Dong S, Zhang L. A Data-Driven Based Method for Pipeline Additional Stress Prediction Subject to Landslide Geohazards. Sustainability. 2022; 14(19):11999. https://doi.org/10.3390/su141911999
Chicago/Turabian StyleZhang, Meng, Jiatong Ling, Buyun Tang, Shaohua Dong, and Laibin Zhang. 2022. "A Data-Driven Based Method for Pipeline Additional Stress Prediction Subject to Landslide Geohazards" Sustainability 14, no. 19: 11999. https://doi.org/10.3390/su141911999
APA StyleZhang, M., Ling, J., Tang, B., Dong, S., & Zhang, L. (2022). A Data-Driven Based Method for Pipeline Additional Stress Prediction Subject to Landslide Geohazards. Sustainability, 14(19), 11999. https://doi.org/10.3390/su141911999

