Variation and Influencing Factors of Cloud Characteristics over Qinghai Lake from 2006 to 2019
Abstract
1. Introduction
2. Materials and Methods
2.1. Study Area
2.2. Data Resources
2.2.1. CloudSat Data
2.2.2. Surface Meteorological Data and Reanalysis Data
2.3. Method
2.3.1. Cloud Type Classify
2.3.2. PDF and CFAD
3. Results
3.1. Cloud Occurrence Frequency
3.2. Cloud Types Occurrence Frequency
3.3. Cloud Water Content
3.4. Cloud Vertical Structure
3.4.1. Vertical Structure of Cloud Characteristic Parameters
3.4.2. Vertical Structure of Different Cloud Types
3.5. Meteorological Elements and Circulation Situation
4. Discussion
5. Conclusions
- The occurrence frequency of clouds in QHL is 33%, the occurrence frequency of the mid-level clouds is the highest, followed by the low clouds, and the occurrence frequency of the high clouds is the lowest, with the occurrence frequencies of 19.6%, 10.4%, and 3.3%, respectively. The occurrence frequency of the total clouds in QHL is decreasing and is low in winter and high in summer. The As occurrence frequency is high in winter and low in summer. As and Ns are the dominant types of QHL cloud systems.
- The annual average ice water content and the annual average liquid water content of QHL are 62.21 mg/m3 and 263.66 mg/m3, respectively. The annual cloud ice water content is concentrated, and the annual liquid water content is dispersed. April to September is the period of high cloud ice water content. The monthly average cloud water content is high from April to September, which is related to the enhancement of the summer monsoon and plateau convective activities.
- The vertical distribution of cloud water content in QHL has obvious seasonal variation, which shows that the content of cloud ice and liquid water is higher in summer and autumn than in winter. The highest value of vertical cloud fraction distribution in QHL is from March to June, at a height of 7–11 km, corresponding to the increase in Ci and Ac. The mixed-phase clouds are at a height of 4–8 km and the ice clouds are above 8 km. The time and height of high values of particle equivalent radius and particle concentration are consistent with the high values of cloud water content. The vertical distribution of ice particles is relatively dispersed (4–16 km), and the vertical distribution of liquid particles is relatively concentrated (4–9 km). The average equivalent radius of ice particles is larger than that of liquid particles. The probability of large particle concentration in QHL is small. Different types of clouds have a maximum thickness in June and July.
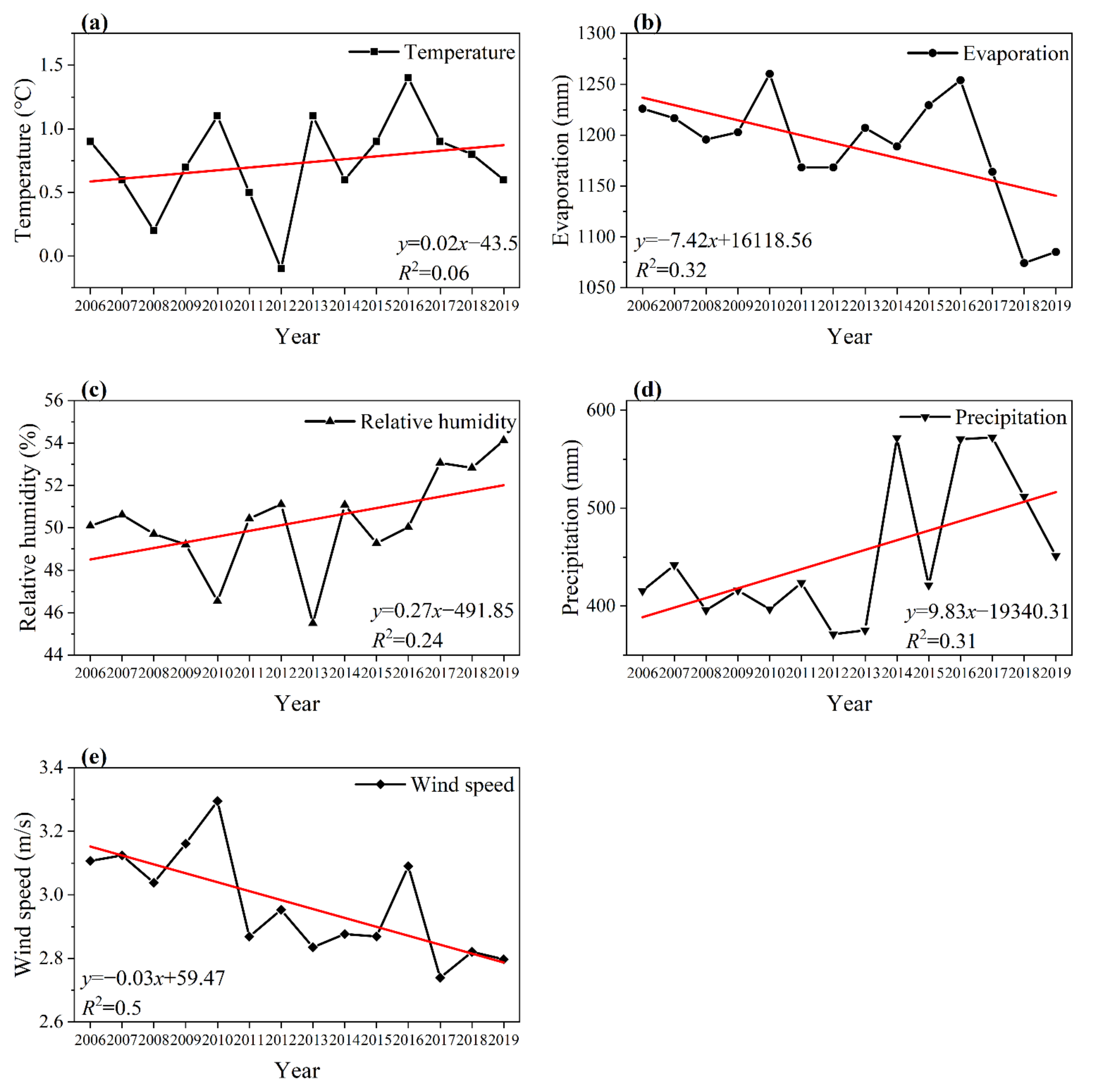
- Temperature and precipitation are significantly negatively correlated with the occurrence frequency of the total clouds, and wind speed is significantly positively correlated with the occurrence frequency of the total clouds. The occurrence frequency of the total clouds in 2008 and 2017 is related to the ground temperature in that year. The decrease in total cloud occurrence frequency is caused by the increase in temperature in QHL.
Author Contributions
Funding
Institutional Review Board Statement
Informed Consent Statement
Data Availability Statement
Conflicts of Interest
References
- Hoegh-Guldberg, O.; Jacob, D.; Bindi, M.; Brown, S.; Camilloni, I.; Diedhiou, A.; Djalante, R.; Ebi, K.; Engelbrecht, F.; Guiot, J.; et al. Impacts of 1.5 °C Global Warming on Natural and Human Systems; Global Warming of 1.5 °C: An IPCC Special Report; IPCC Secretariat: Geneva, Switzerland, 2018; pp. 175–311. [Google Scholar]
- Weber, H.; Riffler, M.; Nõges, T.; Wunderle, S. Lake ice phenology from AVHRR data for European lakes: An automated two-step extraction method. Remote Sens. Environ. 2016, 174, 329–340. [Google Scholar] [CrossRef]
- Benson, B.J.; Magnuson, J.J.; Jensen, O.P.; Card, V.M.; Hodgkins, G.; Korhonen, J.; Livingstone, D.M.; Stewart, K.M.; Weyhenmeyer, G.A.; Granin, N.G. Extreme events, trends, and variability in Northern Hemisphere lake-ice phenology (1855–2005). Clim. Chang. 2012, 112, 299–323. [Google Scholar] [CrossRef]
- Dong, H.M.; Song, Y.G. Shrinkage history of Lake Qinghai and causes during the last 52 years. In Proceedings of the 2011 International Symposium on Water Resource and Environmental Protection, Xi’an, China, 20–22 May 2011; Volume 1, pp. 446–449. [Google Scholar] [CrossRef]
- Wan, W.; Xiao, P.F.; Feng, X.Z.; Li, H.; Ma, R.H.; Duan, H.T.; Zhao, L.M. Monitoring lake changes of Qinghai-Tibetan Plateau over the past 30 years using satellite remote sensing data. Chin. Sci. Bull. 2014, 59, 1021–1035. [Google Scholar] [CrossRef]
- Zhao, L.; Wang, S.Y.; Meyer, J. Inter-Decadal climate variations controlling the water level of Lake Qinghai over the Tibetan Plateau. J. Hydrometeorol. 2017, 18, 3013–3025. [Google Scholar] [CrossRef]
- Yang, G.Q.; Zhang, M.; Xie, Z.H.; Li, J.Y.; Ma, M.G.; Lai, P.Y.; Wang, J.B. Quantifying the Contributions of Climate Change and Human Activities to Water Volume in Lake Qinghai, China. Remote Sens. 2022, 14, 99. [Google Scholar] [CrossRef]
- Kropáček, J.; Maussion, F.; Chen, F.; Hoerz, S.; Hochschild, V. Analysis of ice phenology of lakes on the Tibetan Plateau from MODIS data. Cryosphere 2013, 7, 287–301. [Google Scholar] [CrossRef]
- Stowasser, M.; Hamilton, K.; Boer, G.J. Local and global climate feedbacks in models with differing climate sensitivities. J. Clim. 2006, 19, 193–209. [Google Scholar] [CrossRef]
- Dessler, A.E. A determination of the cloud feedback from climate variations over the past decade. Science 2010, 330, 1523–1527. [Google Scholar] [CrossRef]
- Mason, B.J. The role of clouds in the radiative balance of the atmosphere and their effects on climate. Contemp. Phys. 2002, 43, 1–11. [Google Scholar] [CrossRef]
- Medeiros, B.; Stevens, B.; Held, I.M.; Zhao, M.; Williamson, D.L.; Olson, J.G.; Bretherton, C.S. Aquaplanets, climate sensitivity, and low clouds. J. Clim. 2008, 21, 4974–4991. [Google Scholar] [CrossRef]
- Tompkins, A.M. Impact of temperature and humidity variability on cloud cover assessed using aircraft data. Q. J. R. Meteorol. Soc. 2003, 129, 2151–2170. [Google Scholar] [CrossRef]
- Liu, Y.; Weng, D.M. Climatological study of temperature effects of cloud-radiative forcing in the earth-atmospheric system over China. Acta Meteorol. Sin. 2002, 60, 766–773. [Google Scholar]
- Wild, M.; Folini, D.; Hakuba, M.Z.; Schär, C.; Seneviratne, S.I.; Kato, S.; Rutan, D.; Ammann, C.; Wood, E.F.; König-Langlo, G.; et al. The energy balance over land and oceans: An assessment based on direct observations and CMIP5 climate models. Clim. Dyn. 2015, 44, 3393–3429. [Google Scholar] [CrossRef]
- Houghton, J.T.; Ding, Y.; Griggs, D.J.; Noguer, M.; Dai, X.; Maskell, K.; Johnson, C.A. Climate Change 2001: The Scientific Basis: Contribution of Working Group I to the Third Assessment Report of the Intergovernmental Panel on Climate Change; Cambridge University Press: Cambridge, UK, 2001. [Google Scholar]
- Stephens, G.L.; Vane, D.G.; Boain, R.J.; Mace, G.G.; Sassen, K.; Wang, Z.; Mitrescu, C. The CloudSat mission and the A-Train: A new dimension of space-based observations of clouds and precipitation. Bull. Am. Meteorol. Soc. 2002, 83, 1771–1790. [Google Scholar] [CrossRef]
- Sun, B.M.; Groisman, P.Y. Cloudiness variations over the former Soviet Union. Int. J. Climatol. 2000, 20, 1097–1111. [Google Scholar] [CrossRef]
- Zhang, X.Q.; Peng, L.L.; Zheng, D.; Tao, J. Variation of total cloud amount and its possible causes over the Qinghai-Xizang Plateau during 1971–2004. Acta Geogr. Sin. 2007, 62, 959. [Google Scholar] [CrossRef]
- Weng, D.M. Comparison between total cloudiness from satellite cloud pictures and ground observations over China. J. Appl. Meteorol. 1998, 9, 32–37. [Google Scholar]
- Wang, J.; Jian, B.D.; Wang, G.Y.; Zhao, Y.X.; Li, Y.R.; Letu, H.S.; Zhang, M.; Li, J.M. Climatology of Cloud Phase, Cloud Radiative Effects and Precipitation Properties over the Tibetan Plateau. Remote Sens. 2021, 13, 363. [Google Scholar] [CrossRef]
- Peng, J.; Zhang, H.; Li, Z.Q. Temporal and spatial variations of global deep cloud systems based on CloudSat and CALIPSO satellite observations. Adv. Atmos. Sci. 2014, 31, 593–603. [Google Scholar] [CrossRef]
- Li, J.; Huang, J.; Stamnes, K.; Wang, T.; Lv, Q.; Jin, H. A global survey of cloud overlap based on CALIPSO and CloudSat measurements. Atmos. Chem. Phys. 2015, 15, 519–536. [Google Scholar] [CrossRef]
- Tang, Y.H.; Zhou, Y.Q.; Cai, M.; Ma, Q.R. Global distribution of clouds based on CloudSat and CALIPSO combined observations. Trans. Atmos. Sci. 2020, 43, 917–931. [Google Scholar] [CrossRef]
- Zhang, X.; Duan, K.Q.; Shi, P.H. Cloud vertical profiles from CloudSat data over the eastern Tibetan Plateau during summer. Chin. J. Atmos. Sci. 2015, 39, 1073–1080. (In Chinese) [Google Scholar] [CrossRef]
- Liu, J.J.; Chen, B.D. Cloud occurrence frequency and structure over the Qinghai-Tibetan Plateau from CloudSat observation. Plateau Meteor. 2017, 36, 632–642. (In Chinese) [Google Scholar] [CrossRef]
- Im, E.; Wu, C.; Durden, S.L. Cloud profiling radar for the CloudSat mission. IEEE Aerosp. Electron. Syst. Mag. 2005, 20, 15–18. [Google Scholar] [CrossRef]
- Stephens, G.L.; Vane, D.G.; Tanelli, S.; Im, E.; Durden, S.; Rokey, M.; Reinke, D.; Partain, P.; Mace, G.G.; Austin, R.; et al. CloudSat mission: Performance and early science after the first year of operation. J. Geophys. Res. 2008, 113, D00A18. [Google Scholar] [CrossRef]
- Mace, G.G.; Zhang, Q.Q. The CloudSat radar-lidar geometrical profile product (RL-GeoProf): Updates, improvements, and selected results. J. Geophys. Res. Atmos. 2014, 119, 9441–9462. [Google Scholar] [CrossRef]
- Sassen, K.; Wang, Z. Classifying clouds around the globe with the CloudSat radar: 1-year of results. Geophys. Res. Lett. 2008, 35, L04805. [Google Scholar] [CrossRef]
- Austin, R.T.; Heymsfield, A.J.; Stephens, G.L. Retrieval of ice cloud microphysical parameters using the CloudSat millimeter-wave radar and temperature. J. Geophys. Res. 2009, 114, D00A23. [Google Scholar] [CrossRef]
- Yuter, S.E.; Houze, R.A. Three-dimensional kinematic and microphysical evolution of Florida cumulonimbus. Part III: Vertical mass transport, maw divergence, and synthesis. Mon. Weather Rev. 1995, 123, 1921–1940. [Google Scholar] [CrossRef]
- Sindhu, K.D.; Bhat, G.S. Comparison of CloudSat and TRMM radar reflectivities. J. Earth Syst. Sci. 2013, 122, 947–956. [Google Scholar] [CrossRef]
- Warren, S.G.; Eastman, R.M.; Hahn, C.J. A survey of changes in cloud cover and cloud types over land from surface observations, 1971–1996. J. Clim. 2007, 20, 717–738. [Google Scholar] [CrossRef]
- Liu, Y.B.; Hu, Z.J.; You, L.G. A study of the frontal snowfall in Zhungeer basin of Xinjiang in winter Part II: Theoretical discussion. J. Appl. Meteorol. Sci. 1988, 2, 159–168. [Google Scholar]
- Yanai, M.; Li, C.F.; Song, Z.S. Seasonal heating of the Tibetan Plateau and its effects on the evolution of the Asian summer monsoon. J. Meteorol. Soc. Jpn. J. Meteorol. Soc. Jpn. Ser. II 1992, 70, 319–351. [Google Scholar] [CrossRef]
- Nayak, M. CloudSat Anomaly Recovery and Operational Lessons Learned. In Proceedings of the SpaceOps 2012 Conference, Stockholm, Sweden, 11–15 June 2012. [Google Scholar] [CrossRef]
- Guan, W.N.; Hu, H.B.; Ren, X.J.; Yang, X.Q. Subseasonal zonal variability of the western Pacific subtropical high in summer: Climate impacts and underlying mechanisms. Clim. Dyn. 2019, 53, 3325–3344. [Google Scholar] [CrossRef]
- Zhu, L.J.; Jin, J.M.; Liu, X.; Tian, L.; Zhang, Q.H. Simulations of the impact of lakes on local and regional climate over the Tibetan Plateau. Atmos. Ocean 2018, 56, 230–239. [Google Scholar] [CrossRef]
- Yan, Y.F.; Liu, Y.M.; Lu, J.H. Cloud vertical structure, precipitation, and cloud radiative effects over Tibetan Plateau and its neighboring regions. J. Geophys. Res. Atmos. 2016, 121, 5864–5877. [Google Scholar] [CrossRef]
- Lawrence, M.G. The relationship between relative humidity and the dewpoint temperature in moist air: A simple conversion and applications. Bull. Am. Meteorol. Soc. 2005, 86, 225–234. [Google Scholar] [CrossRef]
- Duan, A.M.; Wu, G.X. Change of cloud amount and the climate warming on the Tibetan Plateau. Geophys. Res. Lett. 2006, 33, L22704. [Google Scholar] [CrossRef]
- Wu, G.M.; He, B.; Duan, A.M.; Liu, Y.M.; Yu, W. Formation and variation of the atmospheric heat source over the Tibetan Plateau and its climate effects. Adv. Atmos. Sci. 2017, 34, 1169–1184. [Google Scholar] [CrossRef]
- Chen, B.; Chao, W.C.; Liu, X. Enhanced climatic warming in the Tibetan Plateau due to doubling CO2: A model study. Clim. Dyn. 2003, 20, 401–413. [Google Scholar] [CrossRef]
- Duan, A.M.; Wu, G.X.; Zhang, Q.; Liu, Y.M. New proofs of the recent climate warming over the Tibetan Plateau as a result of the increasing greenhouse gases emissions. Chin. Sci. Bull. 2006, 51, 1396–1400. [Google Scholar] [CrossRef]
- Lee, S.; Kahn, B.H.; Teixeira, J. Characterization of cloud liquid water content distributions from CloudSat. J. Geophys. Res. 2010, 115, D20203. [Google Scholar] [CrossRef]
- Harrop, B.E.; Hartmann, D.L. The role of cloud radiative heating within the atmosphere on the high cloud amount and top-of-atmosphere cloud radiative effect. J. Adv. Model. Earth Syst. 2016, 8, 1391–1410. [Google Scholar] [CrossRef]










| Data set | Product Code/Station Name | Product Name |
|---|---|---|
| CloudSat data | 2B-GEOPROF-LIDAR | Cloud fraction; Top-base-height of cloud |
| 2B-CLDCLASS | Cloud types; Top-base-height of each cloud | |
| 2B-CWC-RO | Cloud water content; Cloud particle effective radius; Cloud particle concentration | |
| Datasets of daily values of terrestrial climate information for China (V3.0) | Gangcha station, Qapqia station | Temperature; Evaporation; Relative humidity; Precipitation; Wind speed |
| ERA5 reanalysis data | U, V-component of wind; Relative humidity; Temperature |
| Cloud Class | Cloud Bottom Height/km | Rainfall Properties | Horizontal Scale/km | Vertical Scale | Liquid Water Content |
|---|---|---|---|---|---|
| Cirrus (Ci) | >7 | None | 1~103 | Medium | 0 |
| Altostratus (As) | 2~7 | None | 103 | Medium | Near 0, mainly ice particle |
| Altocumulus (Ac) | 2~7 | May produce virga | 103 | Light or medium | >0 |
| Stratocumulus (Sc) | 0~2 | May produce drizzle or snowfall | 103 | Light | >0 |
| Cumulus (Cu) | 0~3 | May produce drizzle or snowfall | 1 | Light or medium | >0 |
| Nimbostratus (Ns) | 0~4 | Continuous rain or snow | 50~103 | Thick | >0 |
| Deep Convective (DC) | 0~3 | May produce heavy rainfall or hail | 10~50 | Thick | >0 |
| Annual Average Change Rate | R2 | |
|---|---|---|
| Ci | −0.56%/a | 0.14 |
| As | 0.1%/a | 0.001 |
| Ac | −1.06%/a | 0.37 |
| Sc | −0.17%/a | 0.01 |
| Cu | 0.12%/a | 0.03 |
| Ns | 1.62%/a | 0.37 |
| Cloud ice water content | 3.06 mg m−3/a | 0.21 |
| Cloud liq water content | −2.46 mg m−3/a | 0.06 |
| Annual Average | Total Cloud Frequency | Cloud Ice Water | Cloud Liq Water |
|---|---|---|---|
| r | r | r | |
| Temperature | −0.46 * | −0.23 | 0.29 |
| Evaporation | 0.05 | −0.62 ** | 0.44 |
| Relative humidity | −0.1 | 0.35 | −0.25 |
| Precipitation | −0.59 * | 0.14 | 0.05 |
| Wind speed | 0.58 * | −0.38 | 0.27 |
Publisher’s Note: MDPI stays neutral with regard to jurisdictional claims in published maps and institutional affiliations. |
© 2022 by the authors. Licensee MDPI, Basel, Switzerland. This article is an open access article distributed under the terms and conditions of the Creative Commons Attribution (CC BY) license (https://creativecommons.org/licenses/by/4.0/).
Share and Cite
Li, L.; Sun, M.; Mei, J. Variation and Influencing Factors of Cloud Characteristics over Qinghai Lake from 2006 to 2019. Sustainability 2022, 14, 11935. https://doi.org/10.3390/su141911935
Li L, Sun M, Mei J. Variation and Influencing Factors of Cloud Characteristics over Qinghai Lake from 2006 to 2019. Sustainability. 2022; 14(19):11935. https://doi.org/10.3390/su141911935
Chicago/Turabian StyleLi, Lin, Meiping Sun, and Jing Mei. 2022. "Variation and Influencing Factors of Cloud Characteristics over Qinghai Lake from 2006 to 2019" Sustainability 14, no. 19: 11935. https://doi.org/10.3390/su141911935
APA StyleLi, L., Sun, M., & Mei, J. (2022). Variation and Influencing Factors of Cloud Characteristics over Qinghai Lake from 2006 to 2019. Sustainability, 14(19), 11935. https://doi.org/10.3390/su141911935
