Research of Exhaust Gas Boiler Heat Exchange Surfaces with Reduced Corrosion When Water-Fuel Emulsion Combustion †
Abstract
1. Introduction
- −
- Data analysis and theoretical substantiation of the possibility of reliable prediction of corrosion processes for a long time on the basis of experimental studies of the scientific and technological complex for 2–12 h;
- −
- Development of a mathematical model to study the influence of variable values of wall temperature tw and excess air coefficient α on the corrosion process intensity;
- −
- Conducting comprehensive studies of the effect of water content in WFE Wr, sulfur content in the fuel oil Sr and the excess air coefficient α on the LTC processes intensity;
- −
- Assessment of the reliability of the obtained results of studies of corrosion processes;
- −
- Determination of admissible values of LTC rate, that limit not only the reliability of condensing HES operation, but also the exhaust gas temperature values, on the value of which the efficiency of EGB depends.
2. Materials and Methods
Experimental Research
3. Results
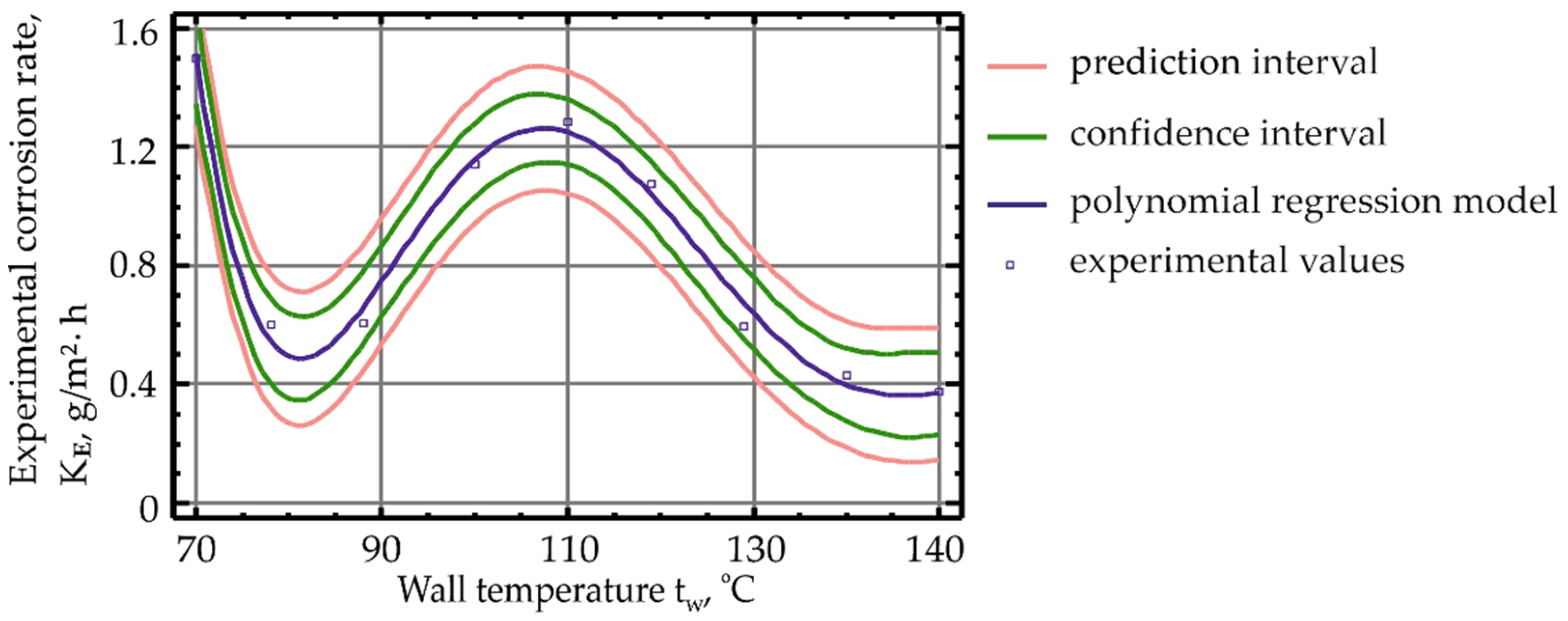
3.1. Influence of HES Metal Wall Temperature and Excess Air Coefficient on the Corrosion Process
3.2. LTC Kinetic Research
4. Discussion
5. Conclusions
Author Contributions
Funding
Institutional Review Board Statement
Informed Consent Statement
Data Availability Statement
Conflicts of Interest
Nomenclature
| DPT | dew point temperature | |
| EGB | exhaust gas boiler | |
| GTE | gas turbine engine | |
| HES | heat exchange surface | |
| LTC | low-temperature corrosion | |
| PM | particulate matter | |
| WFE | Water-fuel emulsion | |
| Symbols and units | ||
| F | average area of the outer surface of the sample to the experiment | m2 |
| ΔG | mass loss of metal | g/m2 |
| K | corrosion rate of metal surface | g/(m2·h), mm/year |
| Kper | permissible corrosion rate | mm/year |
| m1 | mass of sample before experiment | g |
| m2 | mass of sample after experiment | g |
| m3 | mass of sample after cleaning of soot deposits and corrosion products | g |
| Sr | sulfur content | % |
| tw | wall temperature of heat exchange surface | °C |
| Wr | water content | % |
| α | excess air coefficient | - |
References
- Hua, Y.; Wang, Z.; Li, R.; Liu, S.; Zhao, Y.; Qu, L.; Mei, D.; Lv, H. Experimental study on morphology, nanostructure and oxidation reactivity of particles in diesel engine with exhaust gas recirculation (EGR) burned with different alternative fuels. Energy 2022, 261, 125249. [Google Scholar] [CrossRef]
- Bai, Y.; Wang, Y.; Hao, L. Experimental study on the effects of injection timing and n-butanol energy ratio on combustion and emissions of n-butanol/diesel DFDI engine. Fuel 2022, 324, 124654. [Google Scholar] [CrossRef]
- Sosin, D.V.; Shtegman, A.V.; Kotler, V.R.; Tokarev, R.S.; Shkrobtak, A.S. Low cost methods of reducing NOx emissions from coal-fired boilers. Power Technol. Eng. 2012, 45, 361–364. [Google Scholar]
- Panchenko, S.V.; Dli, M.I.; Fedulov, A.S.; Borisov, V.V. The study of methods of NOx inhibition during fuel combustion at power plants with allowance for the use of hydrogen additions. Int. J. Hydrogen Energy 2017, 42, 14656–14666. [Google Scholar]
- Deng, J.; Wang, X.; Wei, Z.; Wang, L.; Wang, C.; Chen, Z. A review of NOx and SOx emission reduction technologies for marine diesel engines and the potential evaluation of liquefied natural gas fueled vessels. Sci. Total Environ. 2021, 766, 144319. [Google Scholar] [CrossRef]
- Valluri, S.; Kawatra, S.K. Simultaneous removal of CO2, NOx and SOx using single stage absorption column. J. Environ. Sci. 2021, 103, 279–287. [Google Scholar] [CrossRef]
- Chen, D.; Wang, T.; Yang, T.; Li, G.; Chen, Y.; Qiao, T. Effects of EGR combined with DOC on emission characteristics of a two-stage injected Fischer-Tropsch diesel/methanol dual-fuel engine. Fuel 2022, 3291, 125451. [Google Scholar]
- Olenius, T.; Heitto, A.; Roldin, P.; Yli-Juuti, T.; Duwig, C. Modeling of exhaust gas cleaning by acid pollutant conversion to aerosol particles. Fuel 2021, 290, 120044. [Google Scholar] [CrossRef]
- Filipshchuk, A.N.; Kolbasenko, O.V.; Shevtsov, A.P.; Dymo, B.V. Technology for improving technical, economic and ecological efficiency of boiler plants using physico-chemical correction of the water-fuel emulsions composition. Probl. Reg. Energetics 2021, 3, 62–77. [Google Scholar] [CrossRef]
- Saha, D.; Sinha, A.; Sinha, A.; Roy, B.; Mishra, L. Effects of Water-Diesel Emulsification on Performance and Emission Characteristics of CI Engine: A Review; Lecture Notes in Mechanical Engineering; Springer: Cham, Switzerland, 2022; Part F1; pp. 95–107. [Google Scholar]
- Wang, Z.; Cao, J.; Yuan, B.; Wang, Y.; Cheng, X. Effect of ambient temperature on the evaporation characteristics of water-in-oil emulsified diesel droplets. K. Cheng Je Wu Li Hsueh Pao/J. Eng. Thermophys. 2022, 43, 2256–2266. [Google Scholar]
- Attar, A.; Waghmare, J.; Mane, S. Water in diesel emulsion fuel: Production, properties, performance, and exhaust emission analysis. Int. J. Energy Environ. Eng. 2022, 13, 729–738. [Google Scholar] [CrossRef]
- Kim, M.; Oh, J.; Lee, C. Study on combustion and emission characteristics of marine diesel oil and water-in-oil emulsified marine diesel oil. Energies 2018, 11, 1830. [Google Scholar] [CrossRef]
- Kim, M.C.; Lee, C.S. It’s effects for engine emission of water/oil emulsified fuel. Anal. Sci. Technol. 2008, 21, 156–166. [Google Scholar]
- Lim, H.K.; Lee, M.J.; Chi, G.Y.; Lim, J.C. Emission evaluation of emulsified fuel prepared from bunker C oil. Appl. Chem. Eng. 2017, 28, 186–192. [Google Scholar]
- Lim, J.K.; Cho, S.G.; Hwang, S.J.; Yoo, D.H. Effects on characteristics of combustion by using emulsified fuel in diesel engine. J. Korean Soc. Mar. Eng. 2007, 31, 51–55. [Google Scholar]
- Lee, T.-H.; Lee, S.-H.; Lee, J.-K. Exhaust gas emission improvements of water/bunker C oil-emulsified fuel applied to marine boiler. J. Mar. Sci. Eng. 2021, 9, 477. [Google Scholar] [CrossRef]
- Lee, T.H.; Lee, J.K. Manufacturing and Component Characteristics of Emulsified Fuel Oil by Mixing Water-Heavy Oil. J. Korean Soc. Mech. Technol. 2020, 22, 884–890. [Google Scholar]
- Patel, K.R.; Dhiman, V.D. A review on emission and performance of water diesel micro-emulsified mixture-diesel engine. Int. J. Environ. Sci. Technol. 2022, 19, 8027–8042. [Google Scholar] [CrossRef]
- Kornienko, V.; Radchenko, R.; Radchenko, M.; Radchenko, A.; Pavlenko, A.; Konovalov, D. Cooling cyclic air of marine engine with water-fuel emulsion combustion by exhaust heat recovery chiller. Energies 2022, 15, 248. [Google Scholar] [CrossRef]
- Kruczyński, P.; Orliński, P.; Kamela, W.; Ślęzak, M. Analysis of selected toxic components in the exhaust gases of a CI engine supplied with water-fuel emulsion. Pol. J. Environ. Stud. 2018, 27, 129–136. [Google Scholar] [CrossRef]
- Goryachkin, A.V. Improving the Efficiency of Marine Boilers When Burning Water-Fuel Emulsions. Ph.D. Thesis, Admiral Makarov National University of Shipbuilding, Mykolaiv, Ukraine, 2007; 245p. [Google Scholar]
- Bubnov, V.P.; Bugaenko, V.L.; Grishkin, V.L. Model of radiolysis of flue gases of thermal power plants. Therm. Eng. 1993, 1, 42–45. [Google Scholar]
- Belyaikin, V.M.; Epikhin, A.N.; Ugnachev, V.I.; Fuad, A.I. Wet ozone-carbamide cleaning of flue gases from sulfur and nitrogen oxides. Electr. Stn. 1999, 2, 19–22. [Google Scholar]
- Baldi, S.; Quang, T.L.; Holub, O.; Endel, P. Real-time monitoring energy efficiency and performance degradation of condensing boilers. Energy Convers. Manag. 2017, 136, 329–339. [Google Scholar] [CrossRef]
- Liang, R.; Liu, L.; Han, Y. Sulfur deposition on corrosion of N80 carbon steel in high acid environment. Corros. Sci. Prot. Technol. 2013, 25, 184–188. [Google Scholar]
- Cui, X.; Ning, Z. Sulfur corrosion and prevention in petroleum processing. Pet. Refin. Eng. 1999, 29, 61–67. [Google Scholar]
- Vainio, E.; Kinnunen, H.; Laurén, T.; Brink, A.; Yrjas, P.; DeMartini, N.; Hupa, M. Low-temperature corrosion in co-combustion of biomass and solid recovered fuels. Fuel 2016, 184, 957–965. [Google Scholar] [CrossRef]
- Chen, H.; Pan, P.; Wang, Y.; Zhao, Q. Field study on the corrosion and ash deposition of low–temperature heating surface in a large–scale coal–fired power plant. Fuel 2017, 208, 149–159. [Google Scholar] [CrossRef]
- Shia, Y.-T.; Gao, M.; Tang, G.-H.; Sun, F.-Z.; Tao, W.-Q. Experimental research of CFB ash deposition on helical finned tubes. Appl. Therm. Eng. 2012, 37, 420–429. [Google Scholar] [CrossRef]
- Ossai, C.I. Pipeline corrosion prediction and reliability analysis: A systematic approach with Monte Carlo simulation and degradation models. Int. J. Sci. Technol. Res. 2013, 2, 58–69. [Google Scholar]
- Gruber, T.; Schulze, K.; Scharler, R.; Obernberger, I. Investigation of the corrosion behavior of 13CrMo4-5 for biomass fired boilers with coupled online corrosion and deposit probe measurements. Fuel 2015, 144, 15–24. [Google Scholar] [CrossRef]
- Wang, Z.; Feng, Z.; Zhang, L.; Lu, M.-X. Current application and development trend in electrochemical measurement methods for the corrosion study of stainless steels. Gongcheng Kexue Xuebao/Chin. J. Eng. 2020, 42, 549–556. [Google Scholar]
- Han, H.; He, Y.L.; Tao, W.Q. A numerical study of the deposition characteristics of sulfuric acid vapor on heat exchanger surfaces. Chem. Eng. Sci. 2013, 101, 620–630. [Google Scholar] [CrossRef]
- Kornienko, V.; Radchenko, R.; Bohdal, Ł.; Kukiełka, L.; Legutko, S. Investigation of condensing heating surfaces with reduced corrosion of boilers with water-fuel emulsion combustion. In Lecture Notes in Networks and Systems, Proceedings of the Conference on Integrated Computer Technologies in Mechanical Engineering—Synergetic Engineering, ICTM 2020, Kharkiv, Ukraine, 29–30 October 2020; Nechyporuk, M., Pavlikov, V., Kritskiy, D., Eds.; Springer: Cham, Switzerland, 2021; Volume 188, pp. 300–309. [Google Scholar] [CrossRef]
- Luo, C.; Luo, K.; Wang, Y.; Ma, Z.; Gong, Y. The effect analysis of thermal efficiency and optimal design for boiler system. Energy Procedia 2017, 105, 3045–3050. [Google Scholar]
- Shamsi, S.S.M.; Negash, A.A.; Cho, G.B.; Kim, Y.M. Waste heat and water recovery system optimization for flue gas in thermal power plants. Sustainability 2019, 11, 1881. [Google Scholar] [CrossRef]
- Fan, C.; Pei, D.; Wei, H. A novel cascade energy utilization to improve efficiency of double reheat cycle. Energy Convers. Manag. 2018, 171, 1388–1396. [Google Scholar] [CrossRef]
- Konur, O.; Saatcioglu, O.Y.; Korkmaz, S.A.; Erdogan, A.; Colpan, C.O. Heat exchanger network design of an organic Rankine cycle integrated waste heat recovery system of a marine vessel using pinch point analysis. Int. J. Energy Res. 2020, 44, 12312–12328. [Google Scholar] [CrossRef]
- Radchenko, A.; Trushliakov, E.; Tkachenko, V.; Portnoi, B.; Prjadko, O. Improvement of the refrigeration capacity utilizing for the ambient air conditioning system. In Lecture Notes in Mechanical Engineering, Proceedings of the Grabchenko’s International Conference on Advanced Manufacturing Processes (InterPartner-2020), Odessa, Ukraine, 8–11 September 2020; Tonkonogyi, V., Ivanov, V., Trojanowska, J., Oborskyi, G., Grabchenko, A., Pavlenko, I., Edl, M., Kuric, I., Dasic, P., Eds.; Springer: Cham, Switzerland, 2021; pp. 714–723. [Google Scholar]
- Mito, M.T.; Teamah, M.A.; El-Maghlany, W.M.; Shehata, A.I. Utilizing the scavenge air cooling in improving the performance of marine diesel engine waste heat recovery systems. Energy 2018, 142, 264–276. [Google Scholar] [CrossRef]
- Konovalov, D.; Kobalava, H.; Radchenko, M.; Sviridov, V.; Scurtu, I.C. Optimal sizing of the evaporation chamber in the low-flow aerothermopressor for a combustion engine. In Lecture Notes in Mechanical Engineering, Proceedings of the 2nd Grabchenko’s International Conference on Advanced Manufacturing Processes (InterPartner-2020), Odessa, Ukraine, 8–11 September 2020; Tonkonogyi, V., Ivanov, V., Trojanowska, J., Oborskyi, G., Grabchenko, A., Pavlenko, I., Edl, M., Kuric, I., Dasic, P., Eds.; Springer: Cham, Switzerland, 2021; pp. 654–663. [Google Scholar]
- Shu, G.; Liang, Y.; Wei, H.; Tian, H.; Zhao, J.; Liu, L. A review of waste heat recovery on two-stroke IC engine aboard ships. Renew. Sustain. Energy Rev. 2013, 19, 385–401. [Google Scholar] [CrossRef]
- Radchenko, M.; Radchenko, A.; Radchenko, R.; Kantor, S.; Konovalov, D.; Kornienko, V. Rational loads of turbine inlet air absorption-ejector cooling systems. Proc. Inst. Mech. Eng. Part A J. Power Energy 2022, 236, 450–462. [Google Scholar] [CrossRef]
- Chacartegui, R.; Jiménez-Espadafor, F.; Sánchez, D.; Sánchez, T. Analysis of combustion turbine inlet air cooling systems at air cooling techniques integrated to cooled gas turbine plant. J. Energy Inst. 2015, 88, 344–358. [Google Scholar]
- Radchenko, A.; Scurtu, I.-C.; Radchenko, M.; Forduy, S.; Zubarev, A. Monitoring the efficiency of cooling air at the inlet of gas engine in integrated energy system. Therm. Sci. 2022, 26, 185–194. [Google Scholar] [CrossRef]
- Radchenko, M.; Mikielewicz, D.; Andreev, A.; Vanyeyev, S.; Savenkov, O. Efficient ship engine cyclic air cooling by turboexpander chiller for tropical climatic conditions. In Lecture Notes in Networks and Systems, Proceedings of the Conference on Integrated Computer Technologies in Mechanical Engineering–Synergetic Engineering, ICTM 2020, Kharkiv, Ukraine, 28–29 October 2021; Nechyporuk, M., Pavlikov, V., Kritskiy, D., Eds.; Springer: Cham, Switzerland, 2021; Volume 188, pp. 498–507. [Google Scholar]
- Wang, Z.; Feng, Z.; Fan, X.-H.; Zhang, L. Pseudo-passivation mechanism of CoCrFeNiMo0.01 high-entropy alloy in H2S-containing acid solutions. Corros. Sci. 2021, 179, 109146. [Google Scholar] [CrossRef]
- Melchers, R.E.; Ahammed, M. Estimating the long-term reliability of steel and cast-iron pipelines subject to pitting corrosion. Sustainability 2021, 13, 13235. [Google Scholar] [CrossRef]
- Kornienko, V.; Radchenko, R.; Radchenko, A.; Pavlenko, A.; Konovalov, D. Research of exhaust gas boiler heat exchange surfaces with reduced corrosion when water-fuel emulsion combustion. In Proceedings of the European Conference on Renewable Energy Systems ECRES 2022, Istanbul, Turkey, 7–9 May 2022; pp. 764–770. [Google Scholar]
















| Parameter | Equipment | Range | Unit |
|---|---|---|---|
| Flue gas velocity | High-speed pipe | 0–25 | m/s |
| Flue gas flow | Flowmeter | 0–25 | m3/h |
| Flue gas temperature | Resistance thermoconverter | −40–270 °C | °C |
| Flue gases composition | Gas analyzers, chromatograph | 0–100 mL - | mL Vol, % |
| Sample length | Digital calipers | 0–200 | mm |
| Sample diameter | Micrometer | 0–25 | mm |
| Sample weigh | Analytical balance | 0–200 | mg |
| Sample temperature | Resistance thermoconverter | −40–270 °C | °C |
Publisher’s Note: MDPI stays neutral with regard to jurisdictional claims in published maps and institutional affiliations. |
© 2022 by the authors. Licensee MDPI, Basel, Switzerland. This article is an open access article distributed under the terms and conditions of the Creative Commons Attribution (CC BY) license (https://creativecommons.org/licenses/by/4.0/).
Share and Cite
Yang, Z.; Kornienko, V.; Radchenko, M.; Radchenko, A.; Radchenko, R. Research of Exhaust Gas Boiler Heat Exchange Surfaces with Reduced Corrosion When Water-Fuel Emulsion Combustion. Sustainability 2022, 14, 11927. https://doi.org/10.3390/su141911927
Yang Z, Kornienko V, Radchenko M, Radchenko A, Radchenko R. Research of Exhaust Gas Boiler Heat Exchange Surfaces with Reduced Corrosion When Water-Fuel Emulsion Combustion. Sustainability. 2022; 14(19):11927. https://doi.org/10.3390/su141911927
Chicago/Turabian StyleYang, Zongming, Victoria Kornienko, Mykola Radchenko, Andrii Radchenko, and Roman Radchenko. 2022. "Research of Exhaust Gas Boiler Heat Exchange Surfaces with Reduced Corrosion When Water-Fuel Emulsion Combustion" Sustainability 14, no. 19: 11927. https://doi.org/10.3390/su141911927
APA StyleYang, Z., Kornienko, V., Radchenko, M., Radchenko, A., & Radchenko, R. (2022). Research of Exhaust Gas Boiler Heat Exchange Surfaces with Reduced Corrosion When Water-Fuel Emulsion Combustion. Sustainability, 14(19), 11927. https://doi.org/10.3390/su141911927

