Next Article in Journal
A Study of Consumers’ Perceptions of Take-Out Food before and after the COVID-19 Outbreak: Applying Big Data Analysis
Next Article in Special Issue
A Method for the Definition of Emergency Rescue Routes Based on the Out-of-Plane Seismic Collapse of Masonry Infills in Reinforced-Concrete-Framed Buildings
Previous Article in Journal
Analysis of Decadal Land Use Changes and Its Impacts on Urban Heat Island (UHI) Using Remote Sensing-Based Approach: A Smart City Perspective
Previous Article in Special Issue
Investigating Pedestrians’ Exit Choice with Incident Location Awareness in an Emergency in a Multi-Level Shopping Complex
 
 
Font Type:
Arial Georgia Verdana
Font Size:
Aa Aa Aa
Line Spacing:
Column Width:
Background:
Article

Research on Emergency Supply Chain Collaboration Based on Tripartite Evolutionary Game

1
School of Economics and Management, Shanxi University, Taiyuan 030006, China
2
Institute of Management and Decision, Shanxi University, Taiyuan 030006, China
*
Author to whom correspondence should be addressed.
Sustainability 2022, 14(19), 11893; https://doi.org/10.3390/su141911893
Submission received: 22 July 2022 / Revised: 12 September 2022 / Accepted: 16 September 2022 / Published: 21 September 2022

Abstract

To explore the optimal mechanism of emergency supply chain collaboration when an epidemic crisis occurs, we construct a tripartite evolutionary game model of emergency collaboration among the government, the retailer, and the supplier to explore the interaction of primary strategies and the impact of critical parameters on the evolution and stability of the system. We conduct simulation analysis based on the actual situation of China’s emergency supply chain development. The research results show that in the recognition period of the crisis, the government participates in emergency supervision and the retailer participates in emergency collaboration, but the supplier does not participate in emergency collaboration. However, in the containment period of the crisis, the government increases penalties, provides appropriate emergency subsidies, and improves the efficiency of emergency supervision, which are conducive to promoting the supplier’s participation in emergency collaboration. In the recovery period of the crisis, as the benefits of both the retailer and the supplier participation in emergency collaboration increase, the government will withdraw from emergency supervision gradually. Moreover, the weaker the risk of supply chain enterprises participating in emergency collaboration, the more reasonable the distribution of the collaboration benefits, and the more conducive to the spontaneous emergency collaboration of the retailer and the supplier.

1. Introduction

The last few decades have witnessed an increase in the frequency, intensity, and severity of natural disasters or accidents, for example, earthquakes, tsunamis, terrorist attacks, and the COVID-19 pandemic, which have brought significant loss to human beings, for example, massive property damage and human injuries. When emergencies occur, they cause not only severe economic losses and casualties but also bring many challenges to the rescue force, such as the design of emergency plans, the management of disaster sites, the supply and dispatch of emergency supplies to distribution centers in disaster-hit areas as soon as possible, the evacuation and rescue of victims, etc. [1,2]. To better prepare and respond to emergent events, emergency supply chain planning is essential and a key component in covering the initial needs in the immediate aftermath of any disaster [3]. As a strongly upcoming area, sustainable collaboration in the emergency supply chain is endowed with extreme importance and attracts more and more attention from practitioners and researchers. The emergency supply chain usually involves multiple actors, so the collaboration between actors directly affects the operational efficiency and effectiveness of the emergency supply chain. Accordingly, achieving efficient, effective, and sustainable emergency supply chain management has become a crucial issue in this field.
Governments often maintain a stable supply chain to meet the basic needs of vulnerable groups in many developing countries [4]. Constructing an emergency supply chain network is an essential and crucial task for government officials and managers to protect the residents’ normal life in the occurrence of disasters or accidents [5]. At the end of 2019, the outbreak of the COVID-19 pandemic caused many countries in the world to enter a state of emergency. However, unfortunately, the emergency supply chain in many countries or regions affected by the COVID-19 pandemic is inefficient or chaotic. It is usually manifested in the form of manufacturers associated with essential items, which are exposed to extreme supply and demand fluctuations [6]. As manufacturers had difficulty in immediately increasing their production rates to meet the high supply-demand during the pandemic, most retailers were faced with severe shortages of essential items [7]. Although there are various reasons for the low efficiency of the emergency supply chain, this paper argues that effective collaboration between government and enterprises is a major issue in the sustainability of emergency supply chains. It is a key challenge for emergency supply chain management, which is the number and diversity of the actors and sectors involved, each with their perceptions, interests, and resources. As most crisis events affect the residents’ quality of life to some extent, this study will use the COVID-19 pandemic crisis in China as a prime example to explore the impact of emergency supply chain collaboration on emergency response. In this regard, to better achieve the sustainable development of the emergency supply chain after the crisis occurs, this study proposes an emergency supply chain network design problem under collaborative governance.
Aiming to improve the coping capabilities of the government and supply chain enterprises in different phases after the crisis, discussing the collaborative treatment plans and measures of the emergency supply chain in the crisis response and recovery phases are important for better addressing the consequences of crisis events. However, existing literature in the field of the emergency supply chain is inconclusive regarding the role of collaborative governance, which involves multiple partners with varying needs. Collaboration can be particularly challenging in public-private settings, especially when the involved partners lack prior experience in working together [8]. To contribute to this discussion, we extend current research by focusing on organization-governed public-private emergency supply chain networks and analyzing the role of collaborative governance. In terms of the complexity of collaboration, game theory is introduced to address complex interactive problems.
Game decision-making in emergency supply chains should not only consider the participants’ psychological behavior but also consider different measures for different phases of the crisis to reflect the pertinence and effectiveness of the emergency response. However, most of the existing research on emergency supply chain game decision-making assumes that the game subject is entirely rational. This assumption of a completely reasonable person is unreasonable and far from reality. Motivated by these considerations, this study poses the following research questions:
1. How does the government take emergency measures to promote emergency collaboration in the supply chain during the outbreak of the epidemic crisis?
2. How do parameters affect participants’ decisions? These parameters consist of the government subsidy rate, the efficiency of the government emergency supervision, the government punishment, the emergency collaboration benefits, the government crisis loss, the risk of supply chain enterprises participating in an emergency, and the distribution rate of collaboration benefits.
3. Is the choice of evolutionary stabilization strategy sustainable and in line with China’s national conditions?
The remainder of this paper is organized as follows. Section 2 outlines a literature review. Section 3 consists of basic assumptions, model building, and replication dynamics analysis. Section 4 analyzes the stability of the strategy of three game subjects. Section 5 conducts the simulation analysis of the model. Section 6 presents the discussion. Section 7 provides the theoretical contribution and practical implications. Finally, we summarize the conclusions and propose future directions in Section 8.

2. Literature Review

To fully understand the evolutionary mechanisms of emergency response, this chapter is divided into three sections: collaboration in the emergency supply chain, government emergency supervision, and evolutionary game theory and its application to emergency collaboration.

2.1. Collaboration in the Emergency Supply Chain

The Ebola crisis demonstrated the difficulties in global manufacturing and stockpiling capacity in terms of epidemic preparedness to deal with larger outbreaks [9]. The COVID-19 pandemic further demonstrated the difficulties in terms of emergency preparedness for any one organization in the supply chain, making collaboration between supply chains particularly important.
Shao et al. [10] studied the choice of cooperative transshipment strategies between monopoly manufacturers and decentralized retailers in a supply chain crisis. Li and Li [11] analyzed the cooperative transshipment problem in a secondary supply chain system consisting of an upstream manufacturer and two downstream retailers in a competitive market. The study concluded that retailers always choose horizontal transshipment to increase their inventory to maintain normal product sales. For demand disruption scenarios in the supply chain, Xiao et al. [12] considered using price subsidy rate contracts to reconcile demand disruptions from retailers in the supply chain. Behzadi et al. [13] studied the role of allocation flexibility and the impact of multiple risk management strategies for achieving allocation flexibility on mitigating the risk of supply chain demand disruptions. In the study of enhancing the emergency collaboration ability of the supply chain, Lee [14] pointed out that for supply chain enterprises to recover quickly from crisis damage, there should be a particular focus on data and collaboration between supply chain enterprises. Huang et al. [15] constructed a two-stage pricing and production decision model to study the impact of demand fluctuations, supply-demand mismatches, and demand surges on supply chain emergency collaboration. Hobbs [16] believed buyers and sellers should build trusting partnerships and enhance supply chain contingency through strategic inventory management plans and flexible sourcing strategies. Xie et al. [17] established an emergency supply chain model of manufacturer and retailer in two cases of decentralized decision-making (anarchy) and centralized decision-making (with government), and their research showed that supply chain collaboration under certain conditions of a cost-sharing joint contract, and government subsidies could improve the emergency response capabilities of supply chain members. For some industries, in emergency collaboration studies, in order to achieve flexible collaboration in the energy emergency supply chain, Xiang [18] investigated the problem of restoring energy supply in the shortest possible time by using collaborative consensus and scenario learning algorithms to govern the non-cooperative behavior of energy emergency supply chain collaboration. Yan et al. [19] considered a manufacturer and a retailer in an agricultural emergency supply chain collaboration, arguing that unexpected events can lead to demand disruptions that can severely impact the profits of supply chain participants, and thus achieve emergency supply chain sustainability by improving revenue sharing contracts to protect the interests of participants.

2.2. Government Emergency Supervision

Crisis management cannot be achieved without the government. If governments can develop effective emergency policies and implement them effectively, the consequences of a crisis will be mitigated.
Although in the practice of emergency management, some functions are undertaken by non-governmental organizations [20], emergency management is a public responsibility, and only governments have the technical capacity and resources to respond to crises. Shangguan et al. [21] believed that the government must intervene immediately when a crisis arises and also develop efficient and rational emergency policies. Otherwise, it will lead to a more significant crisis hazard. Flaherty et al. [22] further argued that local governments are not yet smooth enough in the operation of emergency management, and the lack of scientific and effective emergency management operation plans can lead to a lack of order and organization in response to emergencies by local governments and socially diverse emergency forces in the wake of a crisis. In response to the inefficiency of emergency supervision that may exist after the outbreak of the crisis, some literature has examined collaboration between governments, between governments and enterprises, and between governments and communities. Waugh et al. [23] explored collaboration models between government departments in emergency management. They analyzed emergency management systems in the US and future trends in FEMA, arguing that collaboration between government departments is a necessary foundation for responding to natural emergencies. Wang et al. [24] have discussed the impact of government supervision on allocating emergency resources based on different disaster chain scenarios, arguing that government and business collaboration can mitigate disasters. Pradana et al. [25] used the regulatory actions of the Indonesian government during the COVID-19 pandemic as an example to argue that local government, in conjunction with community organizations, plays a vital role in ensuring the stability of residents’ lives. For the practice of government emergency supervision in China, Chen et al. [26] brought the government and financial leasing institutions together in the mask emergency supply chain, arguing that financial institutions leasing mask production equipment to mask manufacturers with government guarantees can effectively ensure a sustainable supply of masks during a pandemic. Chen et al. [27] pointed out that the COVID-19 pandemic outbreak, while conducive to the development of e-commerce, at the same time, several problems can seriously affect the interests of consumers and the urgent need for the government to strengthen the supervision of live online shopping. Yu and Li [28] summarized that when the COVID-19 epidemic occurred, the Chinese government declared a state of emergency, cordoned off the center of the epidemic, banned crowd gathering activities, forced residents to wear masks, and mobilized medical staff and products, effectively preventing the large-scale spread of the epidemic and ensuring the stability of people’s lives.

2.3. Evolutionary Game Theory and Its Application to Emergency Collaboration

Game theory has been widely used to model social interactions in the supply chain domain to provide practical decision guidance for supply chain management. Classical game theory assumes that participants are perfectly rational, but this is not feasible in reality due to the lack of knowledge of information about others [29]. In contrast, evolutionary game theory extends the ideas of classical game theory by introducing population ecology, which assumes that participants are finitely rational, in line with the principles of biological evolution [30].
Zhao and Ma [31] analyzed the impact of the blockchain platform on the distribution of emergency supplies. They argued that in the early phases of emergency response, the government’s strategic choices significantly impact the evolution and stability of social organizations. It takes a long-term process for the government to actively guide social organizations to participate in the distribution of emergency supplies. Qiu et al. [32] investigated the evolutionary choice of strategies for collaborative regional response to accidents and disasters under vertical administrative constraints based on evolutionary game theory in the context of China’s regional collaborative development strategy. Xu et al. [33] applied stochastic evolutionary game theory to analyze the stability of collaboration between members in strategic alliances in response to external opportunism. Shi et al. [34] proposed a game model that considers product prices and their costs, incentive payoffs, spillover effects, and coordination costs to study the cooperative relationships between construction suppliers. Taking a significant animal epidemic as an example, Li and Ding [35] explored the restoration of social trust in public crisis management using an evolutionary game model. They found that changes in the risk of a crisis affect the behavior of regulators, enterprises, and consumers. Liu et al. [36] constructed an evolutionary game model of emergency response between the government and social organizations, and the study concluded that the government’s adoption of incentive strategies could significantly increase the motivation of social organizations to participate in natural disaster response. Compared with only adopting incentive strategies, Fan et al. [37] conducted an evolutionary game study on the behavior of government, community, and residents in the emergency management of public health emergencies, discussing the impact of static and dynamic reward and punishment schemes on the evolutionary stability of the system, concluding that dynamic rewards and punishments are more conducive to reducing the opportunistic behavior of each player in the game. In other studies on emergency collaboration in tripartite evolutionary games involving government, Zhang and Kong [38] explored the problem of achieving optimal collaboration between the government and enterprises in the stockpiling and supply of emergency supplies by building an evolutionary game model among the government, enterprises, and society. Liu et al. [39] constructed a tripartite evolutionary game model of emergency rescue collaboration based on government rescue teams, social emergency organizations, and government support agencies and proposed an optimal emergency rescue collaboration mechanism.
Regrettably, although existing literature has studied emergency supply chain collaboration, government emergency supervision behavior, and the application of evolutionary game theory in emergency practice from different aspects, there are still significant gaps. (1) The role of government supervision in emergency supply chain collaboration has not received the necessary research attention. Indeed, the role of government in emergency management is very important in the event of a crisis, especially in emergency supply chain collaboration. However, there is little literature exploring the issue of collaboration between government emergency supervision and emergency supply chains, and this consideration has important implications for the sustainable practice of realistic emergency response. (2) Most of the research on emergency supply chain collaboration only focuses on the immediate crisis phase, yet the crisis is constantly changing, and research on other phases of the crisis is also essential. Therefore, it is worthwhile to study the dynamic collaboration of emergency supply chains through evolutionary game theory because of its dynamic character. (3) Few of the existing literature on emergency practices considers the joint decisions of government, retailers, and suppliers, and a variety of key parameters involved in the game model are not considered, such as the government subsidy rate, the efficiency of the government emergency supervision, the government punishment, the emergency collaboration benefits, the government crisis loss, the risk of supply chain enterprises participating in an emergency, and the distribution rate of collaboration benefits. However, considering these variables have not been adequately studied so far, exploring changes in these variables is critical to the issue of sustainable collaboration in emergency supply chains.
To bridge these gaps, this study explores the optimal decision-making problem of emergency supply chain collaboration based on the collaboration of the government, the retailer, and the supplier in crisis, establishing an evolutionary game model and conducting numerical simulation analysis. This also leads to the main contributions of this study: (1) Considering that the emergency collaboration in the supply chain cannot be separated from the government’s supervision measures, this study will examine the government’s supervision strategies in different crisis phases. (2) This study will explore the factors that influence emergency collaboration among supply chain enterprises and find a reasonable range of key factors. (3) In terms of modeling methodology, we develop a tripartite evolutionary game model including the government, the retailer, and the supplier, which will better investigate the issue of sustainable emergency collaboration between the government and supply chain enterprises.

3. Method Analysis

3.1. Basic Assumptions

Assumption 1.
The government, as the main body responding to major crises, makes emergency management decisions based on the magnitude of the damage caused by the crisis. That is, if the crisis losses are too significant, the government will take supervision measures; otherwise, the market can collaborate spontaneously in the emergency response. The probabilities of the emergency supervision and non-supervision strategies chosen by the government are x and 1 x ( 0 x 1 ), respectively.
Assumption 2.
The retailer is an essential seller of daily necessities. When significant crises occur, the retailer aggressively sells supplies and subsidizes the supplier’s production to be able to sell more items. However, if it does not participate in emergency collaboration, the retailer can invest emergency capital in other areas to benefit. Therefore, the retailer can choose emergency collaboration and non-collaboration strategies when a crisis occurs. The probabilities of emergency collaboration and non-collaboration strategies chosen by the retailer are y and 1 y ( 0 y 1 ), respectively.
Assumption 3.
The supplier is an essential producer of daily necessities. However, suppose the supplier does not participate in emergency collaboration when a major crisis strikes. In that case, it can also invest emergency capital into other production areas to benefit. Therefore, the supplier can choose between emergency collaboration and non-collaboration strategies when a crisis occurs. The probabilities of emergency collaboration and non-collaboration strategies chosen by the supplier are z and 1 z ( 0 z 1 ), respectively.
Assumption 4.
The government, the retailer, and the supplier are all bounded rational in the evolutionary game model of emergency collaboration. At the same time, the three participants are randomly matched and repeated gaming.
Assumption 5.
The fixed benefit before the government adopts the emergency strategy is R G , the loss caused by the crisis to the government is L , the emergency cost paid by the government during supervision is C G , the benefits increase rate is ω , and the government subsidy rate for supply chain enterprises to participate in emergency collaboration is s . Suppose there are enterprises involved in the emergency collaboration. In that case, the implementation efficiency of the government emergency supervision is a . If there are enterprises that do not participate in emergency collaboration, they will be punished by the government. Suppose the government does not adopt the emergency supervision strategy. In that case, it only needs to pay the fundamental administrative cost of C B .
Assumption 6.
Before the crisis occurs, the retailer’s fundamental benefit is R 1 . After the crisis occurs, if the retailer participates in emergency collaboration, the initial emergency cost is E 1 , and the factor for converting the emergency investment cost to the operating cost for the retailer is K 1 , and the benefits increase rate is l 1 . In addition, to encourage the supplier to participate in collaboration, the subsidy rate n is provided for the supplier’s initial emergency cost by the retailer. If the retailer does not participate in the emergency collaboration but the supplier participates in the collaboration, the free-rider benefit μ 1 can be obtained by the retailer.
Assumption 7.
Before the crisis occurs, the fundamental benefit of the supplier is R 2 . After the crisis occurs, if the supplier participates in emergency collaboration, the initial emergency cost paid is E 2 , the factor for converting the emergency investment cost to the operating cost for the supplier is K 2 , and the benefits increase rate is l 2 . If the supplier does not participate in the emergency collaboration but the retailer participates in the collaboration, the free-rider benefit μ 2 can be obtained by the supplier.
Assumption 8.
The risk loss of supply chain enterprises participating in emergency collaboration is D , and if both participate in emergency collaboration, their collaborative efficiency is b .
Assumption 9.
Both the retailer and the supplier participating in emergency collaboration will generate collaboration benefits A , the retailer’s benefit distribution rate is d 1 , and the supplier’s benefit distribution rate is d 2 .
The definitions of the main parameter symbols are summarized in Table 1.

3.2. Payoff Matrix

According to the assumptions of the previous section, the government, the retailer, and the supplier under the collaboration mechanism of emergency management given by the research, the mechanisms for the government, the retailer, and the supplier to act on emergency response is summarized in Figure 1, and the payoff matrix is shown in Table 2 and Table 3.

3.3. Replicator Dynamics Equations

Table 2 and Table 3 show the payoff for different combinations of strategies. Based on the evolutionary principle of evolutionary game theory, when the expected payoff of a strategy is higher than the overall average expected payoff, the strategy will evolve and develop gradually in the system (i.e., survival of the fittest) [40,41]. The evolutionary process can be described by the replicator dynamics equation [42,43].

3.3.1. The Government

The expected payoff of the supervision strategy chosen by the government E G 1 is as follows:
E G 1 = y z ω R G C G s E 1 s E 2 1 a L + y 1 z ω R G C G s E 1 1 a L + F + z 1 y ω R G C G s E 2 1 a L + F + 1 y 1 z ω R G C G L + 2 F
The expected payoff of the non-supervision strategy chosen by the government E G 2 is as follows:
E G 2 = y z R G C B L + y 1 z R G C B L + z 1 y R G C B L + 1 y 1 z R G C B L
The average expected payoff of the government’s emergency strategy is:
E G = x E G 1 + 1 x E G 2
The replicator dynamics equation of the government’s emergency strategy is:
F x = d x d t = x E G 1 E G = x 1 x C B C G + ω R G R G + 2 F + y a L s E 1 F + z a L s E 2 F a L y z
Take the derivative of F x :
d F x d x = 1 2 x C B C G + ω R G R G + 2 F + y a L s E 1 F + z a L s E 2 F a L y z

3.3.2. The Retailer

The expected payoff of the collaboration strategy chosen by the retailer E R 1 is as follows:
E R 1 = x z l 1 R 1 + A d 1 1 a 1 b D K 1 E 1 2 + s E 1 n E 2 + x 1 z l 1 R 1 1 a D K 1 E 1 2 + s E 1 + z 1 x l 1 R 1 + A d 1 1 b D K 1 E 1 2 n E 2 + 1 x 1 z l 1 R 1 D K 1 E 1 2
The expected payoff of the non-collaboration strategy chosen by the retailer E R 2 is as follows:
E R 2 = x z R 1 + μ 1 F + x 1 z R 1 F + z 1 x R 1 + μ 1 + 1 x 1 z R 1
The average expected payoff of the retailer’s emergency strategy is:
E R = y E R 1 + 1 y E R 2
The replicator dynamics equation of the retailer’s emergency strategy is:
F y = d y d t = y E R 1 E R = y 1 y l 1 R 1 R 1 K 1 E 1 2 D + x s E 1 + a D + F + z b D μ 1 + A d 1 n E 2 x z a b D
Take the derivative of F y :
d F y d y = 1 2 y l 1 R 1 R 1 K 1 E 1 2 D + x s E 1 + a D + F + z b D μ 1 + A d 1 n E 2 x z a b D

3.3.3. The Supplier

The expected payoff of the collaboration strategy chosen by the supplier E S 1 is as follows:
E S 1 = x y l 2 R 2 + A d 2 1 a 1 b D K 2 E 2 2 + s E 2 + n E 2 + x 1 y l 2 R 2 1 a D K 2 E 2 2 + s E 2 + y 1 x l 2 R 2 + A d 2 1 b D K 2 E 2 2 + n E 2 + 1 x 1 y l 2 R 2 D K 2 E 2 2
The expected payoff of the non-collaboration strategy chosen by the supplier E S 2 is as follows:
E S 2 = x y R 2 + μ 2 F + x 1 y R 2 F + y 1 x R 2 + μ 2 + 1 x 1 y R 2
The average expected payoff of the supplier’s emergency strategy is:
E S = z E S 1 + 1 z E S 2
The replicator dynamics equation of the supplier’s emergency strategy is:
F z = d z d t = z E S 1 E S = z 1 z l 2 R 2 R 2 K 2 E 2 2 D + x s E 2 + a D + F + y b D μ 2 + A d 2 + n E 2 x y a b D
Take the derivative of F z :
d F z d z = 1 2 z l 2 R 2 R 2 K 2 E 2 2 D + x s E 2 + a D + F + y b D μ 2 + A d 2 + n E 2 x y a b D
Therefore, by combining Equations (4), (9), and (14), a replicator dynamics system of the evolutionary game of emergency collaboration can be obtained as follows:
F x = x 1 x C B C G + ω R G R G + 2 F + y a L s E 1 F + z a L s E 2 F a L y z F y = y 1 y l 1 R 1 R 1 K 1 E 1 2 D + x s E 1 + a D + F + z b D μ 1 + A d 1 n E 2 x z a b D F z = z 1 z l 2 R 2 R 2 K 2 E 2 2 D + x s E 2 + a D + F + y b D μ 2 + A d 2 + n E 2 x y a b D

4. Stability Analysis of the Strategy of Three Game Subjects

4.1. Stability Analysis of the Government’s Strategy

When F x = 0 and d F x d x < 0 , the government has a stable probability of response strategy choice. If z = C B C G + ω R G R G + 2 F + y a L s E 1 F a L s E 2 F y L , F x 0 and d F x d x 0 , indicating that any strategy chosen by the government is stable. If z C B C G + ω R G R G + 2 F + y a L s E 1 F a L s E 2 F y L , let F x = 0 , then we get two stable points x = 0 and x = 1 . To determine the positive and negative values of x = 0 and x = 1 , we construct an auxiliary function g z = C B C G + ω R G R G + 2 F + y a L s E 1 F + z a L s E 2 F a L y z based on Equation (4), and then let z = C B C G + ω R G R G + 2 F + y a L s E 1 F a L s E 2 F y a L .
When s E 2 < a L F y a L , g z is a linear increasing function of z. If z < z , g z < 0 , d F x d x x = 0 < 0 and d F x d x x = 1 > 0 can be obtained, so x = 0 is an evolutionary stability strategy. If z > z , g z > 0 , d F x d x x = 0 > 0 and d F x d x x = 1 < 0 can be obtained, so x = 1 is an evolutionary stability strategy.
When s E 2 > a L F y a L , g z is a linear decreasing function of z. If z < z , g z > 0 , d F x d x x = 0 > 0 and d F x d x x = 1 < 0 can be obtained, so x = 1 is an evolutionary stability strategy. If z > z , g z < 0 , d F x d x x = 0 < 0 and d F x d x x = 1 > 0 can be obtained, so x = 0 is an evolutionary stability strategy. To sum up, the phase diagram of the government’s strategic choice is shown in Figure 2.
When the initial strategy choice of the government is within V 11 , as shown in Figure 2b, x = 1 is the stable point. Therefore, when the emergency collaboration cost of the government subsidies to the supplier is relatively small, the probability of emergency collaboration by the supplier is relatively large, or when the emergency collaboration cost of the government subsidies to the supplier is relatively high, the probability of emergency collaboration by the supplier is relatively small, the government will choose emergency supervision strategy. If the probability of emergency collaboration of the supplier is relatively small, that is, the probability that the supplier may not participate in emergency collaboration increases, and the entire market crisis will be more serious. Therefore, to reduce the harm of the crisis, the government will choose an emergency supervision strategy and rationally use the reward and punishment mechanism to stimulate the supplier to participate in the emergency collaboration.
When the initial strategy choice of the government is within V 12 , as shown in Figure 2c, x = 0 is the stable point. Therefore, when the emergency collaboration cost of the government subsidies to the supplier is relatively small, the probability of emergency collaboration by the supplier is relatively small, or when the emergency collaboration cost of the government subsidies to the supplier is relatively high, the probability of emergency collaboration by the supplier is relatively large, the government will not choose emergency supervision strategy. Therefore, regardless of whether the supplier participates in emergency collaboration, the government does not choose an emergency supervision strategy for the benefit of the emergency subsidy policy.
Proposition 1.
When other parameters remain unchanged, with the increase of L and a or the decrease of C G , the probability of the government choosing emergency supervision will be inclined to 1.
Proof. 
z = C B C G + ω R G R G + 2 F + y a L s E 1 F a L s E 2 F y a L , when L and a increases or C G decreases, z will increase , so the stable cross-section in Figure 2a rises, leading to the volume of V 11 in Figure 2b increasing, that is, the probability of emergency supervision by the government increases and finally stabilizes at 1, which is proved. ☐
Therefore, when the crisis leads to an increase in government losses, the efficiency of the government’s implementation of emergency supervision is improved or the cost of the government emergency supervision is reduced, which are all conducive to the government’s preference for emergency supervision strategies.

4.2. Stability Analysis of the Retailer’s Strategy

When F y = 0 and d F y d y < 0 , the retailer has a stable probability of response strategy choice. If x = l 1 R 1 R 1 K 1 E 1 2 D + z b D μ 1 + A d 1 n E 2 s E 1 + a D + F z a b D , F y 0 and d F y d y 0 , indicating that any strategy chosen by the retailer is stable. If x l 1 R 1 R 1 K 1 E 1 2 D + z b D μ 1 + A d 1 n E 2 s E 1 + a D + F z a b D , let F y = 0 , then we get two stable points y = 0 and y = 1 . Therefore, to determine the positive and negative values at y = 0 and y = 1 , we construct an auxiliary function g ( x ) = l 1 R 1 R 1 K 1 E 1 2 D + x s E 1 + a D + F + z b D μ 1 + A d 1 n E 2 x z a b D based on Equation (9), and we easily know g ( x ) is a linearly increasing function of x, so let x = l 1 R 1 R 1 K 1 E 1 2 D + z b D μ 1 + A d 1 n E 2 s E 1 + a D + F z a b D .
If x < x , g x < 0 , d F y d y y = 0 < 0 and d F y d y y = 1 > 0 can be obtained, so y = 0 is an evolutionary stability strategy. If x > x , g x > 0 , d F y d y y = 0 > 0 and d F y d y y = 1 < 0 can be obtained, so y = 1 is an evolutionary stability strategy. To sum up, the phase diagram of the retailer’s strategic choice is shown in Figure 3.
When the initial strategy choice of the retailer is within V 21 , as shown in Figure 3b, g ( x ) < 0 , that is, when x < x , y = 0 is the stable point, at that time the retailer will choose the non-collaboration strategy. Therefore, when the probability of government supervision is relatively small, that is, the intensities of subsidizing the retailer’s emergency collaboration behavior and punishing non-collaboration behavior are relatively small, the retailer will perceive that the benefits of participating in collaboration are small so that the retailer will not implement the emergency collaboration strategy.
When the initial strategy choice of the retailer is within V 22 , as shown in Figure 3c, g ( x ) > 0 , that is, when x > x , y = 1 is the stable point, at that time the retailer will choose the collaboration strategy. Therefore, when the probability of government supervision is relatively increased, that is, the intensity of subsidizing the retailer’s emergency collaboration behavior and punishing non-collaboration behavior is relatively large. The retailer perceives increased benefits from participating in emergency collaboration and will be exempt from government punishment, so the retailer will implement the emergency collaboration strategy.
Proposition 2.
When other parameters remain unchanged, with the increase of A , s , F and b , or the decrease of D and n , the probability of the retailer choosing to participate in emergency collaboration will be inclined to 1.
Proof. 
Because x = l 1 R 1 R 1 K 1 E 1 2 D + z b D μ 1 + A d 1 n E 2 s E 1 + a D + F z a b D , with the increase of A , s , F and b , or the decrease of D and n , x will decrease, the stable cross-section in Figure 3a shifts down and leads to the volume of V 22 in Figure 3c to become larger, that is, the probability of the retailer participating in emergency collaboration increases. Because the stable point in the space V 22 is y = 1 , the probability that the retailer participating in emergency collaboration will tend to 1, which is proved. ☐
Therefore, when the retailer participates in emergency collaboration, the benefits are increased, or the subsidies from the government are increased, or the collaboration efficiency is increased when the supplier are combined, or the risks faced by the retailer are reduced, or the standards for subsidizing the supplier are reduced, or the government increases penalties for non-collaboration emergency response by enterprises, the retailer will choose the emergency collaboration strategy.

4.3. Stability Analysis of the Supplier’s Strategy

When F z = 0 and d F z d z < 0 , the supplier has a stable probability of response strategy choice. If x = l 2 R 2 R 2 K 2 E 2 2 D + y b D μ 2 + A d 2 + n E 2 s E 2 + a D + F y a b D , F z 0 and d F z d z 0 , indicating that any strategy chosen by the supplier is stable. If x l 2 R 2 R 2 K 2 E 2 2 D + y b D μ 2 + A d 2 + n E 2 s E 2 + a D + F y a b D , let F z = 0 , then we get two stable points z = 0 and z = 1 . To determine the positive and negative values at z = 0 and z = 1 , we construct an auxiliary function G ( x ) = l 2 R 2 R 2 K 2 E 2 2 D + x s E 2 + a D + F + y b D μ 2 + A d 2 + n E 2 x y a b D based on Equation (14), and we easily know G ( x ) is a linearly increasing function of x. so let x = l 2 R 2 R 2 K 2 E 2 2 D + y b D μ 2 + A d 2 + n E 2 s E 2 + a D + F y a b D .
If x < x , G x < 0 , d F z d z z = 0 < 0 and d F z d z z = 1 > 0 can be obtained, so z = 0 is an evolutionary stability strategy. If x > x , G x > 0 , d F z d z z = 0 > 0 and d F z d z z = 1 < 0 can be obtained, so z = 1 is an evolutionary stability strategy. To sum up, the phase diagram of the supplier’s strategic choice is shown in Figure 4.
When the initial strategy choice of the supplier is within V 31 , as shown in Figure 4b, G x < 0 , that is, when x < x , z = 0 is the stable point, at that time, the supplier will choose the non-collaboration strategy. Therefore, when the probability of government supervision is relatively small, that is, the intensity of subsidizing the supplier’s emergency collaboration behavior and punishing non-collaboration behavior are relatively small, the supplier will perceive that the benefits of participating in collaboration are small. So, the supplier will not implement the emergency collaboration strategy.
When the initial strategy choice of the supplier is within V 32 , as shown in Figure 4c, G x > 0 , that is, when x > x , z = 1 is the stable point, at that time, the supplier will choose the collaboration strategy. Therefore, when the probability of government supervision is relatively increased, that is, the intensity of subsidizing the supplier’s emergency collaboration behavior and punishing non-collaboration behavior is relatively large, the supplier perceives increased benefits from participating in emergency collaboration and will be exempt from government punishment. So, the supplier will implement the emergency collaboration strategy.
Proposition 3.
When other parameters remain unchanged, with the increase of A , s , F , b and n , or the decrease of D , the probability of the supplier choosing to participate in emergency collaboration will be inclined to 1.
Proof. 
Because x = l 2 R 2 R 2 K 2 E 2 2 D + y b D μ 2 + A d 2 + n E 2 s E 2 + a D + F y a b D , with the increase of A , s , F , b and n , or the decrease of D , x will decrease, the stable cross-section in Figure 4a shifts left and leads the volume of V 32 in Figure 4c to become larger, that is, the probability of the supplier participating in emergency collaboration increases. Because the stable point in the space V 32 is z = 1 , the probability that the supplier participating in emergency collaboration will tend to 1, which is proved. ☐
Therefore, when the supplier participates in emergency collaboration, the benefits are increased, or the subsidies from the government are increased, or the collaboration efficiency is increased when the retailer are combined, or the risks faced by the supplier are reduced, or the retailer’s subsidy standard are increased, or the government increases penalties for non-collaboration emergency response by enterprises, the supplier tends to choose the emergency collaboration strategy.

4.4. Stability Analysis of Strategy Combination of Three Game Subjects

The previous section analyzes the evolution process of the players’ strategies and the influencing factors of strategic choices from a single player’s perspective. However, when the crisis occurs, the strategic choices among the government, the retailer, and the supplier are mutually influenced, and the process of their strategic choices is dynamic over time. Therefore, it is of great significance to comprehensively study the interaction of multi-player strategies. According to the dynamic trends of the three participants, eight strategy combinations can be obtained, and the equilibrium state of each strategy combination is susceptible to the change of factors [44], as shown in Table 4.
Based on the emergency management life cycle theory, an epidemic crisis can be divided into four phases: mitigation, preparedness, response, and recovery [45]. China has developed a master plan that includes early warning, emergency response, and recovery for all major disasters. This study focuses on the response and recovery phases after a crisis. The crisis response phase emphasizes the effective actions taken to reduce the hazards of a crisis after it has occurred [46]. The crisis response phase into two sub-stages: (1) crisis recognition, which emphasizes the labeling and acceptance of the crisis event. (2) crisis containment, which emphasizes the coping strategies to resolve the crisis [47]. The crisis recovery phase emphasizes the return to normal operations and services after a crisis [48]. Therefore, in this study, we will divide the response phase of the crisis into two periods, namely the recognition period and the containment period. Further, we have pinpointed the periods following an epidemic outbreak into three main periods: the recognition period, the containment period, and the recovery period.
When an epidemic crisis has just occurred, the government will strictly supervise the retailer’s sales to maintain the stability of the supply of essential living materials. Meanwhile, the supplier responsible for provision cannot meet a large-scale demand in the market due to the limitation of technical equipment or emergency costs. Therefore, according to Table 4, the government chooses the supervision strategy, the retailer chooses the collaboration strategy, and the supplier chooses the non-collaboration strategy, then the strategy of the participants will be in equilibrium (1,1,0) in the recognition period. However, to fully meet market demand, the government will increase penalties for enterprises not participating in emergency collaboration and provide subsidies to encourage supply chain enterprises to participate. In addition, the retailer will also offer subsidies for the supplier to supply. Suppose the supplier realizes that participating in emergency collaboration with the retailer is beneficial. In that case, it can enjoy double subsidies from the government and the retailer, increase collaboration benefits, and avoid penalties. Therefore, in the containment period, the strategy of the participants will be in equilibrium (1,1,1) as the supplier chooses the collaboration strategy. However, in the recovery period, the strategy of the participants will be in equilibrium (0,1,1). The reason is that the epidemic crisis will have an impact on the sustainability of the supply chain, and even if the government is not involved in emergency supervision, the retailer and the supplier will take the initiative to adopt emergency collaboration strategies, which is an inevitable trend for the sustainability of the emergency supply chain.

5. Simulation of Evolutionary Game Model

This chapter simulates the dynamic evolution of strategic choices among the government, the retailer, and the supplier, and this chapter is contracted via the software MATLAB R2020b. Combined with the actual situation of China’s emergency supply chain management, the initial value of each parameter in the model is given. The details are as follows: C B = 15 , C G = 45 , R G = 110 , ω = 1.2 , L = 50 , a = 0.3 , b = 0.3 , s = 0.15 , n = 0.1 , l 1 = 1.2 , l 2 = 1.1 , R 1 = 75 , R 2 = 75 , K 1 = 0.15 , K 2 = 0.15 , E 1 = 7 , E 1 = 5 , D = 15 , F = 11 , μ 1 = 17 , μ 2 = 20 , d 1 = 0.5 , d 2 = 0.5 , and A = 20 . Meanwhile, the initial state of the emergency collaboration game system is set to (0.2,0.2,0.2).

5.1. Validation of Initial Values

It can be seen from Figure 5 that the system will evolve to a strategic combination (1,1,0) under the condition that the initial value is determined. This further proves that when an epidemic crisis occurs, the government conducts emergency supervision to meet the public’s demand for living materials, and the retailer participates in the supply of materials actively. However, the supplier cannot participate in emergency collaboration due to production conditions or other constraints such as cost and crisis risks. Moreover, it shows that the initial parameter assignment is effective and provides an important basis for further exploring the changes of critical parameter values to the emergency decision-making changes of the government, the retailer, and the supplier.

5.2. The Impact of the Government’s Subsidy Rate on Evolutionary Results

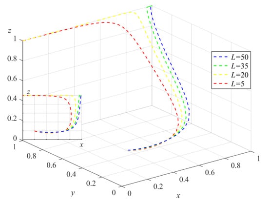
The government subsidy rate s is set to 0.15, 0.35, 0.55, and 0.75, and the corresponding evolutionary track of the emergency collaboration game system is shown in Figure 6. When the government subsidy rate remains between 0.15 and 0.35, the emergency collaboration game system is still the strategic combination (1,1,0). When the government subsidy rate increases to 0.55, the game system forms a strategic combination (1,1,1). However, when the subsidy rate increases to 0.75, the evolutionary path presents a loop, which means that the behavior strategies of the three participants are quite unstable.
The above results show that the subsidy rate provided by the government for the emergency behavior of supply chain enterprises should be kept within a specific range. A too-low subsidy rate is not conducive to encouraging supply chain enterprises to participate in emergency collaboration. If it is too high, it will lead to excessive financial pressure on the government, which is not conducive to government supervision.

5.3. The Impact of the Efficiency of the Government Supervision on Evolutionary Results

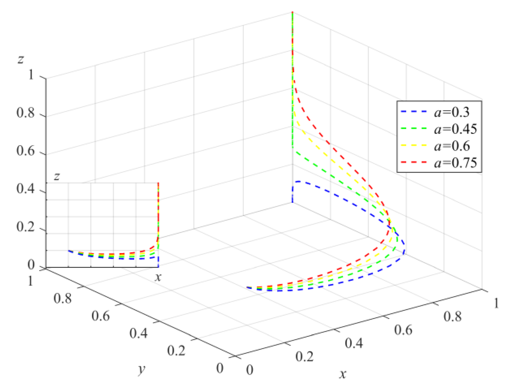
We set the efficiency of the government emergency supervision a to 0.3, 0.45, 0.6, and 0.75, representing the gradual increase in efficiency, and system evolution results are shown in Figure 7. As the efficiency of government emergency supervision gradually increases, the strategic combination of the system will eventually evolve from (1,1,0) to (1,1,1). Moreover, the more the value of a continues to increase, the faster the game system evolves to (1,1,1).
The above results suggest that the supplier will eventually participate in emergency collaboration. This shows that when the efficiency of government emergency supervision increases, the willingness of the government, the retailer, and the supplier to participate in emergency collaboration increases, and the supplier participating in emergency collaboration can get government subsidies and increased benefits. It can be seen that by adjusting the parameter values, the final equilibrium strategy of the participants can be changed, and sustainable development of the emergency supply chain can be achieved.

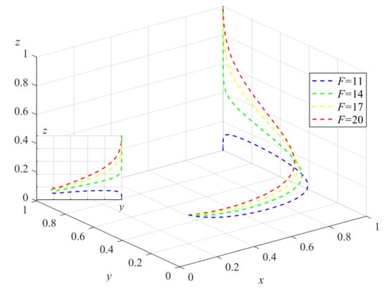
5.4. The Impact of the Government’s Punishment on Evolutionary Results

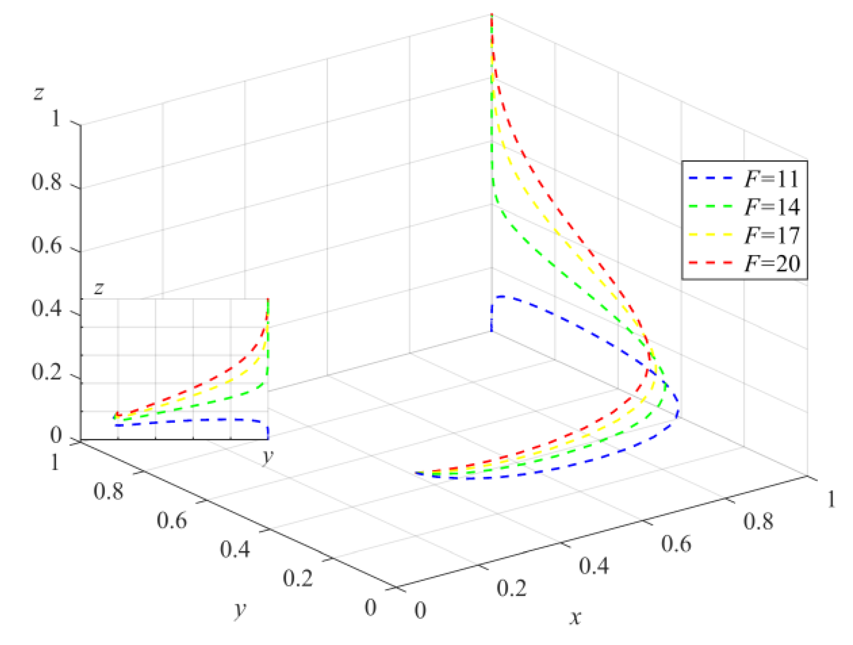
The government punishment F is set to 11, 14, 17, and 20, and the corresponding evolutionary track of the emergency collaboration game system is shown in Figure 8. With the gradual increase in government punishment, the strategic combination of the system will eventually evolve from (1,1,0) to (1,1,1). Also, as the value of F keeps increasing, the faster the game system evolves to (1,1,1).
The above results suggest that the supplier will eventually choose to participate in the emergency collaboration strategy as well. This shows that when the government increases the punishment, the supplier is more willing to participate in emergency collaboration, and this is because the supplier participating in the emergency collaboration can not only get government subsidies and increased benefits but also be exempted from excessive punishment. Compared with the change of the value of a in Figure 7, it can be seen that the penalty value F has a more substantial effect on the evolution of the three participants to the strategic combination (1,1,1).

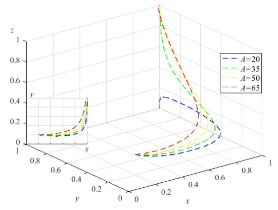
5.5. The Impact of the Collaboration Benefits on Evolutionary Results

The emergency collaboration benefits A are set to 20, 35, 50, and 65, and the evolution results of the emergency collaboration game system analyzed by simulation are shown in Figure 9. When the retailer and the supplier jointly participate in emergency collaboration, the strategic combination of the system will eventually evolve from (1,1,0) to (1,1,1) as the emergency collaboration benefits gradually increase. Also, the game system evolves to (1,1,1) faster as the value of A increases. However, at the same time, it can also be seen that the speed of the government evolution to 1 gradually slows down.
The above results show that the faster the supplier and the retailer evolve into the emergency collaboration strategy, the government may think that supply chain enterprises can spontaneously participate in emergency collaboration, so it may adopt the approach of withdrawing from emergency supervision.

5.6. The Impact of the Loss of the Government Performance on Evolutionary Results

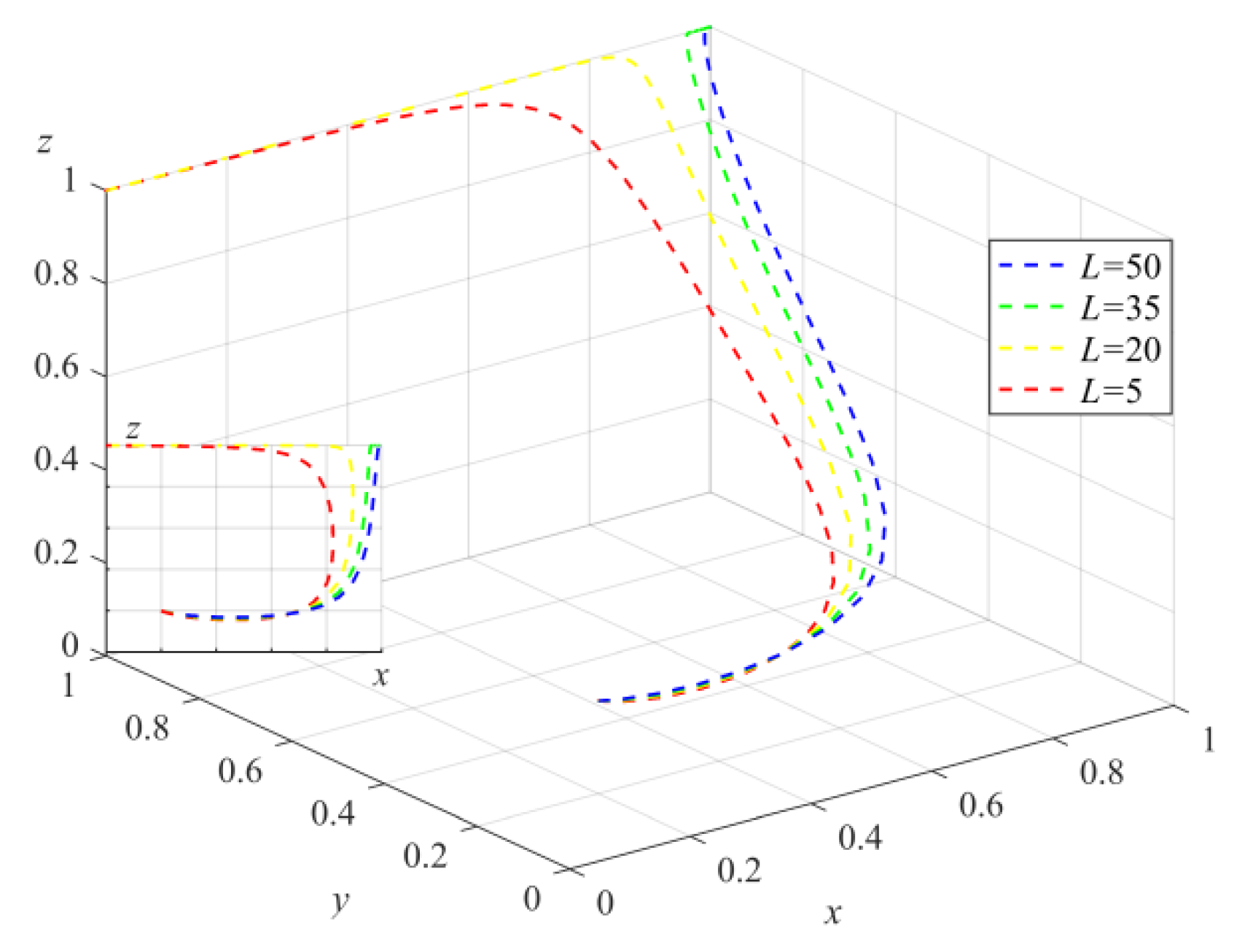
To further explore under what circumstances the government may withdraw from the emergency supervision strategy, we know from Figure 9 that the greater the collaboration benefit of supply chain enterprises, the slower the government’s strategy to evolve into supervision, so we set the value of A to be 65. The government crisis loss L gradually decreases from the initial value of 50, then set L to 50, 35, 20, and 5 to discuss the influence of the change of L value on the system evolution. As shown in Figure 10, we can see that when the L value is 20 or 5, the strategic combination of the system evolves to (0,1,1), and the smaller the L value, the faster the system evolves to the stable strategy.
The above results show that the government will not adopt the emergency supervision strategy when the collaboration benefits of supply chain enterprises are greater and the crisis losses are lower, which can give full play to the role of the market in spontaneous and collaborative emergency response and is more conducive to using emergency costs in other social welfare undertakings, this is the ideal situation.

5.7. The Impact of the Risk Loss of Enterprises Participating in Emergency Collaboration on Evolutionary Results

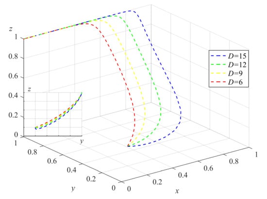
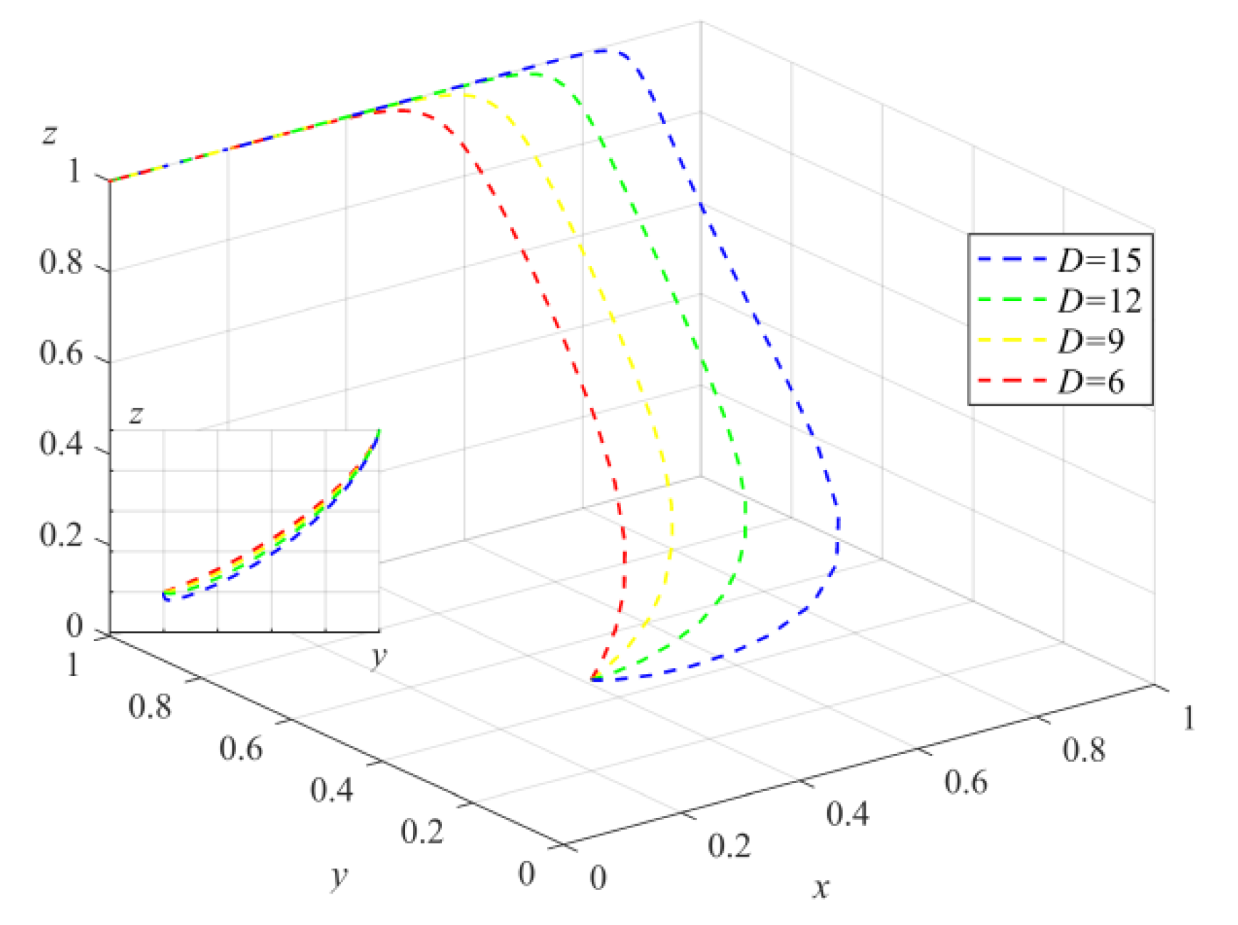
To further explore the conditions for promoting the spontaneous emergency collaboration of supply chain enterprises, we set the risk D of supply chain enterprises participating in emergency response to 15, 12, 9, and 6, and explore the impact of risk changes on system evolution. As shown in Figure 11, we can see that the lower the risk, the faster the strategic combination of the system evolves to (0,1,1).
The above results show that the higher the collaboration benefit, the lower the risk of supply chain enterprises participating in emergency response, and the more conducive the system is to evolve to a state where the government does not participate in emergency supervision, the retailer participates in emergency response and the supplier participates in emergency response.

5.8. The Impact of the Distribution Rate of Collaboration Benefits on Evolutionary Results

Although supply chain enterprises have higher benefits from participating in emergency collaboration and lower emergency risks the more supply chain enterprises can spontaneously participate in emergency collaboration, the distribution of collaboration benefits is also worthy of in-depth discussion. Because the retailer encourages the supplier to collaborate, we think the retailer will be more willing to allow the supplier to obtain more revenue share. In this case, we set up four cases of the retailer’s and the supplier’s benefit distribution rate, such as d 1 = 0.2 , d 2 = 0.8 , d 1 = 0.3 , d 2 = 0.7 , d 1 = 0.4 , d 2 = 0.6 , and d 1 = 0.5 , d 2 = 0.5 , and the evolution results are shown in Figure 12. It can be seen that in the two cases with a large difference in benefit distribution, such as d 1 = 0.2 , d 2 = 0.8 and d 1 = 0.3 , d 2 = 0.7 , the system evolution is very unstable, and the retailer and the supplier cannot form a stable state of spontaneous emergency collaboration. However, in the two cases where the difference between the two benefit distributions is insignificant, such as d 1 = 0.4 , d 2 = 0.6 and d 1 = 0.5 , d 2 = 0.5 , the system can reach (0,1,1), and the system evolves to the strategic combination at the fastest rate when the collaboration benefit is equally distributed.
The above results show that although the retailer is willing for the supplier to obtain more collaboration benefits, the more significant the difference in revenue distribution, the less the retailer gets from emergency collaboration, which is not conducive to the evolution of the system to a stable strategy. So, it is believed that the benefit distribution of emergency collaboration of supply chain enterprises can be appropriately expanded, and it is best to maintain a balanced situation, which is conducive to the evolution and stability of the system.

6. Discussion

The numerical simulations above show that there are three strategic combinations in the evolutionary process, which are (1) the system evolves to (1,1,0) in the recognition period of the crisis; (2) the system evolves to (1,1,1) in the containment period of the crisis; (3) the system evolves to (0,1,1) in the recovery period of the crisis, specifically:
(1)
In the recognition period of the crisis, the government will force the retailer to participate in the sales of emergency supplies. In contrast, the supplier will not participate in emergency collaboration due to the limitations of technology and emergency costs. It is further illustrated that the global outbreak of COVID-19 affects the production and supply of emergency medical supplies and their raw materials [49]. At this time, the initial strategy combination of the system is (1,1,0). As the supplier cannot proactively participate in emergency collaboration in the recognition period, governments should develop emergency plans in advance to more quickly facilitate the engagement of the supplier in emergency collaboration when an epidemic crisis occurs.
(2)
In the containment period of the crisis, we can see from Figure 6 that a high standard of government subsidy would be detrimental to the government’s emergency supervision. However, according to the simulation results in Figure 7 and Figure 8, the government can increase penalties and improve emergency supervision efficiency to encourage supply chain enterprises to participate in emergency collaboration. For example, after the COVID-19 pandemic, some Chinese enterprises were punished for not collaborating with the country’s emergency strategy [50]. Moreover, the government production subsidies of a certain standard for mask enterprises have already incentivized suppliers to supply emergency items effectively [51]. Therefore, the government should increase penalties, implement an appropriate emergency subsidy policy and improve the efficiency of emergency supervision in the containment period. These measures will facilitate the strategic combination of the system to evolve to (1,1,1).
(3)
In the recovery period of the crisis, Figure 9 shows that the government will phase out emergency supervision as the benefits of retailer and supplier participation in emergency collaboration continue to increase. Figure 10 further shows that the lower the government crisis loss, the more favorable it is for the government to adopt the non-supervision strategy. Moreover, Figure 11 and Figure 12 show that the weaker the risk of supply chain enterprises participating in emergency collaboration, the more reasonable the distribution of the collaboration benefits, and the more conducive it is for the retailer and the supplier to participate in emergency collaboration spontaneously. At the same time, the strategic combination of the system will evolve to (0,1,1). Therefore, when the collaboration benefits of supply chain enterprises’ participation in the emergency increase and lower losses from the crisis the government faces, the government should adopt a non-supervision strategy and focus more on other social services in the recovery period of the crisis. Moreover, supply chain enterprises should enhance their ability to resist crisis risks, build a suitable distribution mechanism for emergency collaboration benefits, and participate in emergency collaboration spontaneously.

7. Theoretical Contribution and Practical Implications

7.1. Theoretical Contribution

This study extends the current understanding of dynamic and sustainable collaboration in emergency supply chains with several important research dimensions. Most previous studies have considered government supervision to be a continuous process during crisis response and recovery. This study introduces the three main processes following the outbreak of an epidemic crisis in a simulation analysis using the emergency management life cycle theory, focusing on the positioning and role of government in the recognition period, containment period, and recovery period of the epidemic crisis, where the government can make effective crisis decisions in response to changes in the crisis. This provides a new perspective on the extension of the emergency management life cycle theory to the theory of government supervision in crisis response and recovery.
Most previous studies have placed particular emphasis on the fact that supply chain enterprises can spontaneously participate in emergency collaboration in the recognition period of a crisis without taking into account their pressures to participate, especially the inability of the supplier to participate in emergency collaboration at the beginning due to the cost of participation and technical pressures. This study highlights the important role of government subsidies and penalties and supply chain enterprises’ distribution of emergency benefits in promoting the supplier to participate in emergency collaboration. Therefore, this study can play an important role in further improving the government’s incentive and penalty system and the emergency supply chain collaboration mechanism.
Most of the previous literature on emergency collaboration through evolutionary game theory has focused on one strategy choice, ignoring how changes in the crisis affect the participants’ strategic choices. As the process of changing crisis hazard levels affects the choice of evolutionary stabilization strategies of the government, the retailer, and the supplier, this study goes beyond the dominant view of a single strategic choice and emphasizes the process of the diversity of participants’ strategic choices, which enriches the research on multiple strategy analysis based on evolutionary game theory.

7.2. Practical Implications

The government strengthens the formulation and implementation of emergency plans, promoting close collaboration, rapid response, and orderly implementation of emergency collaborative actions. Emphasis should be placed on the participation of suppliers in emergency collaboration as a key element of the emergency response plan, and the production supervision of suppliers should be strengthened. The government should establish a reasonable reward and punishment mechanism [37]. For example, increasing the punishment for supply chain enterprises not participating in emergency collaboration will force them to participate. Improving the emergency subsidy standard encourages supply chain enterprises to participate actively, but the subsidy standard should not be too large. Otherwise, it will increase the government’s financial pressure, which is not conducive to the emergency collaboration of the three participants. If the collaboration benefits of the retailer and the supplier participating in emergency services increase, the government can decide whether to withdraw from emergency supervision according to the size of the crisis. We believe that supply chain enterprises can spontaneously participate in emergency collaboration in the recovery period of the crisis, and the government should withdraw from emergency supervision and focus on providing other social services to improve its comprehensive service capabilities at this time.
The retailer should stick to the strategy of participating in the emergency collaboration. The retailer plays an important role in emergency response by participating in emergency collaboration in all three periods of the epidemic crisis, as opposed to the government and the supplier, because it is the most direct way for residents to purchase emergency items. We believe that retailers should stick to the strategy of subsidizing suppliers in order to incentivize suppliers to participate in emergency collaboration effectively. For the supplier of emergency items, although due to the cost of participation and technical pressure, it cannot provide emergency items promptly after the crisis, both the government and retailer have implemented active measures to encourage the supplier to participate in the emergency collaboration. We believe that with the help of the government and the retailer, the supplier should make a timely and rapid emergency investment to enhance the supply capacity of emergency items.
A good communication mechanism should be established between supply chain enterprises, especially between the ability to resist crisis risks, emergency collaboration benefits, and the distribution of collaboration benefits, which also contributes to the sustainable development of emergency supply chain collaboration. Because of good communication and exchange, retailers and suppliers will have fewer conflicts of interest in emergency collaboration and can participate in emergency collaboration effectively. The government should also strengthen communication with retailers and suppliers to guide and encourage supply chain enterprises to implement effective emergency collaboration in response to crisis changes promptly.

8. Conclusions

Aiming to realize sustainable emergency collaboration of supply chain enterprises in the epidemic crisis response and recovery phases, we introduce evolutionary game theory into emergency collaboration, which is an attempt to describe the impact of parameter changes on the dynamics among the government, the retailer, and the supplier. This study’s model assumptions and parameter settings are derived from a consistent description of China’s emergency collaboration practice. However, the research results still have a particular practical reference value for all world countries to improve the effectiveness of emergency collaboration.
(1)
According to the hazard level of the crisis, there are three strategic combinations for the government, the retailer, and the supplier in the recognition period, the containment period, and the recovery period of the crisis, respectively (1,1,0), (1,1,1), (0,1,1), and the evolution of the three strategic combinations is a gradual process.
(2)
For the government, a low subsidy rate can promote the supplier’s participation in emergency collaboration. If the subsidy rate is too high, it will lead to a disorderly evolution of the system. However, the penalty rate adopted by the government can be continuously increased, and the increase in penalty will positively affect the participation of supply chain enterprises in emergency collaboration. An increase in the efficiency of government emergency supervision will also promote the effective participation of supply chain enterprises in emergency collaboration. All these government measures can facilitate a transformation of the system’s strategic combination from (1,1,0) to (1,1,1).
(3)
For supply chain enterprises, the system’s strategic combination can also be transformed from (1,1,0) to (1,1,1) when the collaborative benefits of participation in emergency collaboration increase. However, retailer and supplier participation in emergency collaboration can be spontaneous under certain conditions. These conditions include a significant reduction in government crisis losses, a reduction in the risk faced by supply chain enterprises participating in emergency collaboration, and a balanced distribution of emergency collaborative benefits. Under these conditions, the system’s strategic combination will be transformed from (1,1,1) to (0,1,1).
On this basis, this study puts forward sustainable emergency supply chain collaboration modes and several suggestions for different periods in the epidemic crisis. Namely, since the supplier cannot participate in emergency collaboration, the government should formulate emergency plans to bring the supplier into supervision in the recognition period of the crisis. In the containment period of the crisis, the government should provide appropriate emergency subsidies, increase penalties and improve the efficiency of emergency supervision to encourage the supplier to participate in the emergency collaboration. In the recovery period of the crisis, the focus should be on establishing mechanisms to distribute collaborative benefits between supply chain enterprises. Therefore, this study helps to advance the understanding of the collaborative process of the emergency supply chain in China during different periods of the crisis, and the results of this study can be extended to other countries to help China and even other countries overcome the crisis effectively. In addition, although this study focuses on collaborative treatment plans and measures in the event of an epidemic, for all other crises, in order to effectively deal with the impact of the various crises that occur on the lives of the residents and maintain the normal functioning of the state and society, the government should also plan ahead for emergency response and take the necessary incentives and penalties to promote the participation of supply chain enterprises in emergency collaboration.
This study also has some limitations, which deserve further research. Firstly, this study does not consider whether the government provides tax relief to supply chain enterprises participating in the emergency collaboration. Future research could consider the role of tax incentives in emergency collaboration in constructing the model. Secondly, opportunity costs may affect supply chain enterprises’ willingness to participate in emergency collaboration. This study does not consider the existence of opportunity costs, and future research can consider whether changes in opportunity costs may impact supply chain enterprises’ choice of collaboration during different periods of an epidemic crisis. Finally, due to the large number of subjects affecting emergency collaboration in the supply chain, this paper only studies the game relationship among the government, the retailer, and the supplier. It does not examine the impact of changing consumer demand on emergency collaboration in the course of a changing epidemic crisis. Future research can include consumers as one side of the game to further enrich the research subjects.

Author Contributions

Conceptualization, J.W. and Y.H.; methodology, Y.H. and W.Q.; software, Y.H.; validation, Y.H., W.Q. and L.M.; formal analysis, investigation, and resources, J.W. and W.Q.; data curation, Y.H.; writing—original draft preparation, Y.H. and L.M.; writing—review and editing, Y.H.; visualization, J.W.; supervision, W.Q.; project administration, funding acquisition, J.W. All authors have read and agreed to the published version of the manuscript.

Funding

This research received no external funding.

Institutional Review Board Statement

Not applicable.

Informed Consent Statement

Not applicable.

Data Availability Statement

Not applicable.

Acknowledgments

The authors sincerely thank the editors and reviewers for their valuable comments and suggestions to help improve and enhance the quality of our manuscript.

Conflicts of Interest

The authors declare no conflict of interest.

References

  1. Özdamar, L.; Ekinci, E.; Küçükyazici, B. Emergency logistics planning in natural disasters. Ann. Oper. Res. 2004, 129, 217–245. [Google Scholar] [CrossRef]
  2. Wang, Y.; Peng, S.; Xu, M. Emergency logistics network design based on space–time resource configuration. Knowl.-Based Syst. 2021, 223, 107041. [Google Scholar] [CrossRef]
  3. Ergün, S.; Usta, P.; Gök, S.Z.A.; Weber, G.W. A game theoretical approach to emergency logistics planning in natural disasters. Ann. Oper. Res. 2021, 1–14. [Google Scholar] [CrossRef]
  4. Dwivedi, Y.K.; Shareef, M.A.; Mukerji, B.; Rana, N.P.; Kapoor, K.K. Involvement in emergency supply chain for disaster management: A cognitive dissonance perspective. Int. J. Prod. Res. 2018, 56, 6758–6773. [Google Scholar] [CrossRef]
  5. Shareef, M.A.; Dwivedi, Y.K.; Mahmud, R.; Wright, A.; Rahman, M.M.; Kizgin, H.; Rana, N.P. Disaster management in Bangladesh: Developing an effective emergency supply chain network. Ann. Oper. Res. 2019, 283, 1463–1487. [Google Scholar] [CrossRef]
  6. De Perio, M.A.; Dowell, C.H.; Delaney, L.J.; Radonovich, L.J.; Kuhar, D.T.; Gupta, N.; Patel, A.; Pillai, S.K.; D’Alessandro, M. Strategies for optimizing the supply of N95 filtering facepiece respirators during the coronavirus disease 2019 (COVID-19) pandemic. Disaster Med. Public Health Prep. 2020, 14, 658–669. [Google Scholar] [CrossRef] [PubMed]
  7. Wu, H.L.; Huang, J.; Zhang, C.J.; He, Z.; Ming, W.K. Facemask shortage and the novel coronavirus disease (COVID-19) outbreak: Reflections on public health measures. EClinicalMedicine 2020, 21, 100329. [Google Scholar] [CrossRef]
  8. Raeymaeckers, P.; Vermeiren, C.; Noël, C.; Van Puyvelde, S.; Willems, J. The governance of public–nonprofit service networks: A comparison between three types of governance roles. Voluntas 2020, 31, 1037–1048. [Google Scholar] [CrossRef]
  9. Patel, A.; D’Alessandro, M.M.; Ireland, K.J.; Burel, W.G.; Wencil, E.B.; Rasmussen, S.A. Personal protective equipment supply chain: Lessons learned from recent public health emergency responses. Health Secur. 2017, 15, 244–252. [Google Scholar] [CrossRef]
  10. Shao, J.; Krishnan, H.; McCormick, S.T. Incentives for transshipment in a supply chain with decentralized retailers. Manuf. Serv. Oper. Manag. 2011, 13, 361–372. [Google Scholar] [CrossRef]
  11. Li, M.; Li, T. Consumer search, transshipment, and bargaining power in a supply chain. Int. J. Prod. Res. 2018, 56, 3423–3438. [Google Scholar] [CrossRef]
  12. Xiao, T.; Yu, G.; Sheng, Z.; Xia, Y. Coordination of a supply chain with one-manufacturer and two-retailers under demand promotion and disruption management decisions. Ann. Oper. Res. 2005, 135, 87–109. [Google Scholar] [CrossRef]
  13. Behzadi, G.; O’Sullivan, M.J.; Olsen, T.L.; Zhang, A. Allocation flexibility for agribusiness supply chains under market demand disruption. Int. J. Prod. Res. 2018, 56, 3524–3546. [Google Scholar] [CrossRef]
  14. Lee, H.L. The triple-A supply chain. Harv. Bus. Rev. 2004, 82, 102–113. [Google Scholar]
  15. Huang, S.; Yang, C.; Zhang, X. Pricing and production decisions in dual-channel supply chains with demand disruptions. Comput. Ind. Eng. 2012, 62, 70–83. [Google Scholar] [CrossRef]
  16. Hobbs, J.E. Food supply chains during the COVID-19 pandemic. Can. J. Agric. Econ. 2020, 68, 171–176. [Google Scholar] [CrossRef]
  17. Xie, K.; Zhu, S.; Gui, P. A Game-Theoretic Approach for CSR Emergency Medical Supply Chain during COVID-19 Crisis. Sustainability 2022, 14, 1315. [Google Scholar] [CrossRef]
  18. Xiang, L. Energy emergency supply chain collaboration optimization with group consensus through reinforcement learning considering non-cooperative behaviours. Energy 2020, 210, 118597. [Google Scholar] [CrossRef]
  19. Yan, B.; Chen, X.; Yuan, Q.; Zhou, X. Sustainability in fresh agricultural product supply chain based on radio frequency identification under an emergency. Cent. Eur. J. Oper. Res. 2020, 28, 1343–1361. [Google Scholar] [CrossRef]
  20. Fathalikhani, S.; Hafezalkotob, A.; Soltani, R. Government intervention on cooperation, competition, and coopetition of humanitarian supply chains. Socio-Econ. Plan. Sci. 2020, 69, 100715. [Google Scholar] [CrossRef]
  21. Shangguan, Z.; Wang, M.Y.; Sun, W. What caused the outbreak of COVID-19 in China: From the perspective of crisis management. Int. J. Environ. Res. Public Health 2020, 17, 3279. [Google Scholar] [CrossRef]
  22. Flaherty, J.H.; Dong, B.; Wu, H.; Zhang, Y.; Guralnik, J.M.; Malmstrom, T.K.; Morley, J.E. Observational study of 1-year mortality rates before and after a major earthquake among Chinese nonagenarians. J. Gerontol. Ser. A 2011, 66, 355–361. [Google Scholar] [CrossRef]
  23. Waugh, W.L., Jr.; Streib, G. Collaboration and leadership for effective emergency management. Public Admin. Rev. 2006, 66, 131–140. [Google Scholar] [CrossRef]
  24. Wang, F.; Xie, Z.; Liu, H.; Pei, Z.; Liu, D. Multiobjective Emergency Resource Allocation under the Natural Disaster Chain with Path Planning. Int. J. Environ. Res. Public Health 2022, 19, 7876. [Google Scholar] [CrossRef]
  25. Pradana, M.; Rubiyanti, N.; Hasbi, I.; Utami, D.G. Indonesia’s fight against COVID-19: The roles of local government units and community organisations. Local Environ. 2020, 25, 741–743. [Google Scholar] [CrossRef]
  26. Chen, H.; Wang, Z.; Yu, X. Sustainability Strategies of Equipment Introduction and Overcapacity Risk Sharing in Mask Emergency Supply Chains during Pandemics. Sustainability 2021, 13, 10355. [Google Scholar] [CrossRef]
  27. Chen, T.; Peng, L.; Yang, J.; Cong, G.; Li, G. Evolutionary game of multi-subjects in live streaming and governance strategies based on social preference theory during the COVID-19 pandemic. Mathematics 2021, 9, 2743. [Google Scholar] [CrossRef]
  28. Yu, X.; Li, N. How did Chinese government implement unconventional measures against COVID-19 pneumonia. Risk Manag. Healthc. Policy 2020, 13, 491. [Google Scholar] [CrossRef] [PubMed]
  29. Li, C.; Zhang, F.; Cao, C.; Liu, Y.; Qu, T. Organizational coordination in sustainable humanitarian supply chain: An evolutionary game approach. J. Clean. Prod. 2019, 219, 291–303. [Google Scholar] [CrossRef]
  30. Kang, K.; Zhao, Y.; Zhang, J.; Qiang, C. Evolutionary game theoretic analysis on low-carbon strategy for supply chain enterprises. J. Clean. Prod. 2019, 230, 981–994. [Google Scholar] [CrossRef]
  31. Zhao, H.; Ma, L. Evolutionary Game and Simulation Research of Blockchain-Based Co-Governance of Emergency Supply Allocation. Discret. Dyn. Nat. Soc. 2022, 2022, 7309945. [Google Scholar] [CrossRef]
  32. Qiu, Y.; Shi, X.L.; Hua, G.W. Regional cooperative strategies for emergency response to accidents and disasters under longitudinal administrative constraint—Case study in Beijing-Tianjin-Hebei region. Manag. Rev. 2019, 31, 240–249. [Google Scholar]
  33. Xu, Y.; Yu, B.; Wang, Y.; Chen, Y. A stochastic evolutionary game perspective on the stability of strategic alliances against external opportunism. J. Syst. Sci. Complex. 2015, 28, 978–996. [Google Scholar] [CrossRef]
  34. Shi, Q.; Zhu, J.; Li, Q. Cooperative evolutionary game and applications in construction supplier tendency. Complexity 2018, 2018, 8401813. [Google Scholar] [CrossRef]
  35. Li, Y.; Ding, Y. Research on social trust repair of public crisis governance under network public opinion—Based on an empirical analysis of evolutionary game of animal epidemic public crisis. J. Public Manag. 2017, 4, 91–101. [Google Scholar]
  36. Liu, J.; Dong, C.; An, S.; Guo, Y. Research on the natural hazard emergency cooperation behavior between governments and social organizations based on the hybrid mechanism of incentive and linkage in China. Int. J. Environ. Res. Public 2021, 18, 13064. [Google Scholar] [CrossRef]
  37. Fan, R.; Wang, Y.; Lin, J. Study on multi-agent evolutionary game of emergency management of public health emergencies based on dynamic rewards and punishments. Int. J. Environ. Res. Public Health 2021, 18, 8278. [Google Scholar] [CrossRef]
  38. Zhang, M.; Kong, Z. A tripartite evolutionary game model of emergency supplies joint reserve among the government, enterprise and society. Comput. Ind. Eng. 2022, 169, 108132. [Google Scholar] [CrossRef]
  39. Liu, J.; Song, Y.; An, S.; Dong, C. How to improve the cooperation mechanism of emergency rescue and optimize the cooperation strategy in China: A tripartite evolutionary game model. Int. J. Environ. Res. Public Health 2022, 19, 1326. [Google Scholar] [CrossRef]
  40. Zare, H.; Tavana, M.; Mardani, A.; Masoudian, S.; Saraji, M.K. A hybrid data envelopment analysis and game theory model for performance measurement in healthcare. Health Care Manag. Sci. 2019, 22, 475–488. [Google Scholar] [CrossRef]
  41. Wang, T.; Li, C.; Yuan, Y.; Liu, J.; Adeleke, I.B. An evolutionary game approach for manufacturing service allocation management in cloud manufacturing. Comput. Ind. Eng. 2019, 133, 231–240. [Google Scholar] [CrossRef]
  42. Roca, C.P.; Cuesta, J.A.; Sánchez, A. Evolutionary game theory: Temporal and spatial effects beyond replicator dynamics. Phys. Life Rev. 2009, 6, 208–249. [Google Scholar] [CrossRef]
  43. Peng, X.; Wang, F.; Wang, J.; Qian, C. Research on Food Safety Control Based on Evolutionary Game Method from the Perspective of the Food Supply Chain. Sustainability 2022, 14, 8122. [Google Scholar] [CrossRef]
  44. Zhang, G.; Wang, X.; Wang, Y.; Kang, J. Research on the Resilient Evolutionary Game of Logistics Service Supply Chain with Government Participation. Mathematics 2022, 10, 630. [Google Scholar] [CrossRef]
  45. Ahmed, V.; Opoku, A. Technology supported learning and pedagogy in times of crisis: The case of COVID-19 pandemic. Educ. Inf. Technol. 2022, 27, 365–405. [Google Scholar] [CrossRef]
  46. Cutter, S.L. GI science, disasters, and emergency management. Trans. GIS 2003, 7, 439–446. [Google Scholar] [CrossRef]
  47. Pan, P.L.; Meng, J. Media frames across stages of health crisis: A crisis management approach to news coverage of flu pandemic. J. Contingencies Crisis Manag. 2016, 24, 95–106. [Google Scholar] [CrossRef]
  48. Natarajarathinam, M.; Capar, I.; Narayanan, A. Managing supply chains in times of crisis: A review of literature and insights. Int. J. Phys. Distrib. Logist. Manag. 2009, 39, 535–573. [Google Scholar] [CrossRef]
  49. Wang, X.; Wu, W.; Song, P.; He, J. An international comparison analysis of reserve and supply system for emergency medical supplies between China, the United States, Australia, and Canada. Biosci. Trends 2020, 14, 231–240. [Google Scholar] [CrossRef]
  50. Cheng, X. Soft Law in the Prevention and Control of the COVID-19 Pandemic in China: Between Legality Concerns and Limited Participatory Possibilities. Eur. J. Risk Regul. 2021, 12, 7–25. [Google Scholar] [CrossRef]
  51. Tian, W. How China managed the COVID-19 pandemic. Asian Econ. Pap. 2021, 20, 75–101. [Google Scholar] [CrossRef]
Figure 1. The mechanisms for the government, the retailer, and the supplier to act on emergency response.
Figure 1. The mechanisms for the government, the retailer, and the supplier to act on emergency response.
Sustainability 14 11893 g001
Figure 2. The phase diagram of the government’s strategic choice. (a) z = z ; (b) z < z ; (c) z > z .
Figure 2. The phase diagram of the government’s strategic choice. (a) z = z ; (b) z < z ; (c) z > z .
Sustainability 14 11893 g002
Figure 3. The phase diagram of the retailer’s strategic choice. (a) x = x ; (b) x < x ; (c) x > x .
Figure 3. The phase diagram of the retailer’s strategic choice. (a) x = x ; (b) x < x ; (c) x > x .
Sustainability 14 11893 g003
Figure 4. The phase diagram of the supplier’s strategic choice. (a) x = x ; (b) x < x ; (c) x > x .
Figure 4. The phase diagram of the supplier’s strategic choice. (a) x = x ; (b) x < x ; (c) x > x .
Sustainability 14 11893 g004
Figure 5. Equilibrium results of the tripartite evolutionary game with a fixed initial value.
Figure 5. Equilibrium results of the tripartite evolutionary game with a fixed initial value.
Sustainability 14 11893 g005
Figure 6. The impact of different values of s on evolutionary results.
Figure 6. The impact of different values of s on evolutionary results.
Sustainability 14 11893 g006
Figure 7. The impact of different values of a on evolutionary results.
Figure 7. The impact of different values of a on evolutionary results.
Sustainability 14 11893 g007
Figure 8. The impact of different values of F on evolutionary results.
Figure 8. The impact of different values of F on evolutionary results.
Sustainability 14 11893 g008
Figure 9. The impact of different values of A on evolutionary results.
Figure 9. The impact of different values of A on evolutionary results.
Sustainability 14 11893 g009
Figure 10. The impact of different values of L on evolutionary results.
Figure 10. The impact of different values of L on evolutionary results.
Sustainability 14 11893 g010
Figure 11. The impact of different values of D on evolutionary results.
Figure 11. The impact of different values of D on evolutionary results.
Sustainability 14 11893 g011
Figure 12. The impact of different values of d 1 and d 2 on evolutionary results.
Figure 12. The impact of different values of d 1 and d 2 on evolutionary results.
Sustainability 14 11893 g012
Table 1. Definition of parameters.
Table 1. Definition of parameters.
SymbolDefinition
R G The government fixed benefit.
C G The government emergency supervision cost.
C B The fundamental administrative cost of the government’s non-supervision.
R 1 The retailer’s fundamental benefit.
R 2 The supplier’s fundamental benefit.
E 1 The emergency investment cost of the retailer participating in emergency collaboration.
E 2 The emergency investment cost of the supplier participating in emergency collaboration.
K 1 The factor for converting the emergency investment cost to the operating cost for the retailer.
K 2 The factor for converting the emergency investment cost to the operating cost for the supplier.
L Loss of government performance under significant risks.
D Risk loss of supply chain enterprises participating in emergency.
s The government’s subsidy rate for supply chain enterprises participating in emergency collaboration.
n The retailer’s subsidy rate for the supplier participating in emergency collaboration.
ω Benefit increase rate of the government participating in emergency supervision.
l 1 Benefit increase rate of the retailer participating in emergency collaboration.
l 2 Benefit increase rate of the supplier participating in emergency collaboration.
a The efficiency of the government participating in emergency supervision.
b The efficiency of supply chain enterprises participating in emergency collaboration.
μ 1 The free-rider benefit of the retailer not participating in emergency collaboration.
μ 2 The free-rider benefit of the supplier not participating in emergency collaboration.
F The government’s punishment for enterprises not participating in emergency collaboration.
A The collaboration benefits of both the retailer and the supplier participating in emergency collaboration.
d 1 The distribution rate of collaboration benefits to the retailer.
d 2 The distribution rate of collaboration benefits to the supplier.
Table 2. The payoff matrix under the government participating in emergency supervision.
Table 2. The payoff matrix under the government participating in emergency supervision.
The government
Supervision   x
The retailerCollaboration
y
The supplierCollaboration
z
ω R G C G s E 1 s E 2 1 a L
l 1 R 1 + A d 1 1 a 1 b D K 1 E 1 2 + s E 1 n E 2
l 2 R 2 + A d 2 1 a 1 b D K 2 E 2 2 + s E 2 + n E 2
Non-collaboration
1 z
ω R G C G s E 1 1 a L + F
l 1 R 1 1 a D K 1 E 1 2 + s E 1
R 2 + μ 2 F
Non-collaboration
1 y
The supplierCollaboration
z
ω R G C G s E 2 1 a L + F
R 1 + μ 1 F
l 2 R 2 1 a D K 2 E 2 2 + s E 2
Non-collaboration
1 z
ω R G C G L + 2 F
R 1 F
R 2 F
Table 3. The payoff matrix under the government not participating in emergency supervision.
Table 3. The payoff matrix under the government not participating in emergency supervision.
The government
Non - supervision   1 x
The retailerCollaboration
y
The supplierCollaboration
z
R G C B L
l 1 R 1 + A d 1 1 b D K 1 E 1 2 n E 2
l 2 R 2 + A d 2 1 b D K 2 E 2 2 + n E 2
Non-collaboration
1 z
R G C B L
l 1 R 1 D K 1 E 1 2
R 2 + μ 2
Non-collaboration
1 y
The supplierCollaboration
z
R G C B L
R 1 + μ 1
l 2 R 2 D K 2 E 2 2
Non-collaboration
1 z
R G C B L
R 1
R 2
Table 4. Game strategic choices of the government, the retailer, and the supplier.
Table 4. Game strategic choices of the government, the retailer, and the supplier.
Strategy setsThe government
SupervisionNon-supervision
The retailerCollaborationThe supplierCollaboration(1,1,1)(0,1,1)
Non-collaboration(1,1,0)(0,1,0)
Non-collaborationThe supplierCollaboration(1,0,1)(0,0,1)
Non-collaboration(1,0,0)(0,0,0)
Publisher’s Note: MDPI stays neutral with regard to jurisdictional claims in published maps and institutional affiliations.

Share and Cite

MDPI and ACS Style

Wang, J.; Hu, Y.; Qu, W.; Ma, L. Research on Emergency Supply Chain Collaboration Based on Tripartite Evolutionary Game. Sustainability 2022, 14, 11893. https://doi.org/10.3390/su141911893

AMA Style

Wang J, Hu Y, Qu W, Ma L. Research on Emergency Supply Chain Collaboration Based on Tripartite Evolutionary Game. Sustainability. 2022; 14(19):11893. https://doi.org/10.3390/su141911893

Chicago/Turabian Style

Wang, Jiguang, Yushang Hu, Weihua Qu, and Liuxin Ma. 2022. "Research on Emergency Supply Chain Collaboration Based on Tripartite Evolutionary Game" Sustainability 14, no. 19: 11893. https://doi.org/10.3390/su141911893

APA Style

Wang, J., Hu, Y., Qu, W., & Ma, L. (2022). Research on Emergency Supply Chain Collaboration Based on Tripartite Evolutionary Game. Sustainability, 14(19), 11893. https://doi.org/10.3390/su141911893

Note that from the first issue of 2016, this journal uses article numbers instead of page numbers. See further details here.

Article Metrics

Back to TopTop