Method of Predicting SOH and RUL of Lithium-Ion Battery Based on the Combination of LSTM and GPR
Abstract
1. Introduction
2. Health Factor Selection and Optimization
2.1. Extracting Health Factors
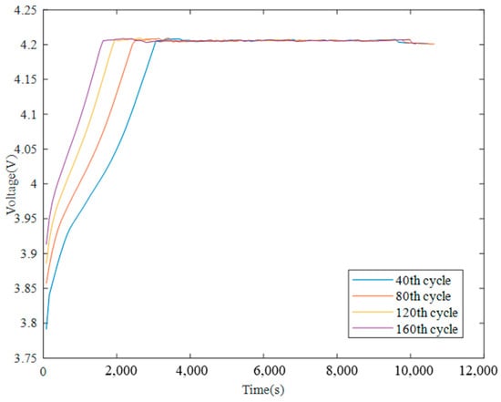
- HF1: the time of voltage rising from 3.9 to 4.2 V during CC charging;
- HF2: voltage increase within 600 s after reaching 3.9 V in CC charging process;
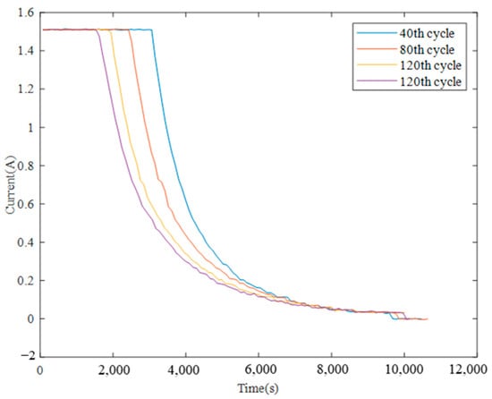
- HF3: current reduction within 900 s after entering CV charging process.
2.2. Selecting Health Factors
3. SOH and RUL Prediction
3.1. GPR Model
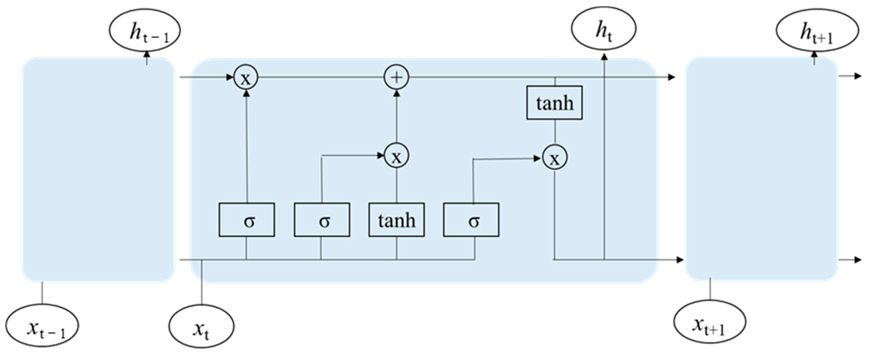
3.2. LSTM
- Input gate determines how much of the input data of the network needs to be saved to the unit state at the current moment;
- Forgetting gate determines how much unit state at the previous moment needs to be retained at the current moment;
- Output gate controls how much current unit state needs to be output at the current moment.
- Calculate the output value of LSTM cells according to the forward calculation method Formulas (15–19);
- Calculate the error term of each LSTM cell backwards, with directions of time and network level;
- Calculate the gradient of each weight value according to the corresponding error term;
- The weight value is updated by optimization algorithm for gradient.
3.3. Structure of SOH and RUL Prediction
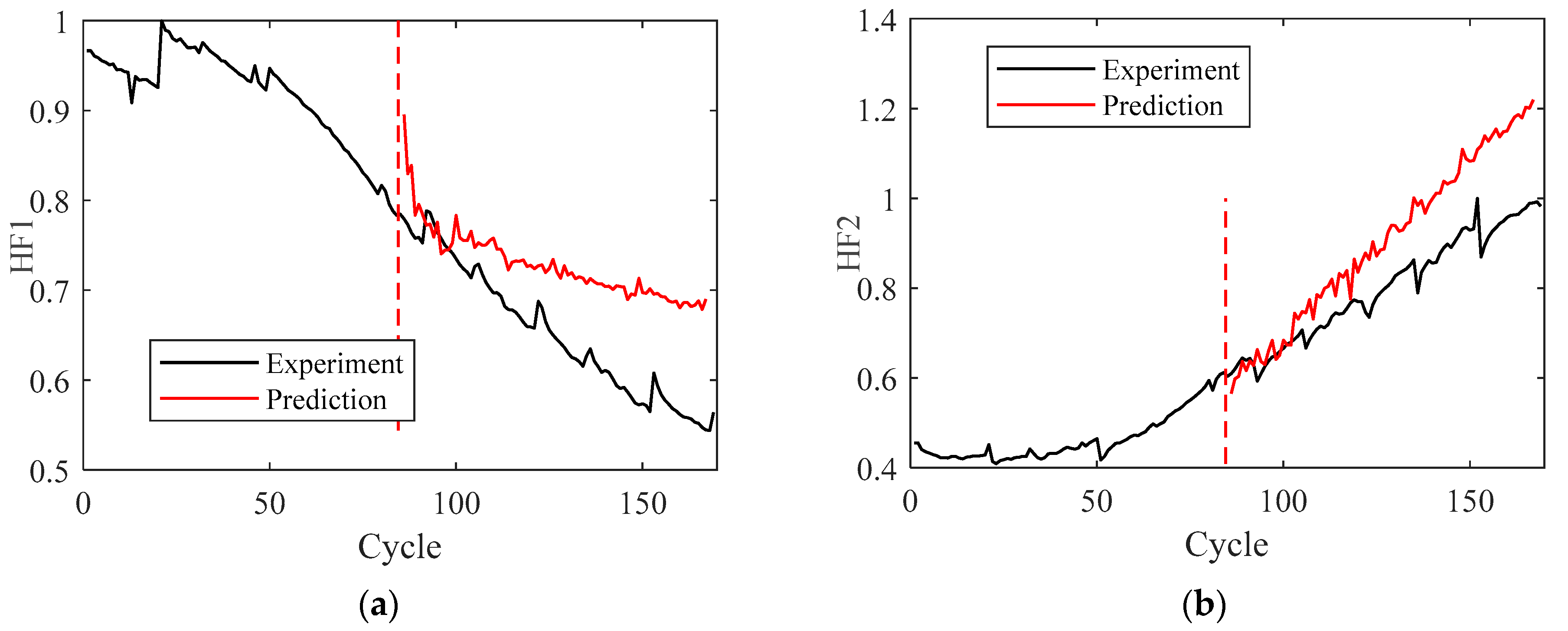
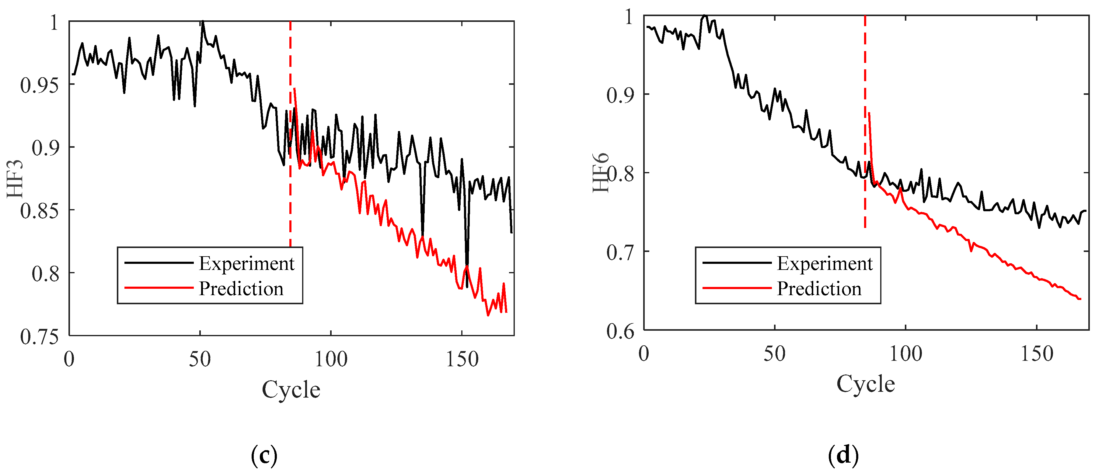
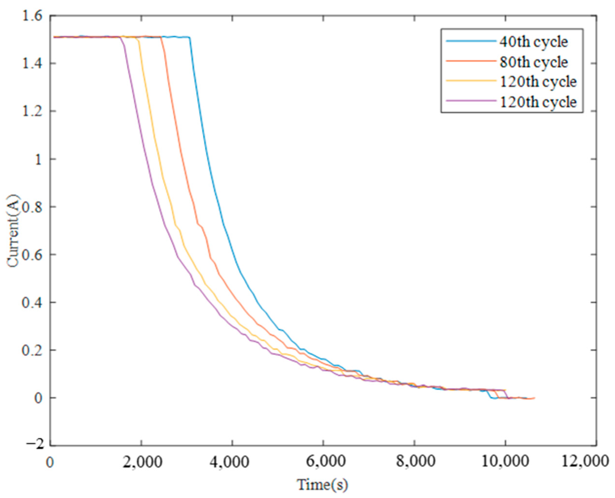
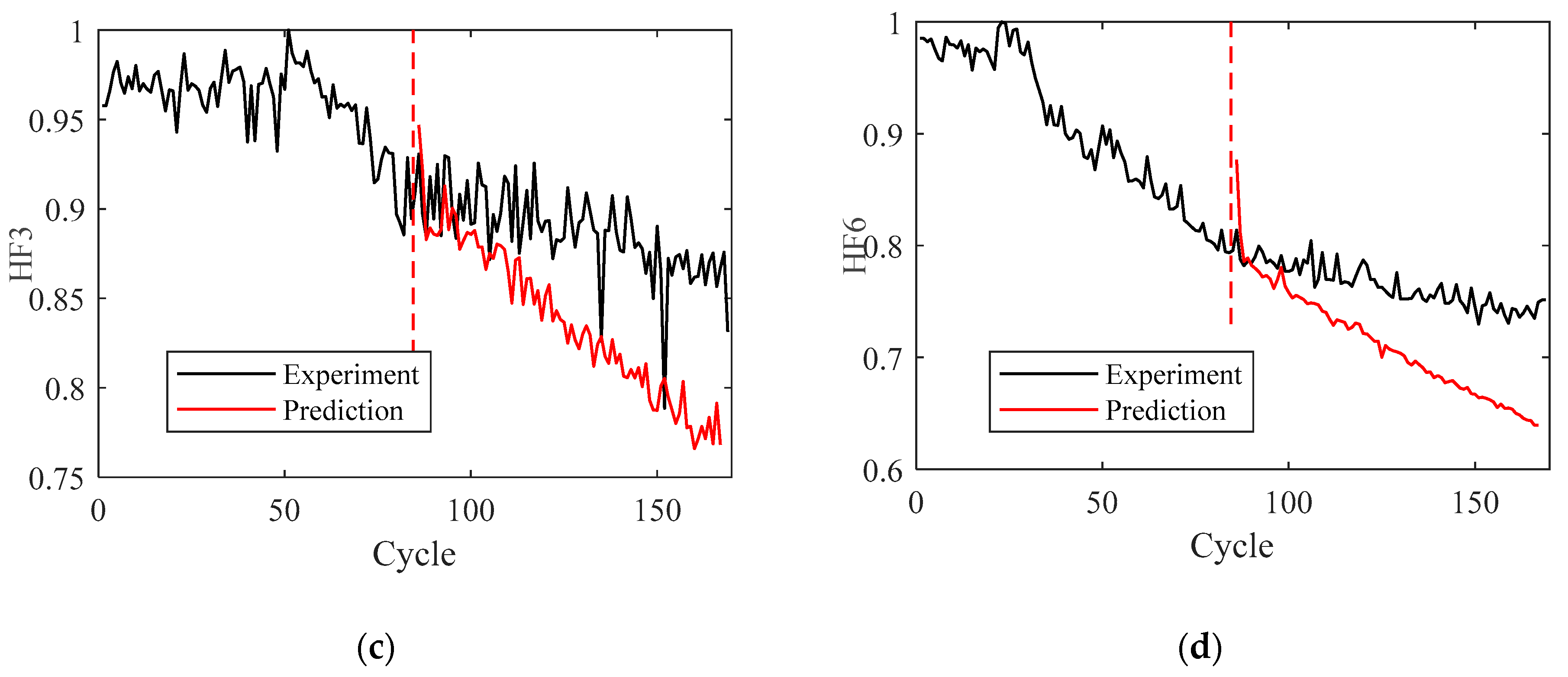
4. Results
5. Conclusions
Author Contributions
Funding
Institutional Review Board Statement
Informed Consent Statement
Data Availability Statement
Conflicts of Interest
References
- Sarmah, S.B.; Kalita, P.; Garg, A.; Niu, X.-D.; Zhang, X.-W.; Peng, X.; Bhattacharjee, D. A Review of State of Health Estimation of Energy Storage Systems: Challenges and Possible Solutions for Futuristic Applications of Li-Ion Battery Packs in Electric Vehicles. J. Electrochem. Energy Convers. Storage 2019, 16, 040801. [Google Scholar]
- Kim, I.-S. A Technique for Estimating the State of Health of Lithium Batteries Through a Dual-Sliding-Mode Observer. IEEE Trans. Power Electron. 2010, 25, 1013–1022. [Google Scholar] [CrossRef]
- Saha, B.; Goebel, K.; Christophersen, J. Comparison of prognostic algorithms for estimating remaining useful life of batteries. Trans. Inst. Meas. Control. 2009, 31, 293–308. [Google Scholar] [CrossRef]
- Liao, L.; Köttig, F. Review of hybrid prognostics approaches for remaining useful life prediction of engineered systems, and an application to battery life prediction. IEEE Trans. Rel. 2014, 63, 191–207. [Google Scholar] [CrossRef]
- Doyle, M.; Fuller, T.F.; Newman, J. Modeling of galvanostatic charge and discharge of the lithium/polymer/insertion cell. J. Electrochem. Soc. 1993, 140, 1526–1533. [Google Scholar] [CrossRef]
- Abada, S.; Marlair, G.; Lecocq, A.; Petit, M.; Sauvant-Moynot, V.; Huet, F. Safety focused modeling of lithium-ion batteries: A review. J. Power Sources 2016, 306, 178–192. [Google Scholar] [CrossRef]
- Li, Z. Research on Electrochemical Modeling and Aging State Identification of Lithium Ion Power Battery. Master’s Thesis, Beijing University of Technology, Beijing, China, 2018. [Google Scholar] [CrossRef]
- Huang, H. Aging State Estimation of Lithium Ion Battery Based on Electrochemical Thermal Coupling Model. Master’s Thesis, Harbin Institute of Technology, Harbin, China, 2021. [Google Scholar] [CrossRef]
- Ahmed, R.; El Sayed, M.; Arasaratnam, I.; Tjong, J.; Habibi, S. Reduced-Order Electrochemical Model Parameters Identification and State of Charge Estimation for Healthy and Aged Li-Ion Batteries—Part II: Aged Battery Model and State of Charge Estimation. IEEE J. Emerg. Sel. Top. Power Electron. 2014, 2, 678–690. [Google Scholar] [CrossRef]
- Zou, C.; Zhang, L.; Hu, X.; Wang, Z.; Wik, T.; Pecht, M. A review of fractional-order techniques applied to lithium-ion batteries, lead-acid batteries, and supercapacitors. J. Power Sources 2018, 390, 286–296. [Google Scholar] [CrossRef]
- Hussein, A.A. Capacity fade estimation in electric vehicles Li-ion batteries using artificial neural networks. 2013 IEEE Energy Conversion Congress and Exposition. IEEE Trans. Ind. Appl. 2014, 51, 2321–2330. [Google Scholar] [CrossRef]
- Moura, S.J.; Argomedo, F.B.; Klein, R.; Mirtabatabaei, A.; Krstic, M. Battery State Estimation for a Single Particle Model With Electrolyte Dynamics. IEEE Trans. Control. Syst. Technol. 2017, 25, 453–468. [Google Scholar] [CrossRef]
- Hu, X.; Li, S.; Peng, H. A comparative study of equivalent circuit models for Li-ion batteries. J. Power Sources 2015, 198, 359–367. [Google Scholar] [CrossRef]
- Tong, S.; Klein, M.P.; Park, J.W. On-line optimization of battery open circuit voltage for improved state-of-charge and state-of-health estimation. J. Power Sources 2015, 293, 416–428. [Google Scholar] [CrossRef]
- Luo, Y. Research on Residual Life Prediction Method of Lithium Ion Battery Based on Particle Filter. Master’s Thesis, Harbin Institute of Technology, Harbin, China, 2012. [Google Scholar]
- Wei, K.; Chen, Q. Lithium ion power battery state estimation based on adaptive unscented Kalman filter algorithm. J. Chin. Electr. Eng. Sci. 2014, 34, 445–452. [Google Scholar] [CrossRef]
- Su, X.; Wang, S.; Pecht, M.; Zhao, L.; Ye, Z. Interacting multiple model particle filter for prognostics of lithium-ion batteries. Microelectron. Reliab. 2017, 70, 59–69. [Google Scholar] [CrossRef]
- Zhu, Q.; Yu, X.; Wu, Q.; Xu, Y.; Chen, F.; Huang, R. Semi empirical aging model of high energy density lithium ion batteries. Energy Storage Sci. Technol. 2022, 11, 2324. [Google Scholar] [CrossRef]
- Wang, J.; Liu, P.; Hicks-Garner, J.; Sherman, E.; Soukiazian, S.; Verbrugge, M.; Tataria, H.; Musser, J.; Finamore, P. Cycle-life model for graphite-LiFePO4 cells. J. Power Sources 2011, 196, 3942–3948. [Google Scholar] [CrossRef]
- Wang, D.; Miao, Q.; Pecht, M. Prognostics of lithium-ion batteries based on relevance vectors and a conditional three-parameter capacity degradation model. J. Power Sources 2013, 239, 253–264. [Google Scholar] [CrossRef]
- Li, Z.; Lu, L.; Ouyang, M.; Xiao, Y. Modeling the capacity degradation of LiFePO4/graphite batteries based on stress coupling analysis. J. Power Sources 2011, 196, 9757–9766. [Google Scholar] [CrossRef]
- Long, B.; Xian, W.; Jiang, L.; Liu, Z. An improved autoregressive model by particle swarm optimization for prognostics of lithium-ion batteries. Microelectron. Reliab. 2013, 53, 821–831. [Google Scholar] [CrossRef]
- Zhou, Y.; Huang, M. Lithium-ion batteries remaining useful life prediction based on a mixture of empirical mode decomposition and ARIMA model. Microelectron. Reliab. 2016, 65, 265–273. [Google Scholar] [CrossRef]
- Chaoui, H.; Ibe-Ekeocha, C.C. State of Charge and State of Health Estimation for Lithium Batteries Using Recurrent Neural Networks. IEEE Trans. Veh. Technol. 2017, 66, 8773–8783. [Google Scholar] [CrossRef]
- Li, X.; Shu, X.; Shen, J.; Xiao, R.; Yan, W.; Chen, Z. An On-Board Remaining Useful Life Estimation Algorithm for Lithium-Ion Batteries of Electric Vehicles. Energies 2017, 10, 691. [Google Scholar] [CrossRef]
- Hu, J.; Wang, J. Short-term wind speed prediction using empirical wavelet transform and Gaussian process regression. Energy 2015, 93, 1456–1466. [Google Scholar] [CrossRef]
- Sahinoglu, G.O.; Pajovic, M.; Sahinoglu, Z.; Wang, Y.; Orlik, P.V.; Wada, T. Battery State-of-Charge Estimation Based on Regular/Recurrent Gaussian Process Regression. IEEE Trans. Ind. Electron. 2017, 65, 4311–4321. [Google Scholar] [CrossRef]
- Williard, N.; He, W.; Osterman, M.; Pecht, M. Comparative Analysis of Features for Determining State of Health in Lithium-Ion Batteries. Int. J. Progn. Health Manag. 2013, 4, 1–7. [Google Scholar] [CrossRef]
- Ma, Q.; Wang, Y.; Yang, W.; Tao, B.; Zheng, Y. A Novel Health Index for Battery RUL Degradation Modeling and Prognostics. In Proceedings of the 2019 IEEE 8th Data Driven Control and Learning Systems Conference (DDCLS), Dali, China, 24–27 May 2019; pp. 1077–1081. [Google Scholar] [CrossRef]
- Jia, J.; Liang, J.; Shi, Y.; Wen, J.; Pang, X.; Zeng, J. SOH and RUL Prediction of Lithium-Ion Batteries Based on Gaussian Process Regression with Indirect Health Indicators. Energies 2020, 13, 375. [Google Scholar] [CrossRef]
- Available online: https://catalog.data.gov/dataset (accessed on 2 July 2022).
- Orchard, M.E.; Tang, L.; Saha, B.; Goebel, K.; Vachtsevanos, G.J. Risk-Sensitive Particle-Filtering-based Prognosis Framework for Estimation of Remaining Useful Life in Energy Storage Devices. Stud. Inform. Control. 2010, 19, 209–218. [Google Scholar] [CrossRef]
- Qin, T.; Zeng, S.; Guo, J.; Skaf, Z. A Rest Time-Based Prognostic Framework for State of Health Estimation of Lithium-Ion Batteries with Regeneration Phenomena. Energies 2016, 9, 896. [Google Scholar] [CrossRef]
- Zhang, Y.; Shang, P. KM-MIC: An improved maximum information coefficient based on K-Medoids clustering. Commun. Nonlinear Sci. Numer. Simul. 2022, 111, 106418. [Google Scholar] [CrossRef]
- Zhao, F.; Li, Y.; Feng, W. Recent Advances in Applying Vulcanization/Inverse Vulcanization Methods to Achieve High-Performance Sulfur-Containing Polymer Cathode Materials for Li-S Batteries. Small Methods 2018, 2, 1800156. [Google Scholar] [CrossRef]














| Battery Index | CC Charge Current (A) | Rated Voltage (V) | Charging Cut-Off Current (mA) | Discharge Current (A) | Discharging Cut-Off Current (V) | Rated Capacity (Ah) |
|---|---|---|---|---|---|---|
| B0005 | 1.5 | 4.2 | 20 | 2 | 2.7 | 2 |
| B0006 | 1.5 | 4.2 | 20 | 2 | 2.5 | 2 |
| B0007 | 1.5 | 4.2 | 20 | 2 | 2.2 | 2 |
| B0018 | 1.5 | 4.2 | 20 | 2 | 2.5 | 1.86 |
| Battery Index | MSE | RMSE | MAE |
|---|---|---|---|
| B0005 | 1.55 × 10−4 | 0.012 | 0.007 |
| B0006 | 1.62 × 10−4 | 0.013 | 0.008 |
| B0007 | 7.66 × 10−5 | 0.009 | 0.005 |
| B0018 | 2.11 × 10−4 | 0.015 | 0.010 |
| Battery Index | MSE | RMSE | MAE |
|---|---|---|---|
| B0005 | 9.4526 × 103 | 97.2244 | 0.2746 |
| B0006 | 7.1663 × 103 | 84.6543 | 0.2550 |
| B0007 | 7.4450 × 103 | 86.2844 | 0.3326 |
| B0018 | 30.6684 | 5.5379 | 0.5789 |
Publisher’s Note: MDPI stays neutral with regard to jurisdictional claims in published maps and institutional affiliations. |
© 2022 by the authors. Licensee MDPI, Basel, Switzerland. This article is an open access article distributed under the terms and conditions of the Creative Commons Attribution (CC BY) license (https://creativecommons.org/licenses/by/4.0/).
Share and Cite
Zhao, J.; Zhu, Y.; Zhang, B.; Liu, M.; Wang, J.; Liu, C.; Zhang, Y. Method of Predicting SOH and RUL of Lithium-Ion Battery Based on the Combination of LSTM and GPR. Sustainability 2022, 14, 11865. https://doi.org/10.3390/su141911865
Zhao J, Zhu Y, Zhang B, Liu M, Wang J, Liu C, Zhang Y. Method of Predicting SOH and RUL of Lithium-Ion Battery Based on the Combination of LSTM and GPR. Sustainability. 2022; 14(19):11865. https://doi.org/10.3390/su141911865
Chicago/Turabian StyleZhao, Jiahui, Yong Zhu, Bin Zhang, Mingyi Liu, Jianxing Wang, Chenghao Liu, and Yuanyuan Zhang. 2022. "Method of Predicting SOH and RUL of Lithium-Ion Battery Based on the Combination of LSTM and GPR" Sustainability 14, no. 19: 11865. https://doi.org/10.3390/su141911865
APA StyleZhao, J., Zhu, Y., Zhang, B., Liu, M., Wang, J., Liu, C., & Zhang, Y. (2022). Method of Predicting SOH and RUL of Lithium-Ion Battery Based on the Combination of LSTM and GPR. Sustainability, 14(19), 11865. https://doi.org/10.3390/su141911865
