Flexural Strength of Concrete Beams Made of Recycled Aggregates: An Experimental and Soft Computing-Based Study
Abstract
:1. Introduction
2. Methods
2.1. Artificial Neural Network
2.2. Particle Swarm Optimization Algorithm
2.3. Imperialist-Competitive-Algorithm-Based ANN
2.4. Hybrid ANNs (PSO-Based ANN and ICA-Based ANN)
3. Experimental-Based Dataset
Experimental Procedure of the Performed Tests
4. Soft Computing Modeling Procedure
4.1. PSO-Based ANN Modeling Procedure
4.2. ICA-Based ANN Modeling Procedure
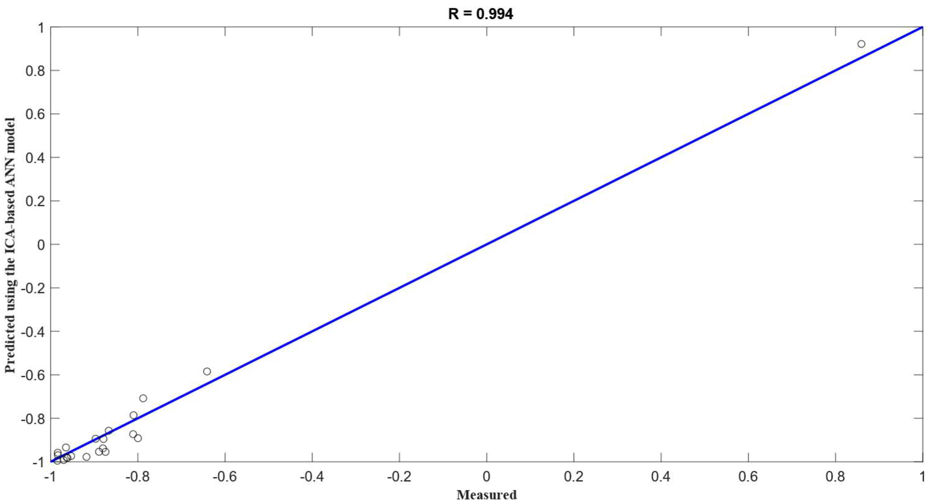
5. Main Results and Discussion
6. Summary and Conclusions
Author Contributions
Funding
Institutional Review Board Statement
Informed Consent Statement
Data Availability Statement
Conflicts of Interest
References
- Ignjatović, I.S.; Marinković, S.B.; Mišković, Z.M.; Savić, A.R. Flexural behavior of reinforced recycled aggregate concrete beams under short-term loading. Mater. Struct. 2013, 46, 1045–1059. [Google Scholar] [CrossRef]
- Hossain, U.; Sun, C.; Lo, I.M.C.; Cheng, J.C.P. Comparative environmental evaluation of aggregate production from recycled waste materials and virgin sources by LCA. Resour. Conserv. Recycl. 2016, 109, 67–77. [Google Scholar] [CrossRef]
- Soutsos, M.N.; Tang, K.; Millard, S.G. Use of recycled demolition aggregate in precast products, phase II: Concrete paving blocks. Constr. Build. Mater. 2011, 25, 3131–3143. [Google Scholar] [CrossRef]
- Silva, R.V.; de Brito, J.; Dhir, R.K. Properties and composition of recycled aggregates from construction and demolition waste suitable for concrete production. Constr. Build. Mater. 2014, 65, 201–217. [Google Scholar] [CrossRef]
- Sato, R.; Maruyama, I.; Sogabe, T.; Sogo, M. Flexural behavior of reinforced recycled concrete beams. J. Adv. Concr. Technol. 2007, 5, 43–61. [Google Scholar] [CrossRef]
- Kang, T.H.K.; Kim, W.; Kwak, Y.K.; Hong, S.G. Flexural Testing of Reinforced Concrete Beams with Recycled Concrete Aggregates. ACI Struct. J. 2014, 111, 607–616. [Google Scholar] [CrossRef]
- Yehia, S.; Helal, K.; Abusharkh, A.; Zaher, A.; Istaitiyeh, H. Strength and Durability Evaluation of Recycled Aggregate Concrete. Int. J. Concr. Struct. Mater. 2015, 9, 219–239. [Google Scholar] [CrossRef]
- Katerusha, D. Investigation of the optimal price for recycled aggregate concrete—An experimental approach. J. Clean. Prod. 2022, 365, 132857. [Google Scholar] [CrossRef]
- Knaack, A.M.; Kurama, Y.C. Behavior of reinforced concrete beams with recycled concrete coarse aggregates. J. Struct. Eng. 2015, 141, B4014009. [Google Scholar] [CrossRef]
- Arezoumandi, M.; Smith, A.; Volz, J.S.; Khayat, K.H. An experimental study on flexural strength of reinforced concrete beams with 100% recycled concrete aggregate. Eng. Struct. 2015, 88, 154–162. [Google Scholar] [CrossRef]
- Choi, W.C.; Yun, H.D.; Kim, S.W. Flexural performance of reinforced recycled aggregate concrete beams. Mag. Concr. Res. 2012, 64, 837–848. [Google Scholar] [CrossRef]
- Khatib, J. Properties of concrete incorporating fine recycled aggregate. Cem. Concr. Res. 2005, 35, 763–769. [Google Scholar] [CrossRef]
- Sera-Paz, S.; González-Fonteboa, B.; Martínez-Abella, F.; Eiras-López, J. Flexural performance of reinforced concrete beams made with recycled concrete coarse aggregate. Eng. Struct. 2018, 156, 32–45. [Google Scholar] [CrossRef]
- Ajdukiewicz, A.B.; Kliszczewicz, A.T. Comparative tests of beams and columns made of recycled aggregate concrete and natural aggregate concrete. J. Adv. Concr. Technol. 2007, 5, 259–273. [Google Scholar] [CrossRef]
- Bai, W.H.; Sun, B.X. Experimental study on flexural behavior of recycled coarse aggregate concrete beam. Appl. Mech. Mater. 2010, 29, 543–548. [Google Scholar] [CrossRef]
- Al-Zahraa, F.I.; El-Mihilmy, M.T.; Bahaa, T.M. Flexural strength of concrete beams with recycled concrete aggregates. J. Eng. Appl. Sci. 2010, 57, 355–375. [Google Scholar]
- Duan, J.; Asteris, P.G.; Nguyen, H.; Bui, X.N.; Moayedi, H. A novel artificial intelligence technique to predict compressive strength of recycled aggregate concrete using ICA-XGBoost model. Eng. Comput. 2021, 37, 3329–3346. [Google Scholar] [CrossRef]
- Li, N.; Asteris, P.G.; Tran, T.T.; Pradhan, B.; Nguyen, H. Modelling the deflection of reinforced concrete beams using the improved artificial neural network by imperialist competitive optimization. Steel Compos. Struct. 2022, 42, 733–745. [Google Scholar]
- Mahmood, W.; Mohammed, A.S.; Asteris, P.G.; Kurda, R.; Armaghani, D.J. Modeling flexural and compressive strengths behaviour of cement-grouted sands modified with water reducer polymer. Appl. Sci. 2022, 12, 1016. [Google Scholar] [CrossRef]
- Parsajoo, M.; Armaghani, D.J.; Asteris, P.G. A precise neuro-fuzzy model enhanced by artificial bee colony techniques for assessment of rock brittleness index. Neural Comput. Appl. 2022, 34, 3263–3281. [Google Scholar] [CrossRef]
- Asteris, P.G.; Nguyen, T.A. Prediction of shear strength of corrosion reinforced concrete beams using Artificial Neural Network. J. Sci. Transp. Technol. 2022, 2, 1–12. [Google Scholar]
- Barkhordari, M.S.; Armaghani, D.J.; Asteris, P.G. Structural Damage Identification Using Ensemble Deep Convolutional Neural Network Models. Comput. Modeling Eng. Sci. 2022, 134, 835–855. [Google Scholar] [CrossRef]
- Bardhan, A.; Biswas, R.; Kardani, N.; Iqbal, M.; Samui, P.; Singh, M.P.; Asteris, P.G. A novel integrated approach of augmented grey wolf optimizer and ann for estimating axial load carrying-capacity of concrete-filled steel tube columns. Constr. Build. Mater. 2022, 337, 127454. [Google Scholar] [CrossRef]
- Armaghani, D.J.; Harandizadeh, H.; Momeni, E.; Maizir, H.; Zhou, J. An optimized system of GMDH-ANFIS predictive model by ICA for estimating pile bearing capacity. Artif. Intell. Rev. 2022, 55, 2313–2350. [Google Scholar] [CrossRef]
- Armaghani, D.J.; Asteris, P.G. A comparative study of ANN and ANFIS models for the prediction of cement-based mortar materials compressive strength. Neural Comput. Appl. 2021, 33, 4501–4532. [Google Scholar] [CrossRef]
- Momeni, E.; Yarivand, A.; Dowlatshahi, M.B.; Armaghani, D.J. An efficient optimal neural network based on gravitational search algorithm in predicting the deformation of geogrid-reinforced soil structures. Transp. Geotech. 2021, 26, 100446. [Google Scholar] [CrossRef]
- Asteris, P.G.; Skentou, A.D.; Bardhan, A.; Samui, P.; Lourenço, P.B. Soft computing techniques for the prediction of concrete compressive strength using Non-Destructive tests. Constr. Build. Mater. 2021, 303, 124450. [Google Scholar] [CrossRef]
- Le, T.T.; Asteris, P.G.; Lemonis, M.E. Prediction of axial load capacity of rectangular concrete-filled steel tube columns using machine learning techniques. Eng. Comput. 2021, 1–34. [Google Scholar] [CrossRef]
- Naderpour, H.; Mirrashid, M. Shear strength prediction of RC beams using adaptive neuro-fuzzy inference system. Sci. Iran. 2020, 27, 657–670. [Google Scholar] [CrossRef]
- Lu, S.; Koopialipoor, M.; Asteris, P.G.; Bahri, M.; Armaghani, D.J. A Novel Feature Selection Approach Based on Tree Models for Evaluating the Punching Shear Capacity of Steel Fiber-Reinforced Concrete Flat Slabs. Materials 2020, 13, 3902. [Google Scholar] [CrossRef]
- Asteris, P.G.; Argyropoulos, I.; Cavaleri, L.; Rodrigues, H.; Varum, H.; Thomas, J.; Lourenço, P.B. Masonry Compressive Strength Prediction using Artificial Neural Networks. In Proceedings of the International Conference on Transdisciplinary Multispectral Modeling and Cooperation for the Preservation of Cultural Heritage, Athens, Greece, 10–13 October 2018; Springer: Cham, Switzerland, 2018; pp. 200–224. [Google Scholar]
- Kamanli, M.; Kaltakci, M.Y.; Bahadir, F.; Balik, F.S.; Korkmaz, H.H.; Donduren, M.S.; Cogurcu, M.T. Predicting The Flexural Behaviour of Concrete and Lightweight Concrete Beams by ANN. Indian J. Eng. Mater. Sci. 2012, 19, 87–94. [Google Scholar]
- Perera, R.; Barchín, M.; Arteaga, A.; De Diego, A. Prediction of the ultimate strength of reinforced concrete beams FRP-strengthened in shear using neural networks. Compos. Part B Eng. 2010, 41, 287–298. [Google Scholar] [CrossRef]
- Kaczmarek, M.; Szymańska, A. Application of artificial neural networks to predict the deflections of reinforced concrete beams. Studia Geotech. Et Mech. 2016, 38, 37–46. [Google Scholar] [CrossRef]
- Bai, C.; Nguyen, H.; Asteris, P.G.; Nguyen-Thoi, T.; Zhou, J. A refreshing view of soft computing models for predicting the deflection of reinforced concrete beams. Appl. Soft Comput. 2020, 97, 106831. [Google Scholar] [CrossRef]
- Suguna, K.; Raghunath, P.N.; Karthick, J.; Uma Maheswari, R. ANN based modeling for high strength concrete beams with surface mounted FRP laminates. Int. J. Optim. Civil Eng. 2018, 8, 453–467. [Google Scholar]
- Metwally, I. Intelligent predicting system for modelling of reinforced concrete of flexurally strengthened beams with CFRP laminates. Build Res. J. 2014, 61, 25–42. [Google Scholar] [CrossRef]
- Shanmugavelu, V.A.; Ramachandran, N.; Raghunath, P.N.; Suguna, K. Experimental and analytical studies on reinforced concrete beams with GFRP laminates. Int. J. Appl. Eng. Res. 2016, 1, 1950–1953. [Google Scholar]
- Saadoon, A.S.; Malik, H.S. Prediction of ultimate load of concrete beams reinforced with FRP bars using artificial neural networks. Al-Qadisiyah J. Eng. Sci. 2017, 10, 11–25. [Google Scholar]
- Al-Jurmma, M. Predicting the Ultimate Load Capacity of RC Beams by ANN. TIKRIT J. Eng. Sci. 2011, 18, 56–66. [Google Scholar] [CrossRef]
- Erdem, H. Prediction of the moment capacity of reinforced concrete slabs in fire using artificial neural networks. Adv. Eng. Softw. 2010, 41, 270–276. [Google Scholar] [CrossRef]
- Cai, B.; Pan, G.L.; Fu, F. Prediction of the post-fire flexural capacity of RC beam using GA-BPNN Machine Learning. J. Perform. Constr. Facil. 2020, 34, 04020105. [Google Scholar] [CrossRef]
- Dreyfus, G. Neural Networks: Methodology and Application; Springer: Berlin/Heidelberg, Germany, 2005. [Google Scholar]
- Kennedy, J.; Eberhart, R. Particle swarm optimization. In Proceedings of the IEEE International Conference on Neural Networks, Perth, Australia, 27 November–1 December 1995; pp. 1942–1948. [Google Scholar]
- Atashpaz-Gargari, E.; Lucas, C. Imperialist competitive algorithm: An algorithm for optimization inspired by imperialistic competition. In Proceedings of the IEEE Congress on Evolutionary Computation, Singapore, 25–28 September 2007; pp. 4661–4667. [Google Scholar]
- Armaghani, D.J.; Tonnizam Mohamad, E.; Momeni, E.; Monjezi, M.; Sundaram Narayanasamy, M. Prediction of the strength and elasticity modulus of granite through an expert artificial neural network. Arab. J. Geosci. 2016, 9, 48. [Google Scholar] [CrossRef]
- Momeni, E.; Armaghani, D.J.; Hajihassani, M.; Amin, M.F.M. Prediction of uniaxial compressive strength of rock samples using hybrid particle swarm optimization-based artificial neural networks. Measurement 2015, 60, 50–63. [Google Scholar] [CrossRef]
- Mahamad, E.T.; Armaghani, D.J.; Momeni, E.; Yazdavar, A.H.; Ebrahimi, M. Rock strength estimation: A PSO-based BP approach. Neural Comput. Appl. 2018, 30, 1635–1646. [Google Scholar] [CrossRef]
- Rezaei, H.; Nazir, R.; Momeni, E. Bearing capacity of thin-walled shallow foundations: An experimental and artificial intelligence-based study. J. Zhejiang Univ. A 2016, 17, 273–285. [Google Scholar] [CrossRef]
- Evangelista, L.; De Brito, J. Flexural behaviour of reinforced concrete beams made with fine recycled concrete aggregates. KSCE J. Civ. Eng. 2017, 21, 353–363. [Google Scholar] [CrossRef]
- Armaghani, J.; Harandizadeh, H.D.; Momeni, E. Load carrying capacity assessment of thin-walled foundations: An ANFIS–PNN model optimized by genetic algorithm. Eng. Comput. 2021, 1–23. [Google Scholar] [CrossRef]
- ASTM C150; Standard Specification for Portland Cement. ASTM International: West Conshohocken, PA, USA, 2012.
- ASTM D8038-16; Standard Practice for Reclamation of Recycled Aggregate Base (RAB) Material. ASTM International: West Conshohocken, PA, USA, 2016.
- ACI 555; Building Code Requirements for Structural Concrete and Commentary (ACI 555R-01), ACI Committee 555. American Concrete Institute: Farmington Hills, MI, USA, 2001.
- ASTM C125-16; Standard Terminology Relating to Concrete and Concrete Aggregates. ASTM International: West Conshohocken, PA, USA, 2016.
- ASTM D5821-13; Standard Test Method for Determining the Percentage of Fractured Particles in Coarse Aggregate. ASTM International: West Conshohocken, PA, USA, 2017.
- ASTM C370; Standard Test Method for Moisture Expansion of Fired Whiteware Products. ASTM International: West Conshohocken, PA, USA, 2016.


















| Symbol * | Type | Unit | Minimum | Maximum | Average |
|---|---|---|---|---|---|
| RCA | Input | % | 0 | 100 | 50 |
| B | Input | mm | 100 | 400 | 185 |
| d | Input | mm | 160 | 525 | 245 |
| a/d | Input | - | 1.92 | 5.14 | 3.57 |
| L/d | Input | - | 4.81 | 17.5 | 11.16 |
| ρ | Input | - | 0.28 | 2.54 | 1.06 |
| fc | Input | MPa | 26.8 | 105.3 | 44 |
| Fy | Input | MPa | 318 | 640 | 460 |
| Mu | Output | kN·m | 8 | 879 | 75 |
| Chemical Composition | L.O.I | SiO2 | Al2O3 | Fe2O3 | CaO | SO3 | MgO |
|---|---|---|---|---|---|---|---|
| % | 1.05 | 21.5 | 5.1 | 4.4 | 63.2 | 2.1 | 1.75 |
| Model No. | Parameter | Training Data | Testing Data | |||
|---|---|---|---|---|---|---|
| No. of Countries | No. of Imperialists | |||||
| R | MSE | R | MSE | |||
| 1 | 125 | 10 | 0.954 | 0.049 | 0.875 | 0.049 |
| 2 | 125 | 5 | 0.979 | 0.0040 | 0.843 | 0.0062 |
| 3 | 200 | 20 | 0.969 | 0.0035 | 0.984 | 0.008 |
| 4 | 200 | 10 | 0.976 | 0.0024 | 0.901 | 0.0317 |
| 5 | 200 | 15 | 0.967 | 0.0043 | 0.968 | 0.0115 |
| 6 | 250 | 15 | 0.968 | 0.0034 | 0.965 | 0.0201 |
| 7 | 300 | 30 | 0.976 | 0.0043 | 0.857 | 0.025 |
| 8 | 300 | 15 | 0.972 | 0.0033 | 0.974 | 0.0082 |
| 9 | 300 | 20 | 0.982 | 0.0036 | 0.904 | 0.0038 |
| 10 | 400 | 40 | 0.979 | 0.0045 | 0.856 | 0.0052 |
| 11 | 400 | 30 | 0.939 | 0.0060 | 0.982 | 0.0075 |
| 12 | 400 | 20 | 0.981 | 0.0039 | 0.905 | 0.0114 |
Publisher’s Note: MDPI stays neutral with regard to jurisdictional claims in published maps and institutional affiliations. |
© 2022 by the authors. Licensee MDPI, Basel, Switzerland. This article is an open access article distributed under the terms and conditions of the Creative Commons Attribution (CC BY) license (https://creativecommons.org/licenses/by/4.0/).
Share and Cite
Momeni, E.; Omidinasab, F.; Dalvand, A.; Goodarzimehr, V.; Eskandari, A. Flexural Strength of Concrete Beams Made of Recycled Aggregates: An Experimental and Soft Computing-Based Study. Sustainability 2022, 14, 11769. https://doi.org/10.3390/su141811769
Momeni E, Omidinasab F, Dalvand A, Goodarzimehr V, Eskandari A. Flexural Strength of Concrete Beams Made of Recycled Aggregates: An Experimental and Soft Computing-Based Study. Sustainability. 2022; 14(18):11769. https://doi.org/10.3390/su141811769
Chicago/Turabian StyleMomeni, Ehsan, Fereydoon Omidinasab, Ahmad Dalvand, Vahid Goodarzimehr, and Abas Eskandari. 2022. "Flexural Strength of Concrete Beams Made of Recycled Aggregates: An Experimental and Soft Computing-Based Study" Sustainability 14, no. 18: 11769. https://doi.org/10.3390/su141811769
APA StyleMomeni, E., Omidinasab, F., Dalvand, A., Goodarzimehr, V., & Eskandari, A. (2022). Flexural Strength of Concrete Beams Made of Recycled Aggregates: An Experimental and Soft Computing-Based Study. Sustainability, 14(18), 11769. https://doi.org/10.3390/su141811769

