Comparative Assessment of Sponge City Constructing in Public Awareness, Xi’an, China
Abstract
:1. Introduction
2. Research Area and Methods
2.1. Situation of the Case Study Area
2.2. Methods
2.2.1. Questionnaire Design
2.2.2. Statistical Model Design
3. Results
3.1. Basic Information of Respondents
3.2. The Awareness Level of Respondents for Sponge City
3.3. The Investigation of Living Feeling
3.4. The Investigation of Satisfaction for Government
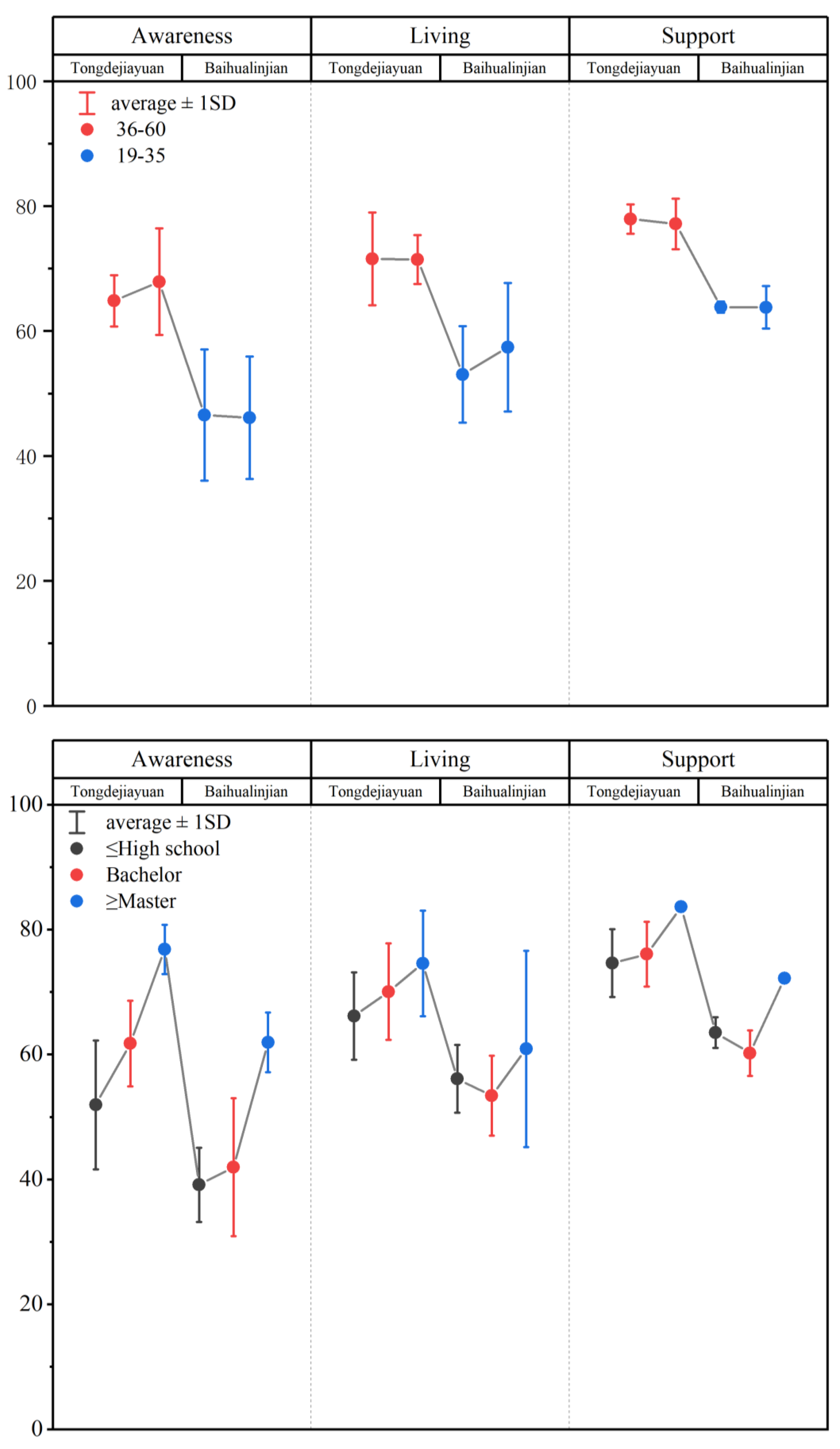
4. Analysis of Demographics and Sociology
5. Discussion
6. Conclusions
Author Contributions
Funding
Institutional Review Board Statement
Informed Consent Statement
Data Availability Statement
Conflicts of Interest
References
- Yabo, L.; Peng, W. Decrease process analysis of urban system resilience based on the extreme flood simulation. In IOP Conference Series: Earth and Environmental Science, Proceedings of the 6th International Conference on Advances in Energy Resources and Environment Engineering (ICAESEE), Chongqing, China, 20–22 November 2020; IOP Publishing: Bristol, UK, 2022. [Google Scholar] [CrossRef]
- Qi, W.; Ma, C.; Xu, H.; Chen, Z.; Zhao, K.; Han, H. A review on applications of urban flood models in flood mitigation strategies. Nat. Hazards 2021, 108, 31–62. [Google Scholar] [CrossRef]
- Wang, J.; Wah Yu, C.; Cao, S.-J. Urban Development in the Context of Extreme Flooding Events; SAGE Publications: London, UK, 2022; Volume 31, pp. 3–6. [Google Scholar] [CrossRef]
- Jiani, W. Analysis on the Current Situation and Development Problem of China’s Sponge City Construction–Case Study on Ningbo Yaojiang-Cicheng Pilot Area. Saudi J. Humanit. Soc. Sci. 2017, 2, 572–577. [Google Scholar] [CrossRef]
- Luo, P.; Luo, M.; Li, F.; Qi, X.; Huo, A.; Wang, Z.; He, B.; Takara, K.; Nover, D.; Wang, Y. Urban flood numerical simulation: Research, methods and future perspectives. Environ. Model. Softw. 2022, 156, 105478. [Google Scholar] [CrossRef]
- Aspacher, M.; Alam, B. Stormwater Best Management Practices: Green Infra-structure in Rural Communities. In Smart Village Technology; Springer: Berlin/Heidelberg, Germany, 2020; pp. 309–325. [Google Scholar] [CrossRef]
- Perrin, S.; Bertrand, K.; Langlois, E. Avoiding the stigma. A qualitative study of socially included women’s experiences of drug use and dealing, health services and the police in France. Int. J. Drug Policy 2021, 87, 102850. [Google Scholar] [CrossRef]
- Nguyen, T.T.; Ngo, H.H.; Guo, W.; Wang, X.C.; Ren, N.; Li, G.; Ding, J.; Liang, H. Implementation of a specific urban water management-Sponge City. Sci. Total Environ. 2019, 652, 147–162. [Google Scholar] [CrossRef]
- Luan, Q.; Fu, X.; Song, C.; Wang, H.; Liu, J.; Wang, Y. Runoff effect evaluation of LID through SWMM in typical mountainous, low-lying urban areas: A case study in China. Water 2017, 9, 439. [Google Scholar] [CrossRef]
- Luo, P.; Xu, C.; Kang, S.; Huo, A.; Lyu, J.; Zhou, M.; Nover, D. Heavy metals in water and surface sediments of the Fenghe River Basin, China: Assessment and source analysis. Water Sci. and Tech. 2021, 84, 3072–3090. [Google Scholar] [CrossRef]
- Choo, K.-S.; Kang, D.-H.; Kim, B.-S. Impact assessment of urban flood on traffic disruption using rainfall–depth–vehicle speed relationship. Water 2020, 12, 926. [Google Scholar] [CrossRef]
- Ren, N.; Wang, Q.; Wang, Q.; Huang, H.; Wang, X. Upgrading to urban water system 3.0 through sponge city construction. Front. Environ. Sci. Eng. 2017, 11, 9. [Google Scholar] [CrossRef]
- Kong, F.; Sun, S.; Lei, T. Understanding China’s urban rainstorm waterlogging and its potential governance. Water 2021, 13, 891. [Google Scholar] [CrossRef]
- Gu, T.; Li, D.; Zhu, S.; Wang, Y. Does sponge-style old community renewal lead to a satisfying life for residents? An investigation in Zhenjiang, China. Habitat Int. 2019, 90, 102004. [Google Scholar] [CrossRef]
- Wang, Y.; Dewancker, B.J.; Qi, Q. Citizens’ preferences and attitudes towards urban waterfront spaces: A case study of Qiantang riverside development. Environ. Sci. Pollut. Res. 2020, 27, 45787–45801. [Google Scholar] [CrossRef] [PubMed]
- Wang, S.; Cao, Z.; Luo, P.; Zhu, W. Spatiotemporal Variations and Climatological Trends in Precipitation Indices in Shaanxi Province, China. Atmosphere 2022, 13, 744. [Google Scholar] [CrossRef]
- Wang, Y.; Cai, J.; Zuo, J.; Bartsch, K.; Huang, M. Conflict or consensus? Stakeholders’ willingness to participate in China’s Sponge City program. Sci. Total Environ. 2021, 769, 145250. [Google Scholar] [CrossRef]
- Ding, L.; Ren, X.; Gu, R.; Che, Y. Implementation of the “sponge city” development plan in China: An evaluation of public willingness to pay for the life-cycle maintenance of its facilities. Cities 2019, 93, 13–30. [Google Scholar] [CrossRef]
- Wang, Y.; Sun, M.; Song, B. Public perceptions of and willingness to pay for sponge city initiatives in China. Resour. Conserv. Recycl. 2017, 122, 11–20. [Google Scholar] [CrossRef]
- Liu, J.; Zhou, W. Impact of the Chinese Sponge City and underground utility tunnel construction on the infrastructure development in developing countries. In Proceedings of the International Conference on Construction and Real Estate Management 2017, Guangzhou, China, 10–12 November 2017; pp. 288–297. [Google Scholar] [CrossRef]
- Luo, P.; Mu, Y.; Wang, S.; Zhu, W.; Mishra, B.K.; Huo, A.; Zhou, M.; Lyu, J.; Hu, M.; Duan, W.; et al. Exploring sustainable solutions for the water environment in Chinese and Southeast Asian cities. AMBIO 2021, 51, 1199–1218. [Google Scholar] [CrossRef]
- Wang, S.; Palazzo, E. Sponge City and social equity: Impact assessment of urban stormwater management in Baicheng City, China. Urban Clim. 2021, 37, 100829. [Google Scholar] [CrossRef]
- Zhang, S.; Li, Y.; Ma, M.; Song, T.; Song, R. Storm water management and flood control in sponge city construction of Beijing. Water 2018, 10, 1040. [Google Scholar] [CrossRef]
- Qiao, X.-J.; Liao, K.-H.; Randrup, T.B. Sustainable stormwater management: A qualitative case study of the Sponge Cities initiative in China. Sustain. Cities Soc. 2020, 53, 101963. [Google Scholar] [CrossRef]
- Li, X.; Li, J.; Fang, X.; Gong, Y.; Wang, W. Case Studies of the Sponge City Program in China. In Proceedings of the World Environmental and Water Resources Congress, West Palm Beach, FL, USA, 22–26 May 2016; pp. 295–308. [Google Scholar] [CrossRef]
- Gu, T.; Li, D.; Wang, Y. Assessment and Determinants of Residential Satisfaction with Sponge-Style Old Community Renewal: A Case Study in Zhenjiang, China, International Low Impact Development Conference 2018: Getting in Tune with Green Infrastructure, Nashville, TN, USA, 12–15 August 2018; American Society of Civil Engineers: Reston, VA, USA, 2018; pp. 51–63. [Google Scholar]
- Chang, H.S.; Su, Q. Research on constructing sponge city indicator and decision evaluation model with fuzzy multiple criteriamethod. Water Environ. Res. 2020, 92, 1910–1921. [Google Scholar] [CrossRef] [PubMed]
- Li, H.; Ding, L.; Ren, M.; Li, C.; Wang, H. Sponge city construction in China: A survey of the challenges and opportunities. Water 2017, 9, 594. [Google Scholar] [CrossRef]
- Xu, T.; Li, K.; Engel, B.A.; Jia, H.; Leng, L.; Sun, Z.; Shaw, L.Y. Optimal adaptation pathway for sustainable low impact development planning under deep uncertainty of climate change: A greedy strategy. J. Environ. Manag. 2019, 248, 109280. [Google Scholar] [CrossRef] [PubMed]
- Lin, C.; Zhao, G.; Yu, C.; Wu, Y.J. Smart city development and residents’ well-being. Sustainability 2019, 11, 676. [Google Scholar] [CrossRef]
- Yao, Z. Communication of Tacit Knowledge in Integrated Urban Water Management: The Structural, Cognitive, and Relational Dimensions in China’s Sponge City Programme; University College London: London, UK, 2020. [Google Scholar]
- Lee, Y.-J.; Lin, S.-Y. A study on the Relationships of place attachment and individual attributes of residents in different vulnerable districts in Taipei, Taiwan. Environ. Sci. Pollut. Res. 2021, 28, 46247–46265. [Google Scholar] [CrossRef]
- Ji, J.; Cai, H.; He, J.; Wang, H. Performance evaluation of CERES-Wheat model in guanzhong plain of Northwest China. Agric. Water Manag. 2014, 144, 1–10. [Google Scholar] [CrossRef]
- Zheng, Z.; Hoogenboom, G.; Cai, H.; Wang, Z. Winter wheat production on the Guanzhong Plain of Northwest China under projected future climate with SimCLIM. Agric. Water Manag. 2020, 239, 106233. [Google Scholar] [CrossRef]
- Luo, P.; Liu, L.; Wang, S.; Ren, B.; He, B.; Nover, D. Influence assessment of new Inner Tube Porous Brick with absorbent concrete on urban floods control. Case Stud. Constr. Mater. 2022, 17, e01236. [Google Scholar] [CrossRef]
- Ounissi, M.; Laskri, H.; Ziouch, O.R.; Justić, D. Riverine and wet atmospheric nutrient inputs to the Southwestern Mediterranean region of North Africa. Mar. Chem. 2021, 228, 103915. [Google Scholar] [CrossRef]
- Ji, Y.; Wu, J.; Wang, Y.; Elumalai, V.; Subramani, T. Seasonal variation of drinking water quality and human health risk assessment in Hancheng City of Guanzhong Plain, China. Expo. Health 2020, 12, 469–485. [Google Scholar] [CrossRef]
- Wang, X.; Su, P.; Lin, Q.; Song, J.; Sun, H.; Cheng, D.; Wang, S.; Peng, J.; Fu, J. Distribution, assessment and coupling relationship of heavy metals and macroinvertebrates in sediments of the Weihe River Basin. Sustain. Cities Soc. 2019, 50, 101665. [Google Scholar] [CrossRef]
- Douglas, I.; Alam, K.; Maghenda, M.; Mcdonnell, Y.; McLean, L.; Campbell, J. Unjust waters: Climate change, flooding and the urban poor in Africa. Environ. Urban. 2008, 20, 187–205. [Google Scholar] [CrossRef]
- Han, B.; Luo, Z.; Liu, Y.; Zhang, T.; Yang, L. Using Local Climate Zones to investigate Spatio-temporal evolution of thermal environment at the urban regional level: A case study in Xi’an, China. Sustain. Cities Soc. 2022, 76, 103495. [Google Scholar] [CrossRef]
- Coughlin, J.F. Balancing Mobility and Environmental Quality: The Politics of Regional Transportation Infrastructure Investment Planning in the Metropolitan United States; Boston University: Boston, MA, USA, 1995. [Google Scholar]
- Maksimovic, C.; Prodanovic, D. Modelling of urban flooding—breakthrough or recycling of outdated concepts. In Proceedings of the Specialty Symposium on Urban Drainage Modeling at the World Water and Environmental Resources Congress 2001, Orlando, FL, USA, 20–24 May 2001. [Google Scholar] [CrossRef]
- Arnbjerg-Nielsen, K.; Willems, P.; Olsson, J.; Beecham, S.; Pathirana, A.; Bülow Gregersen, I.; Madsen, H.; Nguyen, V.-T.-V. Impacts of climate change on rainfall extremes and urban drainage systems: A review. Water Sci. Technol. 2013, 68, 16–28. [Google Scholar] [CrossRef]
- Xiang, C.; Liu, J.; Shao, W.; Mei, C.; Zhou, J. Sponge city construction in China: Policy and implementation experiences. Water Policy 2019, 21, 19–37. [Google Scholar] [CrossRef]
- Wang, C.; Hou, J.; Miller, D.; Brown, I.; Jiang, Y. Flood risk management in sponge cities: The role of integrated simulation and 3D visualization. Int. J. Disaster Risk Reduct. 2019, 39, 101139. [Google Scholar] [CrossRef]
- Powell, R.B.; Ham, S.H. Can ecotourism interpretation really lead to pro-conservation knowledge, attitudes and behaviour? Evidence from the Galapagos Islands. J. Sustain. Tour. 2008, 16, 467–489. [Google Scholar] [CrossRef]
- Biber, D. Representativeness in corpus design. Lit. Linguist. Comput. 1993, 8, 243–257. [Google Scholar] [CrossRef]
- Almeida, C.; Báscolo, E. Use of research results in policy decision-making, formulation, and implementation: A review of the literature. Cad. Saúde Pública 2006, 22, S7–S19. [Google Scholar] [CrossRef]
- He, B.-J.; Zhu, J.; Zhao, D.-X.; Gou, Z.-H.; Qi, J.-D.; Wang, J. Co-benefits approach: Opportunities for implementing sponge city and urban heat island mitigation. Land Use Policy 2019, 86, 147–157. [Google Scholar] [CrossRef]
- Luo, X.; Yu, C.W.; Zhou, D.; Gu, Z. Challenges and Adaptation to Urban Climate Change in China: A Viewpoint of Urban Climate and Urban Planning; SAGE Publications Sage: London, UK, 2019; Volume 28, pp. 1157–1161. [Google Scholar]
- Chang, N.-B.; Lu, J.-W.; Chui, T.F.M.; Hartshorn, N. Global policy analysis of low impact development for stormwater management in urban regions. Land Use Policy 2018, 70, 368–383. [Google Scholar] [CrossRef]
- Chu, Y.; Yang, L.; Wang, X.; Wang, X.; Zhou, Y. Research on distribution characteristics, influencing factors, and maintenance effects of heavy metal accumulation in bioretention systems: Critical review. J. Sustain. Water Built Environ. 2021, 7, 03120001. [Google Scholar] [CrossRef]
- Liu, L.; Fryd, O.; Zhang, S. Blue-green infrastructure for sustainable urban stormwater management—Lessons from six municipality-led pilot projects in Beijing and Copenhagen. Water 2019, 11, 2024. [Google Scholar] [CrossRef]
- Pearce, L. Disaster management and community planning, and public participation: How to achieve sustainable hazard mitigation. Nat. Hazards 2003, 28, 211–228. [Google Scholar] [CrossRef]








| Part | Composition | Details |
|---|---|---|
| 1 | Basic information | Gender, age, education, occupation |
| 2 | Rainwater facilities | Understandings of sponge city, permeable pavement, bioretention and rainwater garden |
| 3 | Living feelings | Feelings of frequency of urban flood, green rate, living comfort and traveling on rainy days |
| 4 | Attitudes of relevant departments | Government support level, satisfaction with governmental policy |
| Projects | Baihualinjian | Tongdejiayuan | ||
|---|---|---|---|---|
| Score | Y | Score | Y | |
| Sponge City | 2.29 | 57.22 | 2.83 | 70.68 |
| Permeable pavement | 1.75 | 43.75 | 2.59 | 64.77 |
| Bioretention | 1.48 | 37.02 | 2.25 | 56.14 |
| Rainwater garden | 1.77 | 44.25 | 2.55 | 63.64 |
| Average | 1.82 | 45.56 | 2.56 | 63.81 |
| Projects | Baihualinjian | Tongdejiayuan | ||
|---|---|---|---|---|
| Score | Y | Score | Y | |
| Urban flood | 3.02 | 60.43 | 3.87 | 77.45 |
| Living comfort | 2.83 | 56.54 | 3.4 | 68.91 |
| Green rate | 2.98 | 59.62 | 3.74 | 74.73 |
| Travel | 2.31 | 46.15 | 3.18 | 63.64 |
| Average | 2.79 | 55.7 | 3.56 | 71.2 |
| Projects | Baihualinjian | Tongdejiayuan | ||
|---|---|---|---|---|
| Score | Y | Score | Y | |
| Government support | 3.09 | 61.73 | 3.92 | 78.54 |
| Satisfaction of policy | 3.27 | 65.37 | 3.78 | 75.64 |
| Average | 3.18 | 63.55 | 3.85 | 77.09 |
| Projects | Age | Education | |||
|---|---|---|---|---|---|
| 19–35/36–60 | High School Degree or Below/Bachelor | High School Degree or Below/Master | Bachelor/Master | ||
| Baihualinjian | Pearson’s r | 0.91 | 0.92 | 0.54 | 0.60 |
| F | 0.036 | 0.015 | 6.10 | 7.42 | |
| Tongdejjiayuan | Pearson’s r | 0.81 | 0.80 | 0.61 | 0.64 |
| F | 2.01 | 1.10 | 13.42 | 7.06 | |
| Projects | Age | Education | |||
|---|---|---|---|---|---|
| 19–35 | 36–60 | High school degree or below | Bachelor’s degree | Master’s degree | |
| Pearson’s r | 0.59 | 0.94 | 0.92 | 0.86 | 0.44 |
| F | 24.68 | 16.17 | 7.71 | 17.06 | 18.46 |
Publisher’s Note: MDPI stays neutral with regard to jurisdictional claims in published maps and institutional affiliations. |
© 2022 by the authors. Licensee MDPI, Basel, Switzerland. This article is an open access article distributed under the terms and conditions of the Creative Commons Attribution (CC BY) license (https://creativecommons.org/licenses/by/4.0/).
Share and Cite
Luo, P.; Zheng, Y.; Wang, Y.; Zhang, S.; Yu, W.; Zhu, X.; Huo, A.; Wang, Z.; He, B.; Nover, D. Comparative Assessment of Sponge City Constructing in Public Awareness, Xi’an, China. Sustainability 2022, 14, 11653. https://doi.org/10.3390/su141811653
Luo P, Zheng Y, Wang Y, Zhang S, Yu W, Zhu X, Huo A, Wang Z, He B, Nover D. Comparative Assessment of Sponge City Constructing in Public Awareness, Xi’an, China. Sustainability. 2022; 14(18):11653. https://doi.org/10.3390/su141811653
Chicago/Turabian StyleLuo, Pingping, Yue Zheng, Yiyi Wang, Shipeng Zhang, Wangqi Yu, Xi Zhu, Aidi Huo, Zhenhong Wang, Bin He, and Daniel Nover. 2022. "Comparative Assessment of Sponge City Constructing in Public Awareness, Xi’an, China" Sustainability 14, no. 18: 11653. https://doi.org/10.3390/su141811653
APA StyleLuo, P., Zheng, Y., Wang, Y., Zhang, S., Yu, W., Zhu, X., Huo, A., Wang, Z., He, B., & Nover, D. (2022). Comparative Assessment of Sponge City Constructing in Public Awareness, Xi’an, China. Sustainability, 14(18), 11653. https://doi.org/10.3390/su141811653

