Study on the Microstructure Evolution and Strength Damage Mechanism of Dolomite under Dissolution Condition
Abstract
:1. Introduction
2. Materials and Methods
2.1. Test Materials
2.2. Chemical Dissolution Test of Dolomite
2.3. Uniaxial Compression Test
2.4. SEM Test and Pore Structure Analysis
3. Results
3.1. Results of Dolomite Dissolution
3.2. Uniaxial Compressive Strength of Dolomite
3.3. Microstructure of Dolomite
4. Discussion
4.1. Dolomite Dissolution Phases
4.2. Time-Dependence of Dolomite Dissolution
4.3. Macroscopic Destruction of Dolomite
4.4. Dissolution Evolution of Dolomite Microstructure
5. Conclusions
- The indoor dissolution characteristics of dolomite, such as dissolution rates at different pH values, acid consumption of samples at different pH values, four dissolution stages and the approximate dissolution time scale between dolomite and the engineering environment were determined by experiments.
- Under different pH conditions and dissolution days, with an increase in acidity and dissolution time, the macroscopic mechanical characteristics of the sample changed from brittle to flexible, and the time to reach peak strength and the time from peak strength to complete loss of strength increased. Additionally, the strength damage rate at different pH values and dissolution days was 4%–76.2%.
- SEM showed that the dolomite in the study area developed more pores and fractures with dissolution. Further, the bond between the particles was weak, and the particles gradually collapsed into relatively small particles, which was consistent with the overall karst process of dolomite, including osmosis, dissolution, decomposition and mechanical disintegration. Additionally, it exhibited dissolution characteristics along the joint plane and generated a knife-shaped surface, which corresponded to macroscopic dissolution characteristics. Further, the edge of the sample was more obvious, which is related to the enrichment of H+.
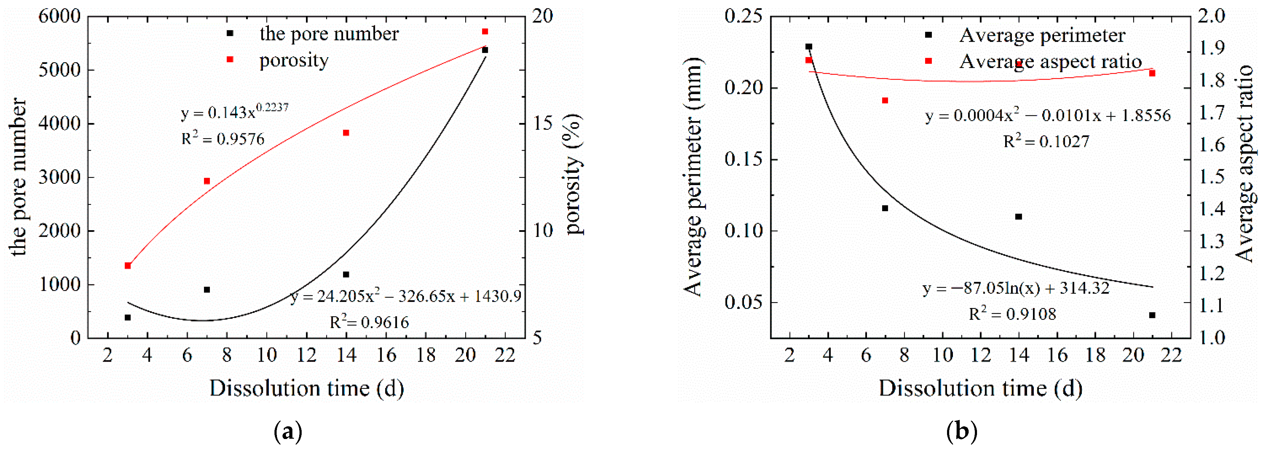
- SEM images were used to analyze the microscopic structure of the samples after dissolution. It was found that with the dissolution process, the final pore development was 19.28%, which was 2.3 times more than the initial dissolution. The pore growth rate was 0.6%/day, the average pore circumference decrease rate was 10.4 nm/day and the pore number increase rate was 277.3/day. The pores were considerably developed; however, the length to width ratio of the pores was maintained at approximately 1.7–1.85, indicating that the pores develop at similar rates in different directions.
- The dissolution time scale of this test was based on different acidities, and the dissolution time scale can be defined according to the specific gravity of different dissolution stages under the same acidity.
- The evolution of the microstructure under different acidities and dissolution times in the same area can be studied.
Author Contributions
Funding
Institutional Review Board Statement
Informed Consent Statement
Data Availability Statement
Acknowledgments
Conflicts of Interest
References
- Wang, Z.J.; Du, Y.W.; Jiang, Y.F.; Wu, F.; Qi, Y.L.; Zhou, P. Study on the destabilization mechanism of tunnel palm faces in sandy dolomite strata. J. Rock Mech. Eng. 2021, 40 (Suppl. 2), 3118–3126. [Google Scholar]
- Yu, S. Study on engineering characteristics of karsted dolomite. West Prospect Proj. 2013, 25, 139–140. [Google Scholar]
- Zhang, Z.Q. Study on mechanical properties of sandy dolomite with different moisture content. Sci. Technol. Innov. 2022, 4, 79–82. [Google Scholar]
- Wiederhorn, S.M.; Johnson, H. Effect of Electrolyte pH on Crack. Propagation in Glass. J. Am. Ceram. Soc. 1973, 56, 192–197. [Google Scholar] [CrossRef]
- Atkinson, B.K.; Meredith, P.G. Stress corrosion cracking of quartz: A note on the influence of chemical environment. Tectonophysics 1981, 7, T1–T11. [Google Scholar] [CrossRef]
- Tang, L.S.; Wang, S.J. Discussion on mechanism and quantification method of chemical damage of rock water. J. Rock Mech. Eng. 2002, 3, 314–319. [Google Scholar]
- Feng, X.W.; Wang, W.; Wang, R.B.; Yuan, S.S.; Zhu, Q.Z. Ontogenetic model of rheological damage in sandstone considering water chemical damage. Geotech. Mech. 2018, 39, 3340–3346+3354. [Google Scholar]
- Cui, Z.A.; Bao, Z.Y.; Zhang, T.F.; Dong, Z.C. Experimental study on dissolution kinetics of carbonate rocks under burial conditions. J. Oil Gas Technol. 2007, 29, 204–207. [Google Scholar]
- Huang, K.J.; Wang, W.; Bao, Z.Y.; Xie, S.Y.; Wan, N.; Mei, L.F.; Qian, Y.X. Dissolution modification of the Feixianguan Formation reservoir in the northeastern Sichuan Basin by buried organic acidic fluids: An experimental study of dissolution kinetics. Geochemical 2011, 40, 289–300. [Google Scholar]
- Xie, S.Y.; Shao, J.F.; Xu, W.Y. Influences of chemical degradation on mechanical behaviour of a limestone. Int. J. Rock Mech. Min. Sci. 2011, 48, 741–747. [Google Scholar] [CrossRef]
- Yurtdas, I.; Xie, S.Y.; Burlion, N.; Shao, J.F.; Saint-Marc, J.; Garnier, A. Influence of chemical degradation on mechanical behavior of a petroleum cement paste. Cem. Concr. Res. 2011, 41, 412–421. [Google Scholar] [CrossRef]
- Li, G.L.; Wei, L.Y.; Jin, H.W.; Su, H.J.; Zhang, T.; Li, M. Experimental study of dynamic compressive mechanical properties of tuffs after acid corrosion. Rock Soil Mech. 2017, 38, 3247–3254. [Google Scholar]
- Wang, W.; Liu, T.G.; Lv, J.; Wang, R.B.; Yuan, S.S.; Zhu, Q.Z. Experimental study of influence of water-rock chemical interaction on mechanical characteristics of sandstone. Chin. J. Rock Mech. Eng. 2012, 31 (Suppl. 2), 3608–3617. [Google Scholar]
- Deng, H.F.; Hu, A.L.; Li, J.L.; Zhang, X.J.; Hu, Y.; Chang, D.L.; Zhu, M. Statistical constitutive model of sandstone degradation damage under water-rock interaction. Rock Soil Mech. 2017, 38, 631–639. [Google Scholar] [CrossRef]
- Chen, S.L.; Feng, X.T.; Zhou, H. Sandstone triaxial microscopic damage mechanism and damage variable analysis under chemical corrosion. Rock Soil Mech. 2004, 09, 1363–1367. [Google Scholar]
- Pokrovsky, O.S.; Golubev, S.V.; Schott, J. Dissolution kinetics of calcite, dolomite and magnesite at 25 °C and 0 to 50 atm pCO2. Chem. Geol. 2005, 217, 239–255. [Google Scholar] [CrossRef]
- Sun, Y.P.; Wei, L.N.; Dai, C.L.; Yu, Z.H.; Xin, Y. The carbonic acid-rock reaction in feldspar/dolomite-rich tightsand and its impact on CO2-water relative permeability during geological carbon storage. Chem. Geol. 2021, 584, 120527. [Google Scholar] [CrossRef]
- Yang, Y.K.; Liu, B.; Qin, S.; Luo, P.; Zhang, D.M.; Zhou, M.H.; Shi, K.B.; Tian, Y.J. Re-recognition of deep carbonate dissolution based on the observation of in-situ simulation experiment. Acta Sci. Nat. Univ. Pekinensis 2014, 50, 316–322. [Google Scholar]
- Chun, Z.; Xiao, D.; Xu, W.R.; Liu, F.X.; Yun, L.; Chen, C.; Xue, L. Softening damage analysis of gypsum rock with water immersion time based on laboratory experiment. IEEE Access 2019, 6, 7. [Google Scholar]
- Laurent, E.; Krassimira, M.; Franci, G.; Wolfgang, D. The inhibiting action of intrinsic impurities in natural calcium carbonate minerals to their dissolution kinetics in aqueous H2O-CO2 solutions. Geochim. Cosmochim. Acta. 1999, 63, 989–1002. [Google Scholar]
- Kuva, J.; Sammaljärvi, J.; Parkkonen, J.; Siitari-Kauppi, M.; Lehtonen, M.; Turpeinen, T.; Timonen, J.; Voutilainen, M. Imaging connected porosity of crystalline rock by contrast agent-aided X-ray microtomography and scanning electron microscopy. J. Microsc. 2018, 270, 98–109. [Google Scholar] [CrossRef] [PubMed]
- She, M.; Shou, J.F.; Shen, A.J.; Pan, L.Y.; Hu, A.P.; Hu, Y.Y. Experimental study on dissolution law and pore evolution of carbonate rocks. Pet. Explor. Dev. 2016, 43, 564–572. [Google Scholar] [CrossRef]
- Liu, C.; Shi, B.; Zhou, J.; Tang, C. Quantification and characterization of microporosity by image processing geometric measurement and statistical methods: Application on SEM images of clay materials. Appl. Clay Sci. 2011, 54, 97–106. [Google Scholar] [CrossRef]
- Yan, G.Y.; Wei, Z.T.; Song, Y.; Zhang, J.J.; Yang, H. Quantitative characterization of shale pore structure based on Ar-SEM and PCAS. Geoscience 2018, 43, 1602–1610. [Google Scholar]
- Hu, X.B. Study on the Characteristics and Mechanism of Karst Sandyization of Dolomite in Pingtou Hydropower Station on Meigu River. Master’s Thesis, Chengdu University of Technology, Chengdu, China, 2009. [Google Scholar]
- Weng, J.T. Differential dissolution of calcite and dolomite. Karst China 1984, 1, 31–40+107–108. [Google Scholar]
- Zhou, J.F. Study on rock soaking time scale and degradation prediction model under acidic solution. Water Conserv. Hydropower. Technol. 2021, 52, 162–171. [Google Scholar]













| pH | Mass Damage Rate/(mol/h) | Settling Time/h | Dosage of Sulfuric Acid/mL | Actual pH Stabilization Range |
|---|---|---|---|---|
| 1 | 0.133 | 24 | 30 | 1–1.52 |
| 2 | 0.088 | 24 | 200 | 2–2.48 |
| 3 | 0.019 | 24 | 430 | 3–3.49 |
| 4 | 0.032 | 1 | 200 | 4–4.34 |
| 5 | 0.003 | 1 | 200 | 5–5.37 |
| Dissolution Rate (Tx) | pH = 1 (vr) | pH = 7 (vr) | Time Scale of Dissolution (λ) | Dissolution Time (T1x) |
|---|---|---|---|---|
| Initiate the dissolution phase (T1) | 6.603 | 1.328 | 4.972 | 3 |
| Accelerated phase of secondary dissolution (T2) | 3.685 | 0.114 | 32.325 | 1 |
| Dissolution equilibrium phase (T3) | 0.572 | 0.133 | 4.301 | 14 |
| Dissolution attenuation phase (T4) | 0.502 | 0.082 | 6.122 | 6 |
| Parameter | 3 Days | 7 Days | 14 Days | 21 Days |
|---|---|---|---|---|
| Total number of holes | 383 | 908 | 1182 | 5374 |
| Porosity/% | 8.38 | 12.32 | 14.56 | 19.28 |
| Maximum area/μm2 | 0.7461 | 0.5761 | 0.5660 | 0.5116 |
| Average area/μm2 | 0.0854 | 0.0751 | 0.0383 | 0.0324 |
| Average perimeter/nm | 229.11 | 116.98 | 110.34 | 41.10 |
| shape factor | 0.5463 | 0.3561 | 0.3513 | 0.2695 |
| Maximum length/nm | 368.76 | 195.55 | 164.50 | 152.92 |
| Average length/nm | 55.48 | 33.46 | 32.27 | 14.13 |
| Maximum width/nm | 107.82 | 94.67 | 91.01 | 80.66 |
| Average width/nm | 29.78 | 19.25 | 17.44 | 7.75 |
| Probabilistic entropy | 0.9807 | 0.9754 | 0.9745 | 0.9673 |
| Fractal dimension | 1.7366 | 1.3971 | 1.3272 | 1.2005 |
Publisher’s Note: MDPI stays neutral with regard to jurisdictional claims in published maps and institutional affiliations. |
© 2022 by the authors. Licensee MDPI, Basel, Switzerland. This article is an open access article distributed under the terms and conditions of the Creative Commons Attribution (CC BY) license (https://creativecommons.org/licenses/by/4.0/).
Share and Cite
Liu, W.; Liu, P.; Xu, H.; Gong, B.; Ji, F. Study on the Microstructure Evolution and Strength Damage Mechanism of Dolomite under Dissolution Condition. Sustainability 2022, 14, 11447. https://doi.org/10.3390/su141811447
Liu W, Liu P, Xu H, Gong B, Ji F. Study on the Microstructure Evolution and Strength Damage Mechanism of Dolomite under Dissolution Condition. Sustainability. 2022; 14(18):11447. https://doi.org/10.3390/su141811447
Chicago/Turabian StyleLiu, Wenlian, Pengen Liu, Hanhua Xu, Bocheng Gong, and Feng Ji. 2022. "Study on the Microstructure Evolution and Strength Damage Mechanism of Dolomite under Dissolution Condition" Sustainability 14, no. 18: 11447. https://doi.org/10.3390/su141811447
APA StyleLiu, W., Liu, P., Xu, H., Gong, B., & Ji, F. (2022). Study on the Microstructure Evolution and Strength Damage Mechanism of Dolomite under Dissolution Condition. Sustainability, 14(18), 11447. https://doi.org/10.3390/su141811447
