Next Article in Journal
Changes in the Water Surface Area of Reservoirs of the Crimean Peninsula and Artificial Increases in Precipitation as One of the Possible Solutions to Water Shortages
Previous Article in Journal
Research on the Sustainability of Channel Strategy Selection on the Overall Efficiency of Listed Retail Enterprises: Evidence from China
Previous Article in Special Issue
An MFD Construction Method Considering Multi-Source Data Reliability for Urban Road Networks
 
 
Font Type:
Arial Georgia Verdana
Font Size:
Aa Aa Aa
Line Spacing:
Column Width:
Background:
Article

A Hybrid Approach for State-of-Charge Forecasting in Battery-Powered Electric Vehicles

1
College of Engineering and Architecture, LERMA-Lab, TIC-Lab, International University of Rabat, Sala El Jadida 11103, Morocco
2
École Nationale Supérieure d’Informatique et d’Analyse des Systèmes (ENSIAS), Mohamed V University, Rabat 10130, Morocco
3
Centralesupelec, Paris-Saclay University, 92150 Paris, France
4
Université de Technologie de Belfort Montbéliard (UTBM), FEMTO-ST UMR CNRS 6174, Bourgogne Franche-Comté, 25000 Belfort, France
*
Author to whom correspondence should be addressed.
Sustainability 2022, 14(16), 9993; https://doi.org/10.3390/su14169993
Submission received: 4 July 2022 / Revised: 5 August 2022 / Accepted: 9 August 2022 / Published: 12 August 2022
(This article belongs to the Special Issue Intelligent Mobility: Technologies, Applications and Services)

Abstract

:
Nowadays, electric vehicles (EV) are increasingly penetrating the transportation roads in most countries worldwide. Many efforts are oriented toward the deployment of the EVs infrastructures, including those dedicated to intelligent transportation and electro-mobility as well. For instance, many Moroccan organizations are collaborating to deploy charging stations in mostly all Moroccan cities. Furthermore, in Morocco, EVs are tax-free, and their users can charge for free their vehicles in any station. However, customers are still worried by the driving range of EVs. For instance, a new driving style is needed to increase the driving range of their EV, which is not easy in most cases. Therefore, the need for a companion system that helps in adopting a suitable driving style arise. The driving range depends mainly on the battery’s capacity. Hence, knowing in advance the battery’s state-of-charge (SoC) could help in computing the remaining driving range. In this paper, a battery SoC forecasting method is introduced and tested in a real case scenario on Rabat-Salé-Kénitra urban roads using a Twizy EV. Results show that this method is able to forecast the SoC up to 180 s ahead with minimal errors and low computational overhead, making it more suitable for deployment in in-vehicle embedded systems.

1. Introduction

The transportation sector is responsible for almost 29% of the global energy consumption and produces up to 24% of global CO2 emissions [1]. It is mainly due to the steady growth of cars on transportation roads, which will increase by more than double in 2050. In fact, the global car stock will grow up to 2.4 billion in 2050 versus 1 billion in 2015 according to the International Transportation Forum (ITF) [2]. Therefore, as many concerns have been raised about climate change, the Paris agreement has set an objective to cut greenhouse emissions by 80% around 2050 in order to keep the global warming under 2 °C [3]. For instance, Morocco is one of the countries that is exerting more effort in order to promote green energy. Many actions have been taken in order to use renewable energy resources and decrease greenhouses emissions. Notably, Morocco has adopted a National Energy Strategy to increase the renewable energy production up to 52%, and meet 15% to 20% of the energy demands by 2030 [4]. Additionally, the Moroccan National Energy Strategy aims to reduce the greenhouse emissions caused by the transportation system by 35%. Transportation systems in Morocco generate more than 23% of pollution and greenhouse gases, and take up to 41% of the total energy consumption [5].
In order to meet the established objectives worldwide, developing efficient electric vehicles could help in minimizing greenhouse gas emissions. As stated in [6], battery-powered electric vehicle (BEV) sales will present, by 2025, 45% of the total car market share in the USA, and will increase up to 60% on 2030. For instance, the authors in [7] predicted that by 2030, the number of cumulative adoption of electric vehicles in Morocco could reach 5400, and 12,600 by the year of 2050, which is a very small number compared to the USA and Korea [8,9], 2 million and 12 million respectively (representing 0.27 % and 0.105 % ). Morocco has launched many initiatives to promote the integration of electric vehicles into the Moroccan transportation system, one of which is the Green Miles project that has the main focus to install 74 charging stations. The aim is to cover more than 600 km of highway roads [10]. It is worth noting that, by the first trimester of 2022, 52 charging stations were deployed in different Moroccan cities [11]. Nonetheless, Moroccan users have still not been convinced to switch to electric vehicles. Authors in [12] conducted a survey about the willingness of Moroccan users to change their mode of transport and opt for electric vehicles, and whether the electric vehicles would correspond to their expectations. They found that 52% of interviewed users believe that the high purchase cost is the main obstacle for not buying an electric vehicle; 15% of the users saw that the main obstacle is the vehicle’s autonomy; 11% stated that the obstacle could be the lack of recharging infrastructures; and 78% of the interviewed users stated that it could be that the acceptable charging time of the electric vehicle is between 30 min and one hour. On the other hand, in response to the question “How much do you spend on transportation?” in a survey conducted by authors in [13], users that spend between one to two hours on their daily commutes said that EVs do not respond to their daily demands due to the low availability of public charging stations and limited range of EVs.
It is worth mentioning that the effectiveness of using EVs for reducing the greenhouse gas emissions depends on some factors. For instance, the authors in [14] stated that EV manufacturing is responsible for the emission of ca. 14 tonnes of CO2 compared to ca. 6 tonnes for internal combustion cars. Additionally, the source of electricity used to charge EVs should be considered. Most countries still rely on coal to produce electricity, and therefore, the effectiveness of using EVs will be low compared to countries that use nuclear or/and renewable energies for electricity generation.
Most points, as mentioned above, which are addressed when talking about electric vehicles, are charging stations and related infrastructures, lack of standards and regulatory frameworks, and battery life [15]. Despite the fact that the two first points are facing many challenges, such as funding, land purchasing for charging stations, integration with existing power infrastructures and optimized deployment [16,17], they can be handled and solved accordingly. Mainly, each country can deploy as many recharging stations to fulfill the needs of the EV users. Additionally, standards have been established to unify all technologies related to EVs, e.g., standards that regulate the EV charging, integration into the grid, and charging infrastructures have been already deployed [18]. Battery life, which can be determined by the state of health (SoH), is still a major problem of EVs, as the demand for a low cost/or high energy density is growing rapidly. In fact, SoH is the current capacity of the battery compared to the initial capacity of the same battery when it was new, whereas the remaining useful life (RUL) represents the number of complete charge/discharge cycles that remain to the battery before its capacity falls under 70 % of the original capacity. The battery SoH is affected mainly by the temperature, amount of exchanged load and the amplitude of the charging/discharging current [19,20,21]. For instance, Li-ion batteries are known by their high energy density per kilogram, compared to the other battery technologies. Despite this, long-range EVs need a large battery pack, which will result in added bulk and heavy vehicles. Many studies have been carried out to find other battery technologies better than Li-ion. Authors in [22] presented a review about the promises and challenges of the next generation battery technologies that might replace Li-ion batteries in electric vehicles and grid decentralization. The authors concluded that those new technologies either have a high cost compared to Li-ion, or they present a good low cost/high energy density compromise, but they are not suited for electric vehicles. Furthermore, lithium ion batteries can be subject to aging via two main ways; calendar aging and cyclic aging [23,24]. Battery calendar aging is related to the battery performance degradation over time, and it depends on the temperature and charging level. However, battery cyclic aging is related to the usage of the battery, mainly the current of charge/discharge depth, and the number of charging cycles. On the other side, other techniques can be used for maximizing the driving range of the EV [25] while maintaining the SoC accordingly. This will allow the development of applications that could assist the driver in following a better driving behavior [26], or selecting the best strategy for the charging schedule and mode [27]. However, those techniques will require predicting and/or forecasting the battery state, i.e., SoH, SoC and RUL. Many studies have been, therefore, carried out to estimate or predict the SoH, SoC and RUL using different methods.
In this work, the focus is put on techniques and approaches that are developed for SoC estimation/prediction. SoC represents the amount of energy left in the battery, compared to when it was full. Knowing the battery SoC can give the user an indication of how much longer the battery will continue to perform before recharging it. In fact, knowing in advance the future battery SoC can be an input to many applications, such as rerouting, which can give the user a better trajectory, having less energy in order to reach the desired destination. Additionally, SoC can be an input for charging planning applications; this could be useful, as it will provide the user with a better timing to charge the electric vehicle’s battery and also reduce the charging/discharging cycles. Therefore, all those applications can lead to an increase in the battery lifetime. For instance, those applications will prevent many problems that decrease the battery capacity, such as over discharge/overcharge of the battery.
SoC estimation is the basis for defining better operating strategies for EV to alleviate the range anxiety problem, which hinders EVs to increase their market share in the global fleet, particularly in emerging countries lacking charging infrastructures. Several methods have been developed for accurate SoC estimation, such as open circuit voltage (OCV), Kalman filter and artificial intelligence methods, which could take advantage of data availability. The hybridization of these methods is also a trend that will overcome the shortcomings of individual methods to improve their adaptation to fit real-world changes. In this paper, a hybrid approach for battery SoC forecasting is introduced. First, a data-driven approach is introduced using a well-known machine learning algorithm, then a model of the used electric vehicle is developed and tested for integration within machine learning algorithms to forecast the battery state of charge. In summary, the main contributions of this work are threefold:
  • Introduce a hybrid approach, which integrates both a model- and data-driven techniques.
  • Extensively experiment to compare both approaches in real-sitting scenarios.
  • Compare the proposed hybrid approach with a naive method.
The remainder of this paper is structured as follow. A state-of-the-art review of existing techniques for SoC forecasting is presented in Section 2. The EV model and its validation are presented in Section 3. Section 4 introduces the proposed hybrid approach for SoC forecasting. Experimental results are presented in Section 5. Finally, Section 6 presents the conclusions and some perspectives of this study.

2. Related Works

Batteries are the main component in an electric vehicle, and thus, their state should be monitored and controlled in order to ensure a safe application of the batteries. The main indicators that are used to determine the battery state are SoC, SoH and RUL. In this study, the focus is put on the battery SoC, which is the percentage of remaining usable battery capacity. It is noteworthy that, in addition to using the battery SoC as an indicator to prevent damaging the battery, i.e., prevent over-discharging (SoC 0 % ) or overcharging (SoC 100 % ), the battery SoC is a key parameter in various energy-management-related applications. As an illustration, the forecasted SoC can contribute to developing efficient and meaningful tool for decision-making applications in grid ancillary services [28,29]. Additionally, the battery SoC could be an input for micro-grid control strategies in order to have a trade-off between energy demand/response and to select the best time to switch the system from renewable energy to the grid [30].
Nevertheless, the battery SoC cannot be measured directly, like other battery parameters, e.g., voltage, current and temperature [31]. It only can be estimated using various methods [32], which can be grouped into five main categories: direct methods, adaptive filter methods, model-based methods, artificial intelligence methods and hybrid methods as depicted in Figure 1. Direct methods rely heavily on other battery’s parameters; they are widely used, as they are simple to implement and have low computational complexity to estimate the battery’s SoC. For instance, the Coulomb counting method, also known as ampere-hour counting, relies on the integral of the battery’s charging/discharging current [33]. However, this method represents many disadvantages: mainly, it is not consistent, as the accuracy of the estimated SoC decreases over time. Additionally, this method requires knowing the initial SoC, which is not given all the time. On the other hand, the OCV relies on lookup tables, which associate a given measured voltage with SoC values [34]. The OCV method assumes that there is a linear relationship between the battery’s voltage and SoC. However, this relationship is not the same for all batteries [35]. On the other hand, model-based methods have been introduced to overcome the issues related to the measurement of a battery’s parameters. Many battery models have been developed, such as the electrochemical impedance spectroscopy model [36] and equivalent circuit models. For instance, the authors in [37] proposed an ensemble method using an empirical model and polynomial regression in order to track, based on experimental data analysis, the trend of the battery’s degradation over its life cycle. Nonetheless, model-based methods also have some disadvantages, one of which is the need to know the battery characteristics, such as the battery’s internal resistance. This later is not easy to obtain, as it requires dedicated tools to measure. Furthermore, it changes over time due to its dependency on the battery’s SoH and temperature [38].
The adaptive filters methods are used to improve the accuracy of the battery SoC estimation and reduce the noise influence on the battery model. The Kalman filter, extended Kalman filter, H filter and other filters and observers are used to estimate the SoC [32]. For instance, the Kalman filter is widely used to estimate the battery’s SoC [39]. However, the disadvantage that represents this method is that it cannot directly be applied to non-linear systems [35]. Authors in [31] proposed a H observer based on a novel equivalent circuit model of electrochemical impedance to estimate the battery SoC. The proposed model and observer are tested using simulation and experimental tests.
On the other side, artificial intelligence (AI) based methods are becoming more and more used for SoC estimation. AI is a data-driven method, which means that it relies on large amounts of historic data to train its models. The data could be the battery’s SoC, voltage, charging/discharging current or temperature. After training the model upon the historic data, the model can be used to estimate SoC without the need of knowing the initial SoC state or conditions [40]. Authors in [41] compared different machine learning algorithms for SoC forecasting. Mainly, the authors compared the artificial neural network (ANN), support vector machine (SVM), linear regression (LR), Gaussian process regression (GPR), ensemble bagging (EBa), and ensemble boosting (EBo). Using the mean squared error (MSE) and root mean squared error (RMSE) error metrics, they found that the ANN and GPR are the best methods to forecast the battery SoC. The main concern of the data-driven method is that it requires a lot of historic data, and huge computational power to train the models. To overcome most of the aforementioned problems, hybrid approaches can be used by combining two or more methods. For instance, the authors in [42] combined a filter-based method with an artificial intelligence method. The authors developed a SoC estimation method based on adaptive unscented Kalman filters and least square support vector machines. Simulation and experimentation results show that the proposed algorithm can predict battery SOC with a limited number of initial training samples.
In the current paper, a hybrid method for EV battery SoC forecasting is introduced and tested with a real scenario dataset. The proposed method combines a model-based approach with machine learning algorithms. Therefore, the proposed method follows two steps: (i) a machine learning algorithm is used to forecast the vehicle speed [43], and (ii) the forecasted speed is fed to a model, which outputs the forecasted SoC. The proposed method is tested using real dataset and compared against other methods from literature.

3. Materials and Methods

In this section, a simplified model of the EV is presented, taking into consideration internal and external factors, which could affect the battery power consumption. Notably, as the main consumer in an electric vehicle is the traction motor, the SoC mainly depends on the required power from the motor in a given time. Therefore, to forecast accurately the SoC, other factors should be taken into consideration, such as the internal characteristics of the vehicle, the dynamics and forces applied to the vehicle, the traction motor and battery characteristics. A simplified model of the vehicle is developed, taking into consideration these factors, and then tested and validated using real data collected from the electric vehicle, Twizy.

3.1. Model Elaboration

A polynomial power requirement model is used, which takes into account all the forces applied to the vehicle, as depicted in Figure 2. As defined by Equation (1), F t o t a l represents the total force applied to the vehicle, where F r , F c , F a i r and F a denote, respectively, the rolling resistance force, the force related to road steepness, the aerodynamic force and the acceleration force.
F t o t a l = F r + F c + F a i r + F a
The traction power P t r a c t i o n (Equation (2)) needed for the EV motion is deduced by multiplying the total force F t o t a l by the vehicle’s speed V.
P t r a c t i o n ( t ) = F t o t a l ( t ) . V ( t ) = m . g . K r . V ( t ) + m . g . s i n ( θ ) . V ( t ) + 1 2 . ρ a i r . C d . A . V ( t ) 3 + m . a . V ( t )
where m is the vehicle mass, g is the gravitational constant, K r is the friction coefficient related to the tires, θ is the road slope, ρ a i r is the air density, C d is the drag coefficient, A is the frontal surface area of the vehicle, and a is the vehicle’s acceleration.
To determine the electrical power P E M needed for the electric motor (EM) in order to provide the traction power P t r a c t i o n , the angular speed ω and torque T is processed for both EM and tires as given in Equations (3) and (4), where ω w h e e l and T w h e e l represent, respectively, the angular speed and torque of the wheels. Likewise, ω E M and T E M represent, respectively, the angular speed and torque of the EM, while r ω denotes the radius of the tire and k t r a n s , the gear ratio.
ω w h e e l = V r w T w h e e l ( t ) = P t r a c t i o n ( t ) ω w h e e l ( t )
ω E M ( t ) = ω w h e e l ( t ) k t r a n s T E M ( t ) = T w h e e l ( t ) k t r a n s
Equation (5) represents the equation of the power P E M required from the EM in order to move the vehicle, where C e f f represents the efficiency coefficient, which is deduced from the efficiency map of the EM using interpolation.
P E M ( t ) = ω E M ( t ) T E M ( t ) C e f f
The power to be drowned from the battery is given by Equation (6), where P b a t t is the total power to be provided by the battery, P E M is the power consumed by the electric motor, P a u x is the power consumed by the auxiliary devices, and P g e n is the power generated, for instance, from regenerative braking. From Figure 3, there is another electric power, P c h , which is the power needed to charge the battery from an electrical outlet. However, for the simplicity of the proposed model, this power is not included, as it does not have an influence as to when the EV is on the road.
P b a t t ( t ) = P E M ( t ) + P a u x ( t ) P g e n ( t )
It is worth noting that the proposed model does not take into consideration the regenerative braking, thus P g e n is equal to zero. The Twizy EV has two batteries, the traction battery and the secondary battery. The traction battery is the battery used mainly to power up the electric motor. However, the secondary battery is a 12 V battery, which is used to supply energy for auxiliary equipment, such as lights and washers. Therefore, the traction battery is not responsible for P a u x ; however, the 12 V battery is charged either when the vehicle is charging or when the ignition key is on, so the power consumed to charge the secondary battery is taken as P a u x and it is chosen as a constant value for simplicity.
Figure 4 represents the most commonly used battery model. This model consists of a generator with open circuit voltage E b a t t , and a constant equivalent internal resistance R b a t t . The current delivered by the battery can be determined using the following equation:
I b a t t ( t ) = E b a t t ( t ) E b a t t ( t ) 2 4 R b a t t P b a t t ( t ) 2 R b a t t
Therefore, to obtain the battery SoC, Equation (8) is used, where S o C ( t ) is the current SoC and S o C ( t 1 ) is the previous SoC. Q 0 is the total stored battery capacity, and it is obtained by dividing the battery total stored energy J b a t t by the battery open circuit voltage E b a t t .
S o C ( t ) = S o C ( t 1 ) I b a t t ( t ) d t Q 0 100 w h e r e : Q 0 = J b a t t E b a t t

3.2. Model Validation

To validate the elaborated model, several driving tests were made in two trajectories to collect the dataset. Each driving test is between 20 min to 2 h (using a collect step of 5 and 10 s). More precisely, the first trajectory is performed 10 times, with a duration between 11 and 30 min, and the number of rows in each test drive, which varies between 136 and 357 rows when using five seconds as a collect step, and between 79 rows and 209 rows when using a collect step of 10 s. As for the second trajectory, it is performed 4 times, with a duration between 53 min and 73 min, a number of rows between 447 rows and 884 rows when using five seconds as a collect step, while when using 10 s as a collect step, the number of rows in each dataset varies between 377 rows and 515 rows. The dataset contains many fields, but the used fields to validate the model are the vehicle’s speed and the traction battery SoC. The process is carried out as follows:
  • The dataset is divided into two datasets, one with just the vehicle’s speed and another with just the traction battery SoC.
  • The dataset with the speed is fed to the model as an input, and the model then outputs the corresponding battery SoC.
  • The generated SoC is then compared to the real SoC data collected from the vehicle, and the error metrics are calculated and presented in Table 1.
It is worth noting that, from Table 1, it is seen that the error for trajectory B is slightly higher than the error for trajectory A. For instance, trajectory A is performed mostly in a ring road with a maximum speed of 80 km/h, limited traffic lights and no speed bumps. On the other hand, trajectory B is performed mostly in an urban area, with a maximum speed that varies from 40 km/h to 60 km/h. Additionally, in trajectory B, the traffic is mostly dense and there are a lot of traffic lights and speed bumps. Accelerating and decelerating after and before a speed bump or traffic light results in a noticeable change in the battery SoC, which makes the prediction of the SoC a hard task. Additionally, in the developed model, some parameters, e.g., the battery internal resistance and the friction coefficient K r , are considered constant. However, those parameters are dynamic and depend on a lot of factors. The battery internal resistance, for example, varies according to the battery temperature [44], and may increase over time [45]. As for the friction coefficient K r , it depends on the type and status of the road, and the status of the tire.

4. Hybrid Approach for SoC Forecasting

In this section, a hybrid approach for battery SoC forecast is presented. The architecture of the proposed approach is presented in Figure 5, and it combines two main methods: data-based method and model-based method. The data-based method is used to forecast the vehicle’s speed, while the model-based method uses the forecasted speed to output the corresponding battery SoC.
Regarding the first component of the proposed approach, we leveraged on the work presented in [43]. In the previous work, an embedded system was developed and used a data-driven method for speed forecasting. The embedded system was deployed into the electric vehicle for collecting useful data that affect the vehicle’ speed, such as the vehicle’ internal data (e.g., vehicle speed, battery actual SoC, and driving mode) and external data (e.g., traffic, weather, speed limit, GPS coordinates and altitude), and then an algorithm based on long short-term memory (LSTM) was used to forecast the future speed of the vehicle. Due to the dynamic properties of the speed, the study investigated different methods to forecast this later, and concluded that using multiple machine learning models to forecast the speed yields better results than using a single model. For instance, a given trajectory is divided into multiple segments based on the type of the road and speed limit; afterward, a model is trained for each segment. Then, the algorithm uses the suitable model to forecast the vehicle speed depending on the segment in which the vehicle is currently located. We refer readers to this paper for more details about the developed data-driven approach for speed forecasting.
A simplified model of the used vehicle is developed as stated in Section 3. This model takes into consideration the forces that are applied to the vehicle, internal characteristics and the traction motor efficiency cartography. The model expects the vehicle’s speed as the input and outputs the corresponding battery SoC. It is worth noting that because of the simplicity of the used model, it is easy to use the proposed method with other types of electric vehicles. Furthermore, the used internal parameters are almost all available and can be obtained from the manufacturer datasheet of the vehicle. Additionally, the proposed model is suitable for being integrated in in-vehicle embedded systems due to its low computational power.
Therefore, the proposed hybrid approach takes advantage of the power of the data-driven method in forecasting the future speed and the simplicity of the model in order to estimate the EV’s battery SoC.

5. Experimental Results

In this section, the proposed hybrid approach is compared with the data-driven approach using a dataset, which is collected from the EV Twizy. More precisely, the prediction accuracy of the proposed approach is assessed against a data-driven approach using LR and LSTM for both the univariate and multivariate forecasting model.
It is worth noting that the choice of the LR method is based on two main reasons: (i) the linear evolution of the SoC over time, and (ii) is the simplicity of integrating the LR algorithm and its low computational complexity.

5.1. EV Characteristics and Dateset

The dataset was collected from three main trajectories in the cities of Rabat and Sala Al Jadida, Morocco, as shown in Figure 6. The dataset contains the following fields: date, time, battery SoC, and vehicle speed, driving mode, geo-localization data, weather data, traffic and speed limit. Each trajectory is repeated many times in different day periods and different weather and traffic conditions. Two trajectories of the dataset are performed in an urban road. Therefore, the collected datasets from these trajectories are almost identical and have the same pattern. For that reason, just two trajectories are used in this study: trajectory A in a ring road (green in Figure 6), and trajectory B in an urban road (red/orange in Figure 6).
The trajectories in red and orange colors represent urban roads, which are subject to heavy traffic and speed limit of 60 km/h. The difference between the red and orange zones is that the roads in red have two lanes and a lot of traffic lights and speed bumps, whereas the orange road has three lanes with few traffic light and no speed bumps, which results in almost fluid traffic, compared to the red zones. The green zone represents a ring road, which is characterized by medium traffic, speed limit of 80 km/h, no traffic lights or speed bumps and three lanes.
The used electric vehicle is a Renault Twizy. It is a small vehicle with two passenger seats, a maximum speed of 80 km/h and a theoretical range of 100 km. The capacity of the battery is 6 kWh and has a traction motor with 12 kW power. More details are presented in Table 2.
It is worth noting that, as stated above, the battery SoC is mainly affected by the vehicle speed, the road slope and the temperature. Therefore, for this study, the other parameters are omitted for the multivariate model. For the univariate model, the dataset contains just the date, time and SoC. The dataset is then divided into training dataset and testing dataset, and many models are then trained; each model is for a specific forecast horizon and a collect step.

5.2. Linear Regression

Linear regression is a supervised machine learning algorithm, which is widely used for its relative simplicity to implement, and it yields good results. It is mostly applied upon datasets that have a linear evolution over time, and represents a trend, such as market sells, electricity consumption during certain periods, etc. In the studied case, battery SoC has a linear trend, which is either descending or ascending, depending on whether the battery is charging or discharging, hence the use of LR to predict the SoC.
An algorithm that uses linear regression model is implemented and tested against the collected dataset. At the beginning of the driving cycle, the algorithm starts to collect a batch of the actual SoC of the battery. The linear regression’s equation parameters are then determined from the collected batch data. Afterword, the equation is used to predict the future battery SoC.
The accuracy of this approach depends mainly on the size of the batch data used to extract the linear equation parameters and the way the data evolve over time. Therefore, for verification, the results of the used algorithm are compared with the results of applying the linear regression upon the whole test dataset. The comparison results are shown in Figure 7 and Figure 8, and the errors are presented in Table 3. From the comparison results, it is clearly seen that the results of using the whole dataset (Full LR) are better than the results of applying the LR upon a batch of data (Batch LR). It is worth noting that determining the suitable batch size is not easy, i.e., having a big batch size might not be useful for the user, as this later might need to wait longer (time to collect batch data) to have the future SoC. However, having a small batch size will let the user have the future SoC instantly, yet this might result in a poor forecast in the long term. In fact, as the battery SoC depends on many factors, the change of the SoC trend might change drastically. Figure 9 shows the relation between the vehicle’s speed and SoC. It is clearly seen that when the vehicle moves at a high speed, the battery SoC decreases rapidly. For instance, Figure 7a shows that the use of the whole test data yields better results than using small batch size, not to mention that the use of a previous drive cycle to generate the LR equation’s parameters is also not suitable due to the fact that the starting point (the initial SoC) for each driving cycle is not the same, which will affect the second parameter of the LR equation (the intercept).

5.3. Direct SoC Forecasting

To overcome the problem of the starting point (initial SoC), as mentioned above, another machine learning algorithm is used to train a model that will learn all SoC patterns. The trained model is then used to forecast future SoC values. The used algorithm is LSTM, the choice of this algorithm is based on a previous study conducted in [46]. The process of SoC forecasting is performed following two approaches: univariate SoC forecasting and multivariate SoC forecasting.
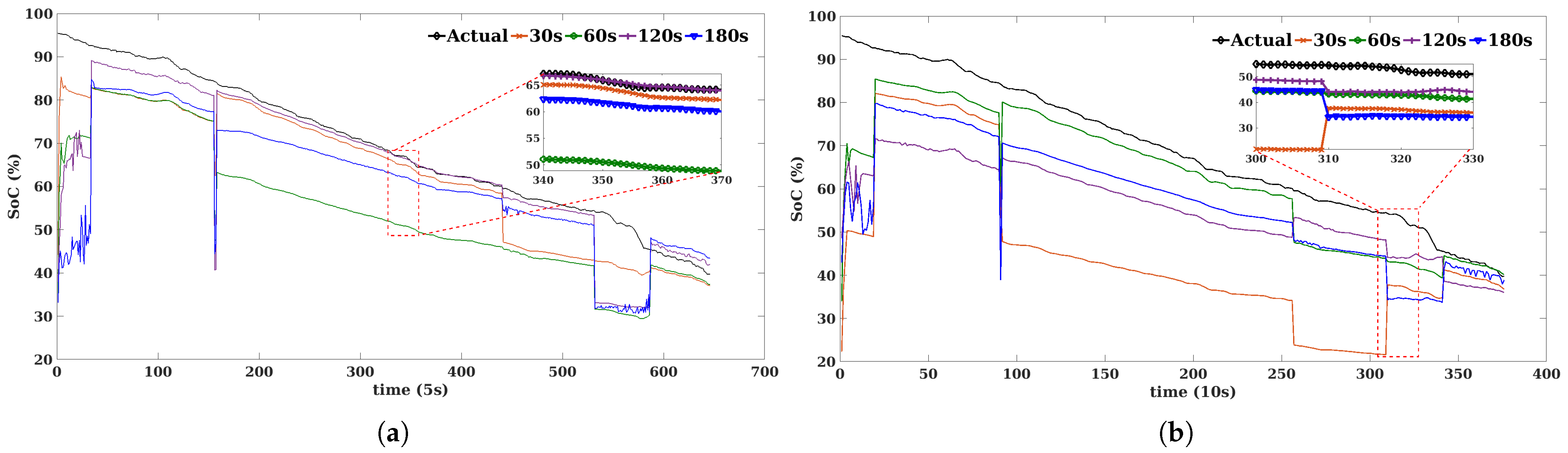
As stated in Section 4, the dataset used in this experiment contains the collected data from various driving cycles in both Rabat and Sala Al jadida cities in Morocco. Each driving cycle is done in a predefined trajectory, which is divided into multiple segments depending on the type of the road and speed limit. Therefore, multiple models are trained using the univariate approach, where each model corresponds to a specific trajectory segment. The univariate approach takes as input the historical SoC data in order to train models, which is used later to forecast the next battery SoC. Figure 10 and Figure 11 depict the results of the uivariate approach for each different forecast horizon. From these figures, four obvious remarks can be seen: (i) the time in which the models are switched in the beginning of each road segment is clear, (ii) the univariate approach tends to have good results in some segments and not in others, (iii) the results of trajectory B are relatively stable compared to those with trajectory A, and (iv) the univariate approach fails to predict the initial SoC.
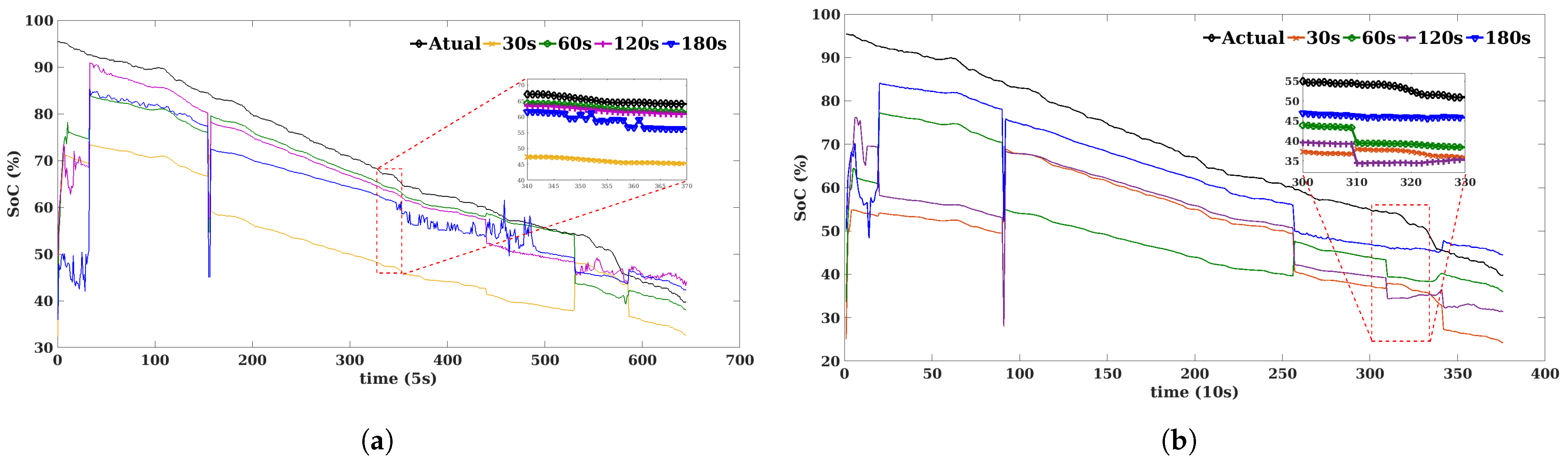
Unlike the univariate model, multivariate model take as input more data, which make it aware of the factors that are involved in the battery SoC. However, in order to learn all the relationship between all the input fields, the model needs to train upon a bigger dataset, which could result in a long training time. In this experiment, the same dataset was used to train the multivariate models. The results are shown in Figure 12 and Figure 13. From these figures, the same remarks as for univariate models can be applied to multivariate models. However, if compared figure to figure of each method (univariate/multivariate), the multivariate results overall are better than the univariate ones. Although, after determining the errors metrics for each approach, as shown in Table 4, both approaches, univariate and multivariate, perform poorly in forecasting the battery SoC compared to the linear regression.

5.4. Hybrid Approach Forecasts

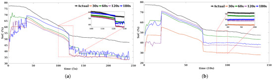
The proposed hybrid approach combines a machine learning algorithm and a simple EV model in order to forecast the battery SoC. The machine learning algorithm is used to forecast the vehicle’s speed. It is worth noting that, as stated in Section 4, the speed’s forecasting process is performed as follows, dividing the trajectory into multiple segments and then training a model for each segment. After forecasting the vehicle’s speed, the simple EV model takes the forecasted speed values as the input and outputs the corresponding battery SoC values. The results of this approach are presented in Figure 14 and Figure 15.
From these figures, it is clearly seen that, even though multiple models are used to forecast the speed of each segment, the segmentation of the trajectory is barely noticeable in the results of the proposed approach compared to the direct SoC forecasting approach. Furthermore, the problem of initial SoC is solved, as the simple model takes into consideration the internal EV data, e.g., the battery SoC.
Another remark that can be drawn from the results of the proposed approach is, the collect step plays a role in the accuracy of the results. Actually, from the errors metric, presented in Table 4, a collect step of five seconds is suitable for forecasting the SoC in trajectory A; however, for trajectory B, using a collect step of 10 s yields good results. Additionally, the errors of the proposed approach are much smaller than those of direct SoC forecasting, and between Full LR and Batch LR errors.

6. Conclusions and Perspectives

In this study, a hybrid battery SoC forecasting approach is introduced and investigated. The proposed approach combines a machine learning algorithm with a simple EV model in order to forecast the battery SoC. The machine learning algorithm is responsible for forecasting the vehicle’s speed. This later is then used an input for the EV model to obtain the corresponding battery SoC. The proposed hybrid approach is compared to direct SoC forecasting using LSTM and a linear regression algorithm. The errors results show that the proposed approach outperforms the direct forecast method and can forecast over to 180 s ahead with minimal errors. Moreover, the proposed approach also overcomes the limitation of the linear regression method. More precisely, the proposed approach gives better results compared to the LR or the direct SoC forecasting method. On one hand, the hybrid approach seems to overcome the problem of the two other investigated methods. On the other hand, this study aims to develop a SoC forecasting method that can be deployed in an in-vehicle embedded system. The low computational power of the embedded system makes it hard to use the LR or the direct SoC forecasting method, as they require a huge amount of data in order to train the models and improve their accuracy. However, the proposed method relies on the forecasted speed, which is already deployed into the embedded system, to generate the future SoC. The deployed speed forecasting system is already tested in the previous work [43], and the simplicity and the computational power of the EV model helps in integrating it alongside the speed forecasting system. As a future work, the proposed hybrid approach is undergoing integration into the simulator, V2X Simulation Runtime Infrastructure (VSIMRTI), for virtual testing and scalability studies.

Author Contributions

Conceptualization, Y.N., M.N. and M.B.; methodology, Y.N., M.N. and M.B.; software Y.N. and M.N.; validation, Y.N., M.N., M.B., A.L., J.G. and M.E.; formal analysis, Y.N., M.N., M.B. and A.L.; investigation Y.N., M.N., M.B., A.L., J.G. and M.E.; resources, M.B. and J.G.; data curation, Y.N., M.N. and M.B. writing—original draft preparation, Y.N., M.N. and M.B.; writing—review and editing, Y.N., M.N., M.B., A.L., J.G. and M.E.; visualization, Y.N., M.N., M.B., A.L., J.G. and M.E.; supervision, M.N., M.B. and M.E.; project administration, M.N. and M.B.; funding acquisition, M.N. and M.B. All authors have read and agreed to the published version of the manuscript.

Funding

This research is mainly supported by MIGRID project (grant 5-398, 2017– 2021), which is funded by USAID under the PEER program, and partially supported by HOLSYS project funded by IRESEN (2020–2022).

Data Availability Statement

Not applicable.

Acknowledgments

This work is performed under the collaborative framework OpenLab “PSA@Morocco—Sustainable mobility for Africa”.

Conflicts of Interest

The authors declare no conflict of interest. The funders had no role in the design of the study; in the collection, analyses, or interpretation of data; in the writing of the manuscript; or in the decision to publish the results.

References

  1. Chen, G.; Wu, X.; Guo, J.; Meng, J.; Li, C. Global overview for energy use of the world economy: Household-consumption-based accounting based on the world input-output database (WIOD). Energy Econ. 2019, 81, 835–847. [Google Scholar] [CrossRef]
  2. ITF Transport Outlook 2017. 2017. Available online: https://www.itf-oecd.org/sites/default/files/docs/transport-outlook-2017-presentation.pdf (accessed on 15 December 2021).
  3. Cazzola, P.; Gorner, M.; Munuera, L.; Schuitmaker, R.; Maroney, E. Global EV Outlook 2017: Two Million and Counting; International Energy Agency: Paris, France, 2017. [Google Scholar]
  4. Schinke, B.; Klawitter, J.; Zejli, D.; Barradi, T.; Garcia, I.; Leidreiter, A. Background paper: Country fact sheet Morocco. Energy Dev. Glance 2016, 2016, 58. [Google Scholar]
  5. National Agency for the Development of Renewable Energy and Energy Efficiency ADEREE. Trends of the Energy Efficiency to Morocco 2013. Available online: https://www.amee.ma/fr/expertise/transport (accessed on 15 December 2021).
  6. Becker, T.A.; Sidhu, I.; Tenderich, B. Electric Vehicles in the United States: A New Model with Forecasts to 2030; Center for Entrepreneurship and Technology, University of California, Berkeley: Berkeley, CA, USA, 2009; Volume 24. [Google Scholar]
  7. Ayyadi, S.; Maaroufi, M. Diffusion models for predicting electric vehicles market in Morocco. In Proceedings of the 2018 International Conference and Exposition on Electrical And Power Engineering (EPE), Iasi, Romania, 18–19 October 2018; pp. 46–51. [Google Scholar]
  8. McManus, W.; Senter, R., Jr. Market Models for Predicting PHEV Adoption and Diffusion; Technical Report; University of Michigan, Ann Arbor, Transportation Research Institute: Ann Arbor, MI, USA, 2009. [Google Scholar]
  9. Won, J.R.; Yoon, Y.B.; Lee, K.J. Prediction of electricity demand due to PHEVs (Plug-In Hybrid Electric Vehicles) distribution in Korea by using diffusion model. In Proceedings of the 2009 Transmission & Distribution Conference & Exposition: Asia and Pacific, Seoul, Korea, 26–30 October 2009; pp. 1–4. [Google Scholar]
  10. Boulakhbar, M.; Lebrouhi, B.; Kousksou, T.; Smouh, S.; Jamil, A.; Maaroufi, M.; Zazi, M. Towards a large-scale integration of renewable energies in Morocco. J. Energy Storage 2020, 32, 101806. [Google Scholar] [CrossRef] [PubMed]
  11. Chargemap Statistics. 2022. Available online: https://chargemap.com/about/stats/morocco (accessed on 10 February 2022).
  12. Chachdi, A.; Rahmouni, B.; Aniba, G. Socio-economic analysis of electric vehicles in Morocco. Energy Procedia 2017, 141, 644–653. [Google Scholar] [CrossRef]
  13. Chachdi, A.; Rahmouni, B.; Zahi, J.; Ikken, B. Forecasting the demand for electric cars in Morocco. Int. J. Smart Grid Clean Energy 2019, 8, 191–200. [Google Scholar] [CrossRef]
  14. Macioszek, E. Electric vehicles—Problems and issues. In Advances in Intelligent Systems and Computing: Smart and Green Solutions for Transport Systems: 16th Scientific and Technical Conference "Transport Systems. Theory and Practice 2019" Selected Papers; Springer: Cham, Switzerland, 2019; pp. 169–183. [Google Scholar]
  15. Wirasingha, S.G.; Emadi, A. Classification and review of control strategies for plug-in hybrid electric vehicles. IEEE Trans. Veh. Technol. 2010, 60, 111–122. [Google Scholar] [CrossRef]
  16. Macioszek, E. E-mobility infrastructure in the Górnośląsko-Zagłębiowska Metropolis, Poland, and potential for development. In Proceedings of the 5th World Congress on New Technologies (NewTech’19), Lisbon, Portugal, 18–20 August 2019; p. 108-1. [Google Scholar]
  17. Davis, C.W.; Jetter, A.J.; Giabbanelli, P.J. Automatically Generating Scenarios from a Text Corpus: A Case Study on Electric Vehicles. Sustainability 2022, 14, 7938. [Google Scholar] [CrossRef]
  18. Das, H.S.; Rahman, M.M.; Li, S.; Tan, C. Electric vehicles standards, charging infrastructure, and impact on grid integration: A technological review. Renew. Sustain. Energy Rev. 2020, 120, 109618. [Google Scholar] [CrossRef]
  19. Guo, L.; Wang, Z.; Wang, J.; Luo, Q.; Liu, J. Effects of the environmental temperature and heat dissipation condition on the thermal runaway of lithium ion batteries during the charge-discharge process. J. Loss Prev. Process. Ind. 2017, 49, 953–960. [Google Scholar] [CrossRef]
  20. Benabdelaziz, K.; Maaroufi, M.; Ikken, B. Degradation of Lithium-Ion Batteries in Electric Vehicles at High Temperatures: A Case Study. In Proceedings of the 2018 6th International Renewable and Sustainable Energy Conference (IRSEC), Rabat, Morocco, 5–8 December 2018; pp. 1–6. [Google Scholar]
  21. Broussely, M.; Biensan, P.; Bonhomme, F.; Blanchard, P.; Herreyre, S.; Nechev, K.; Staniewicz, R. Main aging mechanisms in Li ion batteries. J. Power Sources 2005, 146, 90–96. [Google Scholar] [CrossRef]
  22. Tian, Y.; Zeng, G.; Rutt, A.; Shi, T.; Kim, H.; Wang, J.; Koettgen, J.; Sun, Y.; Ouyang, B.; Chen, T.; et al. Promises and challenges of next-generation “beyond Li-ion” batteries for electric vehicles and grid decarbonization. Chem. Rev. 2020, 121, 1623–1669. [Google Scholar] [CrossRef]
  23. Pelletier, S.; Jabali, O.; Laporte, G.; Veneroni, M. Battery degradation and behaviour for electric vehicles: Review and numerical analyses of several models. Transp. Res. Part B Methodol. 2017, 103, 158–187. [Google Scholar] [CrossRef]
  24. Danzer, M.; Liebau, V.; Maglia, F. Aging of lithium-ion batteries for electric vehicles. In Advances in Battery Technologies for Electric Vehicles; Elsevier: Sawston, UK, 2015; pp. 359–387. [Google Scholar]
  25. Lahlou, A.; Ossart, F.; Boudard, E.; Roy, F.; Bakhouya, M. Optimal management of thermal comfort and driving range in electric vehicles. Energies 2020, 13, 4471. [Google Scholar] [CrossRef]
  26. Vatanparvar, K.; Faezi, S.; Burago, I.; Levorato, M.; Al Faruque, M.A. Extended range electric vehicle with driving behavior estimation in energy management. IEEE Trans. Smart Grid 2018, 10, 2959–2968. [Google Scholar] [CrossRef]
  27. Nait-Sidi-Moh, A.; Ruzmetov, A.; Bakhouya, M.; Naitmalek, Y.; Gaber, J. A prediction model of electric vehicle charging requests. Procedia Comput. Sci. 2018, 141, 127–134. [Google Scholar] [CrossRef]
  28. Rosewater, D.; Ferreira, S.; Schoenwald, D.; Hawkins, J.; Santoso, S. Battery energy storage state-of-charge forecasting: Models, optimization, and accuracy. IEEE Trans. Smart Grid 2018, 10, 2453–2462. [Google Scholar] [CrossRef]
  29. Ardiansyah, A.; Kim, Y.; Choi, D. LSTM-based Multi-Step SOC Forecasting of Battery Energy Storage in Grid Ancillary Services. In Proceedings of the 2021 IEEE International Conference on Communications, Control, and Computing Technologies for Smart Grids (SmartGridComm), Aachen, Germany, 25–28 October 2021. [Google Scholar]
  30. Elmouatamid, A.; Naitmalek, Y.; Ouladsine, R.; Bakhouya, M.; El Kamoun, N.; Khaidar, M.; Zine-Dine, K. A MicroGrid System Infrastructure Implementing IoT/Big-Data Technologies for Efficient Energy Management in Buildings. In Advanced Technologies for Solar Photovoltaics Energy Systems; Motahhir, S., Eltamaly, A.M., Eds.; Springer: Cham, Switzerland, 2021; pp. 571–600. [Google Scholar] [CrossRef]
  31. Chen, N.; Zhang, P.; Dai, J.; Gui, W. Estimating the state-of-charge of lithium-ion battery using an H-infinity observer based on electrochemical impedance model. IEEE Access 2020, 8, 26872–26884. [Google Scholar] [CrossRef]
  32. Zhang, R.; Xia, B.; Li, B.; Cao, L.; Lai, Y.; Zheng, W.; Wang, H.; Wang, W. State of the art of lithium-ion battery SOC estimation for electrical vehicles. Energies 2018, 11, 1820. [Google Scholar] [CrossRef]
  33. Zhang, C.; Li, K.; Pei, L.; Zhu, C. An integrated approach for real-time model-based state-of-charge estimation of lithium-ion batteries. J. Power Sources 2015, 283, 24–36. [Google Scholar] [CrossRef]
  34. Zheng, Y.; Ouyang, M.; Han, X.; Lu, L.; Li, J. Investigating the error sources of the online state of charge estimation methods for lithium-ion batteries in electric vehicles. J. Power Sources 2018, 377, 161–188. [Google Scholar] [CrossRef]
  35. Hannan, M.A.; Lipu, M.H.; Hussain, A.; Mohamed, A. A review of lithium-ion battery state of charge estimation and management system in electric vehicle applications: Challenges and recommendations. Renew. Sustain. Energy Rev. 2017, 78, 834–854. [Google Scholar] [CrossRef]
  36. Xu, J.; Mi, C.C.; Cao, B.; Cao, J. A new method to estimate the state of charge of lithium-ion batteries based on the battery impedance model. J. Power Sources 2013, 233, 277–284. [Google Scholar] [CrossRef]
  37. Xing, Y.; Ma, E.W.; Tsui, K.L.; Pecht, M. An ensemble model for predicting the remaining useful performance of lithium-ion batteries. Microelectron. Reliab. 2013, 53, 811–820. [Google Scholar] [CrossRef]
  38. Wang, D.; Bao, Y.; Shi, J. Online lithium-ion battery internal resistance measurement application in state-of-charge estimation using the extended kalman filter. Energies 2017, 10, 1284. [Google Scholar] [CrossRef]
  39. Plett, G.L. Extended Kalman filtering for battery management systems of LiPB-based HEV battery packs: Part 1. Background. J. Power Sources 2004, 134, 252–261. [Google Scholar] [CrossRef]
  40. Dang, X.; Yan, L.; Xu, K.; Wu, X.; Jiang, H.; Sun, H. Open-circuit voltage-based state of charge estimation of lithium-ion battery using dual neural network fusion battery model. Electrochim. Acta 2016, 188, 356–366. [Google Scholar] [CrossRef]
  41. Chandran, V.; Patil, C.K.; Karthick, A.; Ganeshaperumal, D.; Rahim, R.; Ghosh, A. State of charge estimation of lithium-ion battery for electric vehicles using machine learning algorithms. World Electr. Veh. J. 2021, 12, 38. [Google Scholar] [CrossRef]
  42. Meng, J.; Luo, G.; Gao, F. Lithium polymer battery state-of-charge estimation based on adaptive unscented Kalman filter and support vector machine. IEEE Trans. Power Electron. 2015, 31, 2226–2238. [Google Scholar] [CrossRef]
  43. NaitMalek, Y.; Najib, M.; Bakhouya, M.; Gaber, J.; Essaaidi, M. Embedded Real-time Speed Forecasting for Electric Vehicles: A Case Study on RSK Urban Roads. IEEE Access 2022, Submitted. [Google Scholar]
  44. Lin, X.; Stefanopoulou, A.G.; Perez, H.E.; Siegel, J.B.; Li, Y.; Anderson, R.D. Quadruple adaptive observer of the core temperature in cylindrical Li-ion batteries and their health monitoring. In Proceedings of the 2012 American Control Conference (ACC), Montreal, QC, Canada, 27–29 June 2012; pp. 578–583. [Google Scholar]
  45. Hall, J.; Schoen, A.; Allen, P.; Liu, P.; Kirby, K. Resistance growth in lithium ion satellite cells. i. non destructive data analyses. In ECS Meeting Abstracts; IOP Publishing: Bristol, UK, 2006; p. 242. [Google Scholar]
  46. Naitmalek, Y.; Najib, M.; Bakhouya, M.; Essaaidi, M. Forecasting the state-of-charge of batteries in micro-grid systems. In Proceedings of the 2019 4th world conference on complex systems (WCCS), Ouarzazate, Morocco, 22–25 April 2019; pp. 1–6. [Google Scholar]
Figure 1. SoC estimation methods.
Figure 1. SoC estimation methods.
Sustainability 14 09993 g001
Figure 2. Forces applied to the vehicle.
Figure 2. Forces applied to the vehicle.
Sustainability 14 09993 g002
Figure 3. Power balance diagram of the proposed model.
Figure 3. Power balance diagram of the proposed model.
Sustainability 14 09993 g003
Figure 4. Simple Li-Ion battery model.
Figure 4. Simple Li-Ion battery model.
Sustainability 14 09993 g004
Figure 5. Architecture of the proposed approach.
Figure 5. Architecture of the proposed approach.
Sustainability 14 09993 g005
Figure 6. Used trajectories between Rabat and Sala Al Jadida.
Figure 6. Used trajectories between Rabat and Sala Al Jadida.
Sustainability 14 09993 g006
Figure 7. Linear regression results for trajectory A for each collect step: (a) 5 s, (b) 10 s.
Figure 7. Linear regression results for trajectory A for each collect step: (a) 5 s, (b) 10 s.
Sustainability 14 09993 g007
Figure 8. Linear regression results for trajectory B for each collect step: (a) 5 s, (b) 10 s.
Figure 8. Linear regression results for trajectory B for each collect step: (a) 5 s, (b) 10 s.
Sustainability 14 09993 g008
Figure 9. Relation between the SoC and the Speed.
Figure 9. Relation between the SoC and the Speed.
Sustainability 14 09993 g009
Figure 10. Univariate model results for trajectory A for each collect step: (a) 5 s, (b) 10 s.
Figure 10. Univariate model results for trajectory A for each collect step: (a) 5 s, (b) 10 s.
Sustainability 14 09993 g010
Figure 11. Univariate model results for trajectory B for each collect step: (a) 5 s, (b) 10 s.
Figure 11. Univariate model results for trajectory B for each collect step: (a) 5 s, (b) 10 s.
Sustainability 14 09993 g011
Figure 12. Multivariate model results for trajectory A for each collect step: (a) 5 s, (b) 10 s.
Figure 12. Multivariate model results for trajectory A for each collect step: (a) 5 s, (b) 10 s.
Sustainability 14 09993 g012
Figure 13. Multivariate model results for trajectory B for each collect step: (a) 5 s, (b) 10 s.
Figure 13. Multivariate model results for trajectory B for each collect step: (a) 5 s, (b) 10 s.
Sustainability 14 09993 g013
Figure 14. Hybrid approach results for trajectory A for each collect step: (a) 5 s, (b) 10 s.
Figure 14. Hybrid approach results for trajectory A for each collect step: (a) 5 s, (b) 10 s.
Sustainability 14 09993 g014
Figure 15. Hybrid approach results for trajectory B for each collect step: (a) 5 s, (b) 10 s.
Figure 15. Hybrid approach results for trajectory B for each collect step: (a) 5 s, (b) 10 s.
Sustainability 14 09993 g015
Table 1. Model validation errors.
Table 1. Model validation errors.
TrajectorySMAPE (%)RMSE R 2 (%)
A2.751.997.08
B7.335.4398.93
Table 2. Twizy technical specification.
Table 2. Twizy technical specification.
ENGINE
Engine modelMBL7e
DRIVETRAIN
Motor and drivetrain features3CG—electric asynchronous
Maximum power13 kW—17 hp
Maximum torque57 Nm
Engine speed at max. torqueFrom 0 to 2100 rpm
Drag co-efficient (SCx/Cd)0.64
ACCELERATION PERFORMANCE
AC maximum power6 kW
Max speed80 km/h
RANGE
Max range100 km
WEIGHT
Total weight474 kg
TYRES
Wheel size13” wheel covers or alloy wheels
Front tires125 × 80 R13
Rear tires145 × 80 R13
BATTERY
Battery typeLithium ion
Battery weight98 kg
Capacity6.1 kWh
From 0 to 100 %3.5 h
Slow charge10 amps
Table 3. Linear regression Error metrics.
Table 3. Linear regression Error metrics.
Full LRBatch LR
TrajectoryCollectSMAPERMSE R 2 SMAPERMSE R 2
Step (s)(%) (%)(%) (%)
A54.322.9592.3722.4916.4592.37
104.32.9492.417.445.2375.9
B51.581.1899.445.743.7894.3
101.581.1899.443.32.4997.5
Table 4. Error metrics; Traj (Trajectory), Cs (Collect stetps), Fh (Forecast horizon).
Table 4. Error metrics; Traj (Trajectory), Cs (Collect stetps), Fh (Forecast horizon).
Forecasted SpeedUnivariate Forecasted SoCMultivariate Forecasted SoCHybrid Approach
TrajCsFhSMAPERMSE R 2 SMAPERMSE R 2 SMAPERMSE R 2 SMAPERMSE R 2
(s)(s)(%) (%)(%) (%)(%)(%)(%)(%)
A53043.7614.7069.6164.2029.4761.3939.7819.8663.711.871.5076.40
6045.9615.2566.7638.0418.4455.8328.3813.1280.563.552.4789.85
12047.3915.5767.7318.3011.4669.5935.217.8664.443.352.4191.95
18058.2720.0650.9329.2118.8152.7522.2913.4262.435.463.9492.59
103045.4312.8875.9842.4321.2866.1967.5528.6566.7513.078.8394.60
6048.2914.1170.7461.0929.6047.5814.6210.7770.9211.707.9093.04
12051.2117.4755.2932.3416.6650.5433.2919.7051.5410.517.1491.33
18048.7417.0659.8018.3113.5157.5019.812.2269.0512.688.5493.12
B53062.9213.2660.0846.6028.3641.6618.4414.8265.6415.0610.0398.25
6069.9716.9734.1711.2711.8267.4438.522.4257.823.0212.9098.90
12072.2617.9226.4511.9411.9465.8910.1911.269.4317.3810.0998.44
18077.8321.8713.1517.7017.1339.7819.2717.9341.237.725.2277.95
103064.5013.6059.8252.4331.3534.9566.6835.4832.344.843.4898.84
6068.2216.2340.4547.7229.9833.8216.1615.757.174.863.7398.59
12072.9018.4323.2045.2127.7339.3134.2923.1345.977.205.3598.72
18074.8919.0618.4017.6115.6451.5129.8120.7949.299.056.7798.04
Publisher’s Note: MDPI stays neutral with regard to jurisdictional claims in published maps and institutional affiliations.

Share and Cite

MDPI and ACS Style

NaitMalek, Y.; Najib, M.; Lahlou, A.; Bakhouya, M.; Gaber, J.; Essaaidi, M. A Hybrid Approach for State-of-Charge Forecasting in Battery-Powered Electric Vehicles. Sustainability 2022, 14, 9993. https://doi.org/10.3390/su14169993

AMA Style

NaitMalek Y, Najib M, Lahlou A, Bakhouya M, Gaber J, Essaaidi M. A Hybrid Approach for State-of-Charge Forecasting in Battery-Powered Electric Vehicles. Sustainability. 2022; 14(16):9993. https://doi.org/10.3390/su14169993

Chicago/Turabian Style

NaitMalek, Youssef, Mehdi Najib, Anas Lahlou, Mohamed Bakhouya, Jaafar Gaber, and Mohamed Essaaidi. 2022. "A Hybrid Approach for State-of-Charge Forecasting in Battery-Powered Electric Vehicles" Sustainability 14, no. 16: 9993. https://doi.org/10.3390/su14169993

APA Style

NaitMalek, Y., Najib, M., Lahlou, A., Bakhouya, M., Gaber, J., & Essaaidi, M. (2022). A Hybrid Approach for State-of-Charge Forecasting in Battery-Powered Electric Vehicles. Sustainability, 14(16), 9993. https://doi.org/10.3390/su14169993

Note that from the first issue of 2016, this journal uses article numbers instead of page numbers. See further details here.

Article Metrics

Back to TopTop