Next Article in Journal
Energy Saving with Zero Hot Spots: A Novel Power Control Approach for Sustainable and Stable Data Centers
Next Article in Special Issue
Intermodal Green p-Hub Median Problem with Incomplete Hub-Network
Previous Article in Journal
The Hotspots and Trends in the Literature on Cleaner Production: A Visualized Analysis Based on Citespace
Previous Article in Special Issue
Determining Optimal Locations of Postal Access Points Based on Simulated Annealing
 
 
Font Type:
Arial Georgia Verdana
Font Size:
Aa Aa Aa
Line Spacing:
Column Width:
Background:
Article

Incentives to Enhance Production Reliability against Disruption: Cost-Sharing vs. Penalty

1
School of Economics and Management, Beihang University, Beijing 100190, China
2
Beijing Key Laboratory of Emergency Support Simulation Technologies for City Operations, Beijing 100191, China
*
Author to whom correspondence should be addressed.
Sustainability 2022, 14(15), 9003; https://doi.org/10.3390/su14159003
Submission received: 26 June 2022 / Revised: 20 July 2022 / Accepted: 20 July 2022 / Published: 22 July 2022
(This article belongs to the Special Issue Sustainable Development in Production and Logistics Systems)

Abstract

Two kinds of incentive strategies, cost-sharing and penalty, are examined in dealing with production disruption, with consideration of production process reliability as an endogenous factor for a two-echelon supply chain. Based on the Stackelberg game framework, we derive the optimal decisions of supply chain partners and compare their expected profits with different strategies. Considering the uncertain demand and the retailer’s preference against the risk, we further analyze how the partners’ decisions and the retailer’s expected profit are influenced by the feature of loss aversion. From theoretical analysis and numerical experiments, we find that: (1) overall, a penalty strategy dominates that of cost-sharing for the retailer, whereas the reverse applies with respect to the manufacturer; (2) a penalty strategy may outperform a cost-sharing strategy for the whole supply chain, depending on demand; and (3) a reasonable aversion against risk can help the retailer to achieve a more robust result when a penalty strategy is adopted under volatile and unpredictable demand.

1. Introduction

Production disruption, emerging as one of the most important problems in real-world supply chain management, is increasingly arousing the interests of both researchers and practitioners [1,2]. A production disruption not only directly affects the operational performance of manufacturers, but also breaks the balance of the supply chain system and then affects the long-term sustainability of the supply chain. In 2020, for example, the supply disruption due to the COVID-19 pandemic in Europe drove Volkswagen to stop production, which caused significant loss to his partners. Similarly, in Japan, three giant automakers–Toyota, Honda, and Nissan–all suffered from significant operational performance impacts owed to production disruption [3]. Hendricks, Singhal, and Powell summarized the serious damage caused by production disruptions on the operational performance of manufacturers, which may lead to losses in the wealth and the reputation of shareholders [4,5,6]. Obviously, production disruption has a direct impact on the sustainability of the supply chain. Production disruption may also cause an increase in cost and in resource waste, which runs counter to the goal of global sustainable development. As a result, more and more firms have begun to place serious concerns on production disruption management. While they are beginning to appreciate the importance of supply chain disruptions, managing these disruptions remains a major challenge.
Generally, there are two broad categories of risks influencing production disruptions. The first category of risks originates from natural disasters (e.g., earthquake and epidemic) or social/economic events (e.g., strikes, financial crises, terroristic attacks), which are exogenous and uncontrollable. Previous studies on these risks mainly focused on five important strategies, including multiple sourcing, backup supply, inventory, emergency purchases, and demand management. These strategies have been extensively studied, aiming to mitigate the negative consequences of production disruptions [7,8,9]. The second category of risks arises from unqualified raw materials, design deficiency, and a lower technology level, which are more probable to happen but endogenous and controllable. As stated by Tunca and Zhu [10], it is common in the retail industry that a percentage of products offered by a manufacturer have some problems due to process or design issues. This will make the products unsellable, leading to a supply disruption. To deal with this kind of risk, one effective way is to offer incentives to manufacturers to improve their production process reliability. For example, Tang et al. proposed an approach by which retailers invest in improving suppliers’ processes to reduce the likelihood of production disruptions [11].
Among the existing incentives, cost-sharing is an effective approach in improving production process reliability [11]. However, there is an underlying assumption for this strategy, that is, retailers have to be abundant in capital because cost-sharing will bring about additional cost. For those retailers who have insufficient capital at hand, this incentive may not be a good choice, possibly not even a feasible option. This motivates us to consider another type of incentive: to impose a penalty on the manufacturer for his default due to disruption, which is quite common and practical as an ex-ante strategy in supply chain disruption management [12]. Obviously, one of the main advantages of a penalty strategy is that the retailer need not prepare additional funds for the incentive. In fact, it is not unusual that a penalty is imposed for unfulfilling products in the reality. However, they also showed that a higher penalty from the retailer might bankrupt the supplier, which will in turn hurt her own benefit and even the whole supply chain from the viewpoint of long-term sustainability [12]. To this end, the retailer must determine a proper penalty level. In this paper, we will try to answer the question of what strategy should be adopted, cost-sharing or penalty, when incentives are required to stimulate the manufacturer improving his production process reliability to avoid a possible disruption. In addition, what is the most appropriate level of the penalty if a penalty strategy is preferred?
To address these issues, we consider a two-stage supply chain, where the manufacturer and the retailer are directly connected, and discuss their optimal strategies based on a Stackelberg game. First, we start with a basic model consisting of a retailer and a manufacturer, where the retailer faces a deterministic demand and the manufacturer’s production process is subject to uncertain disruptions. Disruption probability is expressed as a function of a manufacturer’s investment in process improvement. The retailer can influence the manufacturer’s investment strategy by providing different incentives. However, demand is not always determined in practice, and actual demand will change with the quality of products, logistics, environment, and other factors, especially for seasonal products, such as electrical appliances. Hence, we extend the basic model to a more general and practical model, where the demand is stochastic. In order to obtain a more robust strategy for the uncertain setting, we also develop a loss-averse model, which shows the retailer’s tradeoff between gain and loss. For all the models, we investigate the interactions between the retailer and the manufacturer with a Stackelberg game framework. The retailer, as a leader, determines the quantity ordered from her upstream firm, the proportion of cost-sharing or the penalty level for non-delivery. The manufacturer, as the follower, decides the investment level, in terms of the level of production process reliability. Based on this framework, we compare the performance of a penalty strategy with that of cost-sharing, and we analyze the efficacy of each strategy in improving production process reliability.
The main novelty and contribution of this paper can be identified from three aspects. First, a penalty strategy is proposed as an incentive to the manufacturer to improve production process reliability. Second, we have got some new findings that show a penalty strategy outperforms cost-sharing in reducing the likelihood of production disruptions as well as improving the performance of the supply chain, when demand is relatively higher. At last, the preference of a decision maker against the risk is incorporated into the model, and the impact of the retailer’s risk aversion on strategy selection is revealed. Conclusions of this study can be applied to the design of effective measures to encourage the efforts of the manufacturer in improving production process reliability to avoid possible production disruptions.
The rest of the paper is organized as follows. A brief overview of the relevant investigations is presented in Section 2. Then, we introduce the problem including the notations and the assumptions of the model in Section 3. As the key part of this paper, Section 4 expounds in detail on a cost-sharing strategy and a penalty strategy, followed by a comprehensive analysis on strategy selection. Section 5 extends the model to the case of random demand in which the retailer is loss averse. Finally, Section 6 summarizes the main conclusions and some potential extensions. All proofs are presented in Appendix A.

2. Literature Review

With supply chain disruptions being more and more frequently occurring in business operations, the relative issues arouse the increasing interests of scholars [13]. Among the existing literature, disruptions are typically modeled from two perspectives: decentralized or centralized settings. In decentralized models, the emphasis is usually placed on interactions between the supply chain partners via, e.g., the framework of a Stackelberg game [14,15]. These papers focused on how a retailer used proper incentive mechanisms to motivate a manufacturer’s investment in reliability and/or recoverability. On the other hand, centralized models have been used to explore disruption management for the supply chain as a whole. Such models tried to optimize the total benefits or costs of the supply chain system by employing effective disruption management strategies (e.g., [16]).
A large body of operational approaches for hedging against production disruptions have been proposed: multi-sourcing [17], carrying inventory [18,19], backup production options [20,21], demand management [9], and production process improvement [22,23]. Multi-sourcing is a commonly adopted approach used to mitigate the influence of the potential supply chain disruption. In the multi-sourcing model, retailers often split their orders to avoid goodwill costs because a single manufacturer is unable to supply [24,25]. For example, Tang et al. discussed the retailer’s preference between single and dual sourcing strategies, showing that despite the benefit of a larger order in sole sourcing mode, dual sourcing might lead to a higher expected profit for the retailer under the same wholesale price [11]. A recent study by Gupta and Ivanov [26] extended this approach by considering risk-averse suppliers, and it analyzed the impact of the risk-averse feature on dual sourcing decisions under delivery disruption. Inventory management also plays an important role in production disruption. Much of current work focuses on either stochastic demand or production yield. Schmitt et al. modeled both of them, investigating the inventory systems subject to supply chain disruptions [27]. Besides the above two approaches, production process improvement is another prevailing strategy in production disruption management. Through empirical analysis, Krause et al. found that direct involvement is an effective strategy in improving reliability [28].
While multi-sourcing, carrying inventory, and production process improvement are ex-ante strategies in disruption management, backup production is an effective ex-post approach in reducing losses due to production disruption. Yang et al. investigated a downstream firm that faced a supplier privileged with private information about delivery disruptions. They found that the value of supplier backup production for the downstream firm was not larger under symmetric information [29].
Even though the relevant strategies have been widely considered and studied by scholars, with a few exceptions, most of the existing research assumes that the retailer is risk neutral. However, it is well known that the retailer may exhibit a different attitude to the risk, such as risk-neutral, risk-seeking, and risk-averse, when production disruption occurs. Especially, a small/medium-scale downstream retailer usually tends to avoid the risk when facing probable production disruptions. That is, the decision maker is generally risk-averse. The existing literature involves a variety of objective functions capturing risk-averse behavior, e.g., the loss-averse model [30,31], mean-variance model [32], mean-standard deviation model [33], max-min model [34], min-max regret model [35], and conditional value-at-risk (CVaR) model [36], among which the mean-variance model, the mean-standard deviation model, and the CVaR model have been widely considered under supply chain disruptions. The max-min model and the min-max regret model are especially advantageous to situations with an unknown demand distribution. However, they are often criticized by producing over conservative decisions [37].
Based on the above survey, this paper engages disruption management due to unreliable production processes considering the loss-averse nature of a retailer. This structure of the supply chain is similar to Tang et al. [11] in which they investigated how an investment subsidy improved the manufacturer’s delivery process reliability with endogenous production process reliability. Based on the research of Tang et al. [11], our study extends the work by setting the penalty of production disruption, it is reasonable to consider some penalty strategy to stimulate the manufacturer instead of pure support measures, such as financing or investment [12]. We also compare this strategy with the cost-sharing (investment subsidy) strategy proposed by Tang et al. [11] from the different perspectives of supply chain members. In addition, considering that the retailer is loss averse and assuming the production process is uncertain, we study the supply chain partners’ optimal strategies in mitigating production risk.

3. Problem Description and Notations

We focus on a one-period two-layer supply chain with known (deterministic) demand for a customized product. The retailer (she) orders this product from the manufacturer (he) at a unit wholesale price, and resells it to customers at an exogenous market price. In addition to the normal production cost, the manufacturer is supposed to incur a fixed cost of β z 2 / 2 , where z is the probability of reliable production by adopting a certain level of manufacturing technology, and the parameter β / 2 can be regarded as the cost of adopting perfect manufacturing technology. Such a cost function has been widely used in the operational management literature to model diminishing influences of investment efforts that are directed at enhancing demand and product quality (e.g., [38]). Different from previous investigations, the probability z is taken as a decision variable (rather than an exogenous parameter) in this paper, which indicates the selection of a proper technology level.
We assume that the manufacturer’s production process is subject to a random disruption, which implies that the manufacturer may fail to deliver the product ordered by the retailer. To prevent serious profit loss due to production disruption, the retailer may consider incenting the manufacturer to improve production reliability. Two different incentive strategies are considered in this paper, i.e., cost-sharing (positive) and a penalty on an unfulfilled delivery (negative).
For ease of reference, we summarize all the notations used in this paper before describing the details of the problem, as shown in Table 1.
In the benchmark under deterministic demand, we assume that the supply chain partners are risk neutral and formulate their interactions with a Stackelberg game. At the beginning, the retailer, who is in a dominant position in the supply chain, offers the manufacturer the contract, specified by the pair γ , q or e , q , where γ is the proportion of cost sharing in technology investment, e is the unit penalty for non-delivery, and q is the quantity ordered. Then, the manufacturer, as the follower, may accept or decline the contract offer. If the offer is accepted, the manufacturer will determine the manufacturing technology level in terms of the probability of production success z ( 0 z 1 ) and launch his production according to the ordered quantity. Finally, the retailer will receive and sell the products to realize the demand if the production is successful; otherwise, the manufacturer has to pay a penalty to the retailer when the penalty contract e , q is accepted. The sequence of events is demonstrated in Figure 1.
For ease of exposition, the cost of overstock and the goodwill loss owed to unmet demand is not considered.

4. Analysis of the Incentive Strategies

Two incentive strategies, cost-sharing and penalty, are proposed in this section. We will first investigate the equilibria of the manufacturer and the retailer under the two incentive strategies, then compare these strategies from the different perspectives of supply chain members.

4.1. Cost-Sharing

We begin with the case that the retailer offers cost-sharing to the manufacturer, as proposed in Tang et al. [11]. The retailer would like to share the cost with the manufacturer for adopting a higher manufacturing technology level to avoid production disruption. However, the retailer will be completely refunded if production is disrupted. Following backward induction, we first examine the response of the manufacturer. Upon accepting the contract γ , q 0 with the retailer, the manufacturer determines the optimal manufacturing technology level z 0 to maximize his profit as
max z 0 Π m 0 = z 0 w q 0 c q 0 1 γ β z 0 2 / 2 s . t . 0 z 0 1
The manufacturer’s optimal manufacturing technology level z 0 can be worked out as shown in the following proposition.
Proposition 1.
Upon accepting the contract  γ , q 0 , the manufacturer’s optimal manufacturing technology level is z 0 = min w q 0 / 1 γ β , 1 .
Proposition 1 demonstrates that the manufacturer’s optimal manufacturing technology level z 0 depends on the wholesale price w , the investment of adopting specific technology, as well as the retailer’s proportion of cost-sharing γ and the ordering quantity q 0 . Obviously, the manufacturer would like to choose a higher manufacturing technology level when he receives a larger order or a larger proportion of cost-sharing.
Next, let us analyze the retailer’s optimal decision. Considering the manufacturer’s optimal response z 0 specified in proposition 1, the retailer’s problem can be written as follows.
max q 0 , γ Π r 0 = z 0 p min q 0 , d + 1 z 0 w q 0 w q 0 γ β z 0 2 / 2 = z 0 p min q 0 , d w q 0 γ β z 0 2 / 2
The retailer’s optimal order quantity q 0 and the cost-sharing proportion γ * can be derived by solving the above problem, as stated in Proposition 2.
Proposition 2.
The retailer’s optimal order quantity is q 0 = d , and the optimal cost-sharing proportion is given as follows:
(i) 
For a low wholesale price  w 2 p / 3 ,
γ = 2 p 3 w / 2 p w , 1 w d / β , 0 , i f d 2 β / 2 p w , i f 2 β / 2 p w < d β / w , i f d > β / w .
(ii) 
For a high wholesale price  w > 2 p / 3 , γ = 0 .
As illustrated in Proposition 2, there is a threshold for the wholesale price, which decides the strategy of the retailer. When the wholesale price exceeds the threshold, the retailer will not provide any cost-sharing. It is easy to understand because the retailer’s order at a high wholesale price is already a big enough incentive to the manufacturer to avoid possible disruption by adopting proper manufacturing technology level. When the wholesale price is less than the threshold, but the demand is huge enough (d > β/w), the prospective big order from the retailer (due to big demand) can well compensate the lower wholesale price, hence the manufacturer may also accept the deal even without the cost-sharing of the retailer. However, if the demand is relatively low, i.e., d β / w , the retailer has to provide cost-sharing to induce the desired manufacturing technology level adopted by the manufacturer. For the retailer, in fact, cost-sharing is more preferable than increasing the order to incent the manufacturer. This can be explained as an over-order will bring about the extra-cost for the whole supply chain and decrease its performance, which may influence the retailer’s profit. Intuitively, one might expect that the decision of the retailer would be affected by the manufacturer’s optimal manufacturing technology level z 0 ; however, it is interesting to find that the optimal order quantity q 0 and the optimal cost-sharing proportion γ of the retailer are all independent of it. The reason lies in that the retailer’s expected profit depends only on her own decisions if there is no disruption. If the production is disrupted, the retailer’s expected profit is constant because her payment for the order will be completely refunded.

4.2. Penalty on Non-Delivery

In this sub-section, we focus on the case of a penalty strategy. Instead of providing a subsidy to the manufacturer, the retailer will impose a penalty to him if he fails to deliver the products due to production disruption. Similar to the previous section, we first consider the response of the manufacturer. Upon accepting the contract e 1 , q 1 with the retailer, the manufacturer determines the optimal manufacturing technology level z 1 to maximize his expected profit, which can be formulated as
max z 1 Π m 1 = z 1 w q 1 c q 1 1 z 1 e 1 q 1 β z 1 2 / 2 s . t . 0 z 1 1
The optimal manufacturing technology level z 1 of the manufacturer in this case can be deduced by solving the above problem, as presented in Proposition 3.
Proposition 3.
The manufacturer’s optimal manufacturing technology level is given by:
z 1 = min w + e 1 q 1 / β , 1
Proposition 3 suggests that the manufacturer’s optimal manufacturing technology level z 1 depends on the wholesale price, penalty level, the manufacturing technology investment, and the retailer’s optimal order quantity. The managerial implications are straightforward in that any rational manufacturer will intend to increase his manufacturing technology level in response to a higher penalty level or a higher order quantity.
We now discuss the retailer’s decision. The retailer’s optimal decisions can be worked out by solving the following problem
max q 1 , e 1 Π r 1 = z 1 p min q 1 , d w q 1 + 1 z 1 e 1 q 1
The optimal decisions for the retailer can be concluded as expounded in Proposition 4.
Proposition 4.
When the demand is deterministic, given the manufacturer’s optimal manufacturing technology level z 1 , the retailer’s optimal ordering quantity is q 1 = d , and the optimal penalty level is given as follows:
e 1 = p d + β / 2 d w , β / d w , 0 , i f d β / p , i f β / p < d β / w , i f d > β / w .
This proposition shows that the retailer’s optimal ordering quantity is equal to the demand. In addition, the retailer would like to give up the penalty if the demand is sufficiently large ( d > β / w ), which is consistent with the result of a cost-sharing strategy. If the demand is not big enough ( d β / w ), a proper penalty on the manufacturer can push him to increase his technology investment. We can further find that the retailer’s optimal penalty level decreases with the demand. This can be explained in that a lower demand will result in a smaller ordering size, which is not adequate to stimulate the manufacturer to choose a more reliable process technology unless he is obliged to do so. Hence, the retailer has to increase the unit penalty e 1 to force the manufacturer to improve production reliability.

4.3. Comparison of Cost-Sharing and Penalty Strategies

In Section 4.1 and Section 4.2, we have derived the equilibrium strategies in the presence of production disruption. Now, we will analyze and compare the performance of the two incentive strategies.
With the optimal strategies of the manufacturer and the retailer represented in Propositions 1 and 2, we can easily derive the profits of the supply chain partners and the whole supply chain in the case of cost-sharing, indicated as Π r 0 z 0 , q 0 , γ , Π m 0 z 0 , q 0 , γ , and Π c 0 z 0 , q 0 , γ . Similarly, we can also obtain these profits for the case of a penalty strategy, noted as Π r 1 z 1 , q 1 , e 1 , Π m 1 z 1 , q 1 , e 1 , and Π c 1 z 1 , q 1 , e 1 .
To have a more visualized result, we make the comparison through numerical experiments. Adopting the parameter setting in (Tang et al. 2014), we assume p = 12 , w 0 = 6   w 2 p / 3   , w 1 = 9     w > 2 p / 3   , β = 13 , c = 1 , the demand is deterministic and d 0 , 3 . Figure 2a,b shows the retailer’s profits with the two different contracts at a high and a low wholesale price, respectively. Correspondingly, in Figure 3 and Figure 4, we show the profits of the manufacturer and the whole supply chain. As illustrated in Figure 2, the retailer can achieve a higher or at least the same expected profit with a penalty strategy than that with a cost-sharing strategy despite the demand and the wholesale price. More specifically, the retailer’s expected profit with a penalty strategy is significantly larger than cost-sharing when demand is lower, and the difference will diminish with the increase in demand and become zero when a threshold is reached. The trend of the profit changing with demand is similar for different wholesale prices, but the demand threshold at which the retailer begins to achieve identical expected profit under the two contracts is different. This implies that a penalty strategy is much preferable to the retailer when demand is lower, and the effect is more significant when the wholesale price is lower as well because the penalty strategy outperforms cost-sharing for an even broader range of demand under this situation.
In contrast, a cost-sharing strategy is more attractive to the manufacturer. This is obvious because the manufacturer can directly benefit from the subsidy provided by the retailer. However, there will be no difference between the two strategies with the increase in demand, especially when the wholesale price is relatively high. This is because the manufacturer can achieve a higher profit from realizing the order, which will stimulate him to adopt a higher technological level to avoid production disruption even without a subsidy or a penalty. Hence, there is almost no difference in the effect of penalty and cost-sharing on encouraging the manufacturer to improve their level of technology. In fact, this also confirms the results of Propositions 2 and 4, i.e., there is γ = 0 and e = 0 (no cost-sharing and penalty) when d > β / w . Finally, from the perspective of the whole supply chain, Figure 4 shows that cost-sharing performs better than a penalty strategy when demand is very low, however the penalty strategy outperforms cost-sharing with an increase in demand (between 0.75 and 1.5 in Figure 4). When the demand is big enough, there is no difference between the two strategies because no cost-sharing or penalty is necessary now.
It can be concluded from the experimental results that cost-sharing and a penalty strategy can benefit the supply chain by effectively incenting the manufacturer to adopt the desired technology level in avoiding a possible production disruption when demand is relatively low or moderate, respectively. When demand is sufficiently large, none of them is necessary. A penalty strategy is more advantageous to the retailer, but not as attractive as the cost-sharing to the manufacturer. Nevertheless, it would be much easier for the manufacturer to accept if the wholesale price was relatively high. In fact, a penalty strategy will not harm the benefit of the manufacturer when the demand is relatively larger because it is almost impossible for him to pay the penalty if he adopts a higher technology level. Additionally, he is also less probable to receive a subsidy even if with a cost-sharing strategy with a big enough demand. Hence, it is advisable for the retailer to ask for a penalty strategy when demand is relatively higher, especially in the case of a higher wholesale price.

5. Further Analysis on the Penalty Strategy

In this section, we consider stochastic demand and a loss-averse retailer with a penalty contract. Assume that the cumulative distribution function F x of the demand for the product is differentiable, strictly increasing, and absolutely continuous, with the probability density function f x > 0 on 0 , .
According to Proposition 3, there are two possible candidates for the expression of the optimal technology level z* with regard to the contract e 2 , q 2 . We will discuss the two cases one by one. First, supposing w + e 2 q 2 / β 1 , we have z 2 = 1 , i.e., the manufacturer chooses a perfect production process. Thus, the retailer’s problem is:
max ( q 2 , e 2 ) E Π r 2 = p E min q 2 , D w q 2 s . t . w + e 2 q 2 / β 1 ,   e 2 0
Considering the nature of loss aversion, we assume the following utility function, as adopted in Yan et al., 2019.
E U Π r 2 = E Π r 2 , λ E Π r 2 , i f E Π r 2 0 , i f E Π r 2 < 0 .
where λ 1 is the indicator for loss tolerance of the retailer, and λ = 1 implies that the retailer is risk-neutral. In addition, let x = w q 2 / p denote the breakeven point of the demand for the retailer, i.e., the retailer cannot make a profit if the realized demand is less than x . Thus, the retailer’s optimal decision can be worked out by solving the following problem.
max ( q 2 , e 2 ) E U Π r 2 = p x q F ¯ x d x + λ 0 x F ¯ x d x x s . t . w + e 2 q 2 / β 1 ,   e 2 0
The optimal ordering quantity and the unit non-delivery penalty for the retailer are presented in Proposition 5.
Proposition 5.
Under stochastic demand, when the contract e 2 , q 2 satisfies w + e 2 q 2 / β 1 , the retailer’s optimal decisions are q 2 = F ¯ 1 w λ 1 F x + 1 / p and
e 2 = β / q 2 w , 0 , q 2 β / w , q 2 > β / w .
Proposition 5 implies that when the retailer’s optimal order quantity is big enough ( q 2 > β / w ), the manufacturer will be adequately motivated to choose a perfect manufacturing technology level even without the penalty ( e 2 = 0 ). However, when the retailer’s optimal order quantity q 2 is below the threshold ( q 2 β / w ), she needs to impose a penalty e 2 = β / q 2 w on the manufacturer as the incentive to achieve the desired manufacturing technology level.
Now, we turn to the second case, i.e., w + e 2 q 2 / β < 1 in which the manufacturer’s optimal technology level is z 2 = w + e 2 q 2 / β . The retailer’s problem becomes
max q 2 , e 2 E U Π r 2 = z 2 p x q 2 F ¯ x d x + λ 0 x F ¯ x d x x + 1 z 2 z 2 β 1 z 2 w q 2 s . t . w + e 2 q 2 / β < 1 ,   e 2 0
The retailer’s optimal decisions for this case are presented in the following proposition.
Proposition 5.
Under stochastic demand, when the contract q 2 , e 2 satisfies w + e 2 q 2 / β < 1 , the retailer’s optimal ordering quantity and penalty level are
q 2 , e 2 = q ^ , z ^ β / q ^ w , q ^ , 0 , β / w , 0 , i f q ^ β z ^ / w , i f β z ^ / w < q ^ β / w , i f q ^ > β / w .
where  q ^ = F ¯ 1 w 1 + z ^ 1 λ F x z ^ p  and z ^ = p x q ^ F ¯ x d x + λ 0 x F ¯ x d x x + β + w q ^ 2 β .
Proposition 6 provides the expressions of the loss-averse retailer’s optimal order quantity and penalty level for the case w + e 2 q 2 / β < 1 . One can find that when the retailer’s order is sufficiently large ( q ^ > β z ^ / w ), the penalty is not needed because the manufacturer can be adequately self-motivated with such a big order to ensure reliable production by adopting the desired high manufacturing technology level. However, there exists an upper bound for the order quantity q ^ (i.e., q ^ β / w ) because an excessive order will increase the purchase cost with no further incentive to the manufacturer. When the order quantity q ^ is below the threshold ( q ^ β z ^ / w ), the retailer needs to demand a penalty for inducing the desired manufacturing technology level adopted by the manufacturer to achieve the highest expected profit.
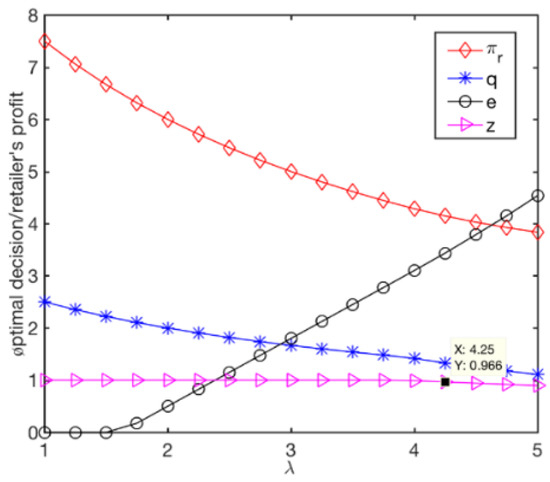
Next, we will carefully examine the impact of a risk-averse level on the supply chain members’ optimal decisions based on numerical experiments. Given the market demand, Figure 4 demonstrates that the retailer’s order quantity significantly decreases as the loss-averse coefficient increases, which is obvious because a more risk-averse retailer will tend to be more conservative in ordering. For the penalty level e 2 , the relationship is a little complicated. As shown in Proposition 6, there is a threshold for the order quantity which decides whether it is necessary to impose the penalty. Considering the relationship between the order quantity and the risk-averse level, it will be easy to understand that when the loss-averse coefficient is very small, the retailer’s order would be large enough to induce the desired manufacturing technology level, hence penalty is unnecessary. As the loss-averse coefficient further increases, the retailer’s order will decrease to the threshold, and it is not adequate to incent the manufacturer unless an extra incentive is imposed, as indicated in Figure 5. With regard to the manufacturer, it is interesting to find that his decision on the manufacturing technology level z has little change over the loss-averse coefficient of the retailer. This can be explained based on the following evidence. The retailer’s order will be relatively larger when the loss-averse coefficient is lower, hence the manufacturer will try to avoid production disruption by adopting a desired technology level in an effort to achieve a high profit. On the other hand, when the loss-averse coefficient is higher, the retailer’s penalty level will also be higher, hence the manufacturer has to adopt the desired technology level to avoid a huge penalty due to production disruption. Therefore, the retailer can make advantages of the proper combination of the penalty level and the order quantity to effectively stimulate the manufacturer to avoid production disruption by adopting a higher technology level. In addition, Figure 5 shows that the retailer’s profit decreases with an increased loss-averse coefficient, which is consistent with the tradeoff relationship between the risk aversion and the benefit.
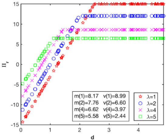
Furthermore, we will try to analyze the influence of demand fluctuation on the profit of the retailer with different loss-averse levels. For simplicity, we assume that the demand follows a uniform distribution of U 0 , 5 . The results of the experiments are presented in Figure 6. In general, the changes in the expected profit with the increased demand for the retailers with different loss-averse levels are quite similar, i.e., the profits first increase with the demand, then remain unchanged when the demand exceeds a certain threshold. Furthermore, the loss-averse retailer ( λ > 1 ) can achieve greater profit than the risk-neutral ( λ = 1 ) when the demand is below a certain threshold, whereas it is overtaken as the demand exceeds the threshold. Hence, the loss-averse retailer behaves better than the risk-neutral when demand is relatively low. More specifically, when the demand is lower than a certain value, the risk-neutral retailer would even have a negative expected profit while the loss-averse would still have positive gains. This effect is more significant with the increase in the loss-averse level. Therefore, if a penalty strategy is adopted, a reasonable aversion against risk is suggested when demand is lower.
Figure 6 also shows the variation of the expected profit over the demand horizon. Apparently, the variation for the risk-neutral is the largest, while the variation decreases with the increase in the loss-averse level. This implies that the more averse to the risk, the more robust a penalty strategy will be when the market has high uncertainty.

6. Conclusions

In this paper, the problem of managing production disruption has been investigated from the perspective of incenting the adoption of a proper technology level for the manufacturer in a supply chain. Two incentive strategies, a penalty strategy and a cost-sharing strategy, are examined. Based on the Stackelberg game model, we derive the optimal decisions of the supply chain partners under the different incentives, respectively. In addition, some important conclusions have been obtained from the theoretical analysis and the numerical experiments.
First, we demonstrate that both strategies can induce the desired manufacturing technology level. From the perspective of expected profit, however, a penalty strategy is advantageous to the retailer, while a cost-sharing strategy is favorable to the manufacturer. When demand is sufficiently large, the manufacturer can be self-motivated to adopt a higher manufacturing technology level even without any of the two incentive strategies. Second, with respect to the whole supply chain, a penalty strategy outperforms a cost-sharing strategy when demand is relatively higher, whereas it is reversed when demand is extremely low. It is advisable for the retailer to ask for the penalty strategy when demand is relatively higher because this strategy is beneficial for both the retailer and the whole supply chain without harm to the manufacturer in this situation. Third, through theoretical and numerical analysis, we show that the risk preference has a significant influence on the optimal decisions and the expected profit of the retailer when a penalty strategy is adopted. Reasonable aversion against risk can help the retailer to achieve a more robust result by better balancing the gain and the loss, hence it is suggested to the retailer to properly increase her risk-averse level when demand is volatile and unpredictable.
Based on the investigation of this paper, some managerial implications can be concluded regarding the supply chain involving the manufacturer and the retailer being directly connected. In comparison, a penalty strategy outperforms a cost-sharing strategy when demand is relatively higher, then it creates a win–win situation and it can be of benefit to both the supplier and the retailer if the proper contract can be taken. Additionally, it can promote further cooperation between the retailer and the manufacturer, thus ensuring the sustainability of the entire supply chain. For the retailer, she should carefully make a satisfied tradeoff between the profit and the risk by determining the proper risk-averse degree in response to market volatility. A robust ordering strategy not only avoids risks for the retailer but also makes sense for the robustness and the sustainability of the whole supply chain. Therefore, the retailer and the supplier decide their optimal order quantity and manufacturing technology level under the selected contract.
Some directions are worthwhile for future investigations. First, a pure penalty contract can hardly apply to the situations where the retailer is not strong enough because it is less attractive to the manufacturer. Hence, it would be interesting to explore more effective contracts that can achieve Pareto improvement by benefiting all the parties in the supply chain. Second, multi-sourcing is another direction to extend by which the retailer orders from multiple manufacturers to hedge against the risk of production disruption. Additionally, demand in this paper is deterministic or with a known distribution. In reality, it is very common that the distribution of demand is unknown. It is also fascinating to find effective ways to manage production disruption with an unknown distribution of demand.

Author Contributions

Conceptualization, X.J. and H.Z.; investigation, X.J.; methodology, X.J.; writing—original draft, X.J.; writing—review, H.Z. All authors have read and agreed to the published version of the manuscript.

Funding

This work was supported by the National Natural Science Foundation of China under grant number: 71971011.

Institutional Review Board Statement

No applicable.

Informed Consent Statement

Not applicable.

Data Availability Statement

Not applicable.

Conflicts of Interest

On behalf of all authors, the corresponding author states that there is no conflict of interest.

Appendix A

Poof of Proposition 1. 
According to Equation (1), taking to the first-order and the second-order derivative of Π m 0 with respect to z 0 , we obtain d Π m 0 / d z 0 = w q 0 1 γ β z 0 , and d 2 Π m 0 / d z 0 2 = 1 γ β . It is clear that d 2 Π m 0 / d z 0 2 < 0 as 0 γ 1 and β > 0 . Therefore, Equation (1) is concave in z 0 . The optimal solution to the unconstrained problem is w q 0 / 1 γ β by using the first order condition. Since z 0 is defined on 0 , 1 , we have the optimal investment level of the manufacturer as z 0 = min w q 0 / 1 γ β , 1 . □
Poof of Proposition 2. 
According to the manufacturer’s different best response given in Proposition 1, the retailer’s problem can be rewritten as the problem: max P 1 , P 2 in which problem P 1 is based on w q 0 / 1 γ β 1 and z 0 = 1 , that is
P 1 :   max q 0 , γ Π r 0 = p min q 0 , d w q 0 γ β / 2 ,   s . t .   q 0 1 γ β / w ,   0 γ 1
We first solve the best q 0 γ for fixed γ . We derive the first order of Π r 0 , we have d Π r 0 / d q 0 = w < 0 when q 0 > d , and d Π r 0 / d q 0 = p w > 0 when q 0 d . That is, Π r 0 is increasing in q 0 when q 0 d and is decreasing in q 0 when q 0 > d . Therefore, the best ordering quantity for fixed γ is q 0 γ = max d , 1 γ β / w because of q 0 1 γ β / w .
Now, we resort to solve the optimal γ . According to the optimal order q 0 γ , Π r 0 can be rewritten as Π r 0 = p d w d γ β / 2 when d 1 γ β / w , where q 0 γ = d and γ 1 w d / β . Then, we get the optimal proportion of cost-sharing is γ = max 0 , 1 w d / β due to Π r 0 is decreasing in γ . However, when d < 1 γ β / w , Π r 0 = p d β + γ β / 2 , where q 0 γ = 1 γ β / w and γ < 1 w d / β . Then, the optimal proportion of cost-sharing is γ = 1 w d / β due to Π r 0 increasing in γ .
Therefore, when the manufacturer chooses a high manufacturing technology level z 0 = 1 , we have the retailer’s optimal decisions are q 0 = d and γ = max 0 , 1 w d / β .
Next, when w q 0 / 1 γ β < 1 , z 0 = w q 0 / 1 γ β , we can solve the following problem P 2 to get the retailer’s optimal decisions, where we can use z 0 interest of γ because there is a one-to-one relationship between z 0 and γ .
P 2 :   max q 0 , γ Π r 0 = z 0 p min q 0 , d w q 0 β z 0 2 w q 0 z 0 / 2 ,   s . t .   z 0 > w q 0 / β ,   0 z 0 1
Similar to the solving process of P 1 , we get the optimal order quantity of the retailer is q 0 z 0 = min d , β z 0 / w by the monotonicity of Π r 0 in q 0 when q 0 > d and q 0 d , respectively. Then we resort to solve the optimal γ . We can solve two sub-problems P 21 and P 22 , according to the magnitude of d and β z 0 / w . When d β z 0 / w , we have q 0 z 0 = d and problem P 21 can be written as
P 21 :   max z 0 Π r 0 = z 0 p d w d β z 0 2 w d z 0 / 2 ,   s . t .   z 0 > w d / β ,   0 z 0 1
We derive the first-order and the second-order of Π r 0 to verify its concavity in z 0 , we have d Π r 0 / d z 0 = p d w d / 2 β z 0 and d 2 Π r 0 / d z 0 2 = β . Therefore, the objective function is concave in z 0 and the interior solution is 2 p w d / 2 β . Furthermore, we can characterize the optimal decision z 0 according to the constraints z 0 > w d / β and 0 z 0 1 .
z 0 = 2 p w d / 2 β , w d / β , 1 , i f d 2 β / 2 p w a n d 2 p > 3 w , i f d < 2 β / 2 p w a n d 3 w 2 p , i f d > 2 β / 2 p w .
Next, we solve the following problem P 22 , where d > β z 0 / w and q 0 z 0 = β z 0 / w .
P 22 :   max z 0 Π r 0 = z 0 p w β z 0 / w ,   s . t .   z 0 w d / β ,   0 z 0 1
Clearly, the Π r 0 is increasing in z 0 , and we have the best decision is z 0 = w d / β when d β / w and z 0 = 1 when d > β / w . By combining the solution of P 21 and P 22 , we obtain the optimal z 0 . When w 2 p / 3 ,
z 0 = 2 p w d / 2 β , 1 , i f d < 2 β / 2 p w , i f d 2 β / 2 p w .
When w > 2 p / 3 , z 0 = min w d / β , 1 . Furthermore, through comparison the solution of problem P 1 , we can finally get the retailer’s optimal decisions as
q 0 z 0 = d , and when w 2 p / 3 ,
γ = 2 p 3 w / 2 p w , 1 w d / β , 0 , i f d 2 β / 2 p w , i f 2 β / 2 p w < d β / w , i f d > β / w .
When w > 2 p / 3 , γ = 0 . □
Poof of Proposition 3. 
According to Equation (4), taking to the first-order and the second-order derivative of Π m 1 with respect to z 1 , we obtain d Π m 1 / d z 1 = w q 1 + e q 1 β z 1 , and d 2 Π m 1 / d z 1 2 = β . It is clearly that d 2 Π m 1 / d z 1 2 < 0 as β > 0 . Therefore, Equation (1) is concave in z 1 . The optimal solution to the unconstrained problem is w + e 1 q 1 / β by using the first order condition. Since z 1 is defined on 0 , 1 , we have the optimal investment level of the manufacturer as z 1 = min w + e 1 q 1 / β , 1 . □
Poof of Proposition 4. 
According to the manufacturer’s different best response given in Proposition 3, the retailer’s problem can be rewritten as the problem: max P 3 , P 4 , where problem P 3 is based on w + e 1 q 1 / β 1 and z 1 = 1 , that is
P 3 :   max q 1 , e 1 Π r 1 = p min q 1 , d w q 1 ,   s . t .   q 1 β / w + e 1 ,   e 1 0
We first solve the best q 1 e 1 = max d , β / w + e 1 for fixed e 1 . Then we can derive the optimal penalty level is e 1 = max 0 , β / d w according to the inequality q 1 β / w + e 1 . Therefore, we have the retailer’s optimal decisions are q 1 = d and e 1 = max 0 , β / d w when z 1 = 1 .
Next, when w + e 1 q 1 / β < 1 , z 1 = w + e 1 q 1 / β , we can solve the following problem P 4 to get the retailer’s optimal decisions. Similar to the proof of Proposition 3, we use z 1 interest of e 1 .
P 4 :   max q 1 , z 1 Π r 1 = z 1 p min q 1 , d w q 1 + 1 z 1 β z 1 w q 1 ,   s . t .   z 1 w q 1 / β ,   0 z 1 1
Similarly, we get the retailer’s optimal ordering is q 1 z 1 = min d , β z 1 / w by the monotonicity of Π r 1 in q 1 when q 1 > d and q 1 d respectively. Then we resort to solve the optimal z 1 . We can solve two sub-problems P 41 and P 42 according to the magnitude of d and β z 1 / w . When d β z 1 / w , we have q 1 z 1 = d and problem P 41 can be written as
P 41 :   max z 1 Π r 1 = z 1 p w d + 1 z 1 β z 1 w d ,   s . t .   z 1 > w d / β ,   0 z 1 1
We derive the first-order and the second-order of Π r 1 to verify its concavity in z 1 , we have d Π r 1 / d z 1 = p d + β 2 β z 1 and d 2 Π r 1 / d z 1 2 = 2 β . Therefore, the objective function is concave in z 1 and the interior solution is p d + β / 2 β . Furthermore, we can characterize the optimal decision z 1 according to the constraints z 1 > w d / β and 0 z 1 1 .
z 1 = p d + β / 2 β , 1 , i f d β / p , i f d > β / p .
Next, we solve the following problem P 4 2 , where d > β z 1 / w and q 1 z 1 = β z 1 / w .
P 4 2 :   max z 1 Π r 1 = z 1 p w β z 1 / w ,   s . t .   z 1 w d / β ,   0 z 1 1
Similarly, we have the best decision is z 1 = w d / β when d β / w and z 1 = 1 when d > β / w . By combining the solution of P 4 1 , P 4 2 and P 3 , we obtain the retailer’s optimal decisions as: q 1 = d and
e 1 = p d + β / 2 d w , β / d w , 0 , i f d β / p , i f β / p < d β / w , i f d > β / w .
Poof of Proposition 5. 
Taking the first-order and the second-order derivative of Equation (9) with respect to q 2 , we obtain d E U Π r 2 / d q 2 = p F ¯ q 2 w F ¯ x λ w F ¯ x and d 2 E U Π r 2 / d q 2 2 = p f q 2 + 1 λ w 2 f x / p , then E U Π r 2 is concave in q 2 due to λ 1 and d 2 E U Π r 2 / d q 2 2 < 0 . According to the interior solution q = F ¯ 1 w λ 1 F x + 1 / p and the constraint of w + e 2 q 2 / β 1 , we get the optimal ordering quantity in this case is q 2 = max β / w + e 2 , q .
Next, we begin to solve the optimal penalty level e 2 . When β / w + e 2 q , q 2 = q , E U Π r 2 is independent of the level of penalty, then we have e 2 = max 0 , β / q 2 w . However, when β / w + e 2 > q , q 2 = β / w + e 2 . In order to get the optimal e 2 , we should get the property of E U Π r 2 when q 2 = β / w + e 2 by the first order derivative. d E U Π r 2 d e 2 q 2 = β / w + e 2 = E U Π r 2 q 2 d q 2 d e 2 + E U Π r 2 e 2 , where E U Π r 2 e 2 = 0 , d q 2 d e 2 = β w + e 2 2 < 0 and E U Π r 2 q 2 q 2 = β / w + e 2 < E U Π r 2 q 2 q 2 = q = 0 , then we have d E U Π r 2 d e 2 q 2 = β / w + e 2 > 0 , and e 2 = max 0 , β / q w . Therefore, the retailer’s optimal decision can be present as follows: q 2 = F ¯ 1 w λ 1 F x + 1 / p and
e 2 = β / q 2 w , 0 , q 2 β / w , q 2 > β / w .
Poof of Proposition 6. 
From w + e 2 q 2 / β < 1 and z 2 = w + e 2 q 2 / β , we can derive e 2 = β z 2 / q 2 w , which can be substituted in Equation (11). We derive the first-order and the second-order of Π r 2 to verify its concavity in q 2 , we have d E U Π r 2 d q 2 = z 2 p F ¯ q 2 w F ¯ x λ w F ¯ x 1 z 2 w and d 2 E U Π r 2 d q 2 2 = z 2 p f q 2 + 1 λ w 2 f x / p . It can be shown that E U Π r 2 is concave in q 2 and the interior solution is q = F ¯ 1 w z 2 1 λ F x + 1 / z 2 p , then we get the optimal order quantity in this case q 2 = min β z 2 / w , q .
Now, we solve the optimal z 2 to get the optimal e 2 . When q < β z 2 / w , q 2 = q . d E U Π r 2 d z 2 q 2 = q = E U Π r 2 z 2 = p x q F ¯ x d x + λ 0 x F ¯ x d x x + β 2 β z 2 + w q because of E U Π r 2 q 2 q 2 = q = 0 . Furthermore, we can get d 2 E U Π r 2 d z 2 2 q 2 = q = 2 β < 0 . The optimal z 2 can be presented as z 2 = max w q / β , z , where z = p x q F ¯ x d x + λ 0 x F ¯ x d x x + β + w q 2 β is the interior solution. However, when q β z 2 / w , q 2 = β z 2 / w . In this case, d E U Π r 2 d z 2 q 2 = β z 2 / w > 0 due to E U Π r 2 q 2 q 2 = β z 2 / w > 0 , d q 2 z 2 = β w > 0 and E U Π r 2 z 2 q 2 = β z 2 / w = p x q 2 F ¯ x d x + λ 0 x F ¯ x d x x + 1 z 2 β > 0 . Then, we get the optimal z 2 = min w q / β , 1 because E U Π r 2 is increasing in z 2 .
Finally, combining the case q < β z 2 / w and case q β z 2 / w , we can get the retailer’s optimal decisions as follows:
q 2 , e 2 = q , z β / q w , q , 0 , β / w , 0 , i f q β z / w , i f β z / w < q β / w , i f q > β / w .

References

  1. He, B.; Huang, H.; Yuan, K. Managing supply disruption through procurement strategy and price competition. Int. J. Prod. Res. 2016, 54, 1980–1999. [Google Scholar] [CrossRef]
  2. Yan, R.; Kou, D.; Lu, B. Optimal order policies for dual-sourcing supply chains under random supply disruption. Sustainability 2019, 11, 698. [Google Scholar] [CrossRef]
  3. Dawson, C.; Takahashi, Y. Japan Big 3 auto makers to resume output. Wall Str. J. 2011, 82, B4. [Google Scholar]
  4. Hendricks, K.B.; Singhal, V.R. The effect of supply chain glitches on shareholder wealth. J. Oper. Manag. 2003, 21, 501–522. [Google Scholar] [CrossRef]
  5. Hendricks, K.B.; Singhal, V.R. Association between supply chain glitches and operating performance. Manag. Sci. 2005, 51, 695–711. [Google Scholar] [CrossRef]
  6. Powell, B. When Supply chains break. J. Oper. Res. Soc. 2011, 26, 29–32. [Google Scholar]
  7. Huang, J.; Wu, G.; Wang, Y. Retailer’s Emergency Ordering Policy When Facing an Impending Supply Disruption. Sustainability 2021, 13, 7041. [Google Scholar] [CrossRef]
  8. Hasani, A.; Khosrojerdi, A. Robust global supply chain network design under disruption and uncertainty considering resilience strategies: A parallel memetic algorithm for a real-life case study. Transp. Res. Part E 2016, 87, 20–52. [Google Scholar] [CrossRef]
  9. Li, Z.; Liu, Q.; Ye, C.; Dong, M.; Zheng, Y. Achieving Resilience: Resilient Price and Quality Strategies of Fresh Food Dual-Channel Supply Chain Considering the Disruption. Sustainability 2022, 14, 6645. [Google Scholar] [CrossRef]
  10. Tunca, T.I.; Zhu, W. Buyer intermediation in supplier finance. Manag. Sci. 2017, 64, 5631–5650. [Google Scholar] [CrossRef]
  11. Tang, S.Y.; Gurnani, H.; Gupta, D. Managing disruptions in decentralized supply chains with endogenous supply process reliability. Prod. Oper. Manag. 2014, 23, 1198–1211. [Google Scholar] [CrossRef]
  12. Li, Y.; Zhen, X.; Qi, X.; Cai, G. Penalty and financial assistance in a supply chain with supply disruption. Omega 2016, 61, 167–181. [Google Scholar] [CrossRef]
  13. Choi, T.M.; Ma, C.; Shen, B.; Sun, Q. Optimal pricing in mass customization supply chains with risk-averse agents and retail competition. Omega 2019, 88, 150–161. [Google Scholar] [CrossRef]
  14. Babich, V.; Burnetas, A.N.; Ritchken, P.H. Competition and diversification effects in supply chains with supplier default risk. Manuf. Serv. Oper. Manag. 2007, 9, 123–146. [Google Scholar] [CrossRef]
  15. Hu, X.; Gurnani, H.; Wang, L. Managing risk of supply disruptions: Incentives for capacity restoration. Prod. Oper. Manag. 2013, 22, 137–150. [Google Scholar] [CrossRef]
  16. Hatefi, S.M.; Jolai, F. Robust and reliable forward–reverse logistics network design under demand uncertainty and facility disruptions. Appl. Math. Model. 2014, 38, 2630–2647. [Google Scholar] [CrossRef]
  17. Anupindi, R.; Akella, R. Diversification under supply uncertainty. Manag. Sci. 1993, 39, 944–963. [Google Scholar] [CrossRef]
  18. Schmitt, A.J.; Singh, M. A quantitative analysis of disruption risk in a multi-echelon supply chain. Int. J. Prod. Econ. 2012, 139, 22–32. [Google Scholar] [CrossRef]
  19. Atasoy, B.; Güllü, R.; Tan, T. Optimal inventory policies with non-stationary supply disruptions and advance supply information. Decis. Support Syst. 2012, 53, 269–281. [Google Scholar] [CrossRef][Green Version]
  20. Kouvelis, P.; Milner, J.M. Supply chain capacity and outsourcing decisions: The dynamic interplay of demand and supply uncertainty. IIE Trans. 2002, 34, 717–728. [Google Scholar] [CrossRef]
  21. Babich, V. Vulnerable options in supply chains: Effects of supplier competition. Nav. Res. Logist. 2006, 53, 656–673. [Google Scholar] [CrossRef]
  22. Liu, S.; So, K.C.; Zhang, F. Effect of supply reliability in a retail setting with joint marketing and inventory decisions. Manuf. Serv. Oper. Manag. 2010, 12, 19–32. [Google Scholar] [CrossRef]
  23. Bakshi, N.; Kleindorfer, P. Co-opetition and investment for supply-chain resilience. Prod. Oper. Manag. 2009, 18, 583–603. [Google Scholar] [CrossRef]
  24. Li, T.; Sethi, S.P.; Zhang, J. How does pricing power affect a firm’s sourcing decisions from unreliable suppliers? Int. J. Prod. Res. 2013, 51, 6990–7005. [Google Scholar] [CrossRef]
  25. Li, T.; Sethi, S.P.; Zhang, J. Mitigating supply uncertainty: The interplay between diversification and pricing. Prod. Oper. Manag. 2017, 26, 369–388. [Google Scholar] [CrossRef]
  26. Gupta, V.; Ivanov, D. Dual sourcing under supply disruption with risk-averse suppliers in the sharing economy. Int. J. Prod. Res. 2020, 58, 291–307. [Google Scholar] [CrossRef]
  27. Schmitt, A.J.; Snyder, L.V.; Shen, Z.J.M. Inventory systems with stochastic demand and supply: Properties and approximations. Eur. J. Oper. Res. 2010, 206, 313–328. [Google Scholar] [CrossRef]
  28. Krause, D.R.; Handfield, R.B.; Tyler, B.B. The relationships between supplier development, commitment, social capital accumulation and performance improvement. J. Oper. Manag. 2007, 25, 528–545. [Google Scholar] [CrossRef]
  29. Yang, Z.; Aydın, G.; Babich, V.; Beil, D.R. Supply disruptions, asymmetric information, and a backup production option. Manag. Sci. 2009, 55, 192–209. [Google Scholar] [CrossRef]
  30. Ma, L.; Xue, W.; Zhao, Y.; Zeng, Q. Loss-averse newsvendor problem with supply risk. J. Oper. Res. Soc. 2016, 67, 214–228. [Google Scholar] [CrossRef]
  31. Yan, N.; He, X.; Liu, Y. Financing the capital-constrained supply chain with loss aversion: Supplier finance vs. supplier investment. Omega 2019, 88, 162–178. [Google Scholar] [CrossRef]
  32. Zhuo, W.; Shao, L.; Yang, H. Mean–variance analysis of option contracts in a two-echelon supply chain. Eur. J. Oper. Res. 2018, 271, 535–547. [Google Scholar] [CrossRef]
  33. Chu, J.; Huang, K.; Thiele, A. A robust optimization approach to model supply and demand uncertainties in inventory systems. J. Oper. Res. Soc. 2019, 70, 1885–1899. [Google Scholar] [CrossRef]
  34. Xu, J.; Bai, Q.; Xu, L.; Hu, T. Effects of emission reduction and partial demand information on operational decisions of a newsvendor problem. J. Clean. Prod. 2018, 188, 825–839. [Google Scholar] [CrossRef]
  35. Perakis, G.; Roels, G. Regret in the newsvendor model with partial information. Oper. Res. 2008, 56, 188–203. [Google Scholar] [CrossRef]
  36. Wu, M.; Zhu, S.; Teunter, R. A risk-averse competitive newsvendor problem under the CVaR criterion. Int. J. Prod. Econ. 2014, 156, 13–23. [Google Scholar] [CrossRef]
  37. Andersson, J.; Jörnsten, K.; Nonås, S.L.; Sandal, L.; Ubøe, J. A maximum entropy approach to the newsvendor problem with partial information. Eur. J. Oper. Res. 2013, 228, 190–200. [Google Scholar] [CrossRef]
  38. Li, C. Sourcing for supplier effort and competition: Design of the supply base and pricing mechanism. Manag. Sci. 2013, 59, 1389–1406. [Google Scholar] [CrossRef]
Figure 1. Sequence of events under different strategies.
Figure 1. Sequence of events under different strategies.
Sustainability 14 09003 g001
Figure 2. Comparison of the retailer’s profits.
Figure 2. Comparison of the retailer’s profits.
Sustainability 14 09003 g002
Figure 3. Comparison of the manufacturer’s profits.
Figure 3. Comparison of the manufacturer’s profits.
Sustainability 14 09003 g003
Figure 4. Comparison of the supply chain’s profits.
Figure 4. Comparison of the supply chain’s profits.
Sustainability 14 09003 g004
Figure 5. Impact of λ on the supply chain partners’ decisions and the retailer’s profit.
Figure 5. Impact of λ on the supply chain partners’ decisions and the retailer’s profit.
Sustainability 14 09003 g005
Figure 6. Impact of the loss-aversion extent on the retailer’s profit.
Figure 6. Impact of the loss-aversion extent on the retailer’s profit.
Sustainability 14 09003 g006
Table 1. Summary of notations.
Table 1. Summary of notations.
c Unit production cost of the manufacturer
w Unit wholesale price of the manufacturer
p Selling price of the retailer
β / 2 Cost coefficient of adopting proper manufacturing technology level
s i The i th scenario, where i = 0 , 1 , 2 denoting cost-sharing strategy with deterministic demand, penalty strategy with deterministic demand, and penalty strategy with stochastic demand
z i Manufacturing technology level (in terms of the probability of reliable production) adopted by the manufacturer under the scenario si, i = 0 , 1 , 2
q i Order quantity of the retailer under the scenario si, i = 0 , 1 , 2
γ Proportion of cost sharing offered by the retailer
d Demand for the product
e i Unit penalty for non-delivery under the scenario si, i = 1 , 2
f ( d ) Probability density function of stochastic demand
F ( d ) Cumulative distribution function of stochastic demand
λ Loss aversion coefficient of the retailer
Π j 0 Profit function of entity j , j = r , m , c , denoting the retailer, manufacturer, and supply chain with cost-sharing strategy
Π j 1 Profit function of entity j , j = r , m , c , denoting the retailer, manufacturer, and supply chain with penalty strategy
E Π r 2 Expected profit function of the retailer under stochastic demand
E U Π r 2 Expected utility function of the retailer under stochastic demand
Publisher’s Note: MDPI stays neutral with regard to jurisdictional claims in published maps and institutional affiliations.

Share and Cite

MDPI and ACS Style

Jin, X.; Zhou, H. Incentives to Enhance Production Reliability against Disruption: Cost-Sharing vs. Penalty. Sustainability 2022, 14, 9003. https://doi.org/10.3390/su14159003

AMA Style

Jin X, Zhou H. Incentives to Enhance Production Reliability against Disruption: Cost-Sharing vs. Penalty. Sustainability. 2022; 14(15):9003. https://doi.org/10.3390/su14159003

Chicago/Turabian Style

Jin, Xiaodan, and Hong Zhou. 2022. "Incentives to Enhance Production Reliability against Disruption: Cost-Sharing vs. Penalty" Sustainability 14, no. 15: 9003. https://doi.org/10.3390/su14159003

APA Style

Jin, X., & Zhou, H. (2022). Incentives to Enhance Production Reliability against Disruption: Cost-Sharing vs. Penalty. Sustainability, 14(15), 9003. https://doi.org/10.3390/su14159003

Note that from the first issue of 2016, this journal uses article numbers instead of page numbers. See further details here.

Article Metrics

Back to TopTop