Developing a 3D Hydrodynamic and Water Quality Model for Floating Treatment Wetlands to Study the Flow Structure and Nutrient Removal Performance of Different Configurations
Abstract
:1. Introduction
2. Materials and Methods
2.1. EFDC Description
2.2. Development of a Hydrodynamic and Water Quality Model for FTWs
2.3. Expression of FTW in Model
2.4. Calibration and Validation
2.5. Model Application
3. Results and Discussion
3.1. Calibration and Validation Results
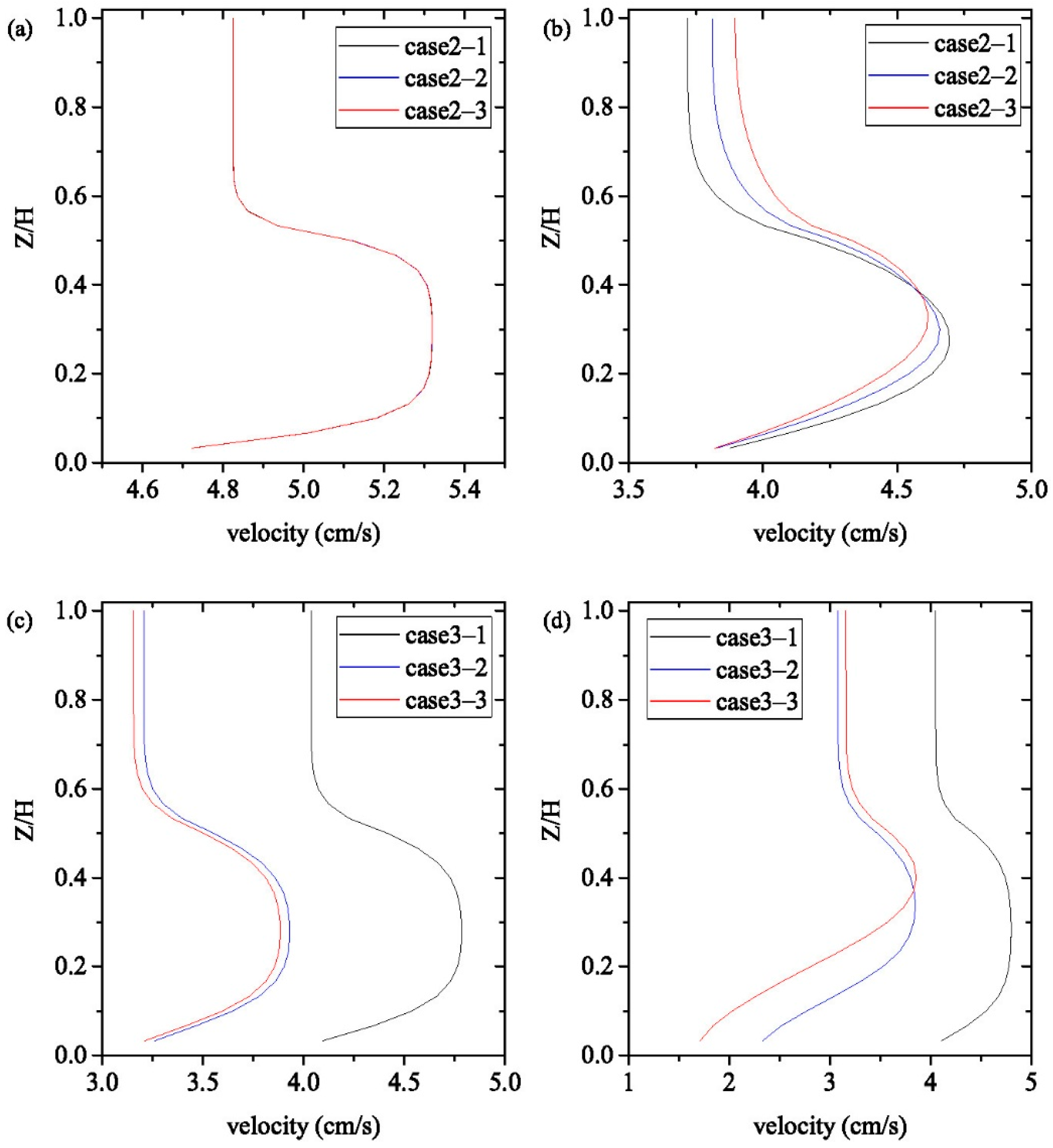
3.2. Flow Structure Comparison of Different FTW Configurations
3.3. Nutrient Removal Performance Comparison of Different FTW Configurations
4. Conclusions
- The calibration and validation results showed that the simulation results could be well matched with the experimental results. The hydrodynamic characteristics in FTWs could be described properly by the model.
- When two FTWs were deployed in series, the percentage of the flow entering the root zone of the downstream FTW would increase with the center distance of two FTWs, resulting in higher TN and TP removal performance.
- When two FTWs were deployed in parallel, the system had the highest TN and TP removal performance.
Author Contributions
Funding
Institutional Review Board Statement
Informed Consent Statement
Data Availability Statement
Conflicts of Interest
References
- Sharma, R.; Vymazal, J.; Malaviya, P. Application of floating treatment wetlands for stormwater runoff: A critical review of the recent developments with emphasis on heavy metals and nutrient removal. Sci. Total Environ. 2021, 777, 146044. [Google Scholar] [CrossRef] [PubMed]
- Walker, C.; Tondera, K.; Lucke, T. Stormwater treatment evaluation of a Constructed Floating Wetland after two years operation in an urban catchment. Sustainability 2017, 9, 1687. [Google Scholar] [CrossRef] [Green Version]
- Borne, K.E.; Fassman, E.A.; Tanner, C.C. Floating treatment wetland retrofit to improve stormwater pond performance for suspended solids, copper and zinc. Ecol. Eng. 2013, 54, 173–182. [Google Scholar] [CrossRef]
- McAndrew, B.; Ahn, C.; Spooner, J. Nitrogen and sediment capture of a floating treatment wetland on an urban stormwater retention pond-The case of the rain project. Sustainability 2016, 8, 972. [Google Scholar] [CrossRef] [Green Version]
- Hwang, J.I.; Hinz, F.O.; Albano, J.P.; Wilson, P.C. Enhanced dissipation of trace level organic contaminants by floating treatment wetlands established with two macrophyte species: A mesocosm study. Chemosphere 2021, 267. [Google Scholar] [CrossRef] [PubMed]
- Ning, D.; Huang, Y.; Pan, R.; Wang, F.; Wang, H. Effect of eco-remediation using planted floating bed system on nutrients and heavy metals in urban river water and sediment: A field study in China. Sci. Total Environ. 2014, 485–486, 596–603. [Google Scholar] [CrossRef]
- West, M.; Fenner, N.; Gough, R.; Freeman, C. Evaluation of algal bloom mitigation and nutrient removal in floating constructed wetlands with different macrophyte species. Ecol. Eng. 2017, 108, 581–588. [Google Scholar] [CrossRef] [Green Version]
- Nuruzzaman, M.; Anwar, A.H.M.F.; Sarukkalige, R.; Sarker, D.C. Review of hydraulics of Floating Treatment Islands retrofitted in waterbodies receiving stormwater. Sci. Total Environ. 2021, 801, 149526. [Google Scholar] [CrossRef]
- Li, S.; Katul, G.; Huai, W. Mean velocity and shear stress distribution in floating treatment wetlands: An analytical study. Water Resour. Res. 2019, 55, 6436–6449. [Google Scholar] [CrossRef]
- Cui, Z.; Huang, J.; Gao, J.; Han, J. Characterizing the impacts of macrophyte-dominated ponds on nitrogen sources and sinks by coupling multiscale models. Sci. Total Environ. 2022, 811, 152208. [Google Scholar] [CrossRef]
- McAndrew, B.; Ahn, C. Developing an ecosystem model of a floating wetland for water quality improvement on a stormwater pond. J. Environ. Manag. 2017, 202, 198–207. [Google Scholar] [CrossRef] [PubMed]
- Marimon, Z.A.; Xuan, Z.; Chang, N.B. System dynamics modeling with sensitivity analysis for floating treatment wetlands in a stormwater wet pond. Ecol Model 2013, 267, 66–79. [Google Scholar] [CrossRef]
- Wang, Y.; Sun, B.; Gao, X.; Li, N. Development and evaluation of a process-based model to assess nutrient removal in floating treatment wetlands. Sci. Total Environ. 2019, 694, 133633. [Google Scholar] [CrossRef] [PubMed]
- Zhao, F.; Huai, W.; Li, D. Numerical modeling of open channel flow with suspended canopy. Adv. Water Resour. 2017, 105, 132–143. [Google Scholar] [CrossRef]
- O’Donncha, F.; Hartnett, M.; Plew, D.R. Parameterizing suspended canopy effects in a three-dimensional hydrodynamic model. J. Hydraul. Res. 2015, 53, 714–727. [Google Scholar] [CrossRef]
- Sonnenwald, F.; Guymer, I.; Stovin, V. A CFD-based mixing model for vegetated flows. Water Resour. Res. 2019, 55, 2322–2347. [Google Scholar] [CrossRef] [Green Version]
- Machado Xavier, M.L.; Janzen, J.G.; Nepf, H. Numerical modeling study to compare the nutrient removal potential of different floating treatment island configurations in a stormwater pond. Ecol. Eng. 2018, 111, 78–84. [Google Scholar] [CrossRef] [Green Version]
- Sabokrouhiyeh, N.; Bottacin-Busolin, A.; Tregnaghi, M.; Nepf, H.; Marion, A. Variation in contaminant removal efficiency in free-water surface wetlands with heterogeneous vegetation density. Ecol. Eng. 2020, 143, 105662. [Google Scholar] [CrossRef]
- Song, J.; Li, Q.; Wang, X.C. Superposition effect of floating and fixed beds in series for enhancing nitrogen and phosphorus removal in a multistage pond system. Sci. Total Environ. 2019, 695, 133678. [Google Scholar] [CrossRef]
- Liu, J.; Wang, F.; Liu, W.; Tang, C.; Wu, C.; Wu, Y. Nutrient removal by up-scaling a hybrid floating treatment bed (HFTB) using plant and periphyton: From laboratory tank to polluted river. Bioresource Technol. 2016, 207, 142–149. [Google Scholar] [CrossRef]
- Borne, K.E.; Fassman-Beck, E.A.; Winston, R.J.; Hunt, W.F.; Tanner, C.C. Implementation and maintenance of floating treatment wetlands for urban stormwater management. J. Environ. Eng. 2015, 141, 04015030. [Google Scholar] [CrossRef]
- Lucke, T.; Walker, C.; Beecham, S. Experimental designs of field-based constructed floating wetland studies: A review. Sci. Total Environ. 2019, 660, 199–208. [Google Scholar] [CrossRef] [PubMed]
- Hamrick, J.M. A Three-Dimensional Environmental Fluid Dynamics Computer Code: Theoretical and Computational Aspects; Special Report in Applied Marine Science and Ocean Engineering; No. 317.; Virginia Institute of Marine Science, William & Mary: Williamsburg, VA, USA, 1992; pp. 9–11. [Google Scholar]
- James, S.C.; Donncha, F.O. Drag coefficient parameter estimation for aquaculture systems. Environ. Fluid Mech. 2019, 19, 989–1003. [Google Scholar] [CrossRef] [Green Version]
- Plew, D.R. Depth-averaged drag coefficient for modeling flow through suspended canopies. J. Hydraul. Eng. 2011, 137, 234–247. [Google Scholar] [CrossRef]
- Tripathi, B.D.; Srivastava, J.; Misra, K. Nitrogen and Phosphorus Removal-capacity of Four Chosen Aquatic Macrophytes in Tropical Freshwater Ponds. Environ. Conserv. 1991, 18, 143–147. [Google Scholar] [CrossRef]
- Liu, C.; Shan, Y.; Lei, J.; Nepf, H. Floating treatment islands in series along a channel: The impact of island spacing on the velocity field and estimated mass removal. Adv. Water Resour. 2019, 129, 222–231. [Google Scholar] [CrossRef]
- Rao, L.; Wang, P.; Lei, Y.; Wang, C. Coupling of the flow field and the purification efficiency in root system region of ecological floating bed under different hydrodynamic conditions. J. Hydrodyn. 2016, 28, 1049–1057. [Google Scholar] [CrossRef]
- Gao, Y.; Zhu, Q.; Huang, Y.; Yu, M.; Zhou, Z. Influence of different arrangements of ecological floating beds on flow structure. J. Hydraul. Eng. 2020, 51, 1423–1431. [Google Scholar]





| Run | H (mm) | hg (mm) | L (mm) | B (mm) | a (m2/m3) | Q (L/s) |
|---|---|---|---|---|---|---|
| B2 | 200 | 175 | 150 | 50 | 1.272 | 7.1 |
| B5 | 200 | 150 | 150 | 50 | 1.272 | 7.8 |
| B13 | 200 | 100 | 150 | 50 | 1.272 | 10.1 |
| B15 | 200 | 100 | 200 | 100 | 0.477 | 10.3 |
Publisher’s Note: MDPI stays neutral with regard to jurisdictional claims in published maps and institutional affiliations. |
© 2022 by the authors. Licensee MDPI, Basel, Switzerland. This article is an open access article distributed under the terms and conditions of the Creative Commons Attribution (CC BY) license (https://creativecommons.org/licenses/by/4.0/).
Share and Cite
Wang, Y.; Gao, X.; Sun, B.; Liu, Y. Developing a 3D Hydrodynamic and Water Quality Model for Floating Treatment Wetlands to Study the Flow Structure and Nutrient Removal Performance of Different Configurations. Sustainability 2022, 14, 7495. https://doi.org/10.3390/su14127495
Wang Y, Gao X, Sun B, Liu Y. Developing a 3D Hydrodynamic and Water Quality Model for Floating Treatment Wetlands to Study the Flow Structure and Nutrient Removal Performance of Different Configurations. Sustainability. 2022; 14(12):7495. https://doi.org/10.3390/su14127495
Chicago/Turabian StyleWang, Yan, Xueping Gao, Bowen Sun, and Yuan Liu. 2022. "Developing a 3D Hydrodynamic and Water Quality Model for Floating Treatment Wetlands to Study the Flow Structure and Nutrient Removal Performance of Different Configurations" Sustainability 14, no. 12: 7495. https://doi.org/10.3390/su14127495
APA StyleWang, Y., Gao, X., Sun, B., & Liu, Y. (2022). Developing a 3D Hydrodynamic and Water Quality Model for Floating Treatment Wetlands to Study the Flow Structure and Nutrient Removal Performance of Different Configurations. Sustainability, 14(12), 7495. https://doi.org/10.3390/su14127495

