Next Article in Journal
Water Security in the Anthropocene: A Dialectical Water–Man Interaction Model
Next Article in Special Issue
Alfalfa Cover Crops Influence the Soil Fungal Community and Function in Apple Orchards in Arid Desert Oases in Northwest China
Previous Article in Journal
Public Pressure, Environmental Policy Uncertainty, and Enterprises’ Environmental Information Disclosure
 
 
Font Type:
Arial Georgia Verdana
Font Size:
Aa Aa Aa
Line Spacing:
Column Width:
Background:
Article

Effect of Fertilizer Application on Watermelon Growth, Structure of Dissolved Organic Matter and Microbial Functional Diversity in Organic Substrates

1
Institute of Agricultural Resources and Environment, Jiangsu Academy of Agricultural Sciences, Nanjing 210014, China
2
Key Laboratory of Saline-Alkali Soil Improvement and Utilization (Coastal Saline-Alkali Lands), Ministry of Agriculture and Rural Affairs, Nanjing 210014, China
3
National Agricultural Experiment Station for Agricultural Environment, Luhe, Nanjing 210014, China
*
Author to whom correspondence should be addressed.
These authors contributed equally to this work.
Sustainability 2022, 14(12), 6951; https://doi.org/10.3390/su14126951
Submission received: 1 March 2022 / Revised: 9 May 2022 / Accepted: 24 May 2022 / Published: 7 June 2022
(This article belongs to the Special Issue Soil Microorganisms and Plant Growth)

Abstract

:
Dissolved organic matter (DOM) is the immediate energy, carbon, and other nutrient substrates for microbial growth and, therefore, plays an essential role in agroecosystem biochemical processes. The aim of this study was to elucidate the interrelationships among watermelon growth, DOM chemical characteristics, nutrient content, and microbial functional diversity in organic soilless growing substrates. We analyzed the effect of no fertilizer application (CK), PK fertilizer application (PK), and NPK fertilizer application (NPK) on fruit yield of watermelon, DOM chemical structure, nutrient status, and microbial functional diversity in organic substrates cultivated with watermelon. Compared with the CK, the NPK treatment resulted in a significantly lower fruit yield of watermelon, lower DOC concentration, significantly higher DON concentration, and higher NO3-N concentration. The application of NPK chemical fertilizer in substrates decreased the degree of humification in DOM and microbial functional diversity compared with CK treatment. Our results demonstrate that the quality of DOM plays an important role in improving the fruit yield of watermelon and is tightly related to microbial functional diversity in organic substrates.

1. Introduction

Substituting soil for organic substrates is a common practice for greenhouse growers. Recent research showed that replacing soil with compost as a substrate for watermelon was a feasible method. Contributing nutrients and suppressing soilborne disease, compost makes it possible to cultivate in poor soil [1,2]. Developing organic substrate cannot only minimize environmental impacts but also reduce chemical fertilization rates and nursery costs [3]. Many studies have demonstrated that organic waste compost can be used as excellent growth media [4,5,6]. Benito et al. [3] reported that as a high-quality and inexpensive peat substitute, pruning waste compost is a solution to waste management. As reported by Grigatti et al. [5], compost with either municipal waste or food processing sewage sludge as a peat substitute in pot growth media had a better effect on the growth of begonia and mimulus than peat-based growing media.
Nevertheless, the physical properties of compost may not provide optimal moisture, and aeration conditions provided all management regimes and growth stages of plants. Therefore, to manipulate the properties of the organic substrate, compost-based mixtures are used as growth media in this study. Little information is available on the properties of the compost-perlite mixed substrate and how they affect chemical and biological characteristics in the growth medium. It is of great significance to understand the characteristics of growing media, which greatly affects plant growth, to improve the recycling of the organic solid waste in plant cultivation.
Dissolved organic matter (DOM) is a reactive and small fraction of total organic matter and is very important in various biochemical processes in compost [7,8,9]. DOM is a better indicator of the transformation of total organic matter in compost [10,11]. Generally, a change in DOM is linked to changes in nutrient cycling and microbial activity in compost [12]. Making important contributions to nutrient availability and cycling, DOM is considered one of the most labile fractions of soil organic matter and is a primary source of mineralizable nitrogen and phosphorous [13]. Li et al. [14] reported that DOM removal from soil significantly decreased the cumulative mineralization of organic carbon and nitrogen. DOM could improve plant growth by increasing nitrogen and carbon availability or maintaining micronutrients at sufficient levels [15,16]. Microbial biomass itself provides an important pool of potential DOM, and microbial metabolites constitute a significant portion of DOM [16]. Microbial functional diversity relates to the properties and quantity of compost DOM because dissolved nutrients are a prerequisite for microbial uptake [17,18]. These results indicated that complex relationships exist among DOM, microbial diversity, and nutrient status in an organic substrate. These relationships can be better understood if DOM, microbial functional diversity, and nutrients are studied. Although the correlations between DOM and microorganisms in soil have been studied, little is known about that in organic soilless growing systems.
The study aimed to determine the chemical and biological properties of the growth substrate and to determine the correlations between the chemical composition of DOM, microbial functional diversity, and nutrient status under different fertilization treatments.

2. Materials and Methods

The substrate was formulated using the waste of a deep litter fermentation system for pig effluent (40%), wood peat (20%), perlite (20%), and vermiculite (20%). Wood peat (1–3 mm), perlite (1–2 mm), and vermiculite (3–5 mm) purchased from Nanjing Flower Market. The substrate (pH 6.8, EC 3300 μs/cm) used in the watermelon trial contained 165.3 g of organic carbon, 24.4 g of total nitrogen, 12.0 g of total phosphorus, 28.2 g of total potassium, 14.9 mg of ammonium nitrogen, 167.8 mg of nitrate nitrogen, 45.0 mg of available phosphorus, 2.9 g of available potassium per kilogram of substrate. The deep litter fermentation system for pig production was from a pig farm in the Luhe district (Nanjing, China).
The planting containers (240 × 100 × 25 cm) were filled with organic substrate. Five seedlings of watermelon (Citrullus lanatus L.CV. Youjia 018) were planted per m2 in containers filled with substrates, as described above, and grown in a greenhouse. Watermelon was transplanted on 1 September 2020 and harvested on 15 November 2020. We keep two vines and one fruit per plant through daily management. The plants were drip irrigated 3 times/day, and the start drip irrigation was at 8:00 and 10:00. The day temperature was between 25 °C and 30 °C, and the night temperature was 20 °C. The experimental design was a randomized complete block design. Each treatment had three replicates The experimental design was set up as follows: no fertilizer (CK), no nitrogen fertilizer (PK), and chemical fertilizer (NPK). The fertilizer use followed the recommended amount based on soil testing, and the phosphorus and potassium were constant in the PK and NPK treatments in this experiment. The chemical fertilizers were applied 15 days and 40 days after planting, and the applied fertilizer quantities were the same each time. The chemical fertilizers used were urea (46% N), superphosphate (15% P), and potassium sulfate (50% K). The NPK treatment received 5 g N/plant, 3 g P/plant, and 10 g K/plant. The PK treatment received equivalent quantities of P and K as the NPK treatment. Weeding, ventilation, and other daily management are unified local management.

2.1. Plant Analysis

Plant samples were collected after watermelon harvesting, and the root, stem, leaf, and fruit were separated for chemical analysis. Plant samples were oven-dried at 70 °C for 24 h. Total N, total P, and total K contents were analyzed by digestion of the plant samples with H2SO4 and H2O2. The concentrations of N and P of the sample were measured using colorimetrically by the indophenols-blue and molybdenum-blue methods, while K was determined by flame atomic absorption spectrometry [19].

2.2. Substrate Sampling

At the beginning and end of cultivation (65 days after transplanting), substrate samples were randomly collected using a metal cylinder (4.5 cm diameter). Samples were collected in triplicate from each plot to determine the main chemical and biological parameters. Each bag was manually removed visible root or plant material and homogenized to mix all three samples for each treatment. The mixed samples were taken from each bag and stored at 4 °C for DOM and microbial functional diversity analyses.

2.3. Substrate Chemical Analysis

Substrate samples were air-dried and used to determine organic carbon (OC), total nitrogen (TN), available phosphorus (AP), available potassium (AK) and pH. OC and TN were determined using a CHNS Elemental Analyzer (Elenentar Vario EL III, Germany). A 1:5 aqueous extract (w/v, dry basis) of the air-dried samples with deionized water was used for the analysis of the pH value (FE28-TRIS pH meter, America). Aqueous extracts (w/v = 1:10, fresh basis) of the fresh samples were mixed with CaCl2 (0.01 mol L−1) and were used to analyze the ammonium (NH4+-N) and nitrate nitrogen (NO3-N) using a segmented flow analyzer (Bran+Luebbe, Norderstedt, Germany) [20]. AP was extracted with 0.5 mol L−1. NaHCO3 and determined by colorimetrical methods. AK was extracted with 1 mol L−1. CH3COONH4 and determined using an atomic absorption spectrometer. DOM was obtained with deionized water (w/v = 1:10, fresh basis) by shaking. The extract of fresh substrate sample was filtered using 0.45 µm polytetrafluoroethylene filters for further analysis. Dissolved organic carbon (DOC) and dissolved organic nitrogen (DON) were measured using an autoanalyzer (multi N/C 3000, Analytik Jena AG, Jena, Germany).

2.4. Fluorescence Spectroscopy

The DOM was diluted to DOC < 10 mg·L−1. Three-dimensional excitation–emission matrix (EEM) fluorescence was measured in the scanning mode of Varian Eclipse fluorescence spectrophotometer. Scanning emission (Em) spectra from 250–600 nm were obtained in 2 nm increments by varying the excitation (Ex) wavelength from 200–500 nm in 10 nm increments. When using excitation and emission slit bandwidths of 5 nm, the spectra were recorded at a scanning rate of 1200 nm/min. Each scan produced an Excel file of 176 Em (row) × 31 Ex (column) wavelengths.

2.5. Infrared Spectroscopy

The sample was prepared as a mixture of 1 mg of freeze-dried DOM and 100 mg of potassium bromide (KBr, IR grade), and this mixture was then ground and homogenized [21]. A subsample was then compressed between two clean, polished iron anvils twice in a hydraulic press at 20,000 psi to form a KBr window. A Nicolet 370 Fourier transform infrared (FTIR) spectrometer was used to collect 200 scans, and the FTIR spectra were obtained. Spectra were plotted from 500 to 4000 cm−1 with a resolution of 4 cm−1. The spectrum was baseline corrected and normalized in transmittance for unity of presentation and analysis.

2.6. Microbial Functional Diversity

Metabolic profiles of microbial communities were studied using Biolog EcoplatesTM (Biolog Inc., Hayward, CA, USA) [22]. Each 96-well plate consisted of three replicates, each comprising 31 sole carbon sources and one water blank. Aqueous extracts (w/v = 1:10, fresh basis) of the fresh samples were mixed with distilled water, were shaken for 1 h, and pre-incubated for 18 h before inoculation to make full use of soluble organic compounds for microorganisms from substrate [23]. Tenfold dilution was performed, and an aliquot of 100 µL from a 10−4 dilution was inoculated into the microplate. The microplates were incubated at 25 °C, and color change of each well was recorded with a flat-panel reader at an optical density (OD) of 590 nm every 24 h. Microbial activity in each microplate expressed as average well-color development (AWCD) was calculated as follows: AWCD = ∑ODi/31, where ODi is the optical density value from each well. Plate readings at 168 h of incubation were used to calculate AWCD.

2.7. Statistical Analyses

Data were statistically analyzed with the SPSS Base Ver. 20 statistical software. One-way analysis of variance was used to assess differences. Duncan’s multiple range test was used to compare treatment means. A probability was defined with a least significant difference at two sides of p < 0.05. Principal component analysis (PCA) was performed on the nutrient content, microbial functional diversity, and the percentage of total humic acid (PI (II + V), n).

3. Results

3.1. Watermelon Growth and Nutrient Content of Vegetative Organs of Watermelon

Fruit yield was lower in treatments of PK and NPK than in CK. Fruit yield was 66.7, 57.0, and 35.5 t ha−1 in CK, PK, and NPK, respectively (Figure 1A). Vine biomass was 557.9, 898.4, and 512.1 kg ha−1 in CK, PK, and NPK, respectively (Figure 1B).
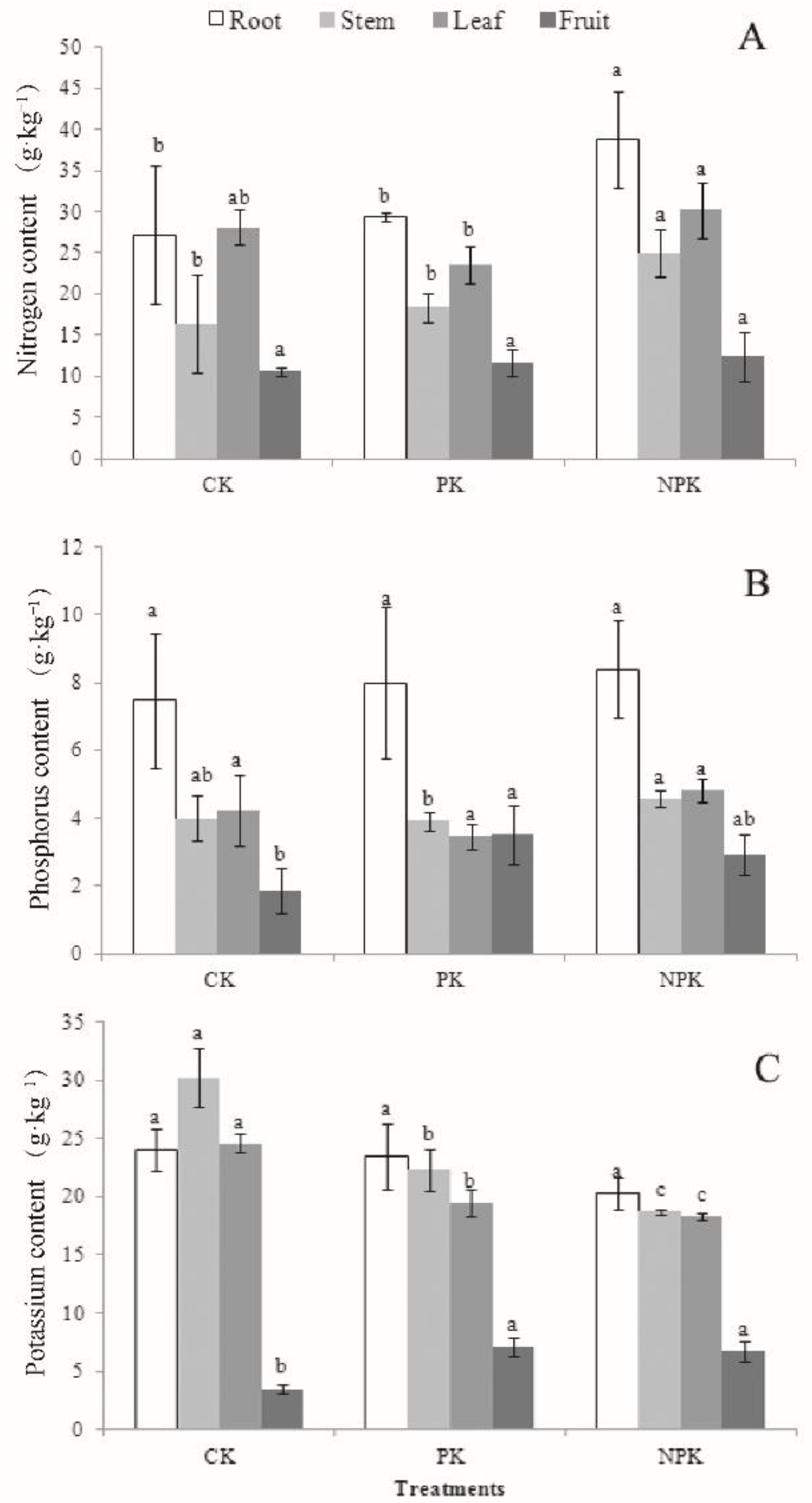
The concentrations of TN, TP, and TK in the root, stem, leaf, and fruit material of watermelon are shown in Figure 2. After two months of growth, the watermelon plant accumulated the highest total N concentration in the root material, followed by leaf, stem, and fruit in all treatments. NPK treatment showed the highest N concentration within different plant parts of watermelon among these treatments (Figure 2A). NPK treatment showed the highest P concentration and lowest K concentration within the root, stem, and leaf among treatments (Figure 2B,C).

3.2. Nutrient Content of Substrate

As shown in Table 1, the concentrations of both NH4+-N (19.5 mg kg−1) and available P (84.4 mg kg−1) were significantly higher in CK than in other treatments (14.3–14.8 mg kg−1, 50.9–52.2 mg kg−1) (Table 1). However, the NPK treatment had the highest value of NO3-N concentration (67.0 mg kg−1), followed by PK (41.9 mg kg−1) and CK treatments (37.3 mg kg−1). No significant difference in other nutrient content of substrates among the treatments. The CK (629.6 mg kg−1) treatment had the highest DOC concentration, followed by the PK (579.5 mg kg−1) and NPK (345.5 mg kg−1) treatments. The trend of DON concentration was similar to that of DOC in the different treatments, except that the NPK treatment (409.9 mg kg−1) had a significantly higher DON concentration than that of CK (227.2 mg kg−1) and PK (181.4 mg kg−1) treatments (Table 1).

3.3. The EEM Contours of DOM from Substrates

The fluorescence EEM contours of DOM from substrates of the three treatments are shown in Figure 3. The EEM contours of DOM from substrates exhibited two peaks at Ex/Em of 250/450–470 (Peak A) and 330–340/420–460 (Peak B). The evolution of Pi,n from regional integration analysis for different treatments is presented in Table 2. For all treatments, the highest percentages were observed in Regions (PV,n: 38.2–42.3%), followed by Regions (PIII,n: 30.6–32.9%), Regions (PIV,n: 13.8–20.4%) and Regions (PII,n: 8.4–8.8%), the lowest percentages occurred in Regions (PI,n: 2.1–2.5%). It was noted that PIV,n of NPK treatment was the highest, while PIII,n and PV,n of NPK treatment was the lowest among all treatments.

3.4. FTIR Spectroscopy of Substrate

Fourier transform infrared spectroscopy was used to express the functional groups present in the DOM. Several major absorption bands were observed in the spectra of the substrates under different treatments (Figure 4). The peak intensities at 3602, 3388, 1367, and 1110 cm−1 were stronger in NPK treatments than in PK and CK treatments. The peak at 996 cm−1 in the NPK treatment was smaller than in the PK and CK treatments.

3.5. Microbial Functional Diversity of Substrate

Different treatments had a significant effect on the consumption of carbon substrate analyzed as the carbon source type. After the incorporation of chemical fertilizer, the AWCD of PK (0.75) and NPK (0.79) treatments decreased significantly compared with the CK treatment (0.92) (Figure 5A). The microbial functional diversity assessed by the Shannon diversity index (H) is provided in Figure 5B. The diversity in the CK treatment was the highest (3.24), followed by the NPK (3.22) and PK treatments (3.16). The CK treatment showed significantly higher consumption of polymers, carbohydrates, carboxylic acids, and amino acids than PK and NPK treatments (Figure 5C).

3.6. Association among Fruit Yield of Watermelon, DOM Chemical Structure, Nutrients Content, and Microbial Functional Diversity

The PCA results showed that 66.9% of the data variability was explained by two principal components (i.e., PC1 and PC2). PC1 accounted for 67.2% and PC2 22.0% of the variability (Figure 6). PCA also showed that the fruit yield of watermelon correlated with the concentration of NO3-N and DON negatively and with other chemical properties and microbial functional diversity (H) positively.

4. Discussion

4.1. Fruit Yield of Watermelon and Nutrient Content of Substrates

Fruit yield varied with different fertilization strategies. A significant yield decline in NPK treatment was observed. Change in the nutrient content of the substrate is considered a probable cause of such yield trends. Our results showed that the influence of CK treatment on substrate nutrient content is more beneficial than PK and NPK treatment. This result shows that the number of nutrients in the organic substrate was sufficient for the cultivation and growth of watermelon. A significant increase in NH4+-N and available P content of CK treatment was observed compared with the NPK treatment (Table 1). This result disagreed with Yadav et al. [24], who reported a higher available P content after NPK fertilizer application. The differences in the impact of chemical fertilization on available P content may be related to different agroecosystems. The reasons for the controversial findings are unclear and require further research. However, the NPK treatment had a significantly higher NO3-N content than the CK treatment. This finding was similar to Bremner et al. [20], who reported a higher nitrate content after N fertilizer application. Thus, it is assumed that the lower TN content under the NPK treatment was due to the leaching of NO3-N from the substrate. Our results showed that the NPK treatment significantly decreased DOC concentration and significantly increased DON concentration compared with CK treatment. Since it is hypothesized that driving N needs excess labile C [25], DOC concentrations should be low under N-saturated conditions and high under N-limited conditions, in theory [26]. Our results are similar to McDowell et al. [27], who reported that N amendment treatment significantly increased DON concentration in a field experiment. Chantigny [28] reported that applying the chemical N-fertilizer increased the concentration of DON because of its pH effect.

4.2. EEM Fluorescence Spectra of DOM

These fluorescence EEM peaks in organic substances were previously identified [29,30,31,32]. Peak A was attributable to humic-like substances, whereas Peak B belonged to fulvic-like substances [21]. The CK treatment contained the highest quantity of humic- and fulvic-like substances among the three treatments. In contrast, the NPK treatment contained the lowest quantity of humic- and fulvic-like substances.
According to Chen et al. [32], five excitations–emission regions of EEM spectroscopy were analyzed by FRI. By normalizing the cumulative excitation–emission area volumes to relative regional areas (nm2), the normalized excitation–emission area volumes (Φi,n and ΦT,n, referring to the value of Region I and the entire region) and the percent fluorescence response (Pi,n = Φi,n/ΦT,n), were calculated. In general, Region I and Region II are associated with simple aromatic proteins such as tyrosine. Region III is related to fulvic acid-like materials. Region IV is related to soluble microbial by-product-like materials. Region V is related to humic acid-like organics [32]. The percentage of total humic acid (PI (II + V), n) ranged from 47.9% to 65.5% for all treatments, which indicates that the humic acid compounds accounted for a large proportion of DOM from the substrates. The results showed that NPK treatment increased protein materials in DOM from the substrate and decreased humic- and fulvic-like compounds in DOM from the substrate compared with CK and PK treatments; this suggests that the application of NPK chemical fertilizer in substrates decreased the degree of humification in DOM.

4.3. Infrared Spectroscopy of DOM

The spectra were analyzed to verify the changes introduced by different fertilizers. The absorption bands in Figure 4 include (i) H bond of OH group at 3388 cm−1, (ii) alkene C = C and H bond of C-O at 1636 cm−1, (iii) nitrate N-O stretching at 1367 cm−1, (iv) C-O stretch of polysaccharides at 1110 cm−1 and (v) Si-O at 996 cm−1 [33,34,35,36]. The increased peak at 3388 cm−1 in NPK treatments indicated the increasing development of hydroxyl structure. A sharp peak observed at 1110 cm−1 in the NPK treatment, which was not observed in CK and PK treatments, suggested the presence of non-decomposed and unstable polysaccharides in substrates of NPK treatment. Furthermore, the increased peak at 1367 cm−1 in NPK treatments compared with CK and PK treatments indicated an increasing occurrence of nitrate in NPK treatment.

4.4. Microbial Function Diversity

The results showed that the addition of PK and NPK treatments significantly decreased the microbial functional diversity. The decreased diversity suggested that the carbon source utilization patterns were fewer. The NPK treatment changed the microbial functional diversity, probably due to the increased production of N-rich fractions [37]. It has been observed that the concentration of DOC often correlates positively with microbial respiration [18]. DOM could act as a substrate resource for microorganisms [17]. Microbial utilization of DOM leads to microbial immobilization as well as N mineralization [15]. The addition of chemical fertilizer tended to change the microbial functional diversity and microbial ability to utilize substrate, which indicated that chemical fertilizer could impact the chemical structure of DOM. Kiikkilä et al. [18] reported that DOM refractory compounds accumulate because they are easily degradable due to high microbial activity; this could explain the higher humification degree of DOM in the CK treatment.

5. Conclusions

Our study is the first report regarding the relationships of fruit yield of watermelon with DOM chemical structure in the organic substrate. The application of chemical fertilizer in substrates decreased the fruit yield of watermelon, the degree of humification in DOM, and microbial functional diversity compared with CK treatment. Our results demonstrated that the fruit yield of watermelon was closely related to the quality of DOM in the organic growing substrate. According to these results, we speculate that DOM is an essential nutrient source for watermelon and plays an important role in watermelon growth.

Author Contributions

J.L. and Y.M. conducted the experiments; X.S. and Q.W. writing original draft preparation; X.S. and D.G. collected samples and analyzed the data; Y.M. and X.S. conceived and supervised the project and wrote the manuscript. All authors have read and agreed to the published version of the manuscript.

Funding

This work was supported by the National Key Research and Development Projects of China (2017YFD0800201) and the Key Research and Development Projects of Jiangsu Province (BE2019394).

Institutional Review Board Statement

Not applicable.

Data Availability Statement

Not applicable.

Acknowledgments

We also thank Ruonan Hei and Jinyan Zhou from Institute of Agricultural Resources and Environment, Jiangsu Academy of Agricultural Sciences, China, for their data analysis and revision of this manuscript.

Conflicts of Interest

The authors declare no conflict of interest.

References

  1. Bonanomi, G.; Antignani, V.; Capodilupo, M.; Scala, F. Identifying the characteristics of organic soil amendments that suppress soilborne plant diseases. Soil Biol. Biochem. 2010, 42, 136–144. [Google Scholar] [CrossRef]
  2. Termorshuizen, A.; Van Rijn, E.; Van der Gaag, D.; Alabouvette, C.; Chen, Y.; Lagerlöf, J.; Malandrakis, A.; Paplomatas, E.; Rämert, B.; Ryckeboer, J. Suppressiveness of 18 composts against 7 pathosystems: Variability in pathogen response. Soil Biol. Biochem. 2006, 38, 2461–2477. [Google Scholar] [CrossRef]
  3. Benito, M.; Masaguer, A.; De Antonio, R.; Moliner, A. Use of pruning waste compost as a component in soilless growing media. Bioresour. Technol. 2005, 96, 597–603. [Google Scholar] [CrossRef]
  4. Raviv, M.; Oka, Y.; Katan, J.; Hadar, Y.; Yogev, A.; Medina, S.; Krasnovsky, A.; Ziadna, H. High-nitrogen compost as a medium for organic container-grown crops. Bioresour. Technol. 2005, 96, 419–427. [Google Scholar] [CrossRef]
  5. Grigatti, M.; Giorgioni, M.E.; Ciavatta, C. Compost-based growing media: Influence on growth and nutrient use of bedding plants. Bioresour. Technol. 2007, 98, 3526–3534. [Google Scholar] [CrossRef] [PubMed]
  6. Abad, M.; Noguera, P.; Burés, S. National inventory of organic wastes for use as growing media for ornamental potted plant production: Case study in Spain. Bioresour. Technol. 2001, 77, 197–200. [Google Scholar] [CrossRef]
  7. Scaglia, B.; Pognani, M.; Adani, F. Evaluation of hormone-like activity of the dissolved organic matter fraction (DOM) of compost and digestate. Sci. Total Environ. 2015, 514, 314–321. [Google Scholar] [CrossRef]
  8. Zhou, L.; Wong, J. Effect of dissolved organic matter from sludge and sludge compost on soil copper sorption. J. Environ. Qual. 2001, 30, 878–883. [Google Scholar] [CrossRef] [PubMed]
  9. Said-Pullicino, D.; Erriquens, F.G.; Gigliotti, G. Changes in the chemical characteristics of water-extractable organic matter during composting and their influence on compost stability and maturity. Bioresour. Technol. 2007, 98, 1822–1831. [Google Scholar] [CrossRef]
  10. El Ouaqoudi, F.Z.; El Fels, L.; Lemée, L.; Amblès, A.; Hafidi, M. Evaluation of lignocelullose compost stability and maturity using spectroscopic (FTIR) and thermal (TGA/TDA) analysis. Ecol. Eng. 2015, 75, 217–222. [Google Scholar] [CrossRef]
  11. Wei, Z.; Zhao, X.; Zhu, C.; Xi, B.; Zhao, Y.; Yu, X. Assessment of humification degree of dissolved organic matter from different composts using fluorescence spectroscopy technology. Chemosphere 2014, 95, 261–267. [Google Scholar] [CrossRef]
  12. Zhang, L.; Sun, X. Changes in physical, chemical, and microbiological properties during the two-stage co-composting of green waste with spent mushroom compost and biochar. Bioresour. Technol. 2014, 171, 274–284. [Google Scholar] [CrossRef]
  13. Haynes, R. Labile organic matter fractions as central components of the quality of agricultural soils: An overview. Adv. Agron. 2005, 85, 221–268. [Google Scholar]
  14. Li, Z.P.; Han, C.W.; Han, F.X. Organic C and N mineralization as affected by dissolved organic matter in paddy soils of subtropical China. Geoderma 2010, 157, 206–213. [Google Scholar] [CrossRef]
  15. Tian, L.; Dell, E.; Shi, W. Chemical composition of dissolved organic matter in agroecosystems: Correlations with soil enzyme activity and carbon and nitrogen mineralization. Appl. Soil Ecol. 2010, 46, 426–435. [Google Scholar] [CrossRef]
  16. Kalbitz, K.; Solinger, S.; Park, J.H.; Michalzik, B.; Matzner, E. Controls on the dynamics of dissolved organic matter in soils: A review. Soil Sci. 2000, 165, 277. [Google Scholar] [CrossRef]
  17. Liu, B.; Li, Y.; Zhang, X.; Wang, J.; Gao, M. Combined effects of chlortetracycline and dissolved organic matter extracted from pig manure on the functional diversity of soil microbial community. Soil Biol. Biochem. 2014, 74, 148–155. [Google Scholar] [CrossRef]
  18. Kiikkilä, O.; Kanerva, S.; Kitunen, V.; Smolander, A. Soil microbial activity in relation to dissolved organic matter properties under different tree species. Plant Soil 2014, 377, 169–177. [Google Scholar] [CrossRef]
  19. Motsara, M.; Roy, R. Guide to laboratory establishment for plant nutrient analysis. In FAO Fertilizer and Plant Nutrient Bulletin; Food and Agriculture Organization of the United Nations: Rome, Italy, 2008. [Google Scholar]
  20. Bremner, J.; Keeney, D. Determination and isotoperatio analysis of different forms of nitrogen in soils: 3. Exchangeable ammonium, nitrate, and nitrite by extraction—Distillation methods. Soil Sci. Soc. Am. J. 1966, 30, 577–582. [Google Scholar] [CrossRef]
  21. Yu, G.H.; Wu, M.J.; Wei, G.R.; Luo, Y.H.; Ran, W.; Wang, B.R.; Zhang, J.; Shen, Q.R. Binding of organic ligands with Al (III) in dissolved organic matter from soil: Implications for soil organic carbon storage. Environ. Sci. Technol. 2012, 46, 6102–6109. [Google Scholar] [CrossRef]
  22. Lorenzo, P.; Rodrigues Pereira, C.S.; Rodríguez-Echeverría, S. Differential impact on soil microbes of allelopathic compounds released by the invasive Acacia dealbata Link. Soil Biol. Biochem. 2012, 57, 156–163. [Google Scholar] [CrossRef]
  23. Gomez, E.; Ferreras, L.; Toresani, S. Soil bacterial functional diversity as influenced by organic amendment application. Bioresour. Technol. 2006, 97, 1484–1489. [Google Scholar] [CrossRef]
  24. Yadav, R.L.; Dwivedi, B.S.; Prasad, K.; Tomar, O.K.; Shurpali, N.J.; Pandey, P.S. Yield trends, and changes in soil organic-C and available NPK in a long-term rice Cwheat system under integrated use of manures and fertilisers. Field Crops Res. 2000, 68, 219–246. [Google Scholar] [CrossRef]
  25. Aber, J.D. Nitrogen cycling and nitrogen saturation in temperate forest ecosystems. Trends Ecol. Evol. 1992, 7, 220–224. [Google Scholar] [CrossRef]
  26. Gundersen, P.; Emmett, B.A.; Kjønaas, O.J.; Koopmans, C.J.; Tietema, A. Impact of nitrogen deposition on nitrogen cycling in forests: A synthesis of NITREX data. For. Ecol. Manag. 1998, 101, 37–55. [Google Scholar] [CrossRef]
  27. McDowell, W.H.; Currie, W.S.; Aber, J.D.; Yang, Y. Effects of chronic nitrogen amendments on production of dissolved organic carbon and nitrogen in forest soils. In Biogeochemical Investigations at Watershed, Landscape and Regional Scales; Springer: Berlin/Heidelberg, Germany, 1998; pp. 175–182. [Google Scholar]
  28. Chantigny, M.H. Dissolved and water-extractable organic matter in soils: A review on the influence of land use and management practices. Geoderma 2003, 113, 357–380. [Google Scholar] [CrossRef]
  29. Wan, S.; Xi, B.; Xia, X.; Li, M.; Lv, D.; Wang, L.; Song, C. Using fluorescence excitation-emission matrix spectroscopy to monitor the conversion of organic matter during anaerobic co-digestion of cattle dung and duck manure. Bioresour. Technol. 2012, 123, 439–444. [Google Scholar] [CrossRef]
  30. Tang, Z.; Yu, G.; Liu, D.; Xu, D.; Shen, Q. Different analysis techniques for fluorescence excitation-emission matrix spectroscopy to assess compost maturity. Chemosphere 2011, 82, 1202–1208. [Google Scholar] [CrossRef] [PubMed]
  31. Marhuenda-Egea, F.; Martínez-Sabater, E.; Jordá, J.; Moral, R.; Bustamante, M.; Paredes, C.; Pérez-Murcia, M. Dissolved organic matter fractions formed during composting of winery and distillery residues: Evaluation of the process by fluorescence excitation-emission matrix. Chemosphere 2007, 68, 301–309. [Google Scholar] [CrossRef] [PubMed]
  32. Chen, W.; Westerhoff, P.; Leenheer, J.A.; Booksh, K. Fluorescence excitation-emission matrix regional integration to quantify spectra for dissolved organic matter. Environ. Sci. Technol. 2003, 37, 5701–5710. [Google Scholar] [CrossRef]
  33. Fan, C.; Tsai, M.; Tsui, L. Structural characterization of bagasse-derived composts with different maturities and their solubility enhancing effect on PCE and toluene. Chemosphere 2014, 105, 95–99. [Google Scholar] [CrossRef] [PubMed]
  34. Tsui, L.; Juang, M.-A. Effects of composing on sorption capacity of bagasse-based chars. Waste Manag. 2010, 30, 995–999. [Google Scholar] [CrossRef] [PubMed]
  35. Smidt, E.; Meissl, K.; Schwanninger, M.; Lechner, P. Classification of waste materials using Fourier transform infrared spectroscopy and soft independent modeling of class analogy. Waste Manag. 2008, 28, 1699–1710. [Google Scholar] [CrossRef]
  36. Huang, G.; Wu, Q.; Wong, J.; Nagar, B. Transformation of organic matter during co-composting of pig manure with sawdust. Bioresour. Technol. 2006, 97, 1834–1842. [Google Scholar] [CrossRef]
  37. McDowell, W.H.; Magill, A.H.; Aitkenhead-Peterson, J.A.; Aber, J.D.; Merriam, J.L.; Kaushal, S.S. Effects of chronic nitrogen amendment on dissolved organic matter and inorganic nitrogen in soil solution. For. Ecol. Manag. 2004, 196, 29–41. [Google Scholar] [CrossRef]
Figure 1. Fruit yield (A) and vine biomass (B) of watermelon under different treatments. Means in each column followed by the same letter within different treatments were not significantly different at p < 0.05. The same below.
Figure 1. Fruit yield (A) and vine biomass (B) of watermelon under different treatments. Means in each column followed by the same letter within different treatments were not significantly different at p < 0.05. The same below.
Sustainability 14 06951 g001
Figure 2. Total N (A), P (B) and K (C) content in root, stem, leaf and fruit of watermelon plants under different treatments (CK: no fertilizer, PK: no nitrogen fertilizer, NPK: chemical fertilizer. The same below). Means in each column followed by the same letter within different treatments were not significantly different at p < 0.05.
Figure 2. Total N (A), P (B) and K (C) content in root, stem, leaf and fruit of watermelon plants under different treatments (CK: no fertilizer, PK: no nitrogen fertilizer, NPK: chemical fertilizer. The same below). Means in each column followed by the same letter within different treatments were not significantly different at p < 0.05.
Sustainability 14 06951 g002
Figure 3. EEM contours of DOM from substrates under different treatments.
Figure 3. EEM contours of DOM from substrates under different treatments.
Sustainability 14 06951 g003
Figure 4. FTIR spectra of DOM from substrates under different treatments.
Figure 4. FTIR spectra of DOM from substrates under different treatments.
Sustainability 14 06951 g004
Figure 5. Average well-color development (AWCD) of metabolized substrates in Biolog EcoPlate (A), Shannon diversity (B) and AWCD for a functional group of carbon sources (C) under different treatments. Means in each column followed by the same letter within different treatments were not significantly different at p < 0.05.
Figure 5. Average well-color development (AWCD) of metabolized substrates in Biolog EcoPlate (A), Shannon diversity (B) and AWCD for a functional group of carbon sources (C) under different treatments. Means in each column followed by the same letter within different treatments were not significantly different at p < 0.05.
Sustainability 14 06951 g005
Figure 6. Principal component analysis (PCA) of the nutrient content, microbial functional diversity and the percentage of total humic acid (P(III + V),n). ■: CK; ●: PK; ▲: NPK; NH-N: NH4+-N; NO-N: NO3-N; H: Shannon diversity; P(V + III): the percentage of total humic acid (P(III + V),n).
Figure 6. Principal component analysis (PCA) of the nutrient content, microbial functional diversity and the percentage of total humic acid (P(III + V),n). ■: CK; ●: PK; ▲: NPK; NH-N: NH4+-N; NO-N: NO3-N; H: Shannon diversity; P(V + III): the percentage of total humic acid (P(III + V),n).
Sustainability 14 06951 g006
Table 1. Nutrient content of substrate under different treatments.
Table 1. Nutrient content of substrate under different treatments.
TreatmentTOC (g kg−1)TN (g kg−1)TP (g kg−1)TK (g kg−1)NH4+-N (mg kg−1)NO3-N (mg kg−1)pHAvailable P (mg kg−1)Available K (g kg−1)DOC (mg kg−1)DON (mg kg−1)
CK166.2 ± 3.2 a22.7 ± 1.4 a12.2 ± 1.4 a24.0 ± 4.1 a19.5 ± 0.9 a37.3 ± 1.6 b7.8 ± 0.1 a84.4 ± 7.3 a2.3 ± 0.4 a629.6 ± 6.6 a227.2 ± 0.5 b
PK160.8 ± 10.7 a20.8 ± 0.8 a13.3 ± 0.8 a24.4 ± 3.6 a14.3 ± 0.1 b41.9 ± 7.4 b7.8 ± 0.1 a50.9 ± 2.7 b2.4 ± 0.3 a579.5 ± 0.7 a181.4 ± 0.3 b
NPK156.1 ± 9.1 a20.4 ± 1.3 a11.8 ± 1.3 a22.5 ± 2.7 a14.8 ± 0.4 b67.0 ± 7.8 a7.7 ± 0.3 a52.2 ± 9.9 b2.2 ± 0.6 a345.8 ± 1.9 b409.9 ± 3.8 a
TOC: total organic carbon; TN: total N; TP: total P; TK: total K; DOC: dissolved organic carbon; DON: dissolved organic nitrogen. Means in each column followed by the same letter were not significantly different at p < 0.05.
Table 2. Pi,n (%) in the five regions under different treatments.
Table 2. Pi,n (%) in the five regions under different treatments.
PI,nPII,nPIII,nPIV,nPV,nP(III + V),n
CK2.18.832.515.640.873.3
PK2.58.432.913.842.375.2
NPK2.28.730.620.438.268.8
Publisher’s Note: MDPI stays neutral with regard to jurisdictional claims in published maps and institutional affiliations.

Share and Cite

MDPI and ACS Style

Song, X.; Wang, Q.; Luo, J.; Guo, D.; Ma, Y. Effect of Fertilizer Application on Watermelon Growth, Structure of Dissolved Organic Matter and Microbial Functional Diversity in Organic Substrates. Sustainability 2022, 14, 6951. https://doi.org/10.3390/su14126951

AMA Style

Song X, Wang Q, Luo J, Guo D, Ma Y. Effect of Fertilizer Application on Watermelon Growth, Structure of Dissolved Organic Matter and Microbial Functional Diversity in Organic Substrates. Sustainability. 2022; 14(12):6951. https://doi.org/10.3390/su14126951

Chicago/Turabian Style

Song, Xiuchao, Qiujun Wang, Jia Luo, Dejie Guo, and Yan Ma. 2022. "Effect of Fertilizer Application on Watermelon Growth, Structure of Dissolved Organic Matter and Microbial Functional Diversity in Organic Substrates" Sustainability 14, no. 12: 6951. https://doi.org/10.3390/su14126951

APA Style

Song, X., Wang, Q., Luo, J., Guo, D., & Ma, Y. (2022). Effect of Fertilizer Application on Watermelon Growth, Structure of Dissolved Organic Matter and Microbial Functional Diversity in Organic Substrates. Sustainability, 14(12), 6951. https://doi.org/10.3390/su14126951

Note that from the first issue of 2016, this journal uses article numbers instead of page numbers. See further details here.

Article Metrics

Back to TopTop