Abstract
Although many meteorological prediction models have been developed recently, their accuracy is still unreliable. Post-processing is a task for improving meteorological predictions. This study proposes a post-processing method for the Climate Forecast System Version 2 (CFSV2) model. The applicability of the proposed method is shown in Iran for observation data from 1982 to 2017. This study designs software to perform post-processing in meteorological organizations automatically. From another point of view, this study presents a decision support system (DSS) for controlling precipitation-based natural side effects such as flood disasters or drought phenomena. It goes without saying that the proposed DSS model can meet sustainable development goals (SDGs) with regards to a grantee of human health and environmental protection issues. The present study, for the first time, implemented a platform based on a graphical user interface due to the prediction of precipitation with the application of machine learning computations. The present research developed an academic idea into an industrial tool. The final finding of this paper is to introduce a set of efficient machine learning computations where the random forest (RF) algorithm has a great level of accuracy with more than a 0.87 correlation coefficient compared with other machine learning methods.
1. Introduction
Weather predictions have a great impact on humans’ lives and all urbanization and industrial projects [,,]. Without a doubt, several political, economic, environmental, and social programs are linked with an accurate weather prediction [,,,]. Most people take weather predictions seriously in many of their schedules, from their personal to their business settings. Hydrological numerical models usually complete weather predictions [,,]. These models predict different hydrological variables’ outputs such as precipitation, temperature, etc. Many researchers have studied the problems related to precipitation [,,,,,].
One of the important concepts in weather prediction models is post-processing. Post-processing is a task in which the prediction model is updated to eliminate the errors in the model, lack of data for building the model, and large-scale limitations. Most hydrological models have a limited scale. Therefore, they do not have an exact prediction for every point on the earth’s surface. Post-processing could help to overcome this issue by having an accurate prediction [,,,].
The research on the post-processing models and prediction algorithms is active, and there are many post-processing methods for different hydrological variables [,,,,,,,,]. We can classify these papers into two main categories. A first category is a group of studies that developed new prediction models for post-processing [,,,,,,,]. Different post-processing algorithms utilize the second category for post-processing using one or multiple variables [,,,,,,,,,,,,].
To study the most recent papers in the first category, Monache et al. [] proposed two post-processing methods based on the Kalman filter and weighted average on analog data []. Robertson et al. [] proposed a post-processing method for rain forecasts []. Bayesian joint probability modeling was used in their method to produce rain probability distributions in different locations. In this regard, ensemble forecasts are generated by combining these probabilities using the Schaake shuffle.
During the last decade, this research area was very active and many statistical and computational methods have been studied [,,,,,,,,,,,,,,,,,]. In another study, Scheuerer et al. [] proposed a statistic method for post-processing temperature ensemble forecasts in COSMO-DE []. Madadgar et al. [] proposed a novel method based on copula functions for post-processing ensemble forecasts []. As such, Chen et al. [] proposed a statistical post-processing method for ensemble forecasts using a stochastic weather generator []. Scheuerer et al. [] proposed a post-processing method that transforms raw ensemble precipitation forecasts from the Global Ensemble Forecast System (GEFS) into probability distributions, and after that a regression model is used to link the distributions [].
Among the methods in the literature review, post-processing methods are highly recommended in recent studies [,,,,,,,,,,,]. For example, Stauffer et al. [] proposed a post-processing method for daily precipitation on the standardized anomaly model output statistics []. Shrestha et al. [] used the Bayesian joint probability and Schaake shuffle to create calibrated quantitative precipitation ensembles []. Dabernig et al. [] proposed a new post-processing method based on standardized anomalies []. Rasp et al. [] proposed a neural network-based post-processing method for temperature in Germany [].
Advanced statistical and machine learning models are highly interested by the scholars recently [,,,,,,,]. For example, Wutzler et al. [] developed a package in the R language for post-processing measurements of eddy covariance flux data []. Last but not least, El Ayari et al. [] proposed doubly truncated Bayesian model averaging for post-processing. This method is evaluated on water level forecasts on the river Rhine [].
Post-processing methods in the literature highly dominates other existing methods. For example, Lin et al. [] developed the post-processed precipitation forecasts in Canada in winter from the GCM model []. Rincon et al. [] applied three post-processing methods for short term irradiance []. Vashani et al. [] evaluated five different post-processing methods for temperature in the WRF model in Iran []. Bentzien et al. [] post-processed precipitation from the DOSMO-DE-EPS model in Germany using regression methods []. Roulin et al. [] utilized extended logistic regression to post-process precipitation forecasts from the ECMWF model in Belgium []. Verkade et al. [] used a post-processing method based on regression for precipitation and temperature in the ECMWF (European Centre for Medium-Range Weather Forecasts) ensemble []. Sweeney et al. [] post-processed wind speed forecasts in the COSMO model using seven different adaptive post-processing algorithms []. Williams et al. [] evaluated four different post-processing methods for post-processing extreme events in the Lorenz 1996 model []. Bogner et al. [] evaluated different post-processing methods for updating flood forecasts in Switzerland []. Vogel et al. [] used Bayesian model averaging (BMA) and ensemble model output statistics (EMOS) for post-processing precipitation forecasts in the monsoon period in West Africa []. Yang et al. [] investigated Bayesian model averaging and heteroscedastic censored logistic regression for post-processing precipitation forecasts in the U.S. mid-Atlantic region []. Whan et al. [] utilized extended logistic regression, ensemble model output statistics, and quantile random forest for post-processing precipitation forecasts []. Erickson et al. [] used bias correction for post-processing SREF system forecasts for fire weather days []. Vogel et al. [] applied Bayesian model averaging and ensemble model output statistics for post-processing rainfall forecasts in north Africa []. Wu et al. [] evaluated three different variants of the Schaake shuffle for post-processing precipitation forecasts []. Taillardat et al. [] performed a quantile regression forest and gradient regression for post-processing precipitation forecasts in France []. More recently, Fathollahi-Fard et al. [] developed a sustainable water network design considering the environmental, social, and weather conditions. A multi-objective stochastic model was developed, and a heuristic algorithm was introduced to solve it.
1.1. Relevant and Recent Literatures
Here, we focus on recently published papers in this research area. For example, Sparrow et al. [] developed a platform for a climate prediction and monitoring system based on citizens’ participation named OpenIFS@home version 1. In the declared system and climate change monitoring, feedback from citizens can improve the quality of the model, and it is a sample of a techno-social system. Plus, Kang and Sridhar [] presented the soil and water assessment tool (SWAT) model due to drought prediction. All computations are completed based on mathematical modelling of soil and hydrological historical data analysis in the mentioned process. An-Vo et al. [] presented a prediction model for rainfall amounts in rice farms in a case study in the Greater Mekong Region (GMR), Southeast Asia. Through the research, plus the climate forecasting system, a bio-economic assessment framework is introduced, which can be utilized in the agriculture appraisal process. Sheela et al. [] applied Naive’s algorithm for agricultural climate estimation. In the study, farmers examined this dashboard’s performance in different cases. Akhila et al. [] presented a model based on an artificial recurrent neural network (RNN) system for long and short-term estimations of the climate. In the declared study, the temperature is measured as a climate indicator, and the accuracy of models are assessed by statistical error functions such as the mean absolute percentile error.
One of the main applications of the climate-forecasting system is climate change controlling with the concentration of sustainability [,,,,]. Furthermore, Gandini et al. [] presented a method due to climate change risk assessment in megacities by integrated multi-perspective decision making and multi-scale urban modelling. The case study of the mentioned study was Donostia-San Sebastián, Spain, and all decision-making modelling were implemented in the CityGML platform. In addition, Cohen et al. [] evaluated the effects of climate change actions and plans on the sustainable development goals (SDGs). The main purpose of the research was to create the framework for policy-making in sustainable cities. Barry and Hoyne [] presented a concept due to the New Green Deal Era definition with the assessment of the SDGs indicators. During the investigation, using the indicators, the impacts of climate change on SDGs were appraised. Through the research, all economic and socio-cultural dimensions of SDGs were analyzed and measured in climate change conditions. Hidalgo et al. [] presented a novel idea for executing sustainable water resource management during climate change adaptation plans. In the current strategies, social, economic, environmental, technical, and policy governance is considered in the same weights. However, the main concentration of the study is linked to social responsibility to the climate change adaptation plans. Finally, Abbass et al. [] reviewed all connections of climate change adaptation actions and SDGs and presented a framework due to sustainable mitigation measures. The present research outcomes can obtain a tool for examining climate change prediction and SDGs evaluations.
The novelty of this research is using regression methods for post-processing on new data from the CFSV2 model. Additionally, the main difference of the present study with the other ones is linked to comprehensive evaluations of machine learning computations’ performance for precipitation prediction. In addition, in the present investigation, software is developed in the MATLAB environment for the first time comprehensively and locally.
1.2. Contributions
Building on previous studies on post-processing numerical weather predictions, a method for post-processing precipitation rate predictions of the CFSV2 model is proposed. CFSV2 model data from 1982–2017 and observation data from 274 weather stations in Iran are used in the proposed method. Methods based on regression are proposed for post-processing.
The importance and contributions of the present study contain:
- The case study’s prediction of rainfall in arid and semi-arid areas for controlling flood and famine.
- Implementation of climate change adaptation action based on forecasting values in the short, middle, and long term.
- Allocation of water resources in limited regions to different applications, specifically, irrigation usages.
- Improving cities’ resiliency based on passive defense programs against flash-flood and famine.
The rest of the paper is organized as follows. In Section 2, the regression methods used for post-processing are explained. In Section 3, the proposed method is detailed. In Section 4, the experimental results are reported, and in Section 5, the managerial insights and sustainability issues are discussed. Finally, Section 6 evaluates the conclusion of the present study and suggestions for future studies.
2. Material and Methods
2.1. Material
The material section is divided into the CFSV2 model and case study presented in the following.
2.1.1. CFSV2 Model
Climate Forecast System Version 2 (CFSV2) is a numerical weather prediction model that predicts a great range of weather variables []. The variables are in different groups including (a) surface and radiative fluxes variables, (b) 3-D pressure level variables, (c) 3-D ocean data variables, and (d) 3-D isentropic variables. CFSV2 is an ensemble prediction system executed 16 times every day. Four runs are for monthly predictions for the next nine months, three runs for season forecasts, and nine runs for 45-day forecasts.
2.1.2. Case Study
The research is completed on CFSV2 model precipitation predictions in Iran. CFSV2 is a model with monthly forecasts. The CFSV2 data used here are from 1982 to 2017. The predictions used are in the surface and radiative fluxes variables. There are 107 variables in this group. Only 90 variables that had numerical values are used in this research as input variables. The output variable is the precipitation observation from the weather station. The precipitation observation data are from 274 weather stations all over Iran. Figure 1 shows the CFSV2 precipitation predictions in Iran for different regions compared to precipitation observations.
Figure 1.
(Left): CFSV2 predictions in January 2017, (Right): weather station observations in January 2017.
Each precipitation prediction in the CFSV2 model is for a specific year and month. The model is executed several times each day and on different days. Therefore, it has multiple predictions for each month. These predictions with 90 variables for each and the observations for the same year and month are matched together, so the dataset for post-processing is created. In Figure 1, the CFSV2 precipitation predictions in Iran have been compared with observations.
2.2. Methods
In this section, the methods used in the research are reported.
2.2.1. Problem
Post-processing is a task completed on numerical weather predictions with different purposes [,,]. One of the purposes is that some models do not have predictions in some areas due to scalability limitations [,,,,]. Post-processing helps to have predictions everywhere. Another goal of post-processing is to enhance the predictions.
2.2.2. Machine Learning Post-Processing
The significant contribution of this research is to merge a regression method for post-processing on new data from the CFSV2 model with efficient machine learning computations like the random forest algorithm.
2.2.3. Machine Learning Pre-Processing Methods
In machine learning, pre-processing is the tasks completed on data before the learning task []. Pre-processing makes the data ready for learning operations. The data are investigated, and two main challenges are observed: imbalanced data and missing values [,]. These concepts are detailed next.
Imbalanced Data
Imbalanced data are an important challenge in machine learning []. This challenge usually occurs in classification tasks in which data in one class are much more than data in another class. Regression is another type of learning in which an imbalance may occur []. Imbalance in regression means that some output values occur much more than others.
Here, the output variable is the precipitation observation in the weather station. It was investigated that most of the observations are zero; therefore, a data imbalance exists. In Torgo et al. [], a pre-processing algorithm based on SMOTE [], has been proposed to handle an imbalance in regression. There is an R software package for this research [,].
Missed Values
Missed values are another challenge in machine learning, in which some features do not have values due to problems in data acquisition []. Different methods could handle missed values. Here, chained equations are used to impute missed values []. In a study [], an R software package has been developed for imputing missed values using chained equations.
Feature Selection
Feature selection is one of the most important pre-processing tasks in machine learning []. Feature selection aims to reduce the dimensions of the learning problem. There are different methods for feature selection. Here, a filter method based on Pearson correlation is used to find the correlation between each variable and the observation. Variables that have a low correlation are omitted.
As mentioned earlier, in the CFSV2 data, there are 90 variables. After performing the feature selection method, the variables are reduced to 47. Therefore, the time for learning is reduced.
2.2.4. Regression Methods
Numerical weather predictions are usually continuous values, and the post-processing method aims to change these forecasts to another continuous value. With this explanation, regression methods are a suitable mechanism for post-processing. In regression methods, the predicted variable is continuous []. The next sections explain different regression methods used in this research.
General Regression Neural Network (GRNN)
GRNN is a memory-based neural network suitable for linear and non-linear regression tasks []. GRNN is built of three layers: the pattern layer, summation layer, and output layer. Each neuron is a cluster center in the pattern layer, and the similarity of the input to each cluster is computed. The summation layer sums up the result of the pattern layer and the output layer gives the final prediction (Equations (1)–(3)).
In Equations (1)–(3), Y(x) is the predicted output for input x; yk is the activation weight for the pattern layer neuron at k; is the radial basis function kernel; dk is the squared Euclidean distance between the training samples xk and the input x.
Extreme Learning Machine (ELM)
ELM is a neural network in which the hidden layer weights are not trained and have random values []. ELM can have multiple hidden layers. The output layer in ELM has weights, and only these weights are trained. This enables ELM to estimate weights with an equation and there is no need to use a backpropagation algorithm. ELM has faster training and does not fall into local minimums. ELM can be used for regression (Equation (4)).
In Equation (4), oj is the prediction; N is the number of training instances; wi is the weight of the hidden layer; βi is the between hidden and output layer; and bi is the bias.
Neural Network (NN)
Neural networks are a popular learning algorithm []. Here a multi-layer perceptron (MLP) is used for regression. The hidden layer has 50 neurons with tangent sigmoid activation. The output layer has one neuron with linear activation. The output layer neuron gives the final prediction of the network. Backpropagation is used for training the MLP.
Binary Regression Tree (BRT)
Binary regression trees are a decision tree for regression []. In this decision tree, the nodes are divided based on limits on feature values. The features are selected based on the GINI index. The learning function is recursive, and the operation completed on each tree leaf is the same. The training stops when there are no more leaves to extend, and all leaves are labels, not features (Equation (5)).
In Equation (5), Nm is the number of training instances that the conditions of the tree are true for them; yi is the target output; ym is the prediction.
Random Forest (RF)
Random forest is an ensemble of decision trees combined based on the bagging approach []. In bagging, each learner gives a prediction or vote, and the result prediction is the majority of votes []. In building each tree, the random forest has a special strategy. It selects one of the attributes randomly. That is where the word random comes from (Equation (6)).
In Equation (6), F(x) is the prediction of the model; B is the number of models; Tb(x) is the prediction of each model.
Lasso Boosting (LB)
Lasso boosting is an ensemble of decision trees combined using the boosting method []. It belongs to a big family of learners called “Gradient Boosting” methods. In boosting, the general idea is to start from a weak learner and try to enhance iteratively based on each iteration’s error []. Lasso, generally, is an iterative optimization method. In lasso boosting, the lasso is used in combination with boosting to optimize the training procedure.
3. Results and Discussion
In this section, experiments were conducted to evaluate the effectiveness of the proposed method. In the experiments, MATLAB 2017 was used for the simulations. In the GRNN method, the spread parameter was set to 0.3. In the NN and ELM methods, there were 50 neurons in the hidden layer and one neuron in the output layer. In random forest, the number of trees was set to 100. For lasso boosting and the binary regression tree, no specific parameter was set. Finally, after evaluating the outcomes with other research, three sections contained sustainability and climate change, the decision support system (DSS) with a focus on managerial insights, and sustainable development goals.
3.1. Metrics
Four different metrics were used to evaluate the results: the RMSE (Equation (7)), Pearson correlation (Equation (8)), ROC analysis plot, and Q-Q plot.
K-fold cross validation with K = 10, was used to compute the metrics. In K-fold, the dataset is divided into K parts, and (K − 1) parts are used for training, and one part for testing, and this process is repeated K times. The final evaluation is the mean of K times of execution.
3.2. Results
In this section, the results for the metrics are reported.
3.2.1. RMSE and Correlation Metric
In Table 1, the RMSE and correlation results are shown. The results are the mean of 10 executions.
Table 1.
The outcomes of RSME through the present study (the bold values are the best).
From the results of Table 1, it is concluded that in this data, tree-based methods (BRT, RF, LB) had better results than neural network methods (GRNN, NN, ELM). Among the tree-based methods, random forest had the best results.
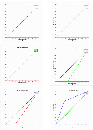
3.2.2. ROC Curve
The ROC plot is a metric used for classification problems. Here, the problem was a regression problem; therefore, it needed to be converted. To achieve this, the predictions and observations were categorized into three groups: below normal (BN), normal (NN), and above normal (AN). Below normal means the precipitation was less than 80 percent of average long-term reforecast precipitation. Normal means the precipitation was between 80 percent and 120 percent average, and above normal means the precipitation was higher than the 120 percent average. In Figure 2, the result without post-processing is shown. The gray line is useful in this chart to compare the observations for the blue, red and green lines.
Figure 2.
ROC plot for CFSV2 predictions compared to observations.
From Figure 2, it could be concluded that CFSV2 did not have suitable predictions on observations above normal. In Figure 3, the ROC plots for six post-processing algorithms are shown. The gray line is useful in this chart to compare the observations for the blue, red and green lines.

Figure 3.
ROC plot for six post-processing algorithms: (a) GRNN, (b) NN, (c) ELM, (d) BRT, (e) RF, and (f) LB.
From Figure 3, it could be concluded that the post-processing algorithms improved the CFSV2 predictions in BN and NN categories. For observations above normal, all methods except ELM had results similar to CFSV2. This issue is related to low precipitation in Iran. Between the six post-processing algorithms, RF had the best ROC plot result. The gray line is useful in this chart to compare the observations for the blue, red and green lines.
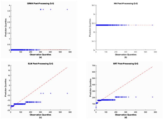
3.2.3. Q-Q Plot
The Q-Q plot is used to investigate if two sample data are from the same distribution. Here, the two-sample data were the observations and predictions. If the observation and predictions came from the same distribution, the result was a linear plot. In Figure 4, the Q-Q plot is shown for predictions before post-processing. The gray line is useful in this chart to compare the observations for the blue, red and green lines.
Figure 4.
Q-Q plot for CFSV2 predictions compared to observations.
From Figure 4, it could be concluded that CFSV2 predictions did not have a similar distribution to the observations. In Figure 5, the Q-Q plots after post-processing are shown. The gray line is useful in this chart to compare the observations for the blue, red and green lines.
Figure 5.
Q-Q plot for six post-processing algorithms: (a) GRNN, (b) NN, (c) ELM, (d) BRT, (e) RF, and (f) LB.
From Figure 5, it could be concluded that the post-processing algorithms improved the CFSV2 predictions. GRNN and BRT have the best Q-Q plot result between the six algorithms. The gray line is useful in this chart to compare the observations for the blue, red and green lines.
3.3. Sensitivity Analysis
In this section, the sensitivity of the learned post-processing algorithms was analyzed. In this analysis, CFSV2 precipitation predictions and observation data from Iran weather stations in 2018 were collected and used.
The sensitivity analysis examined both Q-Q and ROC plots based on analyzing observed and predicted data. The figures are the ROC and Q-Q plots for each regression method results. The Q-Q plot shows the similarity between predictions and observations. The more they are similar, the more the Q-Q plot would be linear.
3.3.1. ROC Plot
The ROC plot for CFSV2 precipitation predictions before post-processing is shown in Figure 6. The gray line is useful in this chart to compare the observations for the blue, red and green lines.
Figure 6.
ROC plot comprehensively for CFSV2 predictions.
From Figure 6, it could be concluded that CFSV2 had better predictions for the BN category.
Figure 7 shows that post-processing algorithms improved CFSV2 predictions in the BN category. RF and LB had better results compared to other algorithms.
Figure 7.
ROC plot for six post-processing algorithms: (a) GRNN, (b) NN, (c) ELM, (d) BRT, (e) RF, and (f) LB.
The sensitivity analysis of learned post-processing algorithms with ROC metric on CFSV2 data in 2018 had similar results to the main results in 1982–2017.
3.3.2. Q-Q Plot
The Q-Q plot before post-processing is shown in Figure 8.
Figure 8.
Q-Q plot for CFSV2 predictions compared to observations.
From Figure 8, it could be concluded that CFSV2 predictions had an approximately similar distribution to the observations. The Q-Q plots for post-processing algorithms are shown in Figure 9. The gray line is useful in this chart to compare the observations for the blue, red and green lines.

Figure 9.
Q-Q plot for six post-processing algorithms: (a) GRNN, (b) NN, (c) ELM, (d) BRT, (e) RF, and (f) LB.
From Figure 9 it could be concluded that the post-processing algorithms improved the CFSV2 predictions. RF and LB had the best Q-Q plot results between the six algorithms.
The sensitivity analysis of learned post-processing algorithms with Q-Q plot on CFSV2 data in 2018 did not have similar results to the main results in 1982–2017.
4. Implemented Software
A software was developed for Iran Meteorological Organization (IMO) to use this research for post-processing in practice (Figure 10). The software was designed and implemented using MATLAB 2017 and Mysql database 8. The functions were implemented in MATLAB 2017, and the data were stored in the Mysql database. This software could be used to perform the post-processing tasks in IMO.
Figure 10.
The view of software GUI, configuration tab.
The main part of this software is automatic post-processing (Figure 11). Automatic post-processing means that by pressing the start button, the software starts to download CFSV2 model predictions from the site and saves them in the specified path, and then the post-processing function is called, and it is performed for the specified regions. The result of post-processing is saved in the specified path as Excel files and maps.
Figure 11.
The view of software GUI, automatic post-processing tab.
Whenever this process stops, it is the result of software or hardware reasons. The process could be continued after restarting the software.
The last part of the software is maps (Figure 12). In this tab, the post-processing outputs could be viewed as maps. There are four types of maps. However, because of the integration of machine learning and optimization methods, the volume of computations was so huge that run time was extended in the following. In addition, in the present investigation, the speed of computations is so high, and it can be utilized as a real-time soft-sensor.
Figure 12.
The view of software GUI, maps tab.
There are many approaches due to the simulation of climate change in limited and unlimited regions. Furthermore, each method has specific advantages and disadvantages which can be used in the specific application. In the present study, climate conditions are simulated based on open programming in the MATLAB environment; therefore, the created system, after calibration, validation, and verification, has more flexibility due to adjusting the model in case studies []. Climate FieldviewTM is commercial software that can be used to model, predict, and control climate adaptation in the farming process. Indeed, the developed software in the present research can be utilized in different applications, and it is not limited to agriculture []. Interactive Data Visualization Software Solution (IDL) is a commercial platform for data evaluation of climate adaptation []. The declared system can be used to calibrate the designed system in the present investigation.
In total, each climate software and the system should include data documentation, data computations, and graphical outputs. However, most of the existing software and platforms are validated by different experimental practices []. Bienvenue Sur le netCDF Operator (NCO) [], Climate Data Operators (CDO) [], netCDF visual (NCView) [], and Panoply (which is related to National Aeronautics and Space Administration) [] are assumed as command line operators and viewers for a climate data mining process which is validated by high credit organizations such as the National Center for Atmospheric Research (NCAR) and National Aeronautics and Space Administration (NASA). Due to the validation of the created system in the present research, a case study can be modelled in both the command line and the climate-forecasting system (this study) and tuned to the model based on the verified platforms.
The implementation of the present dashboard in developing countries has four stages which include:
- Data validation and removing false inputs which are obtained from climatology instruments by soft-filtration [].
- Model tuning based on random false data monthly [].
- Determination of thresholds for early warning management of famine and flood in case studies [].
- Execution of re-simulation system after decision-making by managers due to implementation of machine-human-machine decision chain [].
The same stages should be completed in developed countries, although data validation is available and just the databank should be connected to the system. Then, model tuning is essential in each condition, and instead of threshold framing and a re-simulation process, the existence knowledge management bank [] is linked to the early warning management section.
5. A Discussion on Sustainability Issues
Through this section, meeting the sustainable development goals (SDGs) is appraised. Then, the proposed decision support system (DSS) is implemented, and a comprehensive discussion is argued.
5.1. Sustainability
According to Figure 13, through the implementation of the present study’s outcomes, precipitation can be predicted with high efficiency, and then in the following, drought and flood disasters can be controlled. Human risks and environmental and infrastructure damages are reduced by the outputs. Finally, after the execution of the early reaction systems, social satisfaction increases, and the public trusts the local government. Therefore, as well as technical aspects, this investigation’s results help with social and economic aspects. Finally, two aspects of the SDGs, Sustainable Cities and Communities [,,,,,,,] and Good Health and Well Being [,,,], are met.
Figure 13.
The schematic plan of SDGs meeting through the present research.
In the Good Health and Well-Being goal, some subsections include (i) early warning, risk reduction, and management of national and global health risks and (ii) achieve universal health coverage, including financial risk protection. In the present research, by implementing the present software, the level of precipitation can be detected; therefore, flood and famine events will be forecasted. Therefore, the future human risks are controlled, and the goals are met [,,].
In the Sustainable Cities and Communities section of the SDGs, there are two different targets for safe cities against disasters (Target 11.5) and environmental impacts’ control in cities (Target 11.6). In addition, with the application of the present DSS, both environmental impacts and disaster control will be met during drought and flood [,,].
5.2. DSS Concept
One of the main goals of this study is the implementation of the DSS for monitoring, predicting, and controlling the side-effects of increased and decreased precipitation events such as drought and flood. The conceptual model of the DSS is illustrated in Figure 14. The monitoring section is organized by online/offline achieved data through the mentioned DSS. Then, the efficiency of GRNN, NN, ELM, BRT, RF, and LB are assessed by rainfall data, and the best algorithm is selected for future estimation. Finally, by predicted precipitation amounts, alarm management is completed based on a comparison with thresholds. Meanwhile, the thresholds are determined in specific values, which are variances in different regions.
Figure 14.
The decision support system in the present study.
According to the World Bank database, Iran is divided into six main watersheds (Figure 15), and the combination of temperature and precipitation diagrams of the mentioned zones from 1991 to 2020 are presented according to Figure 16a–f. The figures express that Iran has had lots of fluctuations throughout the whole period. Therefore, the prediction of rainfall in Iran is complex, and this post-processing system operates multifaceted problems through climatology issues.
Figure 15.
The map of Iran’s watersheds according to online World Bank Data Center.

Figure 16.
The diagrams of temperature/precipitation of Iran’s watersheds 1991–2020 (a–f).
A DSS includes monitoring, prediction, and control sections, and in the present research, the monitoring stage is met by connecting climatology data provided by field and sensor data gathering to smart computations as an input. Next, with the application of machine learning computations, values of precipitation are estimated with a high level of precision, and finally with checking thresholds, the control algorithms and early warning systems are executed. Less than the first quarter of hydro-statistical precipitation data distribution will be alarmed in drought possibility, and more than the fourth quarter values are related to flood. On the other hand, when the predicted amount of precipitation is more than the fourth quarter of data frequency (the biggest section of precipitation amounts), flood is possible. Furthermore, in the first lowest section of precipitation frequency based on estimated amounts, drought may have occurred.
5.3. Importance of Viewpoints
For the determination of the study position in scientific communications, the library evaluation is operated by applying the VOSviewer software and Scopus database. Whereas, for the declared goals, the precipitations and machine learning keywords are documented with simple searching, and then the outputs are filtered by authors (Figure 17a), country (Figure 17b), and keywords’ occurrences (Figure 17c). Based on Figure 17a, Y. Liu, X. Zhang, and Y. Zhang contributed more than most studies about the usage of machine learning in the precipitation estimation research area. In addition, as per Figure 17b, the United States and China published the most documents in the declared field. Rainfall estimation is a hot issue in Iran, illustrated in Figure 17b. Finally, according to Figure 17c, the integration of machine learning and precipitation issues are combined with climate changes as a novel subject suggested by this investigation.

Figure 17.
The bibliography of machine learning applications in the precipitation prediction (a) author, (b) country, and (c) keywords’ occurrences.
Based on Figure 18, which is provided by the World Bank Data Center, the distribution of rainfall in the world map demonstrated that Iran is located in an arid area through time. Thus, the exact prediction of precipitation is necessary in the case study, and, based on flood/drought phenomenon occurrences in Iran, establishing a highly efficient forecasting system is assumed as a crucial implementation. Considering the outcomes of this study, it is clear that the declared gap can be filled. According to previous notices, the gap is related to the implementation of the CFSV2 model for the prediction of precipitation and the implementation of flood/drought early warning management.
Figure 18.
The view of precipitation distribution in the world (a) 1962 and (b) 2017 (Food and Agriculture Organization, ID: AG.LND.PRCP.MM).
Although this study provided a strong prediction model compared to the majority of the previous literature, there are many limitations that can help us for future work. First, the proposed model may be extended by other hydrological numerical models [,,,,,]. Finally, our prediction models can be combined with recent advances in swarm intelligence and computational methods [,,,,] to improve the accuracy and robustness of our model.
The main limitations of the present research are:
- A lack of exact flood and drought data linking to climate data bank and extending the model.
- A lack of enough permission due to the comprehensive implementation of the present system on a full scale.
- A lack of metaheuristic utilization to reduce prediction errors [,,].
6. Conclusions
Weather predictions are an important issue in everyday life. Hydrological numerical predictions have errors and are sometimes unreliable. Post-processing methods could be used to manage this issue. Increasing the scale of predictions is another goal for post-processing. In this study, regression methods are used to improve CFSV2 precipitations in Iran. CFSV2 predictions and weather station observations from 1982–2017 build up the data. A generalized regression neural network, extreme learning machine, binary regression tree, random forest, and lasso boosting are the methods used for post-processing. The present study’s main novelty is related to creating a holistic view due to a sustainable climate-forecasting system for the post-processing of precipitation with consideration of all main dimensions of regression models as a dynamic tool. The results show improvements in predictions with different metrics. Random forest shows better results in RMSE and a correlation and ROC plot. The generalized regression neural network and binary regression tree show better results in the Q-Q plot. Finally, the sensitivity of learned models is analyzed. The analysis is completed for CFSV2 predictions and weather station observations in 2018. The results are approximately similar to 1982–2017, with some minor differences. Finally, it is clear that with the execution of the present sustainable system in different regions, rainfall values can be predicted with high accuracy, and managerial insights can prevent both flood and drought. Likewise, as well as meeting the SDGs, the resiliency of cities is enhanced against water disasters.
For future studies, this research suggests applying metaheuristic algorithms to optimize machine learning errors through the precipitation process. In addition, after forecasting precipitation, multi-criteria decision making (MCDM) techniques can be coupled with machine learning computations for online decision making through flood or drought controlling systems. In the other suggestion, the social-based systems’ application for the validation of prediction platforms can be useful for the designed software in the MATLAB environment. For example, in the online series of the DSS, citizens can send feedback to examine system outputs.
Author Contributions
Conceptualization, A.G. and I.B.; methodology, A.G. and I.B.; software, A.G. and I.B.; validation, A.M.F.-F.; formal analysis, A.G. and I.B.; investigation, A.M.F.-F.; writing—original draft preparation, M.G.; writing—review and editing, A.M.F.-F. and M.H.-K.; visualization, A.M.F.-F.; supervision, A.M.F.-F. and M.H.-K.; project administration, M.G. All authors have read and agreed to the published version of the manuscript.
Funding
The first author would like to acknowledge the financial support from Imam Reza International University.
Informed Consent Statement
This paper does not relate to the human health and epidemic issues like COVID-19.
Data Availability Statement
All relevant data of CFSV2 predictions are collected from the official website, and the observation data are gathered from weather stations in Iran.
Conflicts of Interest
The authors declare no conflict of interest.
References
- Rincon, A.; Jorba, O.; Baldasano, J.M. Development of a short-term irradiance prediction system using post-processing tools on WRF-ARW meteorological forecasts in Spain. In European Conference on Applied Meteorology; European Meteorological Society: Zurich, Switzerland, 2017; Volume 7. [Google Scholar]
- Abbass, K.; Qasim, M.Z.; Song, H.; Murshed, M.; Mahmood, H.; Younis, I. A review of the global climate change impacts, adaptation, and sustainable mitigation measures. Environ. Sci. Pollut. Res. 2022, 29, 42539–42559. [Google Scholar] [CrossRef] [PubMed]
- Abdollahi, M.; Farjad, B.; Gupta, A.; Hassan, Q.K. CMIP6-D&A: An R-based software with GUI for processing climate data available in network common data format. SoftwareX 2022, 18, 101044. [Google Scholar]
- Akbarian, H.; Gheibi, M.; Hajiaghaei-Keshteli, M.; Rahmani, M. A hybrid novel framework for flood disaster risk control in developing countries based on smart prediction systems and prioritized scenarios. J. Environ. Manag. 2022, 312, 114939. [Google Scholar] [CrossRef] [PubMed]
- Akhila, P.; Anjana, R.L.S.; Kavitha, M. Climate Forecasting: Long short Term Memory Model using Global Temperature Data. In Proceedings of the 2022 6th International Conference on Computing Methodologies and Communication (ICCMC), Erode, India, 29–31 March 2022; pp. 469–473. [Google Scholar]
- Alpaydın, E. Introduction to Machine Learning, 2nd ed.; The MIT Press: Cambridge, MA, USA, 2010. [Google Scholar]
- Amini, M.H.; Arab, M.; Faramarz, M.G.; Ghazikhani, A.; Gheibi, M. Presenting a soft sensor for monitoring and controlling well health and pump performance using machine learning, statistical analysis, and Petri net modeling. Environ. Sci. Pollut. Res. Int. 2021, 34, 1345–1357. [Google Scholar] [CrossRef] [PubMed]
- Amiri, S.A.H.S.; Zahedi, A.; Kazemi, M.; Soroor, J.; Hajiaghaei-Keshteli, M. Determination of the optimal sales level of perishable goods in a two-echelon supply chain network. Comput. Ind. Eng. 2020, 139, 106156. [Google Scholar] [CrossRef]
- An-Vo, D.A.; Radanielson, A.M.; Mushtaq, S.; Reardon-Smith, K.; Hewitt, C. A framework for assessing the value of seasonal climate forecasting in key agricultural decisions. Clim. Serv. 2021, 22, 100234. [Google Scholar] [CrossRef]
- Barry, D.; Hoyne, S. Sustainable measurement indicators to assess impacts of climate change: Implications for the New Green Deal Era. Curr. Opin. Environ. Sci. Health 2021, 22, 100259. [Google Scholar] [CrossRef]
- Bentzien, S.; Friederichs, P. Ensemble postprocessing for probabilistic quantitative precipitation forecasts. In AGU Fall Meeting Abstracts, Proceedings of the 45th Annual Fall Meeting, San Francisco, CA, USA, 3–7 December 2012; AGU: Washington, DC, USA, 2012; Volume 2012. [Google Scholar]
- Bodri, L.; Čermák, V. Prediction of extreme precipitation using a neural network: Application to summer flood occurrence in Moravia. Adv. Eng. Softw. 2000, 31, 311–321. [Google Scholar] [CrossRef]
- Torgo, L.; Ribeiro, R.P.; Pfahringer, B.; Branco, P. Smote for regression. In Portuguese Conference on Artificial Intelligence; Springer: Berlin/Heidelberg, Germany, 2013; pp. 378–389. [Google Scholar]
- Breiman, L. Random Forests. Mach. Learn. 2001, 45, 27. [Google Scholar]
- Carter, J.; Leeson, A.; Orr, A.; Kittel, C.; van Wessem, J.M. Variability in Antarctic Surface Climatology Across Regional Climate Models and Reanalysis Datasets. EGUsphere 2022. preprint. [Google Scholar]
- Chawla, N.V.; Bowyer, K.W.; Hall, L.O.; Kegelmeyer, W.P. SMOTE: Synthetic minority over-sampling technique. J. Artif. Intell. Res. 2002, 16, 321–357. [Google Scholar] [CrossRef]
- Chen, J.; Brissette, F.P.; Li, Z. Postprocessing of Ensemble Weather Forecasts Using a Stochastic Weather Generator. Mon. Weather Rev. 2014, 142, 1106–1124. [Google Scholar] [CrossRef]
- Cheraghalipour, A.; Paydar, M.M.; Hajiaghaei-Keshteli, M. Applying a hybrid BWM-VIKOR approach to supplier selection: A case study in the Iranian agricultural implements industry. Int. J. Appl. Decis. Sci. 2018, 11, 274–301. [Google Scholar] [CrossRef]
- Cohen, B.; Cowie, A.; Babiker, M.; Leip, A.; Smith, P. Co-benefits and trade-offs of climate change mitigation actions and the Sustainable Development Goals. Sustain. Prod. Consum. 2021, 26, 805–813. [Google Scholar] [CrossRef]
- Robertson, D.E.; Shrestha, D.L.; Wang, Q.J. Post-processing rainfall forecasts from numerical weather prediction models for short-term streamflow forecasting. Hydrol. Earth Syst. Sci. 2013, 17, 17. [Google Scholar] [CrossRef]
- Dabernig, M.; Mayr, G.J.; Messner, J.W.; Zeileis, A. Spatial ensemble post-processing with standardized anomalies. Q. J. R. Meteorol. Soc. 2017, 143, 909–916. [Google Scholar] [CrossRef]
- Delle Monache, L.; Nipen, T.; Liu, Y.; Roux, G.; Stull, R. Kalman Filter and Analog Schemes to Postprocess Numerical Weather Predictions. Mon. Weather Rev. 2011, 139, 3554–3570. [Google Scholar] [CrossRef]
- Ekberzade, B.; Yetemen, O.; Sen, O.L. Looking into a fuzzy future: Coupled effect of pyrogeography and a changing climate on an already fragile terrestrial ecosystem (No. EGU22-239). In Proceedings of the Copernicus Meetings, Vienna, Austria, 23–27 May 2022. [Google Scholar]
- Erickson, M.J.; Colle, B.A.; Charney, J.J. Evaluation and Postprocessing of Ensemble Fire Weather Predictions over the Northeast United States. J. Appl. Meteorol. Climatol. 2018, 57, 1135–1153. [Google Scholar] [CrossRef]
- Fathollahi-Fard, A.M.; Hajiaghaei-Keshteli, M.; Tavakkoli-Moghaddam, R. The Social Engineering Optimizer (SEO). Eng. Appl. Artif. Intell. 2018, 72, 267–293. [Google Scholar] [CrossRef]
- Fathollahi-Fard, A.M.; Hajiaghaei-Keshteli, M.; Tavakkoli-Moghaddam, R. Red deer algorithm (RDA): A new nature-inspired meta-heuristic. Soft Comput. 2020, 24, 14637–14665. [Google Scholar] [CrossRef]
- Fathollahi-Fard, A.M.; Hajiaghaei-Keshteli, M.; Tian, G.; Li, Z. An adaptive Lagrangian relaxation-based algorithm for a coordinated water supply and wastewater collection network design problem. Inf. Sci. 2020, 512, 1335–1359. [Google Scholar] [CrossRef]
- Fathollahi-Fard, A.M.; Ahmadi, A.; Al-e-Hashem, S.M. Sustainable closed-loop supply chain network for an integrated water supply and wastewater collection system under uncertainty. J. Environ. Manag. 2020, 275, 111277. [Google Scholar] [CrossRef] [PubMed]
- Fathollahi-Fard, A.M.; Ahmadi, A.; Karimi, B. Multi-Objective Optimization of Home Healthcare with Working-Time Balancing and Care Continuity. Sustainability 2021, 13, 12431. [Google Scholar] [CrossRef]
- Fieldview, T. Climate Fieldview®; The Climate Corporation: San Francisco, CA, USA, 2019. [Google Scholar]
- Gama, F.F.; Wiederkehr, N.C.; da Conceição Bispo, P. Removal of Ionospheric Effects from Sigma Naught Images of the ALOS/PALSAR-2 Satellite. Remote Sens. 2022, 14, 962. [Google Scholar] [CrossRef]
- Gandini, A.; Quesada, L.; Prieto, I.; Garmendia, L. Climate change risk assessment: A holistic multi-stakeholder methodology for the sustainable development of cities. Sustain. Cities Soc. 2021, 65, 102641. [Google Scholar] [CrossRef]
- Ghadami, N.; Gheibi, M.; Kian, Z.; Faramarz, M.G.; Naghedi, R.; Eftekhari, M.; Fathollahi-Fard, A.M.; Dulebenets, M.A.; Tian, G. Implementation of solar energy in smart cities using an integration of artificial neural network, photovoltaic system and classical Delphi methods. Sustain. Cities Soc. 2021, 74, 103149. [Google Scholar] [CrossRef]
- Golmohamadi, S.; Tavakkoli-Moghaddam, R.; Hajiaghaei-Keshteli, M. Solving a fuzzy fixed charge solid transportation problem using batch transferring by new approaches in meta-heuristic. Electron. Notes Discret. Math. 2017, 58, 143–150. [Google Scholar] [CrossRef]
- Hajiaghaei-Keshteli, M.; Sajadifar, S.M. Deriving the cost function for a class of three-echelon inventory system with N-retailers and one-for-one ordering policy. Int. J. Adv. Manuf. Technol. 2010, 50, 343–351. [Google Scholar] [CrossRef]
- Hajiaghaei-Keshteli, M.; Sajadifar, S.M.; Haji, R. Determination of the economical policy of a three-echelon inventory system with (R, Q) ordering policy and information sharing. Int. J. Adv. Manuf. Technol. 2011, 55, 831–841. [Google Scholar] [CrossRef]
- He, H.; Garcia, E.A. Learning from Imbalanced Data. IEEE Trans. Knowl. Data Eng. 2009, 21, 1263–1284. [Google Scholar]
- Hidalgo, M.; Bartolino, V.; Coll, M.; Hunsicker, M.E.; Travers-Trolet, M.; Browman, H.I. ‘Adaptation science’ is needed to inform the sustainable management of the world’s oceans in the face of climate change. ICES J. Mar. Sci. 2022, 79, 457–462. [Google Scholar] [CrossRef]
- Huang, G.-B.; Zhu, Q.-Y.; Siew, C.-K. Extreme learning machine: Theory and applications. Neurocomputing 2006, 70, 489–501. [Google Scholar] [CrossRef]
- Bogner, K.; Liechti, K.; Zappa, M. Post-Processing of Stream Flows in Switzerland with an Emphasis on Low Flows and Floods. Water 2016, 8, 115. [Google Scholar] [CrossRef]
- Kang, H.; Sridhar, V. A near—term drought assessment using hydrological and climate forecasting in the Mekong River Basin. Int. J. Climatol. 2021, 41, E2497–E2516. [Google Scholar] [CrossRef]
- Kozlov, D.; Ghebrehiwot, A. Physically-Based Streamflow Predictions in Ungauged Basin with Semi-Arid Climate. In Proceedings of FORM 2021; Springer: Cham, Switzerland, 2022; pp. 549–565. [Google Scholar]
- Kuncheva, L.I. Combining Pattern Classifiers Methods and Algorithms; John Wiley & Sons: Hoboken, NJ, USA, 2004. [Google Scholar]
- Breiman, L.; Friedman, J.; Olshen, R.; Stone, C. Classification and Regression Trees; CRC Press: Boca Raton, FL, USA, 1984. [Google Scholar]
- Lawrence, T.; Hosein, P. Stochastic dynamic programming heuristics for influence maximization–revenue optimization. Int. J. Data Sci. Anal. 2019, 8, 1–14. [Google Scholar] [CrossRef]
- Li, X.-Y.; Chau, K.W.; Cheng, C.-T.; Li, Y.S. A Web-based flood forecasting system for Shuangpai region. Adv. Eng. Softw. 2006, 37, 146–158. [Google Scholar] [CrossRef][Green Version]
- Liao, Y.; Kaviyani-Charati, M.; Hajiaghaei-Keshteli, M.; Diabat, A. Designing a closed-loop supply chain network for citrus fruits crates considering environmental and economic issues. J. Manuf. Syst. 2020, 55, 199–220. [Google Scholar] [CrossRef]
- Lin, H.; Brunet, G.; Derome, J. Seasonal Forecasts of Canadian Winter Precipitation by Postprocessing GCM Integrations. Mon. Weather Rev. 2008, 136, 769–783. [Google Scholar] [CrossRef]
- Lin, W.-C.; Tsai, C.-F. Missing value imputation: A review and analysis of the literature (2006–2017). Artif. Intell. Rev. 2020, 53, 1487–1509. [Google Scholar] [CrossRef]
- Madadgar, S.; Moradkhani, H.; Garen, D. Towards improved post-processing of hydrologic forecast ensembles. Hydrol. Process. 2014, 28, 104–122. [Google Scholar] [CrossRef]
- Marszalek, M.; Körner, M.; Schmidhalter, U. Prediction of multi-year winter wheat yields at the field level with satellite and climatological data. Comput. Electron. Agric. 2022, 194, 106777. [Google Scholar] [CrossRef]
- El Ayari, M.; Hemri, S.; Baran, S. Statistical post-processing of hydrological forecasts using Bayesian model averaging. Geophys. Res. Abstr. 2019, 21, 1342–1353. [Google Scholar]
- Mohammadi, M.; Gheibi, M.; Fathollahi-Fard, A.M.; Eftekhari, M.; Kian, Z.; Tian, G. A hybrid computational intelligence approach for bioremediation of amoxicillin based on fungus activities from soil resources and aflatoxin B1 controls. J. Environ. Manag. 2021, 299, 113594. [Google Scholar] [CrossRef]
- Mol, W.; Heusinkveld, B.; Knap, W.; van Heerwaarden, C. Climatology and Spatial Patterns of Cloud Shadows and Irradiance Peaks (No. EGU22-2164). In Proceedings of the Copernicus Meetings, Vienna, Austria, 23–27 May 2022. [Google Scholar]
- Mordvin, E.Y.; Lagutin, A.A.; Volkov, N.V. Total methane content in the atmosphere of Western Siberia in 2000–2020 according to the data of chemical transport model MOZART-4. InCEUR Workshop Proc. 2021, 3006, 314–322. [Google Scholar]
- Ohba, M.; Kanno, Y.; Nohara, D. Climatology of dark doldrums in Japan. Renew. Sustain. Energy Rev. 2022, 155, 111927. [Google Scholar] [CrossRef]
- Rasp, S.; Lerch, S. Neural Networks for Postprocessing Ensemble Weather Forecasts. Mon. Weather Rev. 2018, 146, 3885–3900. [Google Scholar] [CrossRef]
- Roulin, E.; Vannitsem, S. Postprocessing of Ensemble Precipitation Predictions with Extended Logistic Regression Based on Hindcasts. Mon. Weather Rev. 2012, 140, 874–888. [Google Scholar] [CrossRef]
- Rudenko, R.; Pires, I.M.; Liberato, M.; Barroso, J.; Reis, A. A Brief Review on 4D Weather Visualization. Sustainability 2022, 14, 5248. [Google Scholar] [CrossRef]
- Vashani, S.; Azadi, M.; Hajjam, S. Comparative Evaluation of Different Post Processing Methods for Numerical Weather Prediction of Temperature Forecasts over Iran. Res. J. Environ. Sci. 2010, 4, 305–316. [Google Scholar]
- Sadeghi-Moghaddam, S.; Hajiaghaei-Keshteli, M.; Mahmoodjanloo, M. New approaches in metaheuristics to solve the fixed charge transportation problem in a fuzzy environment. Neural Comput. Appl. 2019, 31, 477–497. [Google Scholar] [CrossRef]
- Saha, S.; Moorthi, S.; Wu, X.; Wang, J.; Nadiga, S.; Tripp, P.; Behringer, D.; Hou, Y.-T.; Chuang, H.-Y.; Iredell, M.; et al. The NCEP Climate Forecast System Version 2. J. Clim. 2014, 27, 2185–2208. [Google Scholar] [CrossRef]
- Salvador García Julián Luengo Herrera, F. Data Preprocessing in Data Mining; Springer: Berlin/Heidelberg, Germany, 2015. [Google Scholar]
- Scheuerer, M.; Büermann, L. Spatially adaptive post-processing of ensemble forecasts for temperature. J. R. Stat. Soc. Ser. C Appl. Stat. 2014, 63, 405–422. [Google Scholar] [CrossRef]
- Scheuerer, M.; Hamill, T.M. Statistical Postprocessing of Ensemble Precipitation Forecasts by Fitting Censored, Shifted Gamma Distributions. Mon. Weather Rev. 2015, 143, 4578–4596. [Google Scholar] [CrossRef]
- Shahsavar, M.M.; Akrami, M.; Gheibi, M.; Kavianpour, B.; Fathollahi-Fard, A.M.; Behzadian, K. Constructing a smart framework for supplying the biogas energy in green buildings using an integration of response surface methodology, artificial intelligence and petri net modelling. Energy Convers. Manag. 2021, 248, 114794. [Google Scholar] [CrossRef]
- Sheela, M.S.; Banu, S.S.; Rajendran, T.; Raj, S.S.; Sreeja, B.P. Weather and Climate Forecasting System for Cultivation using Naive’s Algorithm. In Proceedings of the 2022 2nd International Conference on Computing and Information Technology (ICCIT), Tabuk, Saudi Arabia, 25–27 January 2022; pp. 428–431. [Google Scholar]
- Shrestha, D.L.; Robertson, D.E.; Bennett, J.C.; Wang, Q.J. Improving Precipitation Forecasts by Generating Ensembles through Postprocessing. Mon. Weather Rev. 2015, 143, 3642–3663. [Google Scholar] [CrossRef]
- Sparrow, S.; Bowery, A.; Carver, G.D.; Köhler, M.O.; Ollinaho, P.; Pappenberger, F.; Wallom, D.; Weisheimer, A. OpenIFS@ home version 1: A citizen science project for ensemble weather and climate forecasting. Geosci. Model Dev. 2021, 14, 3473–3486. [Google Scholar] [CrossRef]
- Specht, D.F. A general regression neural network. IEEE Trans. Neural Netw. 1991, 2, 568–576. [Google Scholar] [CrossRef]
- Stauffer, R.; Umlauf, N.; Messner, J.W.; Mayr, G.J.; Zeileis, A. Ensemble Postprocessing of Daily Precipitation Sums over Complex Terrain Using Censored High-Resolution Standardized Anomalies. Mon. Weather Rev. 2017, 145, 955–969. [Google Scholar] [CrossRef]
- Stojanovic, B.; Milivojevic, M.; Ivanovic, M.; Milivojevic, N.; Divac, D. Adaptive system for dam behavior modeling based on linear regression and genetic algorithms. Adv. Eng. Softw. 2013, 65, 182–190. [Google Scholar] [CrossRef]
- Sweeney, C.P.; Lynch, P.; Nolan, P. Reducing errors of wind speed forecasts by an optimal combination of post-processing methods. Meteorol. Appl. 2013, 20, 32–40. [Google Scholar] [CrossRef]
- Taillardat, M.; Fougères, A.-L.; Naveau, P.; Mestre, O. Forest-Based and Semiparametric Methods for the Postprocessing of Rainfall Ensemble Forecasting. Weather Forecast. 2019, 34, 617–634. [Google Scholar] [CrossRef]
- Teske, S.; Guerrero, J. One Earth Climate Model—Integrated Energy Assessment Model to Develop Industry-Specific 1.5 °C Pathways with High Technical Resolution for the Finance Sector. Energies 2022, 15, 3289. [Google Scholar] [CrossRef]
- Asghari, M.; Fathollahi-Fard, A.M.; Mirzapour Al-e-hashem, S.M.J.; Dulebenets, M.A. Transformation and Linearization Techniques in Optimization: A State-of-the-Art Survey. Mathematics 2022, 10, 283. [Google Scholar] [CrossRef]
- van Buuren, S.; Groothuis-Oudshoorn, K. Mice: Multivariate Imputation by Chained Equations in R. J. Stat. Softw. 2011, 45, 67. [Google Scholar] [CrossRef]
- Verkade, J.S.; Brown, J.D.; Reggiani, P.; Weerts, A.H. Post-processing ECMWF precipitation and temperature ensemble reforecasts for operational hydrologic forecasting at various spatial scales. J. Hydrol. 2013, 501, 73–91. [Google Scholar] [CrossRef]
- Vogel, P.; Gneiting, T.; Knippertz, P.; Fink, A.H.; Schlüter, A. Statistical ensemble postprocessing for precipitation forecasting during the West African Monsoon. In EGU General Assembly Conference Abstracts; EGU: Munich, Germany, 2017; p. 14208. [Google Scholar]
- Vogel, P.; Knippertz, P.; Fink, A.H.; Schlueter, A.; Gneiting, T. Skill of Global Raw and Postprocessed Ensemble Predictions of Rainfall over Northern Tropical Africa. Weather Forecast. 2018, 33, 369–388. [Google Scholar] [CrossRef]
- McCulloch, W.; Pitts, W. A Logical Calculus of Ideas Immanent in Nervous Activity. Bull. Math. Biophys. 1943, 5, 18. [Google Scholar] [CrossRef]
- Whan, K.; Schmeits, M. Probabilistic forecasts of extreme local precipitation using Harmonie predictors and comparing 3 different post-processing methods. In EGU General Assembly Conference Abstracts; EGU: Munich, Germany, 2017; p. 5596. [Google Scholar]
- Williams, R.M.; Ferro, C.A.T.; Kwasniok, F. A comparison of ensemble post-processing methods for extreme events. Q. J. R. Meteorol. Soc. 2014, 140, 1112–1120. [Google Scholar] [CrossRef]
- Wu, L.; Zhang, Y.; Adams, T.; Lee, H.; Liu, Y.; Schaake, J. Comparative Evaluation of Three Schaake Shuffle Schemes in Postprocessing GEFS Precipitation Ensemble Forecasts. J. Hydrometeorol. 2018, 19, 575–598. [Google Scholar] [CrossRef]
- Wutzler, T.; Lucas-Moffat, A.; Migliavacca, M.; Knauer, J.; Sickel, K.; Šigut, L.; Menzer, O.; Reichstein, M. Basic and extensible post-processing of eddy covariance flux data with REddyProc. Biogeosciences 2018, 15, 5015–5030. [Google Scholar] [CrossRef]
- Yang, X.; Sharma, S.; Siddique, R.; Greybush, S.J.; Mejia, A. Postprocessing of GEFS Precipitation Ensemble Reforecasts over the U.S. Mid-Atlantic Region. Mon. Weather Rev. 2017, 145, 1641–1658. [Google Scholar] [CrossRef]
- Zhao, P.; Yu, B. Boosted Lasso; California University Berkeley Department of Statistics: San Diego, CA, USA, 2004. [Google Scholar]
- Moosavi, J.; Fathollahi-Fard, A.M.; Dulebenets, M.A. Supply chain disruption during the COVID-19 pandemic: Recognizing potential disruption management strategies. Int. J. Disaster Risk Reduct. 2022, 18, 102983. [Google Scholar] [CrossRef]
- Soleimani, H.; Chhetri, P.; Fathollahi-Fard, A.M.; Mirzapour Al-e-Hashem, S.M.J.; Shahparvari, S. Sustainable closed-loop supply chain with energy efficiency: Lagrangian relaxation, reformulations and heuristics. Ann. Oper. Res. 2022, 623, 1–26. [Google Scholar] [CrossRef]
Publisher’s Note: MDPI stays neutral with regard to jurisdictional claims in published maps and institutional affiliations. |
© 2022 by the authors. Licensee MDPI, Basel, Switzerland. This article is an open access article distributed under the terms and conditions of the Creative Commons Attribution (CC BY) license (https://creativecommons.org/licenses/by/4.0/).