The Impact of Farmers’ Perception on Their Cultivated Land Quality Protection Behavior: A Case Study of Ningbo, China
Abstract
:1. Introduction
2. Theoretical Analysis and Research Hypothesis
2.1. Theoretical Analysis
2.1.1. Factors Influencing Farmers’ Perceived Value of Cultivated Land Quality Protection
2.1.2. Impact of Farmers’ Perception on Their Willingness to Protect Cultivated Land Quality
2.1.3. Impact of Farmers’ Perception on Their Cultivated Land Quality Protection Behavior
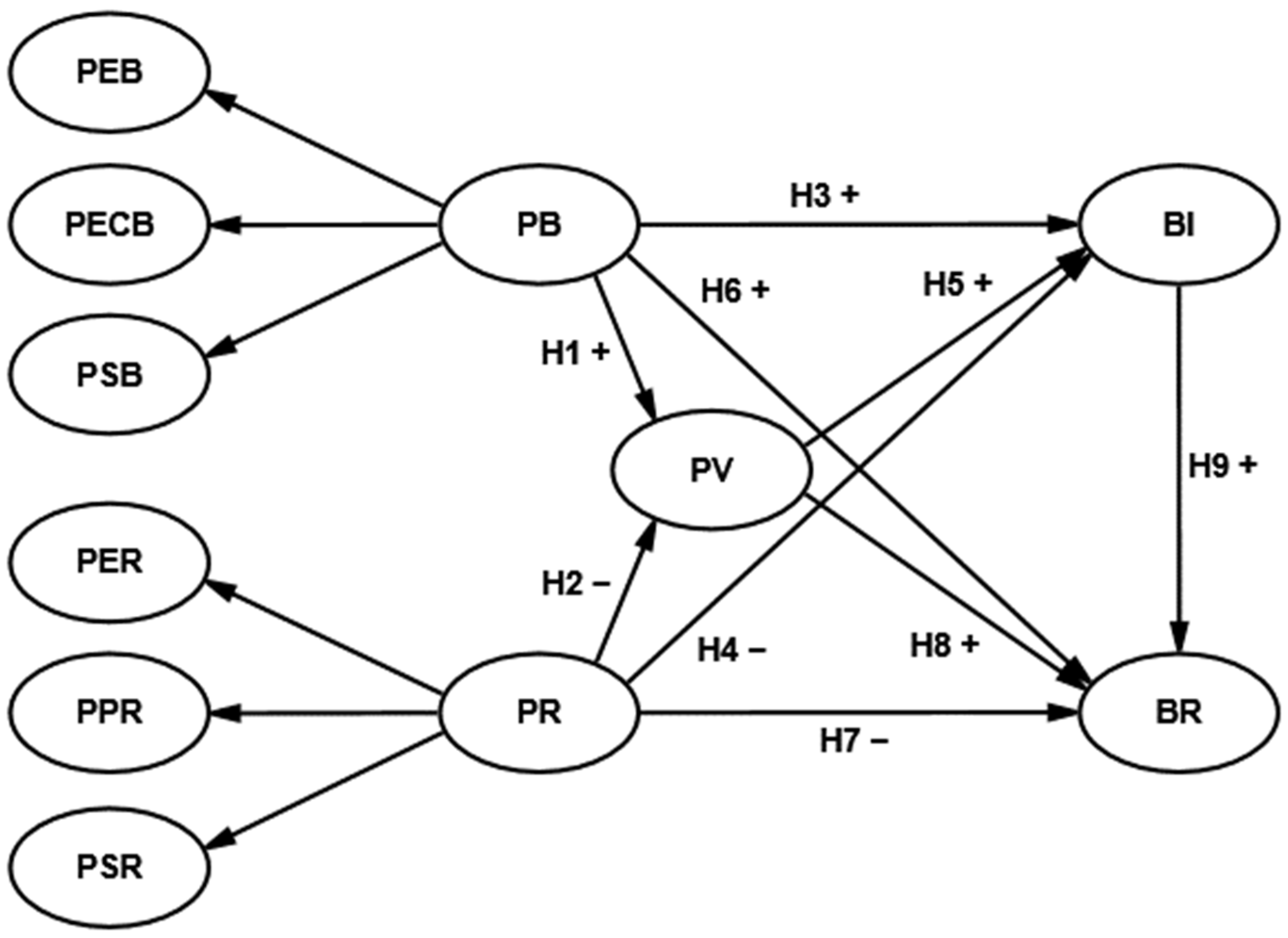
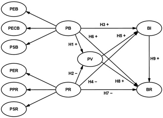
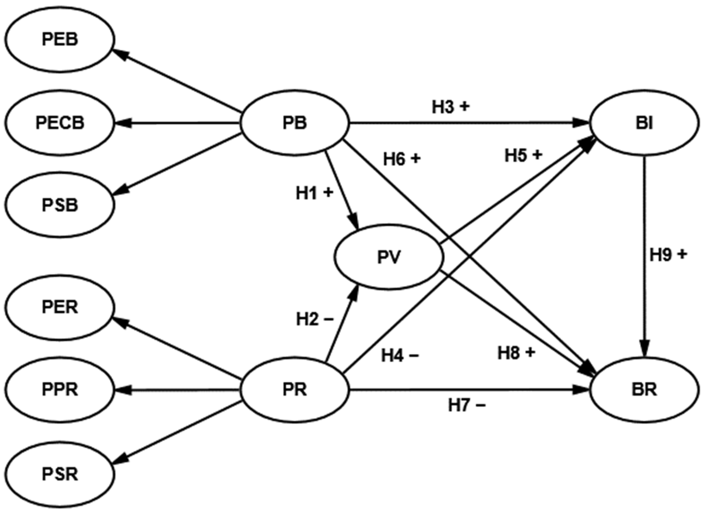
2.2. Model Design
2.3. Variable Selection and Scale Design
3. Variable Measurement and SEM Model Data Verification
3.1. Data Sources
3.2. Cultivated Land Quality Protection Perceived Value Scale and Its Statistical Description
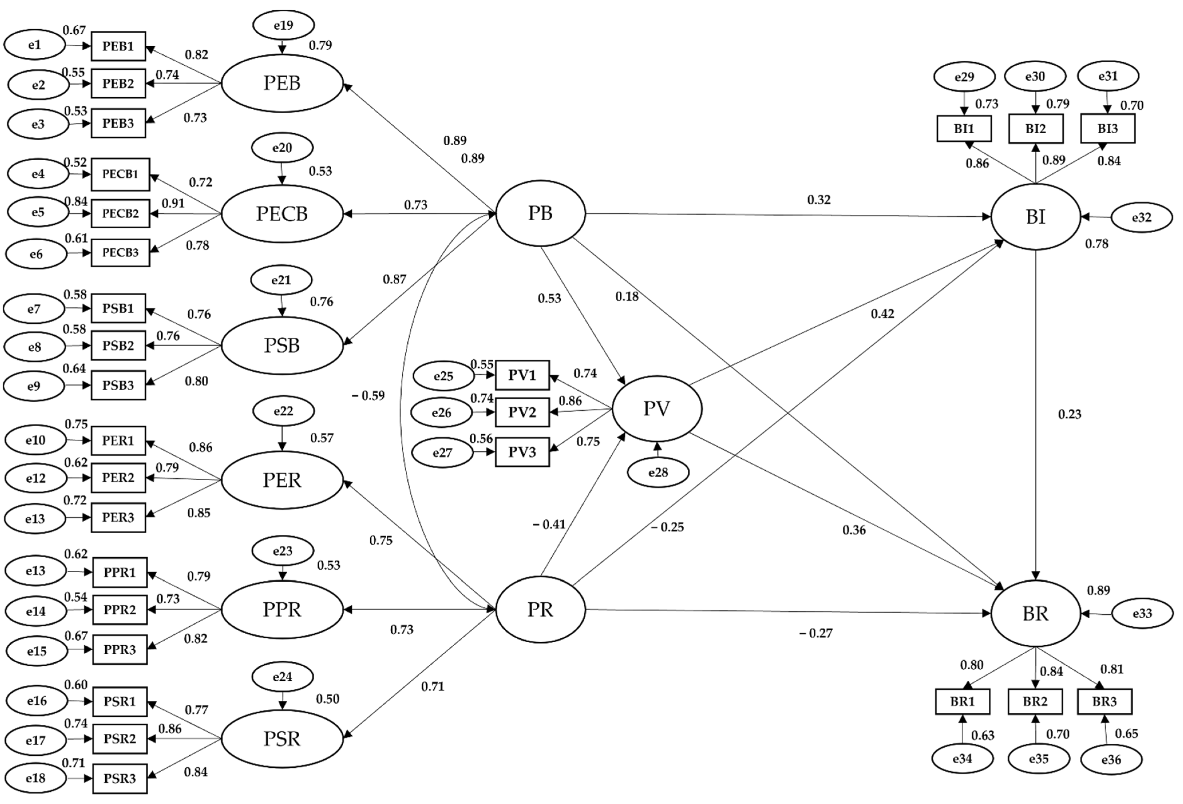
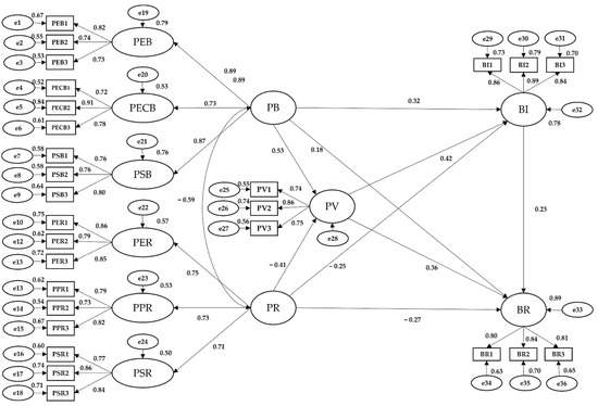
3.3. Scale Reliability and Validity Test
3.4. Model Fit Test
4. Results and Hypothesis Verification
4.1. Path Result Estimation for Structural Models
4.2. Mediation Effect Analysis
5. Discussion
6. Conclusions
Author Contributions
Funding
Informed Consent Statement
Data Availability Statement
Conflicts of Interest
References
- Viana, C.M.; Freire, D.; Abrantes, P.; Rocha, J.; Pereira, P. Agricultural land systems importance for supporting food security and sustainable development goals: A systematic review. Sci. Total Environ. 2022, 806, 150718. [Google Scholar] [CrossRef]
- Zhou, Y.; Li, X.; Liu, Y. Cultivated land protection and rational use in China. Land Use Policy 2021, 106, 105454. [Google Scholar] [CrossRef]
- Liu, Y.; Zhou, Y. Reflections on China’s food security and land use policy under rapid urbanization. Land Use Policy 2021, 109, 105699. [Google Scholar] [CrossRef]
- Chen, L.; Zhao, H.; Song, G.; Liu, Y. Optimization of cultivated land pattern for achieving cultivated land system security: A case study in Heilongjiang Province, China. Land Use Policy 2021, 108, 105589. [Google Scholar] [CrossRef]
- Huang, L.; Feng, Y.; Zhang, B.; Hu, W. Spatio-Temporal Characteristics and Obstacle Factors of Cultivated Land Resources Security. Sustainability 2021, 13, 8498. [Google Scholar] [CrossRef]
- Zhang, Z.; Meng, X.; Elahi, E. Protection of Cultivated Land Resources and Grain Supply Security in Main Grain-Producing Areas of China. Sustainability 2022, 14, 2808. [Google Scholar] [CrossRef]
- Zhao, Q.; Zhou, S.; Wu, S.; Ren, k. Cultivated Land Resources And Strategies for its Sustainable Utilization And Protection in China. Acta Pedol. Sin. 2006, 43, 662–672, (In Chinese with English abstract). [Google Scholar]
- Wu, Y.; Shan, L.; Guo, Z.; Peng, Y. Cultivated land protection policies in China facing 2030: Dynamic balance system versus basic farmland zoning. Habitat Int. 2017, 69, 126–138. [Google Scholar] [CrossRef]
- Liang, C.; Penghui, J.; Wei, C.; Manchun, L.; Liyan, W.; Yuan, G.; Yuzhe, P.; Nan, X.; Yuewei, D.; Qiuhao, H. Farmland protection policies and rapid urbanization in China: A case study for Changzhou City. Land Use Policy 2015, 48, 552–566. [Google Scholar] [CrossRef]
- Lichtenberg, E.; Ding, C. Assessing farmland protection policy in China. Land Use Policy 2008, 25, 59–68. [Google Scholar] [CrossRef]
- Jikun, H.; Lifen, Z.; Xiangzheng, D.; Scott, R. Cultivated land changes in China: The impacts of urbanization and industrialization. In Proceedings of the Proc. SPIE, San Diego, CA, USA, 1 September 2005. [Google Scholar]
- Ge, D.; Long, H.; Zhang, Y.; Ma, L.; Li, T. Farmland transition and its influences on grain production in China. Land Use Policy 2018, 70, 94–105. [Google Scholar] [CrossRef]
- Van Vliet, J.; Eitelberg, D.A.; Verburg, P.H. A global analysis of land take in cropland areas and production displacement from urbanization. Glob. Environ. Chang. 2017, 43, 107–115. [Google Scholar] [CrossRef]
- Reenberg, A. Agricultural land use pattern dynamics in the Sudan–Sahel—towards an event-driven framework. Land Use Policy 2001, 18, 309–319. [Google Scholar] [CrossRef]
- King, R.; Killingbeck, J. Agricultural and land use change in central Basilicata: From Carlo Levi to the Comunitá Montana. Land Use Policy 1990, 7, 7–26. [Google Scholar] [CrossRef]
- Zhang, H.; Zhang, Y.; Wu, S.; Cai, R. The Effect of Labor Migration on Farmers’ Cultivated Land Quality Protection. Sustainability 2020, 12, 2953. [Google Scholar] [CrossRef] [Green Version]
- Wu, S.; Ye, Y.; Lin, Y. Experience and Enlightenment of Multifunctional Land Consolidation in Germany, Japan and Taiwan in China. J. Huazhong Agric. Univ. (Soc. Sci. Ed.) 2019, 3, 140–148+165–166. [Google Scholar] [CrossRef]
- Goodenough, R. Room to grow? Farmland conservation in California. Land Use Policy 1992, 9, 21–35. [Google Scholar] [CrossRef]
- Zhong, T.; Huang, X.; Zhang, X.; Scott, S.; Wang, K. The effects of basic arable land protection planning in Fuyang County, Zhejiang Province, China. Appl. Geogr. 2012, 35, 422–438. [Google Scholar] [CrossRef]
- Ward, R.M. The US Farmland Protection Policy Act: Another case of benign neglect. Land Use Policy 1991, 8, 63–68. [Google Scholar] [CrossRef]
- Wang, B.; Li, F.; Feng, S.; Shen, T. Transfer of development rights, farmland preservation, and economic growth: A case study of Chongqing’s land quotas trading program. Land Use Policy 2020, 95, 104611. [Google Scholar] [CrossRef]
- Zhang, W.; Wang, W.; Li, X.; Ye, F. Economic development and farmland protection: An assessment of rewarded land conversion quotas trading in Zhejiang, China. Land Use Policy 2014, 38, 467–476. [Google Scholar] [CrossRef]
- Xie, H.; Huang, Y. Influencing factors of farmers’ adoption of pro-environmental agricultural technologies in China: Meta-analysis. Land Use Policy 2021, 109, 105622. [Google Scholar] [CrossRef]
- Chen, J.; Yu, Z.; Ouyang, J.; van Mensvoort, M.E.F. Factors affecting soil quality changes in the North China Plain: A case study of Quzhou County. Agric. Syst. 2006, 91, 171–188. [Google Scholar] [CrossRef]
- Bindraban, P.S.; Stoorvogel, J.J.; Jansen, D.M.; Vlaming, J.; Groot, J.J.R. Land quality indicators for sustainable land management: Proposed method for yield gap and soil nutrient balance. Agric. Ecosyst. Environ. 2000, 81, 103–112. [Google Scholar] [CrossRef]
- Li, M.; Wang, J.; Zhao, P.; Chen, K.; Wu, L. Factors affecting the willingness of agricultural green production from the perspective of farmers’ perceptions. Sci. Total Environ. 2020, 738, 140289. [Google Scholar] [CrossRef]
- Chen, S.; Huang, Z. Will collective ownership hinder the protection of cultivated land quality?—Study on farmers’ cultivated land quality protection behavior based on cognitive perspective. Qinghai Soc. Sci. 2013, 2, 7–14, (In Chinese with English abstract). [Google Scholar] [CrossRef]
- Liu, H.; Zhou, Y. Urbanization, Land Use Behavior and Land Quality in Rural China: An Analysis Based on Pressure-Response-Impact Framework and SEM Approach. Int. J. Environ. Res. Public Health 2018, 15, 2621. [Google Scholar] [CrossRef] [Green Version]
- Yu, Z.; Yao, L.; Wu, M. Farmers’ attitude towards the policy of remediation during fallow in soil fertility declining and heavy metal polluted area of China. Land Use Policy 2020, 97, 104741. [Google Scholar] [CrossRef]
- Akter, M.; Fan, L.; Rahman, M.M.; Geissen, V.; Ritsema, C.J. Vegetable farmers’ behaviour and knowledge related to pesticide use and related health problems: A case study from Bangladesh. J. Clean. Prod. 2018, 200, 122–133. [Google Scholar] [CrossRef]
- Hettig, E.; Lay, J.; Sipangule, K. Drivers of Households’ Land-Use Decisions: A Critical Review of Micro-Level Studies in Tropical Regions. Land 2016, 5, 32. [Google Scholar] [CrossRef] [Green Version]
- Sapbamrer, R.; Thammachai, A. A Systematic Review of Factors Influencing Farmers’ Adoption of Organic Farming. Sustainability 2021, 13, 3842. [Google Scholar] [CrossRef]
- Wang, Q.; Guo, X. Perceived Benefits, Social Network and Farmers’ Behavior of Cultivated Land Quality Protection: Based on 410 Grain Growers’ Surveys in Hua County, Henan Province. China Land Sci. 2020, 34, 43–51, (In Chinese with English abstract). [Google Scholar] [CrossRef]
- Faridi, A.A.; Kavoosi-Kalashami, M.; Bilali, H.E. Attitude components affecting adoption of soil and water conservation measures by paddy farmers in Rasht County, Northern Iran. Land Use Policy 2020, 99, 104885. [Google Scholar] [CrossRef]
- Xu, M.; Zhang, Z. Farmers’ knowledge, attitude, and practice of rural industrial land changes and their influencing factors: Evidences from the Beijing-Tianjin-Hebei region, China. J. Rural. Stud. 2021, 86, 440–451. [Google Scholar] [CrossRef]
- Morais, M.; Borges, J.A.R.; Binotto, E. Using the reasoned action approach to understand Brazilian successors’ intention to take over the farm. Land Use Policy 2018, 71, 445–452. [Google Scholar] [CrossRef]
- Engel, S.; Pagiola, S.; Wunder, S. Designing payments for environmental services in theory and practice: An overview of the issues. Ecol. Econ. 2008, 65, 663–674. [Google Scholar] [CrossRef]
- Gong, Y.; Baylis, K.; Kozak, R.; Bull, G. Farmers’ risk preferences and pesticide use decisions: Evidence from field experiments in China. Agric. Econ. 2016, 47, 411–421. [Google Scholar] [CrossRef]
- Saqib, S.E.; Ahmad, M.M.; Panezai, S. Landholding size and farmers’ access to credit and its utilisation in Pakistan. Dev. Pract. 2016, 26, 1060–1071. [Google Scholar] [CrossRef]
- Pan, D.; He, M.; Kong, F. Risk attitude, risk perception, and farmers’ pesticide application behavior in China: A moderation and mediation model. J. Clean. Prod. 2020, 276, 124241. [Google Scholar] [CrossRef]
- Duong, T.T.; Brewer, T.; Luck, J.; Zander, K. A Global Review of Farmers’ Perceptions of Agricultural Risks and Risk Management Strategies. Agriculture 2019, 9, 10. [Google Scholar] [CrossRef] [Green Version]
- Lu, X.; Zhang, Y.; Zou, Y. Evaluation the effect of cultivated land protection policies based on the cloud model: A case study of Xingning, China. Ecol. Indic. 2021, 131, 108247. [Google Scholar] [CrossRef]
- Bar-Shira, Z.; Just, R.E.; Zilberman, D. Estimation of farmers’ risk attitude: An econometric approach. Agric. Econ. 1997, 17, 211–222. [Google Scholar] [CrossRef]
- Zeithaml, V.A. Consumer Perceptions of Price, Quality, and Value: A Means-End Model and Synthesis of Evidence. J. Mark. 1988, 52, 2–22. [Google Scholar] [CrossRef]
- Nelson, A.C. Preserving Prime Farmland in the Face of Urbanization: Lessons from Oregon. J. Am. Plan. Assoc. 1992, 58, 467–488. [Google Scholar] [CrossRef]
- Woodruff, R.B. Customer value: The next source for competitive advantage. J. Acad. Mark. Sci. 1997, 25, 139. [Google Scholar] [CrossRef]
- Gai, H.; Yan, T.; Junbiao, Z. Perceived Value, Governament Regulations and Farmers’ Behaviors of Continued Mechanized Operation of Straw Returning to the Field: An Analysis Based on Survery Data from 1288 Farmers in Three Provinces of Hebei, Anhui and Hubei. Chin. Rural. Econ. 2020, 8, 106–123, (In Chinese with English abstract). [Google Scholar]
- Liu, H.; Luo, X. Understanding Farmers’ Perceptions and Behaviors towards Farmland Quality Change in Northeast China: A Structural Equation Modeling Approach. Sustainability 2018, 10, 3345. [Google Scholar] [CrossRef] [Green Version]
- Azadi, Y.; Yazdanpanah, M.; Mahmoudi, H. Understanding smallholder farmers’ adaptation behaviors through climate change beliefs, risk perception, trust, and psychological distance: Evidence from wheat growers in Iran. J. Environ. Manag. 2019, 250, 109456. [Google Scholar] [CrossRef]
- Liu, H.; Zhou, Y. Farmers’ Cognition and Behavioral Response towards Cultivated Land Quality Protection in Northeast China. Sustainability 2018, 10, 1905. [Google Scholar] [CrossRef] [Green Version]
- Scott, J.C. The Moral Economy of the Peasant: Rebellion and Subsis-Tence in Southeast Asia; Yale University Press: New Haven, CT, USA, 1976. [Google Scholar]
- Zhou, Z.; Liu, J.; Zeng, H.; Zhang, T.; Chen, X. How does soil pollution risk perception affect farmers’ pro-environmental behavior? The role of income level. J. Environ. Manag. 2020, 270, 110806. [Google Scholar] [CrossRef]
- Lu, H.; Hu, L.; Zheng, W.; Yao, S.; Qian, L. Impact of household land endowment and environmental cognition on the willingness to implement straw incorporation in China. J. Clean. Prod. 2020, 262, 121479. [Google Scholar] [CrossRef]
- Liu, Q.; He, J.; Hou, G. Farmers’ Perceived Value and the New Rural Residential Satisfaction: The Regulatory Role of Peasant Household Characteristics. Urban Dev. Stud. 2013, 20, 96–101, (In Chinese with English abstract). [Google Scholar]
- Agarwal, S.; Teas, R.K. Perceived Value: Mediating Role of Perceived Risk. J. Mark. Theory Pract. 2001, 9, 1–14. [Google Scholar] [CrossRef]
- Sirivongs, K.; Tsuchiya, T. Relationship between local residents’ perceptions, attitudes and participation towards national protected areas: A case study of Phou Khao Khouay National Protected Area, central Lao PDR. For. Policy Econ. 2012, 21, 92–100. [Google Scholar] [CrossRef]
- Liao, W.; Xiang, D.; Chen, M.; Yu, J.; Luo, Q. The Impact of Perceived Value on Farmers’ Regret Mood Tendency. Sustainability 2018, 10, 3650. [Google Scholar] [CrossRef] [Green Version]
- Zhang, Y.; Xiao, C.; Zhou, G. Willingness to pay a price premium for energy-saving appliances: Role of perceived value and energy efficiency labeling. J. Clean. Prod. 2020, 242, 118555. [Google Scholar] [CrossRef]
- Zhang, S.; Hu, W.; Li, M.; Guo, Z.; Wang, L.; Wu, L. Multiscale research on spatial supply-demand mismatches and synergic strategies of multifunctional cultivated land. J. Environ. Manag. 2021, 299, 113605. [Google Scholar] [CrossRef]
- Jiang, G.; Wang, M.; Qu, Y.; Zhou, D.; Ma, W. Towards cultivated land multifunction assessment in China: Applying the “influencing factors-functions-products-demands” integrated framework. Land Use Policy 2020, 99, 104982. [Google Scholar] [CrossRef]
- Xu, H.; Huang, X.; Zhong, T.; Chen, Z.; Yu, J. Chinese land policies and farmers’ adoption of organic fertilizer for saline soils. Land Use Policy 2014, 38, 541–549. [Google Scholar] [CrossRef]
- Menapace, L.; Colson, G.; Raffaelli, R. Risk Aversion, Subjective Beliefs, and Farmer Risk Management Strategies. Am. J. Agric. Econ. 2013, 95, 384–389. [Google Scholar] [CrossRef]
- Fahad, S.; Wang, J.; Hu, G.; Wang, H.; Yang, X.; Shah, A.A.; Huong, N.T.L.; Bilal, A. Empirical analysis of factors influencing farmers crop insurance decisions in Pakistan: Evidence from Khyber Pakhtunkhwa province. Land Use Policy 2018, 75, 459–467. [Google Scholar] [CrossRef]
- Ren, L.; Gan, C.; Wu, Y.; Chen, Y. Impacts of Farmers’ Farmland Perceived Value on Farmers’ Land Investment Behaviors in Urban Suburb: A Typical Sample Survey of Wuhan and Ezhou. China Land Sci. 2018, 32, 42–50. [Google Scholar] [CrossRef]
- Akcaoz, H.; Ozkan, B. Determining risk sources and strategies among farmers of contrasting risk awareness: A case study for Cukurova region of Turkey. J. Arid. Environ. 2005, 62, 661–675. [Google Scholar] [CrossRef]
- Tang, L.; Luo, X. Can agricultural insurance encourage farmers to apply biological pesticides? Evidence from rural China. Food Policy 2021, 105, 102174. [Google Scholar] [CrossRef]


| Variables | Indicators | Questions | Scale Sources | Assignment | |
|---|---|---|---|---|---|
| Perceived benefits (PB) | Perceived economic benefits (PEB) | Increase in grain output | (PEB1) Quality protection of cultivated land can improve crop yield. | [26,33] | 1 = strongly disagree; 2 = don’t quite agree; 3 = in general; 4 = agree; 5 = completely agree |
| Continued increase in agricultural income | (PEB2) Quality protection of cultivated land can increase agricultural income continuously. | ||||
| Comprehensive cost savings | (PEB3) The comprehensive cost can be reduced by the quality protection of cultivated land. | ||||
| Perceived ecological benefits (PECB) | Improved soil fertility | (PECB1) It is beneficial to improve soil fertility to protect cultivated land quality. | |||
| Improved ecological environment | (PECB2) Protecting cultivated land quality is beneficial to improving the ecological environment. | ||||
| Reduced water pollution | (PECB3) Quality protection of cultivated land can reduce soil and water pollution. | ||||
| Perceived social benefits (PSB) | Safety and health of agricultural products | (PSB1) Quality protection of cultivated land is beneficial to guarantee the quality and safety of agricultural products. | |||
| Food security | (PSB2) Quality protection of cultivated land is beneficial to food security. | ||||
| Living security | (PSB3) Quality protection of cultivated land plays an important role in ensuring life in the future. | ||||
| Perceived Risks (PR) | Perceived economic risk (PER) | Capital consumption | (PER1) More money is needed to protect the quality of arable land. | [26,62,63] | 1 = strongly disagree; 2 = don’t quite agree; 3 = in general; 4 = agree; 5 = completely agree |
| Labor cost | (PER2) More labor is needed to protect cultivated land quality. | ||||
| Economic benefits | (PER3) The benefits of arable land quality protection appear too slow. | ||||
| Perceived psychological risk (PPR) | Behavior expected | (PPR1) Protection requires participation and the fear that one’s own efforts won’t work | |||
| Behavior consequences | (PPR2) Farmland is difficult to improve once it is destroyed. | ||||
| Knowledge of technology | (PPR3) I worry that I can’t master relevant knowledge and technology. | ||||
| Perceived situational risk (PSR) | Policy scenarios | (PSR1) I am concerned that relevant policies are not in place. | |||
| Uncertainty | (PSR2) I am afraid to try for fear of failure. | ||||
| Disaster risk | (PSR3) Fear of losses due to sudden weather disasters and pests. | ||||
| Perceived value (PV) | (PV1) Protecting cultivated land quality is of great significance. | [26,64] | 1 = strongly disagree; 2 = don’t quite agree; 3 = in general; 4 = agree; 5 = completely agree | ||
| (PV2) I hold a positive attitude toward the protection of cultivated land quality. | |||||
| (PV3) Carrying out cultivated land quality protection brings me certain benefits. | |||||
| Behavior intentions (BI) | (BI1) I am willing to put in work to protect the quality of cultivated land. | [26,50] | 1 = strongly disagree; 2 = don’t quite agree; 3 = in general; 4 = agree; 5 = completely agree | ||
| (BI2) I am willing to invest energy and time to protect the quality of cultivated land. | |||||
| (BI3) I am willing to invest money to protect the quality of cultivated land. | |||||
| Behavior responses (BR) | (BR1) Implement conservation farming methods. | [25,50] | 1 = never; 2 = rarely; 3 = sometimes; 4 = often; 5 = always | ||
| (BR2) Implement measures to improve soil fertility. | |||||
| (BR3) Take pollution control and restoration measures. | |||||
| Variable | Classification Criteria | Frequency (Times) | Frequency (%) | Variable | Classification Criteria | Frequency (Times) | Frequency (%) |
|---|---|---|---|---|---|---|---|
| Sex | Male | 218 | 75.69 | Age | Under 35 | 2 | 0.7 |
| Female | 70 | 24.31 | 35–45 | 19 | 6.62 | ||
| Identity | Ordinary villager | 217 | 75.35 | 45–55 | 63 | 21.95 | |
| Village cadres | 40 | 13.89 | 55–65 | 100 | 34.84 | ||
| Party member | 31 | 10.76 | Over 65 | 103 | 35.89 | ||
| Education | Primary and below | 144 | 50 | Scale of contracted land | 2 acres and below | 116 | 40.28 |
| Junior high school | 85 | 29.51 | 2–5 acres | 87 | 30.21 | ||
| Vocational high school or high school | 42 | 14.58 | 5–10 acres | 24 | 8.33 | ||
| College | 15 | 5.21 | 10–20 acres | 20 | 6.94 | ||
| Bachelor’s degree and above | 2 | 0.69 | Over 20 acres | 41 | 14.24 | ||
| Type of employment | Agriculture | 160 | 55.56 | Share of agricultural labor force | 0–25% | 156 | 54.2 |
| Agriculture-oriented and part-time | 47 | 16.32 | 26–50% | 63 | 21.9 | ||
| Job-oriented and part-time | 75 | 26.04 | 51–75% | 26 | 9 | ||
| Retired | 6 | 2.08 | 76–100% | 43 | 14.9 |
| Variables | Items | Mean | Standard Deviation |
|---|---|---|---|
| Perceived economic benefits (PEB) | Carrying out cultivated land quality protection can increase crop yields. | 3.889 | 0.938 |
| Carrying out cultivated land quality protection can continuously increase agriculture income. | 3.667 | 1.029 | |
| Carrying out cultivated land quality protection can save comprehensive costs. | 3.667 | 0.933 | |
| Perceived ecological benefits (PECB) | Carrying out cultivated land quality protection is conducive to improving soil fertility. | 3.771 | 1.000 |
| Protecting the quality of cultivated land is conducive to improving the ecological environment. | 3.806 | 1.007 | |
| Carrying out cultivated land quality protection can reduce water and soil pollution. | 3.788 | 1.026 | |
| Perceived society benefits (PSB) | Protecting the quality of cultivated land is conducive to ensuring the quality and safety of agricultural products. | 3.899 | 1.002 |
| Protecting the quality of cultivated land is conducive to national food security. | 3.729 | 1.051 | |
| Carrying out the protection of cultivated land quality has an essential role in ensuring future life. | 3.941 | 1.002 | |
| Perceived economic risks (PER) | More money is needed to protect the quality of cultivated land. | 3.708 | 1.110 |
| More labor is needed to protect the quality of cultivated land. | 3.694 | 1.119 | |
| The benefits of cultivated land quality protection appear too slow. | 3.677 | 1.152 | |
| s | Implementation of protection requires joint participation in the fear that self-effort will not be effective. | 3.194 | 1.017 |
| Worried that once the cultivated land is destroyed, it will be difficult to improve. | 3.656 | 1.188 | |
| Worried about not being able to master relevant knowledge and technology. | 3.337 | 1.151 | |
| Perceived scenario risk (PSR) | I am worried about the inadequate implementation of relevant policies. | 3.941 | 0.998 |
| I am afraid to try fear of failure. | 3.913 | 1.044 | |
| I am worried about losses due to sudden weather disasters and pests. | 3.663 | 1.016 | |
| Perceived value (PV) | Protecting the quality of cultivated land is of great significance. | 3.483 | 0.805 |
| I am optimistic about protecting the quality of cultivated land. | 3.424 | 0.840 | |
| Carrying out cultivated land quality protection has brought me certain benefits. | 3.302 | 0.897 | |
| Behavior intentions (BI) | I am willing to put in work to protect the quality of cultivated land. | 3.462 | 0.906 |
| I am willing to invest energy and time to protect the quality of cultivated land. | 3.378 | 0.994 | |
| I am willing to invest money to protect the quality of cultivated land. | 3.083 | 0.977 | |
| Behavior responses (BR) | I implement conservation farming methods. | 2.646 | 1.052 |
| I implement measures to improve soil fertility. | 2.642 | 1.133 | |
| I take pollution control and restoration measures. | 2.670 | 1.001 |
| Variables | Items | Standard Factor Load | Reliability of Questions | Cronbach Coefficient | Component Reliability | Convergent Validity | |
|---|---|---|---|---|---|---|---|
| Std. | SMC | Cronbach’s α | CR | KMO | AVE | ||
| PEB | PEB1 | 0.816 | 0.666 | 0.804 | 0.806 | 0.709 | 0.582 |
| PEB2 | 0.741 | 0.549 | |||||
| PEB3 | 0.729 | 0.531 | |||||
| PECB | PECB1 | 0.720 | 0.518 | 0.844 | 0.849 | 0.701 | 0.654 |
| PECB2 | 0.915 | 0.837 | |||||
| PECB3 | 0.780 | 0.608 | |||||
| PSB | PSB1 | 0.761 | 0.579 | 0.817 | 0.818 | 0.714 | 0.600 |
| PSB2 | 0.765 | 0.585 | |||||
| PSB3 | 0.798 | 0.637 | |||||
| PER | PER1 | 0.864 | 0.746 | 0.873 | 0.874 | 0.736 | 0.698 |
| PER2 | 0.790 | 0.624 | |||||
| PER3 | 0.850 | 0.723 | |||||
| PPR | PPR1 | 0.789 | 0.623 | 0.819 | 0.824 | 0.715 | 0.610 |
| PPR2 | 0.733 | 0.537 | |||||
| PPR3 | 0.818 | 0.669 | |||||
| PSR | PSR1 | 0.772 | 0.596 | 0.864 | 0.866 | 0.729 | 0.683 |
| PSR2 | 0.860 | 0.740 | |||||
| PSR3 | 0.844 | 0.712 | |||||
| PV | PV1 | 0.742 | 0.551 | 0.818 | 0.828 | 0.677 | 0.617 |
| PV2 | 0.862 | 0.743 | |||||
| PV3 | 0.747 | 0.558 | |||||
| BI | BI1 | 0.856 | 0.733 | 0.892 | 0.896 | 0.729 | 0.742 |
| BI2 | 0.890 | 0.792 | |||||
| BI3 | 0.837 | 0.701 | |||||
| BR | BR1 | 0.795 | 0.632 | 0.852 | 0.854 | 0.732 | 0.661 |
| BR2 | 0.836 | 0.699 | |||||
| BR3 | 0.807 | 0.651 |
| Categories | Indicators | Adapter Standard | Statistics | Adaptation to Judge |
|---|---|---|---|---|
| Absolute fit index | χ2/DF | <3 | 1.120 | Good |
| GFI | >0.9 | 0.919 | Good | |
| AGFI | >0.9 | 0.901 | Good | |
| RMSEA | <0.5 | 0.020 | Good | |
| RMR | <0.5 | 0.035 | Good | |
| Value-added compatibility indicators | TLI | >0.9 | 0.991 | Good |
| CFI | >0.9 | 0.992 | Good | |
| IFI | >0.9 | 0.992 | Good | |
| NFI | >0.9 | 0.932 | Good | |
| RFI | >0.9 | 0.922 | Good | |
| Simple fit index | PGFI | >0.5 | 0.749 | Good |
| PNFI | >0.5 | 0.817 | Good |
| Influence Path | Estimate | S.E. | C.R | P | Hypothesis Testing |
|---|---|---|---|---|---|
| Perceived benefit→perceived value | 0.528 | 0.073 | 6.357 | *** | Accepted H1 |
| Perceived risk→perceived value | −0.409 | 0.070 | −4.847 | *** | Accepted H2 |
| Perceiving interest→willingness | 0.361 | 0.096 | 3.771 | *** | Accepted H3 |
| Perceived risk→willingness | −0.249 | 0.087 | −3.086 | ** | Accepted H4 |
| Perceived value→willingness | 0.416 | 0.136 | 3.988 | *** | Accepted H5 |
| Perceived benefit→behavior | 0.177 | 0.101 | 2.157 | * | Accepted H6 |
| Perceived risk→behavior | −0.273 | 0.095 | −3.336 | *** | Accepted H7 |
| Perceived value→behavior | 0.363 | 0.147 | 3.448 | *** | Accepted H8 |
| Willingness→behavior | 0.232 | 0.112 | 2.232 | * | Accepted H9 |
| Latent Variables | Direct Effect | Indirect Effect | Total Effect |
|---|---|---|---|
| Perceived benefit→perceived value | 0.528 | - | 0.528 |
| Perceived risk→perceived value | −0.409 | - | −0.409 |
| Perceiving interest→willingness | 0.316 | 0.220 | 0.536 |
| Perceived risk→willingness | −0.249 | −0.170 | −0.420 |
| Perceived value→willingness | 0.416 | - | 0.416 |
| Perceived benefit→behavior | 0.177 | 0.316 | 0.493 |
| Perceived risk→behavior | −0.273 | −0.246 | −0.519 |
| Perceived value→behavior | 0.363 | 0.096 | 0.459 |
| Willingness→behavior | 0.232 | - | 0.232 |
Publisher’s Note: MDPI stays neutral with regard to jurisdictional claims in published maps and institutional affiliations. |
© 2022 by the authors. Licensee MDPI, Basel, Switzerland. This article is an open access article distributed under the terms and conditions of the Creative Commons Attribution (CC BY) license (https://creativecommons.org/licenses/by/4.0/).
Share and Cite
Wang, X.; Hu, H.; Ning, A.; Li, G.; Wang, X. The Impact of Farmers’ Perception on Their Cultivated Land Quality Protection Behavior: A Case Study of Ningbo, China. Sustainability 2022, 14, 6357. https://doi.org/10.3390/su14106357
Wang X, Hu H, Ning A, Li G, Wang X. The Impact of Farmers’ Perception on Their Cultivated Land Quality Protection Behavior: A Case Study of Ningbo, China. Sustainability. 2022; 14(10):6357. https://doi.org/10.3390/su14106357
Chicago/Turabian StyleWang, Xiaoying, Hangang Hu, Aifeng Ning, Guan Li, and Xueqi Wang. 2022. "The Impact of Farmers’ Perception on Their Cultivated Land Quality Protection Behavior: A Case Study of Ningbo, China" Sustainability 14, no. 10: 6357. https://doi.org/10.3390/su14106357
APA StyleWang, X., Hu, H., Ning, A., Li, G., & Wang, X. (2022). The Impact of Farmers’ Perception on Their Cultivated Land Quality Protection Behavior: A Case Study of Ningbo, China. Sustainability, 14(10), 6357. https://doi.org/10.3390/su14106357

