Legume Integration Augments the Forage Productivity and Quality in Maize-Based System in the Loess Plateau Region
Abstract
1. Introduction
2. Materials and Methods
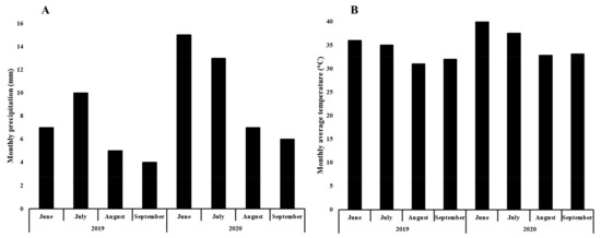
2.1. Experimental Location, Treatments, and Design
2.2. Planting, Forage Production, and Yield Calculation
2.3. Silage Preparation and Ensiling of Samples
2.4. Determination of Chemical Compositions of Fresh Fodder and Silage
2.5. Calculations and Laboratory Quality Analysis of Forage and Silage
2.6. Organic Acid Profiles of Silage
2.7. Statistical Analysis
3. Results and Discussion
3.1. Fresh Forage Yield, Dry Matter Yield, Crude Protein Yield, and Land Equivalent Ratio
3.2. Chemical Composition of Forages
3.3. Laboratory Forage Quality Analysis
3.4. Correlation between Proximate Composition and Quality Traits of Fodder
3.5. Organic Acid Profile of Silages
3.6. Fermentation Quality Traits of Silage
3.7. Chemical Composition of Maize–Common Bean Mixtures of Silages
3.8. Analysis of Pearson Correlation between Proximate Compositions and Quality Traits in Cereal–Legume Mixtures of Silages
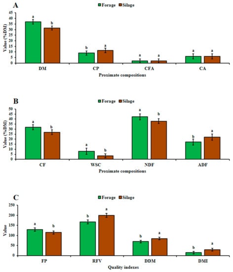
3.9. Comparisons of Chemical Compositions and Quality Parameters of Forage and Silage
4. Conclusions
Author Contributions
Funding
Institutional Review Board Statement
Informed Consent Statement
Data Availability Statement
Acknowledgments
Conflicts of Interest
References
- Alhassan, A.M.; Yang, C.; Ma, W.; Li, G. Influence of conservation tillage on Greenhouse gas fluxes and crop productivity in spring-wheat agroecosystems on the Loess Plateau of China. PeerJ 2021, 9, e11064. [Google Scholar] [CrossRef] [PubMed]
- Yu, Y.; Zhao, W.; Juan, F.; Martinez-Murillo Pereira, P. Loess Plateau: From degradation to restoration. Sci. Total Environ. 2020, 738, 140206. [Google Scholar] [CrossRef] [PubMed]
- FAO (Food and Agriculture Organization). Online Statistical Database: Food Balance. 2017. Available online: http://www.fao.org/statistics.amis-outlook.org/data/index.html (accessed on 3 April 2017).
- Gerrit, K. Growing Silage Corn in China: Three Key Reference Points in Silage Corn Assessment Energy Yield, Energy Density and Starch Yield. Agropages, Seed Special. 2017. Available online: https://news.agropages.com/News/NewsDetail---21994-e.htm (accessed on 4 May 2017).
- NBCS (National Bureau of Statistics of China). China’s Economy Realized a Moderate but Stable and Sound Growth. 2016. Available online: http://gov.cn/english/pressrelease/201601/t20161306072.html (accessed on 19 January 2016).
- Bilal, A.K.; Adnan, M.; Rehman, F.U.; Hasnain, A.; Usman, M.; Javed, M.S.; Aziz, A.; Ahmad, R. Role of silage in agriculture: A Review. Green Rep. 2021, 2, 9–12. [Google Scholar]
- Babu, S.; Singh, R.; Yadav, D.; Rathore, S.S.; Raj, R.; Avasthe, R.; Yadav, S.K.; Das, A.; Yadav, V.; Yadav, B.; et al. Nanofertilizers for agricultural and environmental sustainability. Chemosphere 2022, 292, 133451. [Google Scholar] [CrossRef]
- Javanmard, A.; Machiani, M.A.; Lithourgidis, A.; Morshedloo, M.R.; Ostadi, A. Intercropping of maize with legumes: A cleaner strategy for improving the quantity and quality of forage. Clean. Eng. Technol. 2020, 1, 100003. [Google Scholar] [CrossRef]
- Nasar, J.; Alam, A.; Nasar, A.; Khan, M.Z. Intercropping induce changes in above and below ground plant compartments in mixed cropping system. Biomed. J. Sci. Tech. Res. 2019, 17, 13043–13050. [Google Scholar] [CrossRef]
- Álvarez, S.; Méndez, P.; Martínez-Fernández, A. Silage fermentation and chemical composition of Chamaecitysus proliferus var. Palmensis (Tagasaste) and Pennisetum sp. (Maralfalfa) using different additives. J. Anim. Plant. Sci. 2020, 31, 929–936. [Google Scholar]
- Liu, Y.; Wang, G.; Wu, H.; Meng, Q.; Khan, M.Z.; Zhou, Z. Effect of hybrid type on fermentation and nutritional parameters of whole plant corn silage. Animals 2021, 11, 1587. [Google Scholar] [CrossRef]
- Panwar, A.S.; Shamim, M.; Babu, S.; Ravishankar, N.; Prusty, A.K.; Alam, N.M.; Singh, D.K.; Bindhu, J.S.; Kaur, J.; Dashora, L.N.; et al. Enhancement in productivity, nutrients use efficiency and economics of rice-wheat cropping systems in India through Farmer’s participatory approach. Sustainability 2019, 11, 122. [Google Scholar] [CrossRef]
- Soufan, W.; Al-Suhaibani, N.A. Optimizing yield and quality of silage and hay for pea-bearly mixtures ratio under irrigated arid environments. Sustainability 2021, 13, 13621. [Google Scholar] [CrossRef]
- Yadav, G.S.; Babu, S.; Das, A.; Mohapatra, K.P.; Singh, R.; Avasthe, R.K.; Roy, S. No till and mulching enhance energy use efficiency and reduce carbon footprint of a direct-seeded upland rice production system. J. Clean. Prod. 2020, 271, 122700. [Google Scholar] [CrossRef]
- Klima, K.; Synowiec, A.; Puła, J.; Chowaniak, M.; Puzy’nska, K.; Gala-Czekaj, D.; Kliszcz, A.; Galbas, P.; Jop, B.; Dabkowska, T. Long-term productive, competitive, and economic aspects of spring cereal mixtures in integrated and organic crop rotations. Agriculture 2020, 10, 231. [Google Scholar] [CrossRef]
- Akdeniz, H.; Hosafliŏglu, I.; Koç, A.; Hossain, A.; Islam, M.S.; IqbaL, M.A.; Imtiaz, H.; Gharib, H.; El Sabagh, A. Evaluation of herbage yield and nutritive value of eight forage crop species. Appl. Ecol. Environ. Res. 2019, 17, 5571–5581. [Google Scholar] [CrossRef]
- Agegnehu, G.; Ghizaw, A.; Sinebo, W. Yield performance and land-use efficiency of barley and faba bean mixed cropping in Ethiopian highlands. Eur. J. Agron. 2006, 25, 202207. [Google Scholar] [CrossRef]
- Iqbal, M.A.; Hamid, A.; Ahmad, T.; Siddiqui, M.H.; Hussain, I.; Ali, S.; Ali, A.; Ahmad, Z. Forage sorghum-legumes intercropping: Effect on growth, yields, nutritional quality and economics returns. Bragantia 2018, 78, 82–95. [Google Scholar] [CrossRef]
- Malhi, S.S. Improving crop yield, N uptake and economic returns by intercropping barley or canola with pea. Agric. Sci. 2012, 3, 1023–1033. [Google Scholar] [CrossRef]
- Yadav, G.S.; Das, A.; Kandpal, B.K.; Babu, S.; Lal, R.; Datta, M.; Das, B.; Singh, R.; Singh, V.K.; Mohapatra, K.P.; et al. The food-energy-water-carbon nexus in a maize-maize-mustard cropping sequence of the Indian Himalayas: An impact of tillage-cum-live mulching. Renew. Sust. Energ. Rev. 2021, 151, 111602. [Google Scholar] [CrossRef]
- Vicente ER, S.; Kuwahara, F.A.; Feba, L.T.; Silva PC, G.; Moro, E. Yield of sorghum silage intercropped with pigeon pea and marandu grass in two spacings and chemical composition before and after ensiling. Aust. J. Crop Sci. 2019, 13, 1416–1421. [Google Scholar] [CrossRef]
- Muck, R.E.; Nadeau EM, G.; McAllister, T.A.; Contreras-Govea, F.E.; Santos, M.C.; Kung, L. Silage review: Recent advances and future uses of silages additives. J. Dairy Sci. 2018, 101, 3980–4000. [Google Scholar] [CrossRef]
- Kashif, A.; Wang, W.Y.; Ahmad, K.; Ren, G.X.; Sajjad, Z.; Tanveer, A.S.; Feng, Y.Z.; Yang, G.H. Straw mulching with fertilizer nitrogen: An approach for improving crop yield, soil nutrients and enzyme activities. Soil Use Manag. 2019, 35, 526–535. [Google Scholar]
- Piper, C.S. Soil and Plant Analysis; Scientific Publishers: Jodhpur, India, 2017; Available online: https://www.abebooks.com/book-search/title/soil and plant analysis /author/ piper-c-s (accessed on 22 January 2017).
- Begna, S.; Angadi, S.; Mesbah, A.; Umesh, R.M.; Stamm, M. Forage yield and quality of winter canola-pea mixed cropping system. Sustainability 2021, 13, 2122. [Google Scholar] [CrossRef]
- Stamm, M.; Berrada, A.; Buck, J.; Cabot, P.; Claassen, M.; Cramer, G.; Dooley, S.J.; Godsey, C.; Heer, W.; Holman, J. Registration of Riley winter canola. J. Plant Reg. 2012, 6, 243–245. [Google Scholar] [CrossRef]
- Matsoukis, A.D.; Chronopoulou-Sereli, G. Environmental conditions and drenched-applied paclobutrazol effects on lantana specific leaf area and N, P, K and Mg content. Chil. J. Agric. Res. 2014, 74, 117–122. [Google Scholar] [CrossRef][Green Version]
- AOAC. Official Methods of Analysis, 17th ed.; Association of Official Analytical Chemists: Gaithersburg, MD, USA, 2000. [Google Scholar]
- Van Soest, P.J.; Robertson, J.B.; Lewis, B.A. Methods for dietary fiber, neutral detergent fiber and nonstarch polysaccharides in relation to animal nutrition. J. Dairy. Sci. 1991, 74, 3583–3597. [Google Scholar] [CrossRef]
- Undersander, D. The new relative forage quality index-concepts and use. In World’s Forage Superbowl Contest; University of Wisconsin-Extension: Madison, WI, USA, 2003. [Google Scholar]
- Murphy, R.P. A method for the extraction of plant samples and the determination of total soluble carbohydrates. J. Sci. Food Agric. 1958, 9, 714–717. [Google Scholar] [CrossRef]
- Wang, Z.; Bao, X.; Li, X.; Jin, X.; Zhao, J.; Sun, J.; Christie, P. Intercropping maintains soil fertility in terms of chemical properties and enzyme activities on a timescale of one decade. Plant Soil 2015, 391, 265–282. [Google Scholar] [CrossRef]
- Knicky, M.; Spörndly, R. The ensiling capability of a mixture of sodium benzoate, potassium sorbate, and sodium nitrite. J. Dairy Sci. 2011, 94, 824–831. [Google Scholar] [CrossRef]
- Kilic, A. Silo Feed (Instruction, Education and Application Proposals); Bilgehan Press: Lzmir, Turkey, 1986; p. 327. [Google Scholar]
- Jeranyama, P.; Garcia, A.D. Understanding Relative Feed Value (RFV) and Relative Forage Quality (RFQ); SDSU: Brookings, SD, USA, 2004; Available online: http://openprairie.sdstate.edu/extension_extra/352 (accessed on 1 August 2004).
- Kızılşımşek, M.; Günaydın, T.; Aslan, A.; Keklikve, K.; Açıkgöz, H. Improving silage feed quality of maize intercropped with some legumes. Türk Tarım Doğa Bilimleri Derg. 2020, 7, 165–169. [Google Scholar] [CrossRef]
- He, L.; Zhou, W.; Wang, Y.; Wang, C.; Chen, X.; Zhang, Q. Effect of applying lactic acid bacteria and cellulose on the fermentation quality, nutritive value, tannins profile and in vitro digestibility of Neolamarckia cadamba leaves silage. J. Anim. Physiol. Anim. Nutr. 2018, 102, 1429–1436. [Google Scholar] [CrossRef]
- Broderick, G.A.; Kang, J.H. Automated simultaneous determination of ammonia and total amino acids in ruminal fluid and in vitro media. J. Dairy Sci. 1980, 63, 64–75. [Google Scholar] [CrossRef]
- Jamshidi, K.; Yousefi, A.R.; Oveisi, M. Effect of cowpea (Vigna unguiculata) intercropping on weed biomass and maize (Zea mays) yield. N. Z. J. Crop Hortic. Sci. 2013, 41, 180–188. [Google Scholar] [CrossRef]
- Soe Htet, M.N.; Hai, J.-B.; Bo, P.T.; Gong, X.-W.; Liu, C.-J.; Dang, K.; Tian, L.-X.; Soomro, R.N.; Aung, K.L.; Feng, B.-L. Evaluation of nutritive values through comparison of forage yield and silage quality of mono-cropped and intercropped maize-soybean harvested at two maturity stages. Agriculture 2021, 11, 452. [Google Scholar] [CrossRef]
- Geren, H.; Avcioglu, R.; Soya, H.; Kir, B. Intercropping of corn with cowpea and bean biomass yield and silage quality. Afr. J. Biotechnol. 2008, 22, 4100–4104. [Google Scholar]
- Htet, M.N.S.; Soomro, R.N.; Bo, H.J. Effects of different planting pattern of maize (Zea mays L.) and soybean (Glycine max (L.) Merrill) intercropping in resource consumption on fodder yield, and silage quality. Am. J. Plant. Sci. 2017, 8, 666–679. [Google Scholar] [CrossRef][Green Version]
- Amole, T.A.; Oduguwa, B.O.; Jolaosho, A.O.; Arigbede, M.O.; Olanite, J.A.; Dele, P.A.; Ojo, V.O.A. Nutrient composition and forage yield, nutritive quality of silage produced from maize-lablab mixture. Mal. J. Anim. Sci. 2013, 16, 45–61. [Google Scholar] [CrossRef]
- Abera, H.; Mesfin, K.; Adera, S. Maize (Zea mays L.)-common bean (Phaseolus vulgaris L.) Intercropping response to population density of component crop in Wolaita Zone Southern Ethiopia. J. Nat. Sci. Res. 2016, 6, 69–74. [Google Scholar]
- Strydhorst, S.M.; King, J.R.; Lopetinsky, K.J.; Harker, K.N. Forage potential of intercropping barley with faba bean, lupin, or field pea. Agron. J. 2008, 100, 182–190. [Google Scholar] [CrossRef]
- Schroeder, J.W. Quality Forage AS1250: Forage Nutrition for Ruminants; North Dakota State University, United State of Agriculture Cooperating: Fargo, ND, USA, 2006. [Google Scholar]
- Wilkinson, J.M.; Davies, D.R. Review paper: The aerobic stability of silage: Key findings and recent developments. Grass Forage Sci. 2013, 68, 1–19. [Google Scholar] [CrossRef]
- Artabandhu, S. Silage for climate resilient small ruminant production. In Ruminants- The Husbandry Economic and Health Aspects; InTech: Rijeka, Croatia, 2018; Available online: http://intechopen.com/silage-for-climate-resilient-small-ruminant-production (accessed on 25 April 2018).
- Wang, M.; Gao, R.; Franco, M.; Hannaway, D.B.; Ke, W.; Ding, Z.; Yu, Z.; Guo, X. Effect of mixing alfalfa with whole-plant corn in different proportions on fermentation characteristics and bacterial community of silages. Agriculture 2021, 11, 174. [Google Scholar] [CrossRef]
- Fischer, J.; Böhm, H.; Jürgen, H. Maize-bean intercropping yields in Northern Germany are comparable to those of pure silage maize. Eur. J. Agron. 2020, 112, 125947. [Google Scholar] [CrossRef]
- Sohail, S.; Ansar, M.; Skalicky, M.; Wasaya, A.; Soufan, W.; Ahmad Yasir, T.; El-Shehawi, A.M.; Brestic, M.; Sohidul Islam, M.; Ali Raza, M.; et al. Influence of Tillage Systems and Cereals–Legume Mixture on Fodder Yield, Quality and Net Returns under Rainfed Conditions. Sustainability 2021, 13, 2172. [Google Scholar] [CrossRef]
- Aasen, A.; Baron, V.S.; Clayton, G.W.; Dick, A.C.; McCartney, D.H. Swath grazing potential of spring cereals, field pea and mixtures with other species. Can. J. Plant Sci. 2004, 84, 1051–1058. [Google Scholar]
- Nurk, L.; Graβ, R.; Pekrun, C.; Wachendorf, M. Methane yield and feed quality parameters of mixed silages from maize (Zea mays L.) and common bean (Phaseolus vulgaris L.). Bioeng. Res. 2017, 10, 64–73. [Google Scholar] [CrossRef]
- Konca, Y.; Beyzi, S.B.; Paffetti, M.A.G.; Ulger, I.; Sohel, M.M.H. Effects of easy soluble carbohydrate and bacterial inoculant supplementations on silage quality of frosted maize. Acta. Sci. Anim. Sci. 2017, 40, 39513. [Google Scholar] [CrossRef][Green Version]
- Gao, R.; Wang, B.; Jia, T.; Luo, Y.; Yu, Z. Effects of different carbohydrate sources on alfalfa silage quality at different ensiling days. Agriculture 2021, 11, 58. [Google Scholar] [CrossRef]
- Ferraretto, L.F.; Shaver, R.D.; Luck, B.D. Silage review: Recent advances and future technologies for whole-plant and fractionated corn silage harvesting. J. Dairy Sci. 2018, 101, 3937–3951. [Google Scholar] [CrossRef] [PubMed]
- Uher, D.; Svečnjak, Z.; Svečnjak, Z.; Dujmovic-Purgar, D.; Jareš, D.; Horvatic, I. Influence of intercropping maize with climbing bean on forage yield and quality. Agron. Int. J. 2019, 4, 60–67. [Google Scholar] [CrossRef]
- Getahun, A.; Abady, S. Effect of maize (Zea may L.) on bean (Phaseolus vulgaris L.) yield and its components in maize-bean intercropping. Int. J. Sci. Res. 2016, 5, 126–133. [Google Scholar]
- Tharangani, R.M.H.; Yakun, C.; Zhao, L.S.; Ma, L.; Liu, H.L.; Su, S.L.; Shan, L.; Yang, Z.N.; Kononoff, P.J.; William, P.W.; et al. Corn silage quality index: An index combining milk yield, silage nutritional and fermentation parameters. Anim. Feed Sci. Technol. 2021, 273, 114817. [Google Scholar] [CrossRef]








| Treatments | DM (%) | CP (%) | CFA (%) | CA (%) | CF (%) | WSC (%) | NDF (%) | ADF (%) | ADL (%) |
|---|---|---|---|---|---|---|---|---|---|
| M100:CB0 | 29.76d | 8.29d | 2.09a | 6.07a | 28.80a | 8.00a | 43.19a | 24.20a | 5.00c |
| M75:CB25 | 35.20a | 10.09c | 2.06a | 6.09a | 28.57b | 7.07b | 40.09b | 21.43b | 5.17b |
| M50:CB50 | 35.66a | 10.11c | 2.09a | 6.09a | 28.59b | 6.80c | 40.11b | 21.86b | 5.17b |
| M45:CB55 | 33.69b | 10.16c | 2.09a | 6.09a | 28.55b | 6.90c | 32.69c | 21.21c | 5.18b |
| M25:CB75 | 34.20b | 11.39b | 2.06a | 6.10a | 28.58b | 7.05b | 32.89c | 21.32c | 5.19b |
| M0:CB100 | 31.06c | 12.86a | 2.09a | 6.06a | 25.60c | 6.17d | 31.53d | 20.09d | 5.28a |
| SEM | 0.17 | 0.01 | 0.04 | 0.11 | 0.07 | 0.06 | 0.13 | 0.2 | 0.02 |
| LOS | ** | ** | ns | ns | * | ** | ** | * | * |
| Treatments | pH | TDN | RFQ | FP | RFV | DDM | DMI |
|---|---|---|---|---|---|---|---|
| M100:CB0 | 3.60d | 73.13b | 165.28c | 121.20a | 150.94c | 70.04d | 2.78c |
| M75:CB25 | 4.01a | 73.38a | 177.78b | 116.40b | 166.81b | 72.21c | 2.98b |
| M50:CB50 | 4.02a | 73.29a | 176.97b | 115.20b | 165.47b | 71.87c | 2.97b |
| M45:CB55 | 3.95b | 73.26a | 219.18a | 114.80b | 207.45a | 72.37b | 3.68a |
| M25:CB75 | 4.00a | 73.66a | 223.37a | 113.92b | 209.02a | 72.29c | 3.73a |
| M0:CB100 | 3.89c | 73.11b | 221.71a | 111.79c | 211.80a | 73.25a | 3.73a |
| SEM | 0.01 | 0.02 | 0.02 | 0.23 | 0.13 | 0.11 | 0.03 |
| LOS | * | * | ** | * | ** | * | * |
| Treatments | pH | LA | AA | BA | PA | LA:AA | AN |
|---|---|---|---|---|---|---|---|
| M100:CB0 | 3.89e | 4.89e | 0.29e | 1.00c | 0.90c | 16.86a | 8.11e |
| M75:CB25 | 4.09d | 7.23b | 1.31c | 1.29b | 1.21a | 5.52b | 9.00d |
| M50:CB50 | 4.12c | 7.11c | 1.33b | 1.31b | 1.22a | 5.35c | 9.02d |
| M45:CB55 | 4.20b | 6.90d | 1.30c | 1.19b | 1.19a | 5.30c | 10.43b |
| M25:CB75 | 4.39a | 7.33a | 1.52a | 2.21a | 1.18a | 4.82d | 10.58a |
| M0:CB100 | 4.09d | 6.89d | 1.29d | 1.09c | 0.96b | 5.34c | 10.09c |
| SEM | 0.3 | 0.2 | 0.02 | 0.1 | 0.3 | 0.21 | 0.23 |
| LOS | ** | * | * | ** | * | ** | * |
| Treatments | FP | RFV | DDM | DMI |
|---|---|---|---|---|
| M100:CB0 | 107.38b | 165.42d | 70.93e | 2.98d |
| M75:CB25 | 112.04a | 176.09c | 73.71d | 3.08c |
| M50:CB50 | 110.79a | 174.61c | 73.61d | 3.07c |
| M45:CB55 | 100.55d | 215.02b | 76.88a | 3.80b |
| M25:CB75 | 98.07d | 230.55a | 74.18c | 3.96a |
| M0:CB100 | 103.33c | 231.47a | 74.70b | 4.03a |
| SEM | 1.21 | 0.28 | 0.13 | 0.17 |
| LOS | ** | ** | * | * |
| Treatments | DM (%) | CP (%) | CFA (%) | CA (%) | CF (%) | NDF (%) | ADF (%) | ADL (%) |
|---|---|---|---|---|---|---|---|---|
| M100:CB0 | 29.13e | 8.90d | 2.20a | 7.04a | 28.80a | 40.20a | 22.20a | 3.11c |
| M75:CB25 | 35.20a | 11.20c | 2.20a | 6.80a | 28.71c | 38.65c | 19.46c | 3.25b |
| M50:CB50 | 35.45a | 11.21c | 2.20a | 6.96a | 28.75b | 39.21b | 19.65b | 3.25b |
| M45:CB55 | 32.30c | 12.22c | 2.19a | 7.03a | 28.70c | 30.93d | 18.95d | 3.26b |
| M25:CB75 | 34.13b | 12.25b | 2.19a | 6.74a | 28.75b | 32.09d | 19.19d | 3.26b |
| M0:CB100 | 29.99d | 14.69a | 2.20a | 7.04a | 28.70c | 29.81e | 16.20e | 3.36a |
| SEM | 0.23 | 0.01 | 0.03 | 0.01 | 0.43 | 0.13 | 0.14 | 0.02 |
| LOS | ** | ** | ns | ns | * | ** | * | * |
Publisher’s Note: MDPI stays neutral with regard to jurisdictional claims in published maps and institutional affiliations. |
© 2022 by the authors. Licensee MDPI, Basel, Switzerland. This article is an open access article distributed under the terms and conditions of the Creative Commons Attribution (CC BY) license (https://creativecommons.org/licenses/by/4.0/).
Share and Cite
Soe Htet, M.N.; Wang, H.; Yadav, V.; Sompouviseth, T.; Feng, B. Legume Integration Augments the Forage Productivity and Quality in Maize-Based System in the Loess Plateau Region. Sustainability 2022, 14, 6022. https://doi.org/10.3390/su14106022
Soe Htet MN, Wang H, Yadav V, Sompouviseth T, Feng B. Legume Integration Augments the Forage Productivity and Quality in Maize-Based System in the Loess Plateau Region. Sustainability. 2022; 14(10):6022. https://doi.org/10.3390/su14106022
Chicago/Turabian StyleSoe Htet, Maw Ni, Honglu Wang, Vivek Yadav, Thongsouk Sompouviseth, and Baili Feng. 2022. "Legume Integration Augments the Forage Productivity and Quality in Maize-Based System in the Loess Plateau Region" Sustainability 14, no. 10: 6022. https://doi.org/10.3390/su14106022
APA StyleSoe Htet, M. N., Wang, H., Yadav, V., Sompouviseth, T., & Feng, B. (2022). Legume Integration Augments the Forage Productivity and Quality in Maize-Based System in the Loess Plateau Region. Sustainability, 14(10), 6022. https://doi.org/10.3390/su14106022

