Next Article in Journal
A Novel Oil-free Dual Piston Compressor Driven by a Moving Coil Linear Motor with Capacity Regulation Using R134a
Next Article in Special Issue
Early Bird Scheme for Parking Management: How Does Parking Play a Role in the Morning Commute Problem
Previous Article in Journal
Time-Dependent Strength Behavior, Expansion, Microstructural Properties, and Environmental Impact of Basic Oxygen Furnace Slag-Treated Marine-Dredged Clay in South Korea
 
 
Font Type:
Arial Georgia Verdana
Font Size:
Aa Aa Aa
Line Spacing:
Column Width:
Background:
Article

Better Enforcement Is Essential, but May Be Inadequate: Findings of a Survey on the Factors Affecting Payment of Speeding Fines in Cape Town, South Africa

1
Department of Global Health, Faculty of Medicine and Health Sciences, Institute for Life Course Health Research, Stellenbosch University, Cape Town 8000, South Africa
2
Department of Economics, Stellenbosch University, Matieland 7602, South Africa
*
Author to whom correspondence should be addressed.
Sustainability 2021, 13(9), 5028; https://doi.org/10.3390/su13095028
Submission received: 21 January 2021 / Revised: 1 March 2021 / Accepted: 22 April 2021 / Published: 30 April 2021

Abstract

While a large body of research has established that effective enforcement of speeding laws is essential for reducing the economic and social costs of road accidents, some studies have suggested that interventions aimed at moral beliefs about speeding and peer-related and other social contagion effects may be important complements to law enforcement activities. This article presents tentative evidence of the complementary nature of interventions to influence moral beliefs and steps to strengthen the enforcement of traffic laws. It does this by presenting and discussing the results of a survey that elicited information about the attitudes of motorists in Cape Town regarding speeding fines and aspects of the administration of traffic laws in South Africa. The self-reported fine-paying behaviour of the respondents correlates with instrumental factors shaped by the effectiveness of enforcement actions (e.g., compliance and monetary costs) as well as normative factors influenced by the moral beliefs of drivers and their social groups as well as the perceived legitimacy of traffic laws and officials. Regression results also provide evidence of a statistically significant relationship between the respondents’ self-reported fine-paying behaviour and their moral beliefs regarding payment of speeding fines.

1. Introduction

It is well-established that speeding is one of the most important causes of road accidents [1,2,3,4,5]. As was pointed out by the World Health Organisation [4], ample empirical evidence confirms the links between the speed of vehicles and the risk and severity of crashes. It follows that effective measures to prevent excessive vehicle speeds are critical for reducing the incidence of road crashes.
The aspects of speeding that have been studied have included factors that determine drivers’ speed choices [6,7] and the effectiveness of mechanisms to identify transgressions of speeding laws, such as speed cameras and road and aerial surveillance [3,5,8]. In addition, a large body of research has explored aspects of the implementation and efficacy of various sanctions for speeding such as fines and demerit points that culminate in the suspension of driver’s licenses [5,7,9,10,11,12,13,14,15,16]. These writings underscore that the efficacy of speeding laws hinges on effective enforcement: drivers are deterred from speeding by high probabilities of apprehension and sufficiently severe punishment. These findings are in line with those of more general economic analyses of crime [17,18].
Voluntary compliance with speeding laws is preferable to coerced compliance that depends on costly enforcement actions. For this reason, researchers have also studied determinants of drivers’ speed choices that are not directly related to the enforcement of speeding laws. Such factors have included attitudes towards speeding [7,19,20,21], peer-related and other social contagion effects [6,22,23,24] and the effects of publicity campaigns [25]. It should be said that the distinction between enforcement-related and other determinants of drivers’ speed choices is not clear-cut in practice. For one thing, drivers’ attitudes towards speeding may be affected by the perceived legitimacy of traffic law enforcement [26] and the perceived degree of procedural justice in enforcement processes [27]. Furthermore, a comparison of attitudes regarding speeding and other aspects of driver behaviour in Serbia (where traffic laws were enforced at the time) and Northern Kosovo (where traffic law enforcement was for all practical purposes non-existent) indicated that attitudes may adapt to the intensity of law enforcement [28]. Nonetheless, at least some of these studies have suggested that traditional law enforcement activities are not the only policy handles for reducing the incidence and negative effects of speeding. Interventions aimed at changing drivers’ attitudes regarding speeding and speeding law enforcement may well be important complements to such activities.
These findings and their implications are important for South Africa, where the high incidence of speeding is a major road safety issue and a focus area of traffic law enforcement activities (see Section 2). As will also be pointed out in Section 2, however, weak enforcement of the payment of speeding fines has severely blunted the capacity of speed limits to reduce the incidence and negative effects of speeding in South Africa. Against this backdrop, this article presents the results of a survey that elicited information about the attitudes of motorists in Cape Town regarding speeding fines and aspects of the administration of traffic laws in South Africa. The questionnaire administered to participants contains direct questions about respondents’ fine-paying behaviour as well as statements with response options intended to yield information about factors that may influence such behaviour. These include instrumental considerations shaped by the effectiveness of law enforcement (e.g., the compliance and monetary costs of paying speeding fines and the sanctions for detection of non-payment) and normative factors influenced by the moral beliefs of drivers and their social groups as well as the perceived legitimacy of traffic laws and officials. Hence, the findings of this article augment those of earlier research on speeding fines that used willingness to pay techniques to study links between payment behaviour and instrumental considerations (e.g., References [29,30]). The responses presented in this article suggest that self-reported fine-paying behaviour correlates with instrumental factors shaped by the effectiveness of enforcement actions (e.g., compliance and monetary costs) and normative factors influenced by moral beliefs and the perceived legitimacy of traffic laws and the officials who administer them. In addition, the article contains regression results that provide evidence of a statistically significant relationship between the respondents’ self-reported fine-paying behaviour and their moral beliefs regarding payment of speeding fines. These results tentatively support the findings referred to above about the complementary nature of interventions to influence moral beliefs and steps to strengthen the enforcement of traffic laws. Hence, they are of interest for road safety management in other contexts as well.
The rest of the article is structured as follows. Section 2 provides background information about the road safety situation, speeding and traffic law enforcement in South Africa. Section 3 outlines a conceptual framework for studying law abidance that informed the survey questionnaire and aided interpretation of the results. Section 4 explains the survey method and presents sample statistics, while Section 5 presents results. The article concludes with Section 6, which discusses the policy implications of the results.

2. Road Safety, Speeding and Law Enforcement in South Africa

South Africa’s road safety outcomes are poor. In 2019, for example, 10,381 fatal crashes that claimed 12,503 lives occurred on South African roads [31]. A report with 2015 statistics [32] provides a broader perspective on the road safety situation in South Africa. In that year, South Africa suffered 832,431 road crashes, including 11,144 fatal and a further 40,117 major crashes. These caused 13,591 deaths, 62,520 serious injuries and 202,509 slight injuries, and cost an estimated 3.4% of the country’s gross domestic product (GDP) [32]. International comparisons show that the road traffic death rate as well as the total cost of road accidents are high in South Africa [33].
The available information indicates that speeding and other human factors (such as errors of judgment) cause large numbers of road accidents in South Africa. Roads and environmental factors accounted for 9% and vehicle-related factors for 5% of fatal road accidents in 2019, while human factors caused 85% [31]. In total, 10% of all fatal road accidents in that year were caused by speeding [31]. Actual measurements taken in 2010 confirmed the high incidence of speeding. During daytime, 30.1% of the drivers of light motor vehicles on urban roads and 21.1% of those who drove such vehicles on rural roads exceeded the relevant speed limits [31]. The corresponding night-time transgression rates were even higher, at 35.4% and 22.2% [31]. Large numbers of drivers of minibus taxis, buses and trucks also exceeded the speed limits.
The South African traffic authorities are well aware of the high incidence and damaging effects of speeding on the country’s roads, and intensively use visible monitoring as well as fixed and mobile speed cameras to deter and detect transgressions of speed limits (see, for example, Reference [33]). A large number of speeding fines are issued every year, and the authorities employ various media to notify drivers and remind them to pay their fines. Pending full implementation of the Administrative Adjudication of Road Traffic Offences (AARTO) Act (Act No 46 of 1998), which was signed into law by President Cyril Ramaphosa on 13 August 2019, the Criminal Procedure Act (Act No 51 of 1977) remains the legal framework for administering provisions of South Africa’s National Road Traffic Act (Act No 93 of 1996). In terms of this framework, violations of speeding and other traffic laws culminate in court proceedings unless transgressors pay admission-of-guilt fines within set periods after receiving postal notice of alleged violations. The system functions poorly, however: the authorities have acknowledged that fewer than 20% of all cases related to transgressions of traffic regulations are finalised with the fines paid [34]. Most transgressors routinely ignore speeding fines (even when summonsed to appear in court for doing so) without suffering any adverse consequences [33]. As was mentioned in Section 1, this reality badly undermines the authorities’ efforts to reduce the incidence of speeding.
The reasons provided on the AARTO website for the dismal fine payment rate include the unreliability of the postal system, widespread bribing of traffic officials, procedural flaws in the adjudication process that lead courts to refuse large numbers of traffic law-related cases and heavy caseloads that force some courts to hear only limited numbers of cases related to traffic law infringements [34]. The aim of this study is to explore a broader set of factors that may influence payment of speeding fines in South Africa, including behavioural ones.

3. Conceptual Framework

Figure 1 summarises a categorisation of reasons why people obey or disobey laws. This categorisation formed the conceptual framework that guided the development of the questionnaire used in the study as well as the interpretation of the responses. It is based on the ideas of Tyler [35], which in turn reflect a large body of theoretical research into law abidance.
According to Tyler [35], the two overarching perspectives on the reasons why people obey laws emphasise instrumental and normative considerations. Instrumental (or social control) perspectives argue that behaviour is driven by the desire to maximise personal gain and strongly influenced by aspects of the immediate environment [35]. One of the implications of these priors is that behaviour reflects perceptions about the rewards and penalties associated with obeying or disobeying laws. Rational choice theories of crime (e.g., Reference [17]), which revolve around the costs and benefits of engaging in criminal activity, are well-known examples of the instrumental approach to law abidance. It follows that authorities can control or modify behaviour by “manipulating access to valued social resources or by delivering or threatening to deliver sanctions” [35]. Put differently, policymakers can secure law abidance by means of measures that reward compliance and punish transgressions. In practice, authorities have focused mainly on measures meant to affect the cost of violating rules. These have revolved around deterrence-focused efforts to increase the likelihood and severity of punishment [35]. Hence, improving enforcement of rules features prominently in instrumental approaches to enhancing the effectiveness of laws and other rules.
Normative perspectives downplay the influence on law abidance of self-interest seeking and cost-benefit considerations. Instead, they emphasise the effects on behaviour of internalised norms of what is just and moral—in normative approaches, persons deem law abidance appropriate because their attitudes about acceptable behaviour demand it [35]. People with such attitudes would voluntarily commit themselves to obeying laws, irrespective of their perceptions of the risks of non-abidance. Tyler [35] identifies two sources of normative commitments to law abidance, namely moral principles and legitimacy. Each of these sources of voluntarily assumed obligations to obey laws has two building blocks. The moral principles that undergird normative commitment can be rooted in personal ethical views and in those of influential social groups such as family members and close friends [35], while legitimacy derives from perceptions about the fairness of the laws per se and the deemed authority of those who make, administer and enforce the laws [35]. Normative perspectives suggest various interventions to increase law abidance that range from moral suasion to efforts to improve procedural justice and ensure respectful and fair treatment of citizens by officials. Put differently, normative approaches to enhancing the effectiveness of laws and other rules focus on measures aimed at changing norms and attitudes and on improving the enforcement of rules.
This categorisation proved ideal for the development of the questionnaire and the interpretation of the responses. However, at least two limitations should be noted. First, it reflects choices about the nature of some motives for obeying laws that could be disputed. To name but one example: while Figure 1 categorizes the ethics of influential social groups as a morality-related normative factor, it could also be argued that it is an instrumental factor because failure to act in accordance with the ethical precepts of members of such groups may bring costs in the form of displeasure or ostracism [35]. For a more detailed discussion of the interplay of instrumental and normative determinants of criminal activity, see Reference [36]. Second, the categorisation is fairly aggregated in nature, and finer-grained ones with more nuanced policy implications may well be possible. Thus, Jackson et al. [37] pointed out that categorisations of the normative determinants of law abidance may be enhanced by distinguishing in any given context between the legitimacy of specific laws (for example, speeding laws) and the general legitimacy of the law.

4. Research Method and Sample Statistics

The survey was conducted in Cape Town amongst South African citizens and permanent residents with driver’s licenses. Stellenbosch University granted ethical clearance for the project (No REC-2019-10108), and the University’s Centre for Statistical Consultation determined the appropriate sample size. The research team contracted the Department of Global Health in the Faculty of Medicine and Health Sciences at Stellenbosch University, which has expertise in conducting surveys, to collect and capture the data. As was stated earlier, the development of the questionnaire was informed by the conceptual framework outlined in Figure 1.
To obtain a reasonably representative sample of drivers in the City of Cape Town, the research team used purposive sampling to select the areas in which the questionnaires were administered at shopping malls. The managers of a geographically dispersed set of four malls (Bayside Mall in Bloubergstrand, Khayelitsha Mall in Khayelitsha, Longbeach Mall in Noordhoek and the Parow Centre in Parow) consented to administration of the survey. The field workers approached visitors and asked a screening question to establish whether they have a driver’s license. Those who did were requested to complete the survey, which took fewer than ten minutes. The sample size for the survey was chosen as 400 respondents to enable accurate estimation of proportions from the survey questions (a sample size of 400 respondents is required to obtain a confidence interval for a proportion with 95% confidence and a margin of error of 4.9%).
The respondents hailed from 65 suburbs in and around Cape Town with varying levels of socio-economic development. Table 1 shows that 76.2% of the respondents were men (which roughly aligns with the gender distribution of driver’s licenses), while 88.5% were above the age of 44. Some 41.0% of them had completed tertiary studies and a further 51.7% secondary schooling. The main home languages of the respondents were English (37.7%) and isiXhosa (37.2%).

5. Results and Discussion

In total, 272 of the 400 participants (68% of the total) indicated that they have been fined for speeding. The responses of four of them could not be used because they contradicted themselves or failed to answer some questions. Responses to a core question about fine-paying behaviour formed the basis for dividing the other 268 participants who have received speeding fines into three groups: the 169 (62.1%) who reported that they always pay speeding fines, the 70 (25.7%) who reported that they sometimes do so and the 29 (10.7%) who reported that they never pay speeding fines. These self-reported payment rates may well reflect a large number of “social-desirability responses”, that is, ones that others would regard favourably [38]. As was pointed out in Section 2, the authorities have acknowledged that fewer than 20% of all cases related to transgressions of traffic regulations are finalised with the fines paid; similarly, Du Plessis et al. [33] found that only 26% of all traffic fines issued in the City of Cape Town from July 2014 to July 2016 had been paid by the end of August 2016. Speeding fines make up a large fraction of all traffic fines issued in South Africa [33]. However, it should be pointed out that the bulk of those who stated that they always pay speeding fines also indicated that they rarely faced such decisions: 72% of them claimed that they had received no or only one such fine during the previous twelve months. Hence, their responses may have been distorted by recall bias. Another possibility is that non-payers generally receive far more speeding fines than payers do.
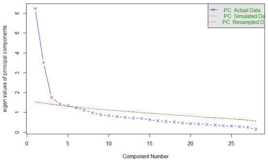
One module in the questionnaire used a four-point Likert scale (“Strongly Disagree”, “Disagree”, “Agree” and “Strongly Agree”) to elicit responses to 28 statements about speeding, payment of speeding fines and the administration of traffic laws. These statements, which are listed in Table 2, were intended to obtain information about the participants’ views regarding the five sets of factors identified in the conceptual framework in Section 3. More specifically, eight of the statements had to do with instrumental considerations, five each with personal morality and social group morality considerations, four with legitimacy of laws considerations and the remaining six with legitimacy of law-makers’ considerations. As a first step, a Principal Component Analysis (PCA) was undertaken to check the validity of this grouping of the statements into the five sets of factors suggested by the conceptual framework.
Analysis of the PCA eigenvalues showed that the ideal number of factors to estimate from the 28 statements is five (see Figure 2). This finding, however, merely confirms the existence of five major directions of variance. Hence, it is necessary also to establish whether these major directions of variance align well the five sets of considerations in the conceptual framework. The PCA bi-plot visualisation in Figure 3 is useful for this purpose. Broadly speaking, it confirms a degree of grouping among the statements associated with each of the five sets of considerations. The extent of such grouping varies across the sets of consideration, though: the statements associated with personal morality considerations (“PM”; Cronbach’s alpha = 0.759) and legitimacy of law-makers’ considerations (“LL”; Cronbach’s alpha = 0.739) are tightly grouped, while those associated with instrumental considerations (“I”; Cronbach’s alpha = 0.586), social group morality considerations (“SGM”; Cronbach’s alpha = 0.528) and legitimacy of laws considerations (“LTL”; Cronbach’s alpha = 0.658) are less so.
For each of the 28 statements, Table 2 shows the numbers of participants who have received speeding fines who responded with “Agree” or “Strongly Agree”. The last four columns in the table contain p-values derived from the Kruskal–Wallis test—a non-parametric method for testing whether samples originate from the same distribution. On balance, the information in Table 2 strongly suggests that the sets of considerations included in the conceptual framework matter to the respondents. It is also notable that the response patterns of individuals in the various self-reported fine-paying categories often differed markedly. The first column of p-values shows that these differences were statistically significant at the 1% level for 11 of the statements, at the 5% level for a further three and at the 10% level for three others. The last three columns contain p-values for pairwise tests. These tests suggested that the intergroup differences in response patterns are driven mainly by differences between the participants who claimed that they always pay speeding fines and those who indicated that they never do so, as well as by differences between those who claimed that they always pay and their counterparts who claimed to do so sometimes. By comparison, relatively few of the differences between those who indicated that they never pay speeding fines and those who claimed that they sometimes do were statistically significant at conventional levels. These findings partly motivated the decision to use a binary outcome variable (based on the distinction between participants who claimed that they always pay and those who indicated that they sometimes or never do) in the regression analyses reported elsewhere in this section
The participants’ responses to statements related to instrumental considerations suggested that the consequences of non-payment as well as the financial and compliance costs of speeding fines matter to them. Thus, large proportions of the respondents in all three groups claimed that they would settle their fines if not doing so had serious consequences (Statement 13). Non-renewal of their driver’s licenses seemed to be one such consequence, albeit one of lesser concern to self-reported non-payers (Statement 22). Irrespective of self-reported fine payment habits, the vast majority of the respondents indicated that they would settle their fines if the amount was halved if paid within three months (Statement 5). It is not clear why the respondents in all three groups regarded the threat of the fine being doubled if not settled within three months as a weaker incentive (Statement 6).
There were notable differences in the groups’ responses to four of the eight statements related to instrumental considerations. In three cases, the differences were statistically significant at the 1% level. Compared to those who indicated that they sometimes or never pay speeding fines, participants who claimed that they always do so were far less likely to express misgivings about the affordability of speeding fines (Statement 1) but, unsurprisingly, also markedly more sensitive to the threat of doubling of fines not settled within three months (Statement 6). By contrast, self-reported occasional payers and non-payers were much more inclined than self-reported consistent payers were to regard the process of paying speeding fines as complicated (Statement 18). Responses to the statement “It is time-consuming to pay speeding fines” (Statement 17) yielded similar differences. However, fewer than half of the individuals in each group agreed with that statement, and the differences among groups were not statistically significant at conventional levels. Given the well-known weaknesses of the fine-enforcement system referred to earlier, it was surprising that overwhelming numbers of respondents in all three groups disagreed with the statement that non-payment has no consequences (Statement 9). Such disagreement was markedly most common among those who claim that they never pay speeding fines, though, and the differences in the disagreement rates of the three groups were significant at the 10% level.
The patterns of responses to the five statements about personal morality considerations were characterised by stark differences that were all statistically significant at the 1% level. Such considerations seemingly matter greatly to participants who claimed that they always pay speeding fines: the vast majority of them agreed that transgressors should submit themselves to sanctions (Statement 2) and that neither own appraisals of guilt and the consequences of speeding (Statements 7 and 19) nor the habits of others (Statements 10 and 14) should have any bearing on fine payment decisions. While such considerations seemingly carried less weight in the other two groups, all but one of the five statements were endorsed by the majority of the respondents who self-identified as occasional payers of speeding fines or as non-payers.
Large fractions of the participants in all three groups indicated that their family members and close friends believed that transgressors of speeding laws should always pay their fines (Statement 3). This fraction was especially large among those who claimed that they always pay fines; furthermore, the differences among the three fractions were significant at the 5% level. This suggests, albeit tentatively, that the beliefs of these social groups may have influenced the participants’ fine payment decisions. In principle, the reactions of family members and close friends to non-payment of fines could have been a source of such influence. Hence, it is notable that those who claimed to be unfailing payers of speeding fines were far more likely to agree with Statement 11 (“My family members and close friends would be disappointed in me if I did not pay my speeding fines”) than participants in the other two groups were. The differences among these proportions were statistically significant at the 1% level. On the other hand, the reality that most South Africans were well aware of the low payment rates—fewer than 40% of the participants in all three groups concurred with the statements that most motorists in the Western Cape and in South Africa as a whole pay speeding fines (Statements 25 and 26)—probably meant that motorists apprehended for speeding felt little pressure from society in general to settle their dues.
Speeding laws per se commanded considerable legitimacy in the eyes of the respondents; in fact, more than 90% of the participants in each of the three groups acknowledged that speed limits were important for road safety (Statement 28). This conviction possibly influenced fine payment behaviour: it was almost ubiquitous among those who claimed that they always pay speeding fines, and the differences in its prevalence in the three groups were statistically significant at the 1% level. However, the respondents in all three sub-groups seemed markedly less sanguine about the current effectiveness of South Africa’s speeding fine system (Statement 24). The reality that the intergroup differences in agreement rates with this statement was significant at the 5% level suggested that this aspect of the legitimacy of the laws possibly also influenced fine payment behaviour.
The perceived purpose of the speeding fine system may have been one of the factors that shaped beliefs about its effectiveness. Although more than 75% of those in each of the self-reported categories of fine payment behaviour expressed the belief that speed limits are intended to promote road safety (Statement 21), non-trivial fractions of them also endorsed Statement 20 (“The purpose of speeding fines is to generate money”). It was notable that in total, 72.4% of those who indicated that they never pay fines agreed with Statement 20—a percentage that was not all that different from the 75.9% of the same group who expressed the belief that speed limits are meant to promote road safety. The possible salience of the perceived purpose of the speeding fine system was underscored by the strong statistical significance of differences in rates of agreement with Statement 20.
The survey questions grouped under the rubric “Legitimacy of law-makers’ considerations” relate to the perceived performance of traffic officials and perceptions about the courts’ handling of traffic offences. On balance, respondents who claimed that they always pay speeding fines assessed these aspects of the administration of traffic laws in South Africa more favourably than did those who indicated that they sometimes or never settle fines. Nonetheless, relatively large numbers of the respondents in each of the three groups expressed misgivings about these matters. Even among self-reported regular payers of speeding fines, nearly 50% felt that traffic officers do not treat all road users fairly (Statement 8), while 37% disagreed with the statement that the courts treat all South Africans accused of traffic violations fairly (Statement 15) and 40% endorsed Statement 12 (“Most traffic officers are corrupt”). The responses of large fractions of the participants who indicated that they never or sometimes pay speeding fines also pointed to widespread distrust in the effectiveness and fairness of the speeding fine enforcement system. This reflected issues such as the perceived lack of effort on the part of traffic officers (Statement 4), widespread failure to observe the correct procedures while prosecuting persons accused on traffic law violations (Statement 16) and unnecessary speeding by traffic officers themselves (Statement 27).
The responses of participants who have not received speeding fines differed from those who have in several respects. Table 3 lists those differences that were statistically significant at conventional levels (for the purpose of compiling this table, the responses of all participants who have received speeding fines were consolidated, irrespective of their self-reported payment behaviour). The p-values in Table 3 were also derived from Kruskal–Wallis tests.
It is unpleasant to be apprehended for speeding and to be fined; hence, some rancor among transgressors regarding the fine enforcement system is to be expected. However, the extent of some of the differences shown in Table 3 suggests that personal experience of the South African speeding fine enforcement system often undermines its legitimacy and perceived effectiveness. This is particularly noticeable from the responses to statements about the legitimacy of law-makers. Thus, it is clear that participants who have been fined for speeding were less sanguine about the performance and fairness of traffic officials than their peers who have never been fined (Statements 4, 8 and 27). The responses to assertions about the fairness of the courts and the procedural integrity of prosecutions of speeding offences revealed similar differences among participants in the two groups (Statements 15 and 16). In addition, participants who have received speeding fines had a relatively more accurate sense of the extent of payment in the Western Cape and in South Africa as a whole (Statements 25 and 26) and were markedly more likely to endorse the statements that the purpose of speeding fines is to make money (Statement 20) and that non-payment of such fines will not have consequences (Statement 9). On a more positive note, experience of the fine enforcement system did seem to affect instrumental considerations in ways that might discourage speeding: compared to those who have not been apprehended for speeding, participants who have received speeding fines expressed greater concern about the monetary cost of fines (Statement 1) and the time-consuming nature of settling them (Statement 17).
Table 4 contains the results of two binary logistic regressions. The dependent variable is a binary variable equal to one if respondents claimed that they always pay their speeding fines and zero if they indicated that they sometimes or never do so. The predictor variables include the principal components derived from the 28 opinion-based variables (i.e., those that align with the theoretical constructs included in the conceptual framework), as well as several demographic controls. Estimated standard errors are clustered around a district variable which controls for within-group residual correlations based on the specific area within the Western Cape in which the respondent lives. It is important to note that the intention of these models is not to derive a quantifiable measure of the relationship between variables of interest. Rather, what is of interest here is the determination of significant predictors of fine-paying behaviour. Therefore, the most important aspects of the results are the statistical significance of coefficients as well as their relative magnitude.
Both models in Table 4 show that the principal component that acts as an index variable for personal morality considerations is a strongly significant predictor of fine paying behaviour. In fact, personal morality considerations are the sole significant predictor in the first model, which only contained the five principal components. It retained its significance when demographic control variables were added in the second model. Among these, the education level of participants was the only significant predictor (at the 10% level) of self-reported fine payment behaviour.

6. Conclusions

The evidence presented in this article suggests that all five sets of considerations incorporated in the conceptual framework outlined in Section 3 mattered to the survey participants. Moreover, the significance of some of the differences in the response patterns of participants who claimed that they always, sometimes and never pay speeding fines indicates that these considerations may also influence payment behaviour. At first blush, the influence of instrumental considerations seems weaker than might have been expected. In the South African context, this may well reflect the extent to which motorists have become accustomed to a poorly functioning speeding fine enforcement system. Nonetheless, the responses to several questions and statements confirmed that rewards (e.g., discounts for quick settlement of speeding fines) and credible threats of sanctions (such as non-renewal of driver’s licenses until outstanding fines had been settled) may well influence the willingness of motorists to pay their fines. Further confirmation of the potential strength of instrumental considerations comes from a survey question that has not been discussed thus far, which asked respondents to indicate how likely they were to pay speeding fines delivered to them in various formats. The response patterns were similar across the various groups of respondents for fines delivered by ordinary mail, registered mail, e-mail and text messages. However, the self-reported likelihood of paying was markedly higher for fines delivered by registered mail with a court summons—especially among respondents who indicated that they never or only sometimes pay speeding fines. The reality that instrumental considerations are closely linked to the effectiveness of law enforcement underscores the importance of strengthening this aspect of the administration of traffic laws in South Africa.
It is often straightforward to identify problems affecting the enforcement of traffic laws and to design remedies. Thus, the AARTO Act mentioned in Section 2 provides for administrative adjudication of the vast majority of traffic law infringements in South Africa, a streamlined fine system and a demerit points system that would punish repeat offenders by suspending or cancelling their driving licenses. It follows that speedy and effective implementation of the AARTO legislation should go a long way to establishing a clear policy framework that relieves the pressure on the overburdened courts, restores the legitimacy of enforcement procedures and credibly threatens transgressors of speeding and other traffic laws with appropriate sanctions. Yet therein lies the rub: many good laws have been neutered in South Africa and elsewhere by poor implementation.
Given the costliness of law enforcement and the ever-present threat of implementation failure, it is notable that personal morality and some social group morality considerations seemingly also mattered to the survey participants and that statistically significant associations existed between self-reported fine payment behaviour and the beliefs that influenced such considerations. The prominence of personal considerations in the logistic regression analysis was especially important. As was suggested by some of the studies referred to in Section 1, measures targeted at such beliefs therefore may also reduce the incidence of speeding. Although the media campaigns that the South African traffic authorities have long used to promote safe driving and payment of fines have had limited success, the insights of behavioural economists and social psychologists should make it possible to design more effective interventions aimed at influencing South African and other road users’ attitudes and beliefs regarding speeding and paying of speeding fines. Published examples of analyses of speeding based on psychological theories have included the applications of the well-known theory of planned behaviour (e.g., References [7,19,20]) developed by Ajzen [38]. A companion paper to this article [39] uses the theory of planned behaviour to interpret some of the survey findings.
Reference was made earlier to the possibility that the perceived legitimacy of traffic law enforcement and the perceived degree of procedural justice in enforcement processes may influence driver’s attitudes towards speeding. The results of this survey suggest that this effect possibly extends to the payment of speeding fines. Hence, efforts to improve the enforcement of speeding and other traffic laws and to change the beliefs and attitudes of drivers should not overlook the importance of eradicating bribery and ensuring fair treatment of road users by traffic officials and the court system.
At least two limitations of the study should be noted. The first is that the survey was limited to the City of Cape Town. While there are no obvious reasons for surmising that fine payment behaviour would be influenced by different factors in other parts of South Africa (or, for that matter, in other countries), the policy relevance of the study would be enhanced by replication in other contexts. A second limitation is that it is difficult to judge the degree to which social desirability considerations influenced responses to questions other than the direct one about fine payment behaviour. The reliability of the results and their value for policymakers clearly would be reduced if such considerations had strongly influenced the participants’ responses. This limitation, too, points to the importance of replication and further research based on alternative questions and statistical analyses.

Author Contributions

J.B., S.d.P., A.J., and K.S., the four authors, contributed in equal parts to the development of the survey, data analysis and reporting of the results. All authors have read and agreed to the published version of the manuscript.

Funding

This paper is one of the outputs of a project on traffic law enforcement in South Africa funded by the National Research Foundation (awarded to Sophia du Plessis). This work was also partly funded by the South African Medical Research Council (SAMRC) through the Mid-career Scientist Programme (awarded to Jason Bantjes). The authors gratefully acknowledge this funding. The views expressed here are not those of the NRF or the SAMRC.

Institutional Review Board Statement

The study received ethical clearance from the Research Ethics Committee: Human Research (Humanities), Stellenbosch University on the 25 June 2019 (REC-2019-10108).

Informed Consent Statement

Informed consent was obtained from all subjects involved in the study.

Data Availability Statement

The anonymised data is available on request from the corresponding author.

Acknowledgments

The authors would like to acknowledge the technical support provided by Daan Nel and Alex O’Riordan, both from Stellenbosch University.

Conflicts of Interest

The authors declare no conflict of interest.

References

  1. Aarts, L.; Van Schagen, I. Driving speed and the risk of road crashes: A review. Accid. Anal. Prev. 2006, 38, 215–224. [Google Scholar] [CrossRef]
  2. Afukaar, F.K. Speed control in developing countries: Issues, challenges and opportunities in reducing road traffic injuries. Inj. Control Saf. Promot. 2003, 10, 77–81. [Google Scholar] [CrossRef]
  3. Richter, E.D.; Berman, T.; Friedman, L.; Ben-David, G. Speed, road injury, and public health. Annu. Rev. Public Health 2006, 27, 125–152. [Google Scholar] [CrossRef]
  4. World Health Organisation. World Report on Road Traffic Injury Prevention; World Health Organisation: Geneva, Switzerland, 2004. [Google Scholar]
  5. Zaal, D. Traffic Law Enforcement: A Review of the Literature. 1994. Available online: https://www.monash.edu/muarc/archive/our-publications/reports/muarc053 (accessed on 1 December 2020).
  6. Connolly, T.; Åberg, L. Some contagion models of speeding. Accid. Anal. Prev. 1993, 25, 57–66. [Google Scholar] [CrossRef]
  7. Mehmood, A. Determinants of speeding behavior of drivers in Al Ain, United Arab Emirates. J. Transp. Eng. 2009, 135, 721–729. [Google Scholar] [CrossRef]
  8. Høye, A. Safety effects of fixed speed cameras–An empirical Bayes evaluation. Accid. Anal. Prev. 2015, 82, 263–269. [Google Scholar] [CrossRef] [PubMed]
  9. De Waard, D.; Rooijers, T. An experimental study to evaluate the effectiveness of different methods and intensities of law enforcement on driving speed on motorways. Accid. Anal. Prev. 1994, 26, 751–765. [Google Scholar] [CrossRef]
  10. Delhaye, E. The enforcement of speeding: Should fines be higher for repeated offences? Transp. Plan. Technol. 2007, 30, 355–375. [Google Scholar] [CrossRef][Green Version]
  11. Du Plessis, S.W.F.; Hartig, B.; Jansen, A.I.; Siebrits, F.K. Improving payment of traffic fines with financial incentives: Discounts versus penalties. Transp. Res. Part F Psychol. Behav. 2020, 74, 298–306. [Google Scholar] [CrossRef]
  12. Factor, R. The effect of traffic tickets on road traffic crashes. Accid. Anal. Prev. 2014, 64, 86–91. [Google Scholar] [CrossRef] [PubMed]
  13. Gehrsitz, M. Speeding, punishment, and recidivism: Evidence from a regression discontinuity design. J. Law Econ. 2017, 60, 497–528. [Google Scholar] [CrossRef]
  14. Lawpoolsri, S.; Li, J.; Braver, E.R. Do speeding tickets reduce the likelihood of receiving subsequent speeding tickets? A longitudinal study of speeding violators in Maryland. Traffic Inj. Prev. 2007, 8, 26–34. [Google Scholar] [CrossRef] [PubMed]
  15. Traxler, C.; Westermaier, F.G.; Wohlschlegel, A. Bunching on the Autobahn? Speeding responses to a “notched” penalty scheme. J. Public Econ. 2018, 157, 78–94. [Google Scholar] [CrossRef]
  16. Watson, B.; Siskind, V.; Fleiter, J.J.; Watson, A.; Soole, D. Assessing specific deterrence effects of increased speeding penalties using four measures of recidivism. Accid. Anal. Prev. 2015, 84, 27–37. [Google Scholar] [CrossRef] [PubMed]
  17. Becker, G.S. Crime and punishment: An economic approach. J. Political Econ. 1968, 76, 169–217. [Google Scholar] [CrossRef]
  18. Polinsky, A.M.; Shavell, S. The economic theory of public enforcement of law. J. Econ. Lit. 2000, 38, 45–76. [Google Scholar] [CrossRef]
  19. Javid, M.A.; Al-Hashimi, A.R. Significance of attitudes, passion and cultural factors in driver’s speeding behavior in Oman: Application of theory of planned behavior. Int. J. Inj. Control Saf. Promot. 2019, 27, 172–180. [Google Scholar] [CrossRef]
  20. Elliott, M.A.; Armitage, C.J.; Baughan, C.J. Drivers’ compliance with speed limits: An application of the theory of planned behavior. J. Appl. Psychol. 2003, 88, 964–972. [Google Scholar] [CrossRef]
  21. De Pelsmacker, P.; Janssens, W. The effect of norms, attitudes and habits on speeding behavior: Scale development and model building and estimation. Accid. Anal. Prev. 2007, 39, 6–15. [Google Scholar] [CrossRef] [PubMed]
  22. Fleiter, J.J.; Lennon, A.; Watson, B. How do other people influence your driving speed? Exploring the “who” and the “how” of social influences on speeding from a qualitative perspective. Transp. Res. Part F Psychol. Behav. 2010, 13, 49–62. [Google Scholar] [CrossRef]
  23. Møller, M.; Haustein, S. Peer influence on speeding behaviour among male drivers aged 18 and 28. Accid. Anal. Prev. 2014, 64, 92–99. [Google Scholar] [CrossRef]
  24. Truelove, V.; Freeman, J.; Szogi, E.; Kaye, S.; Davey, J.; Armstrong, K. Beyond the threat of legal sanctions: What deters speeding behaviours? Transp. Res. Part F Psychol. Behav. 2017, 50, 128–136. [Google Scholar] [CrossRef]
  25. Tay, R. The effectiveness of enforcement and publicity campaigns on serious crashes involving young male drivers: Are drink driving and speeding similar? Accid. Anal. Prev. 2005, 37, 922–929. [Google Scholar] [CrossRef] [PubMed]
  26. Watling, C.; Leal, N. Exploring perceived legitimacy of traffic law enforcement. In Proceedings of the 2012 Australasian College of Road Safety National Conference, Sydney, Australia, 9–10 August 2012. [Google Scholar]
  27. Bates, L.; Allen, S.; Watson, B. The influence of the elements of procedural justice and speed camera enforcement on young novice driver self-reported speeding. Accid. Anal. Prev. 2016, 92, 34–42. [Google Scholar] [CrossRef] [PubMed]
  28. Stanojević, P.; Jovanović, D.; Lajunen, T. Influence of traffic enforcement on the attitudes and behavior of drivers. Accid. Anal. Prev. 2013, 52, 29–38. [Google Scholar] [CrossRef] [PubMed]
  29. Jou, R.-C.; Henscher, D.; Chen, K.-H. Freeway drivers’ willingness to pay for speeding fines. Transp. Lett. 2014, 6, 14–22. [Google Scholar] [CrossRef]
  30. Donnelly, N.; Poynton, S.; Weatherburn, D. Willingness to pay a fine. In Crime and Justice Bulletin No. 195; New South Wales Bureau of Crime Statistics and Research: Sydney, Australia, 2016. [Google Scholar]
  31. Road Traffic Management Corporation. State of Road Safety Report—January-December 2019. Available online: https://www.rtmc.co.za/images/rtmc/docs/traffic_reports/calendar/caldec2019.pdf (accessed on 4 February 2020).
  32. Council for Scientific and Industrial Research. Costs of Crashes in South Africa (2016). Available online: https://www.rtmc.co.za/images/rtmc/docs/research_dev_rep/September%202016.pdf (accessed on 16 April 2017).
  33. Du Plessis, S.W.F.; Jansen, A.I.; Siebrits, F.K. The limits of laws: Traffic law enforcement in South Africa. S. Afr. J. Econ. Manag. Sci. 2020, 23, 1–11. [Google Scholar] [CrossRef]
  34. AARTO. Background. Available online: http://www.aarto.gov.za/index.php/background (accessed on 2 May 2019).
  35. Tyler, T.R. Why People Obey the Law; Princeton University Press: Princeton, NY, USA, 2006. [Google Scholar]
  36. Kroneberg, C.; Heintze, I.; Mehlkop, G. The interplay of moral norms and instrumental incentives in crime causation. Criminology 2010, 48, 259–294. [Google Scholar] [CrossRef]
  37. Jackson, J.; Bradford, B.; Hough, M.; Myhill, A.; Quinton, P.; Tyler, T.R. Why do people comply with the law? Br. J. Criminol. 2012, 52, 1051–1071. [Google Scholar] [CrossRef]
  38. Ajzen, I. The theory of planned behavior. Organ. Behav. Hum. Decis. Process. 1991, 50, 179–211. [Google Scholar] [CrossRef]
  39. Bantjes, J.; Du Plessis, S.W.F.; Jansen, A.I.; Siebrits, F.K. Motorists’ Perceptions of Factors that Influence Payment of Speeding Fines in South Africa; Unpublished Paper; Stellenbosch University: Stellenbosch, South Africa, 2020. [Google Scholar]
Figure 1. Considerations affecting law abidance decisions. Source: Adapted from Tyler [35].
Figure 1. Considerations affecting law abidance decisions. Source: Adapted from Tyler [35].
Sustainability 13 05028 g001
Figure 2. Principal Component Analysis scree plot.
Figure 2. Principal Component Analysis scree plot.
Sustainability 13 05028 g002
Figure 3. Principal Component Analysis visualisation of groupings.
Figure 3. Principal Component Analysis visualisation of groupings.
Sustainability 13 05028 g003
Table 1. Demographic characteristics of the 400 survey participants.
Table 1. Demographic characteristics of the 400 survey participants.
CharacteristicsNumber (%)
GenderMale305(76.2%)
Female92(23.0%)
Preferred not to say2(0.5%)
Missing values1(0.3%)
Age20–44220(55.0%)
45–65134(33.5%)
66–7525(6.3%)
76+13(3.2%)
Missing values8(2.0%)
Level of educationPrimary28(7.0%)
Secondary207(51.7%)
Tertiary164(41.0%)
Missing values1(0.3%)
Home languageAfrikaans74(18.5%)
English151(37.7%)
isiXhosa149(37.2%)
Other26(6.6%)
Table 2. Responses of recipients of fines by self-reported fine payment categories.
Table 2. Responses of recipients of fines by self-reported fine payment categories.
StatementsResponses: “Agree” or “Strongly Agree”Kruskal-Wallis p Values
NeverSometimesAlwaysNever,Never,Never,Sometimes,
(n = 29)(n = 70)(n = 169)Sometimes,SometimesAlwaysAlways
Always
Instrumental considerations
1I can afford to pay speeding fines.10(34.5%)37(52.9%)107(63.3%)0.0060 ***0.10120.0053 ***0.0474 **
5I would pay my speeding fines if a 50% discount is given for paying within 3 months.25(86.2%)68(97.1%)163(96.4%)0.12250.0583*0.0523 *0.7979
6I would pay my speeding fines if I knew that the fine would be doubled if I had not paid it within 3 months.15(51.7%)36(51.4%)124(73.4%)0.0026 ***0.99040.0252 **0.0023 ***
9Nothing would happen if I don’t pay my speeding fines.7(24.1%)12(17.1%)13(7.7%)0.0511 *0.52590.0511 *0.0652 *
13I would pay my speeding fines if not doing so had serious consequences.23(79.3%)61(87.1%)147(87.0%)0.23790.63710.19160.1969
17It is time-consuming to pay speeding fines.14(48.3%)33(47.1%)58(34.3%)0.29060.88980.41920.1339
18It is complicated to pay speeding fines.19(65.5%)44(62.9%)69(40.8%)0.0003 ***0.90850.0100 **0.0004 ***
22I would pay my speeding fines if I am not allowed to renew my driver’s license with outstanding fines against my name.21(72.4%)59(84.3%)144(85.2%)0.79380.88900.61020.5842
Personal morality considerations
2Transgressors should always pay their speeding fines.22(75.9%)54(77.1%)156(92.3%)0.0051 ***0.93570.0394 **0.0034 ***
7I pay my fines when I know that I was guilty of violating speed limits.18(62.1%)58(82.9%)150(88.8%)0.0001 ***0.0284 **0.0001 ***0.0049 ***
10I pay my speeding fines even if most South Africans don’t.16(55.2%)51(72.9%)158(93.5%)0.0001 ***0.0837 *0.0001 ***0.0001 ***
14I should pay my speeding fines even if my family members and close friends don’t.17(58.6%)57(81.4%)165(97.6%)0.0001 ***0.0174 **0.0001 ***0.0002 ***
19I pay my speeding fines even if my speeding did not endanger my life or the lives of others.14(48.3%)54(77.1%)159(94.1%)0.0001 ***0.0239 **0.0001 ***0.0001 ***
Social group morality considerations
3My family members and close friends believe that people should always pay their speeding fines.22(75.9%)50(72.5%)148(87.6%)0.0207 **0.80780.0418 **0.0200 **
11My family members and close friends would be disappointed in me if I did not pay my speeding fines.16(55.2%)44(63.8%)138(81.7%)0.0083 ***0.25250.0076 ***0.0339 **
23Other motorists will pay their speeding fines if they are not allowed to renew their driver’s licences with outstanding fines against their names.23(79.3%)59(85.5%)154(91.1%)0.16230.76810.16510.1148
25Most motorists in South Africa pay their speeding fines.10(34.5%)24(34.8%)61(36.1%)0.90470.87750.69450.7673
26Most motorists in the Western Cape pay their speeding fines.7(24.1%)22(31.9%)60(35.5%)0.19380.27490.0763 *0.4486
Legitimacy of laws considerations
20The purpose of speeding fines is to generate money.21(72.4%)37(52.9%)71(42.0%)0.0092 ***0.0720 *0.0028 ***0.1790
21The purpose of speeding fines is to promote road safety.22(75.9%)58(82.9%)148(87.6%)0.71570.91680.56450.4893
24The current system of speeding fines is an effective way to get motorists to obey speed limits.18(62.1%)45(64.3%)135(79.9%)0.0554 *0.93640.17060.0241 **
28Speed limits are important to make roads safer.27(93.1%)64(91.4%)167(98.8%)0.0074 ***0.50880.15380.0025 ***
Legitimacy of law-makers’ considerations
4Traffic officers do their best to make our roads safer.15(51.7%)39(55.7%)114(67.5%)0.0363 **0.50380.0341 **0.0593 *
8Traffic officers treat all road users fairly.12(41.4%)25(35.7%)85(50.3%)0.0272 **0.93880.0893 *0.0166 **
12Most traffic officers are corrupt.15(51.7%)33(47.1%)68(40.2%)0.13650.12800.0457 **0.6482
15The courts treat all South Africans accused of traffic violations fairly.12(41.4%)37(52.9%)108(63.9%)0.0681 *0.32410.0324 **0.1697
16The correct procedures are always followed in South Africa when individuals are prosecuted for speeding violations.10(34.5%)38(54.3%)98(58.0%)0.0979 *0.15750.0294 **0.5008
27Traffic officers set a good example for all by complying with speeding laws.16(55.2%)39(55.7%)106(62.7%)0.48500.86280.55040.2491
Note: *** indicates significance at the 1% level, ** significance at the 5% level and * significance at the 10% level.
Table 3. Responses of recipients and non-recipients of speeding fines.
Table 3. Responses of recipients and non-recipients of speeding fines.
StatementResponses: “Agree” or “Agree” Stronglyp Values
Have Received FinesHave Not Received Fines
(n = 268)(n = 128)
Instrumental considerations
1I can afford to pay speeding fines.154(57.4)100(78.1)0.0001 ***
6I would pay my speeding fines if I knew that the fine would be doubled if I had not paid it within 3 months.175(65.3)77(60.2)0.0855 *
13I would pay my speeding fines if not doing so had serious consequences.231(86.2)105(82.0)0.0117 **
17It is time-consuming to pay speeding fines.105(39.2)36(28.1)0.0068 ***
Social group morality considerations
11My family members and close friends would be disappointed in me if I did not pay my speeding fines.198(73.9)106(82.8)0.0106 **
25Most motorists in South Africa pay their speeding fines.95(35.4)66(51.6)0.0007 ***
26Most motorists in the Western Cape pay their speeding fines.89(33.2)64(50.0)0.0005 ***
Legitimacy of the law considerations
20The purpose of speeding fines is to generate money.129(48.1)47(36.7)0.0599 *
28Speed limits are important to make roads safer.258(96.3)126(98.4)0.0715 *
Legitimacy of law-makers’ considerations
4Traffic officers do their best to make our roads safer.168(62.7)103(80.5)0.0010 ***
8Traffic officers treat all road users fairly.122(45.5)74(57.8)0.0587 *
15The courts treat all South Africans accused of traffic violations fairly.157(58.6)90(70.3)0.0089 ***
16The correct procedures are always followed in South Africa when individuals are prosecuted for speeding violations.146(54.5)89(69.5)0.0095 ***
27Traffic officers set a good example for all by complying with speeding laws.161(60.1)89(69.5)0.0636 *
Note: *** indicates significance at the 1% level, ** significance at the 5% level and * significance at the 10% level.
Table 4. Binary logistic regression results.
Table 4. Binary logistic regression results.
Explanatory Variable(1)(2)
Instrumental considerations PC0.0470.078
(0.138)(0.147)
Personal morality considerations PC0.627 ***0.626 ***
(0.162)(0.164)
Social group morality considerations PC0.0200.023
(0.115)(0.126)
Legitimacy of laws considerations PC−0.068−0.085
(0.171)(0.178)
Legitimacy of law-makers’ considerations PC0.0850.094
(0.097)(0.105)
Male −0.496
(0.367)
English −0.322
(0.354)
Age 0.018
(0.012)
Education 0.508 *
(0.260)
Employment −0.160
(0.512)
Constant0.606 ***−0.739
(0.174)(1.049)
Observations250
Note: *** indicates significance at the 1% level, ** significance at the 5% level and * significance at the 10% level.
Publisher’s Note: MDPI stays neutral with regard to jurisdictional claims in published maps and institutional affiliations.

Share and Cite

MDPI and ACS Style

Bantjes, J.; Plessis, S.d.; Jansen, A.; Siebrits, K. Better Enforcement Is Essential, but May Be Inadequate: Findings of a Survey on the Factors Affecting Payment of Speeding Fines in Cape Town, South Africa. Sustainability 2021, 13, 5028. https://doi.org/10.3390/su13095028

AMA Style

Bantjes J, Plessis Sd, Jansen A, Siebrits K. Better Enforcement Is Essential, but May Be Inadequate: Findings of a Survey on the Factors Affecting Payment of Speeding Fines in Cape Town, South Africa. Sustainability. 2021; 13(9):5028. https://doi.org/10.3390/su13095028

Chicago/Turabian Style

Bantjes, Jason, Sophia du Plessis, Ada Jansen, and Krige Siebrits. 2021. "Better Enforcement Is Essential, but May Be Inadequate: Findings of a Survey on the Factors Affecting Payment of Speeding Fines in Cape Town, South Africa" Sustainability 13, no. 9: 5028. https://doi.org/10.3390/su13095028

APA Style

Bantjes, J., Plessis, S. d., Jansen, A., & Siebrits, K. (2021). Better Enforcement Is Essential, but May Be Inadequate: Findings of a Survey on the Factors Affecting Payment of Speeding Fines in Cape Town, South Africa. Sustainability, 13(9), 5028. https://doi.org/10.3390/su13095028

Note that from the first issue of 2016, this journal uses article numbers instead of page numbers. See further details here.

Article Metrics

Back to TopTop