Evaluating the Role of Geofoam Properties in Reducing Lateral Loads on Retaining Walls: A Numerical Study
Abstract
1. Introduction
2. Description of the Physical Model
3. Numerical Analysis and Model Validation
4. The Effect of Geofoam and Backfill Properties on the Lateral Earth Pressure Acting on the Wall
5. Results and Discussion
5.1. Benchmark Case (No Geofoam Inclusion)
5.2. Effect of Geofoam Density
5.3. Effect of Geofoam Thickness
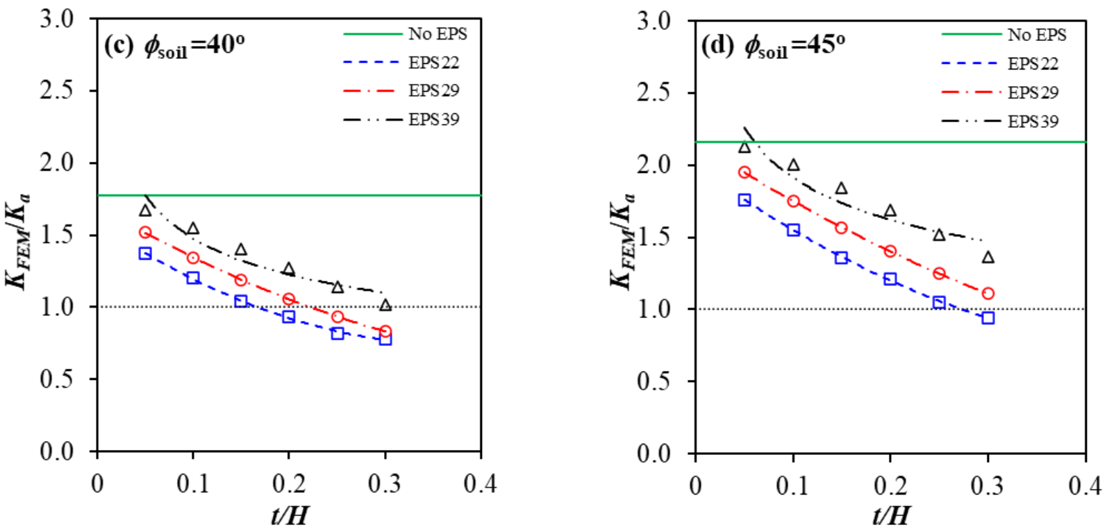
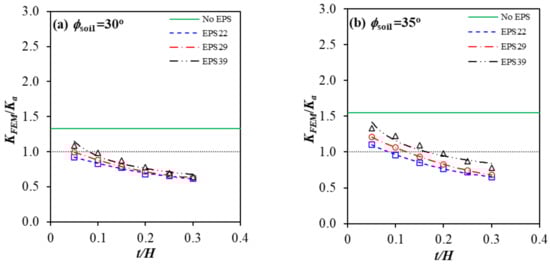
5.4. Effect of Friction Angle of Backfill Soil
5.5. Isolation Efficiency (IE)
5.6. Lateral Earth Pressure Coefficient Ratio
5.7. Horizontal Displacement in Backfill Soil
5.8. Practical Implications
6. Conclusions
- Geofoam inclusion placed vertically behind rigid non-yielding retaining walls can allow the backfill soil to move towards the wall. This deformation helps in mobilization the soil shear strength leading to a reduction in lateral earth pressure acting on the wall.
- The response of the granular backfill soil in these applications can be reasonably predicted using a Mohr-Coulomb elastoplastic material model, whereas a linear elastic model is found to be suitable for the geofoam material.
- Relative thickness and density of the EPS geofoam and the frictional properties of the backfill material are found to play major roles in the magnitude of the isolation efficiency. It is also found that low density geofoam can provide better performance as compared with higher density material. For the same geofoam density, the thickness of the geofoam inclusion is found to have an effect on the geofoam compression. It is also found that EPS geofoam inclusions are more effective in soils with relatively low friction angles.
- It is noted that possible long term creep effect of the geofoam is not considered in this study and the results are applicable to rigid non-yielding retaining walls supporting dry backfill.
Author Contributions
Funding
Institutional Review Board Statement
Informed Consent Statement
Data Availability Statement
Acknowledgments
Conflicts of Interest
References
- Stark, T.D.; Arellano, D.; Horvath, J.S.; Leshchinsky, D. Geofoam applications in the design and construction of highway embankments. Nchrp Web Doc. 2004, 65, 11–24. [Google Scholar]
- Horvath, J.S. New developments in geosynthetics; ‘lite’ products come of age. Stand. News 1992, 20, 50–53. [Google Scholar]
- Aaboe, R. Evidence of EPS Long Term Performance and Durability as a Lightweight Fill; Intern rapport No. 2139; Norwegian Public Roads Administration: Oslo, Norway, 2000.
- Frydenlund, T. Expanded Polystyrene: A Lighter Way across Soft Ground; ICON Group International: San Diego, CA, USA, 1991; Volume 1502. [Google Scholar]
- Elragi, A.F. Selected Engineering Properties and Applications of EPS Geofoam. Ph.D. Thesis, State University of New York College of Environmental Science and Forestry, New York, NY, USA, 2000. [Google Scholar]
- Jutkofsky, W.; Sung, J.; Negussey, D. Stabilization of embankment slope with geofoam. Transp. Res. Rec. J. Transp. Res. Board 2000, 1736, 94–102. [Google Scholar] [CrossRef]
- Sheeley, M. Slope Stabilization Utilizing Geofoam. Master’s Thesis, Syracuse University, New York, NY, USA, 2000. [Google Scholar]
- Srirajan, S. Recycled Content and Creep Performance of EPS Geofoam in Slope Stabilization. Ph.D. Thesis, Syracuse University, New York, NY, USA, 2001. [Google Scholar]
- Negussey, D. Slope Stabilization with Geofoam; Report to FHWA and the EPS industry; Geofoam Research Center, Syracuse University: New York, NY, USA, 2002. [Google Scholar]
- Duskov, M. Use of expanded polystyrene (EPS) in flexible pavements on poor subgrades. In Proceedings of the International Conference on Geotechnical Engineering for Coastal Development, Port and Harbour Research Institute, Yokosuka, Japan, 3–6 September 1991; pp. 783–788. [Google Scholar]
- Duskov, M. Measurements on a flexible pavement structure with an EPS geofoam sub-base. Geotext. Geomembr. 1997, 15, 5–27. [Google Scholar] [CrossRef]
- Riad, H.L.; Ricci, A.L.; Osborn, P.W.; Horvath, J.S. Expanded polystyrene (EPS) geofoam for road embankments and other lightweight fills in urban environments. In Proceedings of the Soil and Rock America, 12th Pan-American Conference on Soil Mechanics and Geotechnical Engineering and 39th US Rock Mechanics Symposium, Cambridge, MA, USA, 22–26 June 2003. [Google Scholar]
- Refsdal, G. Plastic Foam in Road Embankments: Future Trends for EPS Use; Internal Report; Norwegian Road Research Laboratory: Oslo, Norway, 1985. [Google Scholar]
- Aaboe, R. 13 years of experience with expanded polystyrene as a lightweight fill material in road embankments. Nor. Road Res. Lab. Publ. 1987, 61, 21–27. [Google Scholar]
- Zou, Y.; Leo, C.; Small, J. Behaviour of EPS geofoam as flexible pavement subgrade material in model tests. Geosynth. Int. 2000, 7, 1–22. [Google Scholar] [CrossRef]
- Negussey, D.; Stuedlein, A.; Bartlett, S.; Farnsworth, C. Performance of a geofoam embankment at 100 South, I-15 reconstruction project, Salt Lake City, Utah. In Proceedings of the 3rd International Conference on EPS Geofoam, Salt Lake City, UT, USA, December 2001. [Google Scholar]
- Farnsworth, C.; Bartlett, S.F.; Negussey, D.; Stuedlein, A. Rapid construction and settlement behavior of embankment systems on soft foundation soils. J. Geotech. Geo Environ. Eng. 2008, 134, 289–301. [Google Scholar] [CrossRef]
- Frydenlund, T.; Aaboe, R. Expended polystyrene-the lightweight solution. In Proceedings of the International Symposium on EPS Construction Method (EPS-Tokyo’96), Tokyo, Japan, 29–30 October 1996; pp. 31–46. [Google Scholar]
- Williams, D.; Snowdon, R. A 47 Great Yarmouth Western Bypass: Performance during the First Three Years (No. 11); Transport and Road Research Laboratory (TRRL): Berkshire, UK, 1990. [Google Scholar]
- Skuggedal, H.; Aaboe, R. Temporary overpass bridge founded on expanded polystyrene. In Proceedings of the 1st European Conference on Soil Mechanics and Foundation Engineering, Florence, Italy, 2 May 1991; pp. 559–561. [Google Scholar]
- McDonald, P.; Brown, P. Ultra lightweight polystyrene for bridge approach fill. In Proceedings of the 11th Southeast Asian Geotechnical Conference, Singapore, 4–8 May 1993; pp. 664–668. [Google Scholar]
- Bang, S. Experimental and analytical study of expanded polystyrene blocks in highway application. In Proceedings of the International Seminar on the Application of EPS for Embankment Construction, Korea Institute of Construction Technology (KICT), Seoul, Korea, 1995; pp. 105–133. [Google Scholar]
- Abu-Hejleh, N.; Zornberg, J.G.; Elias, V.; Watcharamonthein, J. Design assessment of the founders/meadows GRS abutment structure. In Proceedings of the 82nd Annual TRB Meeting, Washington DC, USA, 12–16 January 2003. [Google Scholar]
- Meguid, M.; Hussein, M.; Ahmed, M.; Omeman, Z.; Whalen, J. Investigation of soil-geosynthetic-structure interaction associated with induced trench installation. Geotext. Geomembr. 2017, 45, 320–330. [Google Scholar] [CrossRef]
- Meguid, M.; Ahmed, M.; Hussein, M.; Omeman, Z. Earth pressure distribution on a rigid box covered with u-shaped geofoam wrap. Int. J. Geosynth. Ground Eng. 2017, 3, 11. [Google Scholar] [CrossRef]
- Zarnani, S.; Bathurst, R. Experimental investigation of EPS geofoam seismic buffers using shaking table tests. Geosynth. Int. 2007, 14, 165–177. [Google Scholar] [CrossRef]
- Horvath, J.S. The compressible inclusion function of EPS geofoam. Geotext. Geomembr. 1997, 15, 77–120. [Google Scholar] [CrossRef]
- Bathurst, R.J.; Keshavarz, A.; Zarnani, S.; Take, W.A. A simple displacement model for response analysis of EPS geofoam seismic buffers. Soil Dyn. Earthq. Eng. 2007, 27, 344–353. [Google Scholar] [CrossRef]
- Ossa, A.; Romo, M. Dynamic characterization of EPS geofoam. Geotext. Geomembr. 2011, 29, 40–50. [Google Scholar] [CrossRef]
- Partos, A.; Kazaniwsky, P. Geoboard reduces lateral earth pressures. In Proceedings of the Geosynthetics’ 87 Conference, IFAI, New Orleans, LA, USA, 24–25 February 1987; pp. 628–639. [Google Scholar]
- AbdelSalam, S.S.; Azzam, S.A. Reduction of lateral pressures on retaining walls using geofoam inclusion. Geosynth. Int. 2016, 23, 395–407. [Google Scholar] [CrossRef]
- Azzam, S.A.; Shokry, B.M.; AbdelSalam, S.S. 3D Modeling of EPS Geofoam Buffers Behind Diaphragm Walls; Paper Presented at the GeoMEast 2017; Ground Improvement and Earth Structures—Sustainable Civil Infrastructures: Sharm El-Sheikh, Egypt, 2017; pp. 46–53. [Google Scholar]
- Chauhan, V.B.; Dasaka, S.M. Assessment of Lateral Earth Pressure Reduction Using EPS Geofoam—A Numerical Study. Proceedings of Conference on Numerical Modeling in Geomechanics (CoNMiG-2017), IIT Roorkee, India, 3–4 March 2017; pp. 1–8, in CD (Paper ID-01). [Google Scholar]
- Ertugrul, O.L.; Trandafir, A.C. Lateral earth pressures on flexible cantilever retaining walls with deformable geofoam inclusions. Eng. Geol. 2013, 158, 23–33. [Google Scholar] [CrossRef]
- Karpurapu, R.; Bathurst, R.J. Numerical investigation of controlled yielding of soil-retaining wall structures. Geotext. Geomembr. 1992, 11, 115–131. [Google Scholar] [CrossRef]
- Hatami, K.; Witthoeft, A. A numerical study on the use of geofoam to increase the external stability of reinforced soil walls. Geosynth. Int. 2008, 15, 452–470. [Google Scholar] [CrossRef]
- Trandafir, A.C.; Moyles, J.F.; Erickson, B.A. Finite-element analysis of lateral pressures on rigid non-yielding retaining walls with EPS geofoam inclusion. In Proceedings of the Earth Retention Conference, Bellevue, WA, USA, 1–4 August 2010; pp. 756–763. [Google Scholar]
- Azzam, S.A.; AbdelSalam, S.S. EPS Geofoam to reduce lateral earth pressure on rigid walls. In Proceedings of the International Conference on Advances in Structural and Geotechnical Engineering, ICASGE’15, Hurghada, Egypt, 6–9 April 2015. [Google Scholar]
- Hasanpouri, N.N.; Dabiri, R. Effects of geofoam panels on static behavior of cantilever retaining wall. Adv. Civil Eng. 2018, 2018, 2942689. [Google Scholar] [CrossRef]
- Yadav, P.; Singh, D.K.; Dahale, P.P.; Padade, A.H. Analysis of retaining wall in static and seismic condition with inclusion of geofoam using Plaxis 2D. Geohazards 2021, 86, 223–240. [Google Scholar]
- Ertugrul, O.L.; Trandafir, A.C. Reduction of lateral earth forces acting on rigid nonyielding retaining walls by EPS geofoam inclusions. Mater. Civ. Eng. 2011, 12, 1711–1718. [Google Scholar] [CrossRef]
- Brinkgreve, R.; Broere, W. PLAXIS 2D Reference Manual 2015; Plaxis bv: Delft, The Netherlands, 2015. [Google Scholar]
- Jaky, J. The coefficient of earth pressure at rest. J. Soc. Hung. Archit. Eng. 1944, 78, 355–358. [Google Scholar]
- Khan, M.I.; Meguid, M. Experimental investigation of the shear behavior of EPS geofoam. Int. J. Geosynth. Ground Eng. 2018, 4, 12. [Google Scholar] [CrossRef]
- Khan, M.I.; Meguid, M. Investigation of the Shear Behavior of EPS Geofoam. In Proceedings of the GeoEdmonton 2018—The 71st Canadian Geotechnical Conference, Edmonton, AB, Canada, 23–26 September 2018. [Google Scholar]
- Meguid, M.A.; Khan, M.I. On the role of geofoam density on the interface shear behavior of composite geosystems. Int. J. Geo Eng. 2019, 10, 6. [Google Scholar] [CrossRef]












| Property | Backfill Soil | Foundation Soil | EPS Geofoam |
|---|---|---|---|
| Material model | Mohr-Coulomb | Mohr-Coulomb | Linear Elastic |
| Unit weight, γ (kN/m3) | 16.5 | 17.5 | 0.15 |
| Young’s Modulus, E (kN/m2) | 5200 | 5500 | 1500 |
| Poisson’s ratio, υ | 0.33 | 0.33 | 0.01 |
| Cohesion c’ (kN/m2) | 0.01 | 0.01 | - |
| Friction angle φ’ (degrees) | 43.5 | 45 | - |
| Dilatancy angle ψ’ (degrees) | 22.5 | 22.5 | - |
| Ko | 0.31 | 0.29 | - |
| Maximum void ratio | 0.745 | - | - |
| Minimum void ratio | 0.436 | - | - |
| Specific gravity | 2.66 | - | - |
| cc (coefficient of curvature) | 0.80 | - | - |
| cu (coefficient of uniformity) | 3.31 | - | - |
| Percent finer than #200 sieve | 1.14 | - | - |
| Property | Validated Model [34] | Parametric Study | ||
|---|---|---|---|---|
| Wall | Wall Base | Wall | Wall Base | |
| Material type | Elastic, Isotropic | Elastic, Isotropic | Elastic, Isotropic | Elastic, Isotropic |
| Normal stiffness, EA (kN/m) | 9.02 × 105 | 6.44 × 105 | 1.44 × 107 | 1.03 × 107 |
| Flexural rigidity, EI (kN m2/m) | 6.87 | 6.87 | 4.40 × 102 | 4.40 × 102 |
| Weight, w (kN/m/m) | 0.62 | 0.62 | 2.49 | 2.49 |
| Poisson’s ratio, υ | 0.25 | 0.25 | 0.25 | 0.25 |
| Properties | t/H = 0.1 | t/H = 0.2 | t/H = 0.3 |
|---|---|---|---|
| No. of soil elements | 3467 | 3693 | 4097 |
| No. of nodes | 28,777 | 30,597 | 33,825 |
| Average element size, m | 0.1222 | 0.1172 | 0.1116 |
| Maximum element size, m | 0.287 | 0.285 | 0.287 |
| Minimum element size, m | 0.044 | 0.03909 | 0.04576 |
| Property | Backfill Soil | Foundation Soil | EPS22 | EPS29 | EPS39 |
|---|---|---|---|---|---|
| Material model | Mohr-Coulomb | Mohr-Coulomb | Linear Elastic | Linear Elastic | Linear Elastic |
| Unit weight, γ (kN/m3) | 16 | 17 | 0.22 | 0.29 | 0.39 |
| Young’s Modulus, E (kN/m2) | 25,000 | 30,000 | 6910 | 10,000 | 178,000 |
| Poisson’s ratio, υ | 0.33 | 0.33 | 0.12 | 0.13 | 0.15 |
| Cohesion c’ (kN/m2) | 0.01 | 0.01 | - | - | - |
| Friction angle φ’ (degrees) | 30–45° | 45 | - | - | - |
| Dilatancy angle ψ’ (degrees) | 0 | 0 | - | - | - |
| Ko | 0.29–0.50 | 0.29 | - | - | - |
Publisher’s Note: MDPI stays neutral with regard to jurisdictional claims in published maps and institutional affiliations. |
© 2021 by the authors. Licensee MDPI, Basel, Switzerland. This article is an open access article distributed under the terms and conditions of the Creative Commons Attribution (CC BY) license (https://creativecommons.org/licenses/by/4.0/).
Share and Cite
Khan, M.I.; Meguid, M.A. Evaluating the Role of Geofoam Properties in Reducing Lateral Loads on Retaining Walls: A Numerical Study. Sustainability 2021, 13, 4754. https://doi.org/10.3390/su13094754
Khan MI, Meguid MA. Evaluating the Role of Geofoam Properties in Reducing Lateral Loads on Retaining Walls: A Numerical Study. Sustainability. 2021; 13(9):4754. https://doi.org/10.3390/su13094754
Chicago/Turabian StyleKhan, Muhammad Imran, and Mohamed A. Meguid. 2021. "Evaluating the Role of Geofoam Properties in Reducing Lateral Loads on Retaining Walls: A Numerical Study" Sustainability 13, no. 9: 4754. https://doi.org/10.3390/su13094754
APA StyleKhan, M. I., & Meguid, M. A. (2021). Evaluating the Role of Geofoam Properties in Reducing Lateral Loads on Retaining Walls: A Numerical Study. Sustainability, 13(9), 4754. https://doi.org/10.3390/su13094754
