You are currently viewing a new version of our website. To view the old version click .
Sustainability
  • Article
  • Open Access

23 April 2021

Heavy Metal Concentrations in Orchard Soils with Different Cultivation Durations and Their Potential Ecological Risks in Shaanxi Province, Northwest China

,
and
1
School of Management, Xi’an University of Science and Technology, Xi’an 710054, China
2
School of Geography and Tourism, Shaanxi Normal University, Xi’an 710119, China
3
State Key Laboratory of Loess and Quaternary Geology, Institute of Earth Environment, Chinese Academy of Sciences, Xi’an 710061, China
4
Key Laboratory of Aerosol Chemistry and Physics, Institute of Earth Environment, Chinese Academy of Sciences, Xi’an 710061, China
This article belongs to the Collection Risk Assessment and Management

Abstract

The heavy metal pollution of soils, resulting from long-term fertilizing activity, is becoming serious in many countries, endangering ecological safety and human health. This study employed inductively coupled plasma-mass spectrometry (ICP-MS) to investigate concentrations of eight heavy metal elements (Cd, Hg, As, Pb, Cr, Cu, Ni, and Zn) in five apple orchard soil profiles after different cultivation durations, one modern intercropping farmland soil profile, and one natural soil profile from Baishui County, in Shaanxi Province, Northwest China. The potential risk associated with the presence of heavy metals in the soils was assessed by the single-factor pollution index (Pi), Nemerow comprehensive index (NCI), and potential ecological risk index (RI). Results showed that the average concentrations of Cr, Ni, As, Pb, and Hg in the farmland soil were higher than those in the apple orchard soils. The average concentrations of Ni, Cu, As, and Hg in the apple orchard soils reached the highest after 25 years of cultivation. The results imply that concentrations of heavy metals will increase with increasing cultivation time. The farmland soil had the highest NCIs, while the NCIs of the apple orchard soils also increased with cultivation time. Compared with the quality standards of pollution-free orchards and green food production areas, all Pis and NCIs were less than 1 and 0.7, respectively, indicating that the soils were in healthy condition. The RI results also suggest that the soils have a low ecological risk (RI < 150). Although the potential ecological risk is currently low, predicting and reducing heavy metal input should be considered.

1. Introduction

A healthy farmland ecosystem is a basic requirement, not only for food safety but also for human health [1]. As a popular fruit, the production environment and quality security of apples have attracted wide attention from scholars, governments, and consumers. The rapid development of industry, agriculture, and transportation has exacerbated environmental pollution. Heavy metals, especially toxic elements including Pb, As, Cd, Hg, and Cr, are considered major sources of soil contamination, and have attracted widespread attention due to their strong toxicity and persistence. Heavy metal pollution not only negatively affects plant/fruit quality and yield, but also causes changes in the size, composition, and activity of the microbial community [2]. The uptake of heavy metals by plants and their subsequent accumulation along the food chain may result in great health risks to animals and humans. To reduce disease and boost yields, farmers use fertilizers and pesticides containing heavy metals, which directly affect the quality and safety of fruits [3,4,5,6,7,8], thus endangering human health and safety. The assessment of the pollution risk from heavy metals in soil is important to human health and environmental management.
The risk assessment and management of soil pollution are usually performed by the regular monitoring of different soil parameters [9]. Chemical analysis is a powerful tool to assess the risk of soil pollution, through comparison with the thresholds set by national or international standards. This analysis aids problem-solving and decision-making in soil contamination issues. The Loess Plateau is the largest high-quality apple production area in China, perhaps even globally, due to its unique environmental conditions (soil texture, abundance of sunshine, and large difference in day and night temperatures) [10]. However, the problem of soil quality deterioration in orchards caused by long-term cultivation has become serious and is threatening fruit production [6,11,12,13,14,15]. The quality and level of heavy metals in soils in Baishui county, one of the main apple-producing areas, are unclear. Evaluating the spatial distribution of heavy metal elements in apple orchard soils from different planting years and assessing their health risk could provide a scientific basis for improving the soil quality of apple orchards, and for the prevention and remediation of heavy metal pollution.

2. Materials and Methods

2.1. Study Area

The Chinese Loess Plateau, located in Northwest China, has many apple orchards. It is covered by loessic soil with a silty loam texture, which is coarser in the northwest and has more clay in the southeast. Baishui County in Shaanxi Province, known as “the hometown of Chinese apples”, is located in the southeast of the Chinese Loess Plateau (Figure 1). It has a warm temperate continental climate with an average annual temperature of 11.6 °C, average annual precipitation of 598.2 mm, a hot and wet summer, a long frost-free period, sufficient sunlight (2309.5 h per year), and large temperature differences between day and night. These favorable hydrothermal environmental conditions make it the best eugenic area for apples in the world (it is on roughly the same latitude as the Fuji apple production area in Japan). The region has a long history of apple planting. In 2020, the apple planting area in Baishui County was 3.7 × 103 hm2, with 5.3 × 105 tons annual yield [16].
Figure 1. Location of the study site on the Chinese Loess Plateau, and sampling of the soil profile. (Satellite images were downloaded from Google Earth.)

2.2. Sampling and Lab Analysis

We selected a tableland covered by 7–120 m thick loess to the north of Shiguan Town, Baishui County (Figure 1), which includes many orchards, as well as many maize and wheat fields. We collected soil samples from apple orchards with different planting ages (5, 10, 15, 20, 25 years). To compare with apple orchard soil (AOS), the intercropping farmland (wheat/maize, IFL) and natural soil (uncultivated, NS) on the same tableland were also collected. All soil derived from homogeneous loess material resulted in the same textures and similar soil profiles, for example, A-Bt-Bck-C (loess) (Figure 1). The sampling interval in the upper 30 cm (mostly comprising the tillage layer) was 5 cm, increasing to 10 cm intervals in the lower 30–300 cm. A total of 232 samples were obtained. After natural air drying in the laboratory, the samples were ground for pretreatment. The soils had a slightly alkaline pH (range from 7.0 to 8.3). Grain-size analyses indicated that the average proportions of clay, loam, and sand in different land-use types ranged from 8.6% to 9.4%, from 49.0% to 53.0%, and from 38.2% to 42.1%, respectively (Figure 2).
Figure 2. Average grain size composition of different soil profiles.
Heavy metal elements were determined by inductively coupled plasma-mass spectrometry (ICP-MS) following the acid dissolution method of Qi et al. (2000) [17]. Firstly, 40 mg of the powdered sample were placed in a polytetrafluoroethylene (PTFE) bomb, and 0.6 mL HNO3 and 2 mL HF were added (for Hg, only 2 mL HNO3). The samples were then transferred to a stainless-steel dissolving tank, sealed tightly, and digested in an electric oven at 150 °C for 12 h before cooling. The samples were then removed and transferred into a PTFE bomb, and 1 mL HNO3 was added. The solution was evaporated on an electric heating plate at 120 °C until dry, then dissolved by adding a further 1 mL HNO3 along with 1 mL H2O. The samples were heated in an oven for 12 h at 150 °C, then cooled. Finally, samples were transferred to a polyester bottle, and the mass increased to 40 g by adding high-purity H2O2. The pretreated samples were analyzed by ICP-MS (PerkinElmer Elan DRCII, Shelton, CT, USA); the DRC II can reduce interferences by up to 9 orders of magnitude. The analytical accuracy was assessed by analyzing selected USGS and Chinese-certified reference materials (BHVO-2, GBW07315, and GBW07316). The differences between the measured and certified values were generally less than 10%, indicating satisfactory recoveries.

2.3. Evaluation of Soil Heavy Metal Pollution

Many pollution indices have been used to evaluate the degree of soil contamination [18]. Here, we adopted the single-factor pollution index and the Nemerow multi-factor comprehensive index [19]. The single-factor pollution index is an important method to evaluate the degree of pollution of a given heavy metal in soil, and is calculated as:
Pi = Ci/Si
where Pi is the pollution index of heavy metal element i, Ci is the measured concentration of element i, and Si is the standard value. A greater value of Pi indicates more serious pollution, and soil is considered as polluted when Pi > 1 (Table 1). Pi represents the ratio of heavy metal concentrations in measured soil to the soil environmental quality risk control standard for soil contamination of agricultural land (GB 15618-2018).
Table 1. The grading standards for pollution indexes.
To better reflect the level of soil pollution when the single-factor pollution index is less than 1, the Nemerow comprehensive index (NCI) can evaluate a variety of heavy metal toxicity levels, as follows:
P t = ( P i m a x 2 + P i a v e 2 ) / 2
Here, Pt is the Nemerow index (NCI), Pimax is the maximum value of the single-factor pollution index Pi, and Piave is the average value of the single-factor pollution index Pi. The grading standard is shown in Table 1.
The potential ecological risk index (RI) method proposed by Hakanson [20] was also employed to assess the harmful effect of soil contamination; this may reflect the sensitivity of the biological community and its toxicity response. The RI is now widely used in the evaluation of the potential ecological risk of heavy metals [21,22]. The RI is defined by the following equation:
RI = i = 1 n P i × T i
where Ti is the toxic response factor for metal i, which indicates its toxic and ecological sensitivity levels [20]; and Pi is the pollution index as defined above. The relationship between RI values and ecological risk level is categorized as shown in Table 1.

2.4. Multivariate Statistics

Two multivariate methods (Pearson correlation analysis and hierarchical cluster analysis (HCA)) were performed using PAST 4.03 [23] to determine the relationships among different heavy metals and to help assess heavy metals’ sources. The Pearson correlation method is the most common method to investigate the relationship between two sets of data, and measures the strength of the association between the two variables. For the present study, it was selected to determine the relationship among different heavy metals and to identify possible sources. HCA is used to reduce the dimensionality of a dataset and to reduce multiple variables into a few principal independent components. These were helpful in determining the behavior of the sampling locations, thus aiding in the interpretation of the dataset by reducing its complexity. HCA can assess the distance between and within the clusters of heavy metals present in pollutant sources, thus grouping heavy metals with similar sources into a single cluster. In this study, the squared Euclidean distance was selected as the measured distance between clusters of similar heavy metal concentrations.

3. Results and Discussion

3.1. Spatial Pattern of Heavy Metal Concentrations in Soil

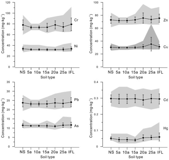
The concentrations of Cr and Zn in natural soil (NS), apple orchard soil (AOS) of different planting years, and intercropping farmland soil (IFL) were the highest, reaching more than 60 mg/kg. These were followed by Ni and Cu. The concentrations of Cd and Hg were very low (less than 0.4 mg/kg). Overall, the average concentrations decreased in the order Cr (75.7 mg/kg) > Zn (73.4 mg/kg) > Ni (32.6 mg/kg) > Cu (31.1 mg/kg) > Pb (23.4 mg/kg) > As (11.4 mg/kg) > Cd (0.29 mg/kg) > Hg (0.05 mg/kg) (Figure 3). The variations in amplitude in different soil profiles (shaded part of Figure 3) indicate distinct features. The minimum concentrations for most soil types varied little, but the maximum concentrations varied significantly. The Cr concentration was the highest in IFL soil, and the lowest in AOS under cultivation for five years. The concentration of Ni showed little overall variability, but was slightly higher in IFL and NS. The maximum Zn concentration occurred in AOS under cultivation for 20 years, and the maximum Cu concentration appeared in AOS with a cultivation duration of 25 years. The concentration of As showed little variability and was the greatest in AOS under cultivation for 25 years and in IFL. The concentrations of Cd and Hg were very low (<0.4 mg/kg and <0.15 mg/kg, respectively) with little obvious change. The concentrations of Pb also changed little, but were relatively higher in IFL.
Figure 3. Heavy metal concentrations of apple orchard soil in Baishui County. (NS: natural soil; IFL: intercropping farmland; a: cultivation duration in years of the apple orchard; bars show 1 standard deviation.).
The average concentrations of Cr, Ni, As, Pb, and Hg in IFL soil were generally higher than those in AOS (Figure 3), indicating that these heavy metal elements were more easily enriched in farmland soil than in apple orchard soil. To improve and guarantee the quality of apples, more strict restrictions on the use of pesticides and fertilizers in apple orchards are required than those for common farmland. The average concentrations of Cr, Ni, Zn, and As in the soil in the early stage of apple planting (within 5 years) were lower than those in NS, indicating that some heavy metals were adsorbed by apple trees in the early stage [24]. The mean concentrations of Cr, Ni, Zn, Cu, As, and Hg showed weakly increasing trends with increasing years of cultivation, and their concentrations were relatively high after 20 years and 25 years in AOS, showing that the concentrations of heavy metals in the soil of apple orchards can gradually accumulate with time.

3.2. Multivariate Statistical Results and Their Implications for Sources

Correlation analysis is a commonly used method to determine the sources and pathways of heavy metals [25,26,27]. Generally, heavy metals with a high correlation coefficient may have similar sources or experience the same migration and transformation process. Their sources may be natural or anthropogenic. Elements with low or negative correlation coefficients may have different sources, perhaps involving complex pollution pathways associated with human activities, besides the influence of parent materials. Table 2 shows significant positive correlations between Cr and Ni, Cu, Pb, and Zn in nature (p < 0.05; the correlation coefficients were all greater than 0.8), indicating a shared source. There was no significant relationship (p > 0.05) between Cd and Hg, indicating that their sources were diverse. The overall correlations of heavy metal elements in AOS were relatively small, which implies interference from human activities. However, the most obvious change in IFL was its weak but significant correlation with Cr, Ni, Pb, and Zn. Whether this reflects anthropogenic or other reasons remains unclear. More research is necessary to identify and quantify the exact sources of these heavy metals and the underlying transport mechanisms.
Table 2. Pearson correlation coefficients between heavy metals in different soil types.
Hierarchical cluster analysis (HCA) based on heavy metals yielded similar dendrograms in all studied soil profiles (Figure 4), indicating that these heavy metals have similar sources. HCA revealed three distinct clusters. Cluster C1 consisted of Cr and Zn, which could be considered as having natural origins. C2 included Cu, Ni, and Pb, and may comprise a combination of natural and anthropogenic sources. The digestion and absorption rates of Cu and Zn in livestock and poultry are very low, and most Cu and Zn is discharged in feces, which is then used as important farmyard manure for orchard soils. Cluster C3 comprised Hg, Cd, and As, in which As was distinct from the Hg and Cd. Wide usage of fertilizer such as asomate and agricultural irrigation may increase As concentrations in soil. Hg and Cd may also have anthropogenic origins, mainly from irrigation and mining activities. Overall, HCA was consistent with the Pearson correlation analysis.
Figure 4. Dendrogram of hierarchical cluster analysis of heavy metals in different soil types.

3.3. Potential Pollution Assessment of Heavy Metals in Baishui Apple Orchard Soil

3.3.1. Evaluation of Heavy Metal Pollution in Pollution-Free Orchard Soil

Taking the control standards of soil environment quality and agricultural soil pollution risk (GB15618-2018) [28] as the evaluation standard of pollution-free orchard soil, and after substituting the heavy metal concentrations in Baishui apple orchard soil into Equations (1) and (2), the single-factor pollution index (Pi) and Nemerow multi-factor comprehensive index (NCI) of heavy metals were obtained for apple orchard soil and the farmland soil surface layer after varying planting durations (Figure 5).
Figure 5. Heavy metal pollution indexes compared with pollution-free soil standards in Baishui apple orchard soils.
The single-factor pollution indexes (Figure 5) of eight heavy metal elements in the six soil profiles studied were less than 1, and the comprehensive pollution indexes were less than 0.7, showing that the concentrations of heavy metals met the requirements for a pollution-free orchard soil environment in China.
Variations in the Pi of Cr, Ni, Cu, Zn, and As in apple orchard soils with cultivation durations of 5, 10, 15, and 20 years and in farmland soil were not obvious in the upper 30 cm layer. On average, the Pi of Cr, Ni, Cu, Zn, As, and Ni increased only weakly with increasing years under cultivation. The Pi of Pb and Hg showed little obvious change with increasing years of cultivation. This indicates that Cr, Ni, Cu, Zn, As, and other elements gradually accumulate with increasing time in apple orchard soils. However, there was an obvious reduction in Pi in AOS after 25 years under cultivation. In comparison, the Pi values of Cr, Ni, Cu, Zn, and As in IFL soil were equivalent to those in AOS with a cultivation duration of 25 years, while the Pi of Hg was much higher than those of the other AOSs, which indicated that there was an obvious accumulation of Cr, Ni, Cu, Zn, As, and Hg in IFL soil.
The average NCI was the highest in IFL (0.43), and increased with increasing years of cultivation in AOSs. Although there was no obvious heavy metal pollution in the soil of Baishui apple orchards, elements such as Cr, Ni, Cu, Zn, and As were seen to be accumulating in the surface soil. If the planting continues without effective control and prevention measures, heavy metal pollution of orchard soil will eventually become a problem in the future.

3.3.2. Evaluation of Heavy Metal Pollution in the Soil of Green Food-Producing Areas and the Potential Ecological Risk

Taking the standard of heavy metal concentration in the soil of China’s green food environmental quality for production areas (NY/T 391-2013) [29] as the evaluation standard, the Pi and NCI of heavy metals were again calculated by Equations (1) and (2).
The pollution degree (Pi) of heavy metals in IFL and AOS decreased in the order Cr > As > Pb > Cu > Hg (Figure 6). The Pi of heavy metal elements in all soils was less than 1, demonstrating that the concentration of these heavy metal elements in Baishui apple orchard soils did not exceed the limit of heavy metal concentrations in the national standard for the soil environmental quality of green food-producing areas. The NCIs of heavy metals in AOSs with different planting years and in IFL soil were 0.50, 0.52, 0.54, 0.54, 0.58, and 0.58, which were all less than 0.7, indicating that the soils were unpolluted (Table 1). NCIs of AOSs with different cultivations durations decreased as 25 years > 20 years > 15 years > 10 years, while the NCI in IFL soil was equivalent to that in AOS under cultivation for 25 years, consistent with the soil environmental quality results for the pollution-free orchard.
Figure 6. Heavy metal pollution indexes compared with the green food soil standard in Baishui apple orchard soils.
The potential ecological risk was evaluated with the potential ecological risk index (RI) based on Equation (3). The IFL soil had the highest RI value, but all RI values were lower than 15, and much less than the threshold of 150 (Figure 7). These results indicate that the potential ecological risk in apple orchards and farmland is low. However, the mean RI values show a rising trend with the increasing cultivation duration from 5 years to 25 years (Figure 7), which implies that the potential ecological risk will increase with long-term cultivation.
Figure 7. Potential ecological risk index for the heavy metals in different apple orchard soils (AOSs) and intercropping farmland (IFL).

4. Conclusions

The concentrations of heavy metals in Baishui apple orchard soils in the Chinese Loess Plateau, Northwest China, varied with different cultivation durations. Heavy metal elements such as Cr, Ni, As, Pb, and Hg were more easily enriched in intercropping farmland soil than in apple orchard soil. The average concentrations of Ni, Cu, As, and Hg in apple orchard soils increased with cultivation duration. The intercropping farmland soil showed the highest comprehensive pollution index, while that of the apple orchard soil increased with cultivation duration. This indicates that the comprehensive pollution level of heavy metals increases with time in cultivated soil.
The single pollution indexes of Cr, Ni, Cu, Zn, As, Pb, and Hg in Baishui apple orchard soils and in intercropping farmland soil were all less than 1, and the comprehensive pollution indexes were less than 0.7, indicating that the heavy metal concentrations do not exceed the national standard. Therefore, the soils comply with the soil environment requirements for pollution-free orchards and green food-producing areas in China. Overall, the potential ecological risk in apple orchards and farmland is low. Although there was no significant heavy metal pollution in the soils of Baishui apple orchards, we note that Cr, Ni, Cu, Zn, and As accumulate in the surface as the duration of cultivation increases. Therefore, if planting continues without effective control and prevention measures, the risk of heavy metal pollution in orchard soil will increase with time, making it necessary to consider the prediction and reduction of anthropogenic heavy metal inputs.

Author Contributions

Conceptualization, H.D.; data curation, J.Z.; formal analysis, H.D.; funding acquisition, J.Z.; investigation, H.D. and J.Z.; methodology, H.D. and M.X.; supervision, J.Z.; validation, H.D. and M.X.; writing—original draft, H.D.; Writing—review and editing, J.Z. and M.X. All authors have read and agreed to the published version of the manuscript.

Funding

This research was funded by the National Natural Science Foundation of China (grant number: 41930641) and China Geological Survey (grant number: [2019]057). This study was also supported by the Key Laboratory of Aerosol Chemistry and Physics (grant number: KLACP201904) and the State Key Laboratory of Loess and Quaternary Geology (grant numbers: SKLLQG2013, SKLLQG1934) in Institute of Earth Environment, Chinese Academy of Sciences. The APC was funded by Xi’an University of Science and Technology.

Institutional Review Board Statement

Not applicable.

Data Availability Statement

The data presented in this study are available on request from the corresponding author.

Acknowledgments

We greatly appreciate the valuable comments and suggestions from the editor and the four reviewers. Our gratitude is also extended to Yougui Song and Xiuling Chen for helpful discussions. We thank Hongchuang Li and Feng Cai for their fieldwork help, Xuebo Yin for their ICP-MS measurement assistance, and Tong Cheng for preparing Figure 1.

Conflicts of Interest

The authors declare no conflict of interest.

References

  1. Zeng, S.; Ma, J.; Yang, Y.; Zhang, S.; Liu, G.J.; Chen, F. Spatial assessment of farmland soil pollution and its potential human health risks in China. Sci. Total Environ. 2019, 687, 642–653. [Google Scholar] [CrossRef]
  2. Singh, J.; Kalamdhad, A.S. Effects of Heavy Metals on Soil, Plants, Human Health and Aquatic Life. Int. J. Res. Chem. Environ. 2011, 1, 15–21. [Google Scholar]
  3. Yan, X.; Liu, M.; Zhong, J.; Guo, J.; Wu, W. How Human Activities Affect Heavy Metal Contamination of Soil and Sediment in a Long-Term Reclaimed Area of the Liaohe River Delta, North China. Sustainability 2018, 10, 338. [Google Scholar] [CrossRef]
  4. Sungur, A. Heavy metals mobility, sources, and risk assessment in soils and uptake by apple (Malus domestica Borkh.) leaves in urban apple orchards. J. Arch. Agron. 2016, 62, 1051–1065. [Google Scholar] [CrossRef]
  5. Sonoda, K.; Hashimoto, Y.; Wang, S.-L.; Ban, T. Copper and zinc in vineyard and orchard soils at millimeter vertical resolution. Sci. Total Environ. 2019, 689, 958–962. [Google Scholar] [CrossRef] [PubMed]
  6. Yan, M.; Ding, X.; Lei, J.; Deng, H.; Wang, R.; Chen, Q.; Gong, Y.; Dong, P. Potential ecological and health risk assessment of different kiwifruit orchards in Qianjiang district, Chongqing city, China. Environ. Sci. Pollut. Res. 2021, 28, 3088–3105. [Google Scholar] [CrossRef]
  7. Kinuthia, G.K.; Ngure, V.; Beti, D.; Lugalia, R.; Wangila, A.; Kamau, L. Levels of heavy metals in wastewater and soil samples from open drainage channels in Nairobi, Kenya: Community health implication. Sci. Rep. 2020, 10, 8434. [Google Scholar] [CrossRef] [PubMed]
  8. Kilicel, F.; Dag, B. The relationship between some heavy metal concentrations in soils, leaves and fruits of starking delicious (Malus communis Lam.) in Van, Turkey. Rev. Anal. Chem. 2006, 25, 271–283. [Google Scholar] [CrossRef]
  9. Nedyalkova, M.; Simeonov, V. Chemomertic Risk Assessment of Soil Pollution. Open Chem. 2019, 17, 711–721. [Google Scholar] [CrossRef]
  10. Zhang, Y.; Wang, R.; Peng, X.; Zhang, Y.; Ning, F.; Xu, Z.; Wang, Q.; Dong, Z.; Jia, G.; Wei, L.; et al. Changes in soil organic carbon and total nitrogen in apple orchards in different climate regions on the Loess Plateau. Catena 2021, 197, 104989. [Google Scholar] [CrossRef]
  11. Zhang, C.; Pang, J.; Shen, H.; Zhu, M.; Chang, M. Effects of artificial apple orchard planting ages on soil heavy metals distribution. Arid Land Geogr. 2010, 33, 164–169. [Google Scholar]
  12. Zhang, C.Y.; Pang, J.L.; Shen, H.Y. Assessment on Contents of Heavy Metals and Properties of Apple Orchard Soil with Different Planting Ages in Luochuan County. Bull. Soil Water Conserv. 2009, 29, 32–35,39. [Google Scholar]
  13. Chang, M.; Pang, J.; Zhang, C.; Zhu, M.; Zhang, W. The distribution characteristics of heavy metal elements in fruit orchard soil planted 40 years in Weibei Plateau of Shaanxi Province. J. Arid Land Resour. Environ. 2009, 23, 160–163. [Google Scholar]
  14. Li, Q.; Li, C.; Wang, H.; Wei, X.; Liu, Y.; Yang, R.; Wen, X. Geochemical Characteristics of Heavy Metals in Soil and Blueberries of the Core Majiang Blueberry Production Area. Bull. Environ. Contam. Toxicol. 2021, 106, 57–64. [Google Scholar] [CrossRef]
  15. Zhuang, S.; Lu, X. Environmental Risk Evaluation and Source Identification of Heavy Metal(loid)s in Agricultural Soil of Shangdan Valley, Northwest China. Sustainability 2020, 12, 5806. [Google Scholar] [CrossRef]
  16. CNwest. Baishui County, Shaanxi Province: The New Model of “Orchard Trusteeship” Helps Farmers Increase Their Income. Available online: http://news.cnwest.com/weinan/a/2020/10/17/19191068.html (accessed on 4 April 2021).
  17. Liang, Q.; Grégoire, D.C. Determination of Trace Elements in Twenty Six Chinese Geochemistry Reference Materials by Inductively Coupled Plasma-Mass Spectrometry. Geostand. Newsl. 2000, 24, 51–63. [Google Scholar] [CrossRef]
  18. Kowalska, J.B.; Mazurek, R.; Gąsiorek, M.; Zaleski, T. Pollution indices as useful tools for the comprehensive evaluation of the degree of soil contamination—A review. Environ. Geochem. Health 2018, 40, 2395–2420. [Google Scholar] [CrossRef]
  19. Nemerow, N.L. Scientific Stream Pollution Analysis; McGraw-Hill Book Co.: New York, NY, USA, 1974. [Google Scholar]
  20. Hakanson, L. An ecological risk index for aquatic pollution control.a sedimentological approach. Water Res. 1980, 14, 975–1001. [Google Scholar] [CrossRef]
  21. Zhu, D.; Wei, Y.; Zhao, Y.; Wang, Q.; Han, J. Heavy Metal Pollution and Ecological Risk Assessment of the Agriculture Soil in Xunyang Mining Area, Shaanxi Province, Northwestern China. Bull. Environ. Contam. Toxicol. 2018, 101, 178–184. [Google Scholar] [CrossRef]
  22. Dash, S.; Borah, S.S.; Kalamdhad, A.S. Heavy metal pollution and potential ecological risk assessment for surficial sediments of Deepor Beel, India. Ecol. Indic. 2021, 122, 107265. [Google Scholar] [CrossRef]
  23. Hammer, Ø.; Harper, D.A.T.; Ryan, P.D. PAST: Paleontological Statistics Software Package for Education and Data Analysis. Palaeontol. Electron. 2001, 4, 1–9. [Google Scholar]
  24. An, L.; Pan, Y.; Wang, Z.; Zhu, C. Heavy metal absorption status of five plant species in monoculture and intercropping. Plant Soil 2011, 345, 237–245. [Google Scholar] [CrossRef]
  25. Zaharescu, D.G.; Hooda, P.S.; Soler, A.P.; Fernandez, J.; Burghelea, C.I. Trace metals and their source in the catchment of the high altitude Lake Respomuso, Central Pyrenees. Sci. Total Environ. 2009, 407, 3546–3553. [Google Scholar] [CrossRef] [PubMed]
  26. Pan, H.; Lu, X.; Lei, K. A comprehensive analysis of heavy metals in urban road dust of Xi’an, China: Contamination, source apportionment and spatial distribution. Sci. Total Environ. 2017, 609, 1361–1369. [Google Scholar] [CrossRef] [PubMed]
  27. Yan, D.; Bai, Z.; Liu, X. Heavy-Metal Pollution Characteristics and Influencing Factors in Agricultural Soils: Evidence from Shuozhou City, Shanxi Province, China. Sustainability 2020, 12, 1907. [Google Scholar] [CrossRef]
  28. Ministry of Ecology and Environment of the People’s Republic of China. Soil Environmental Quality Risk Control Standards of Soil Environment Quality and Agricultural Soil Pollution Risk (GB15618-2018); Ministry of Ecology and Environment (China): Beijing, China, 2018; pp. 1–4. [Google Scholar]
  29. Ministry of Agriculture People’s Republic of China. Green Food-Environmental Quality for the Production Area; Ministry of Agriculture (China): Beijing, China, 2013; pp. 1–5. [Google Scholar]
Publisher’s Note: MDPI stays neutral with regard to jurisdictional claims in published maps and institutional affiliations.

Article Metrics

Citations

Article Access Statistics

Multiple requests from the same IP address are counted as one view.