Spatiotemporal Variations in Water Flow and Quality in the Sanyang Wetland, China: Implications for Environmental Restoration
Abstract
1. Introduction
2. Materials and Methods
2.1. Study Area
2.2. Numerical Models
2.2.1. Equations
2.2.2. Conditions and Parameters
2.3. Model Validation
2.3.1. Hydrodynamic Model Validation
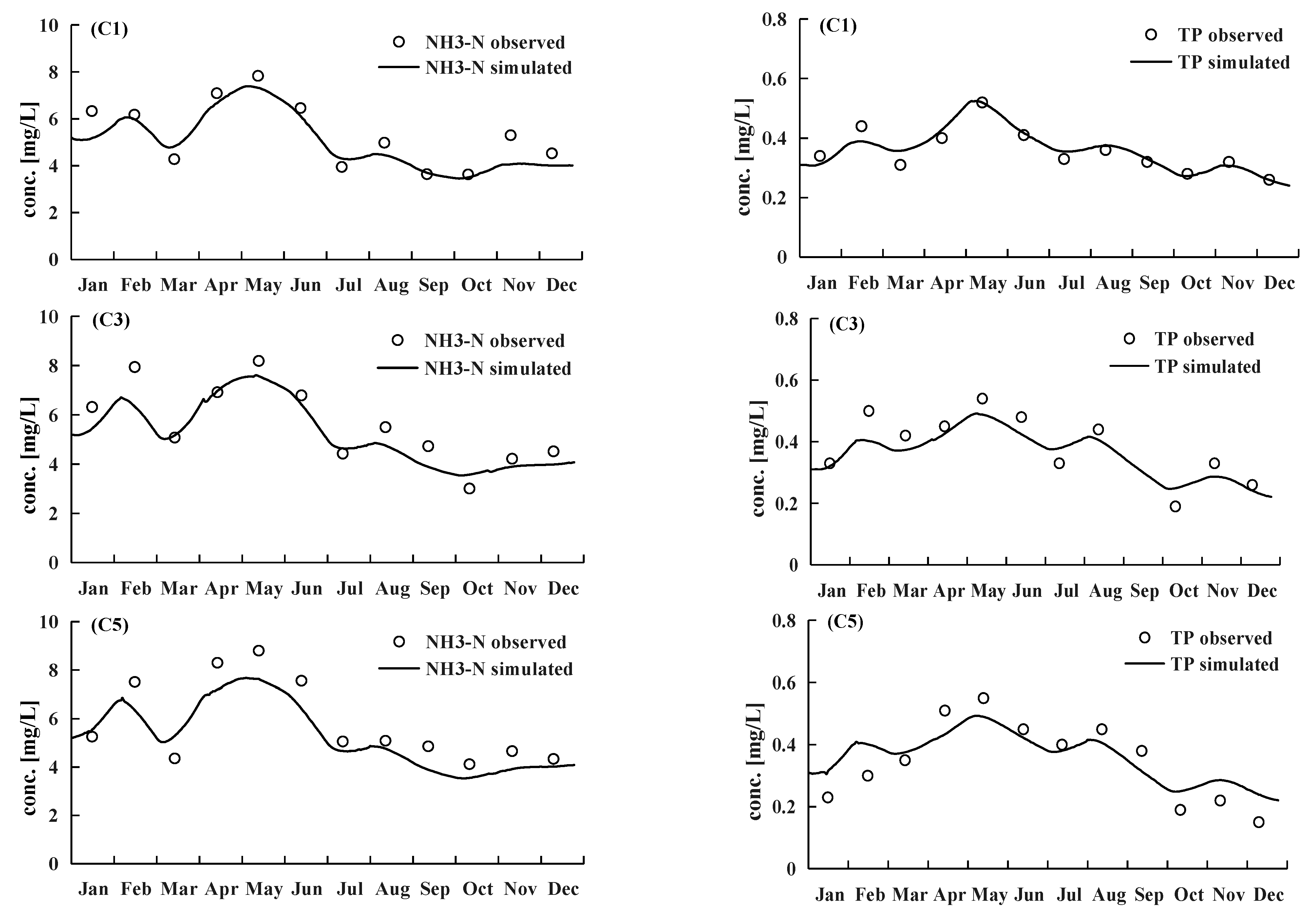
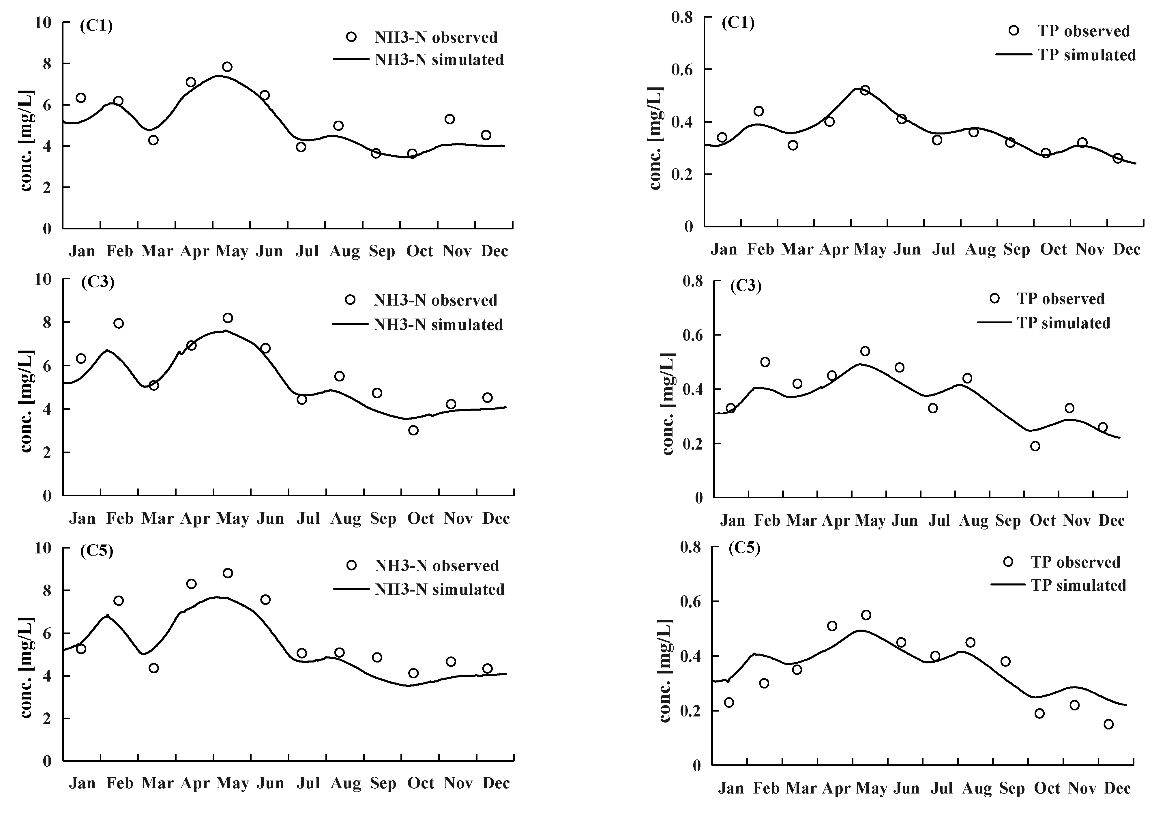
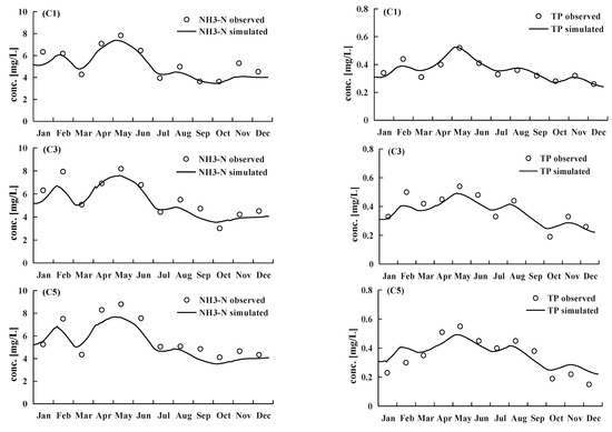
2.3.2. Water Quality Model Verification
3. Results
3.1. Hydrodynamic Characteristics
3.2. Spatiotemporal Distribution of Water Quality Indicators
3.2.1. Ammonia Nitrogen (NH3-N)
3.2.2. Total Phosphorus (TP)
4. Discussion
5. Conclusions
Author Contributions
Funding
Data Availability Statement
Acknowledgments
Conflicts of Interest
References
- Berg, H.; Söderholm, A.E.; Söderström, A.-S.; Tam, N.T. Recognizing wetland ecosystem services for sustainable rice farming in the Mekong Delta, Vietnam. Sustain. Sci. 2017, 12, 137–154. [Google Scholar] [CrossRef] [PubMed]
- Sun, T.; Lin, W.; Chen, G.; Guo, P.; Zeng, Y. Wetland ecosystem health assessment through integrating remote sensing and inventory data with an assessment model for the Hangzhou Bay, China. Sci. Total. Environ. 2016, 566–567, 627–640. [Google Scholar] [CrossRef] [PubMed]
- Bobbink, R.; Whigham, D.F.; Beltman, B.; Verhoeven, J.T.A. Wetland Functioning in Relation to Biodiversity Con-servation and Restoration. In Wetlands: Functioning, Biodiversity Conservation, and Restoration. Ecological Studies (Analysis and Synthesis); Bobbink, R., Beltman, B., Verhoeven, J.T.A., Whigham, D.F., Eds.; Springer: Berlin/Heidelberg, Germany, 2006. [Google Scholar] [CrossRef]
- Green, A.J.; Elmberg, J. Ecosystem services provided by waterbirds. Biol. Rev. 2013, 89, 105–122. [Google Scholar] [CrossRef] [PubMed]
- Hansson, L.-A.; Bronmark, C.; Nilsson, P.A.; Abjornsson, K. Conflicting demands on wetland ecosystem services: Nutrient retention, biodiversity or both? Freshw. Biol. 2005, 50, 705–714. [Google Scholar] [CrossRef]
- Meng, W.; He, M.; Hu, B.; Mo, X.; Li, H.; Liu, B.; Wang, Z. Status of wetlands in China: A review of extent, degradation, issues and recommendations for improvement. Ocean Coast. Manag. 2017, 146, 50–59. [Google Scholar] [CrossRef]
- Nejadhashemi, A.P.; Wardynski, B.J.; Munoz, J.D. Large-Scale Hydrologic Modeling of the Michigan and Wisconsin Agricultural Regions to Study Impacts of Land Use Changes. Trans. ASABE 2012, 55, 821–838. [Google Scholar] [CrossRef]
- Klemas, V. Remote Sensing Techniques for Studying Coastal Ecosystems: An Overview. J. Coast. Res. 2010, 27, 2–17. [Google Scholar] [CrossRef]
- Weston, D.; Rowney, C.; Vogler, D.; Fuxan, A.; Kent, E. Using GIS to Optimize Hydraulic Analysis of Macro and Micro Scale Flow Ways for Macro Scale Wetlands Restoration—Challenges, Solutions, and Lessons Learned. In Proceedings of the World Environmental and Water Resources Congress 2011, Palm Springs, CA, USA, 22–26 May 2011; pp. 1963–1972. [Google Scholar] [CrossRef]
- Huang, N.; Wang, Z.; Liu, D.; Niu, Z. Selecting Sites for Converting Farmlands to Wetlands in the Sanjiang Plain, Northeast China, Based on Remote Sensing and GIS. Environ. Manag. 2010, 46, 790–800. [Google Scholar] [CrossRef]
- Somes, N.L.; Bishop, W.A.; Wong, T.H. Numerical simulation of wetland hydrodynamics. Environ. Int. 1999, 25, 773–779. [Google Scholar] [CrossRef]
- Hossainzadeh, Y.; Saghafian, B.; Bakhtiary, A. Impact assessment of periodical variation discharges on water quality of Anzali Wetland. Switz. Res. Park J. 2013, 102, 228–234. [Google Scholar]
- Gargallo, S.; Martín, M.; Oliver, N.; Hernández-Crespo, C. Sedimentation and resuspension modelling in free water surface constructed wetlands. Ecol. Eng. 2017, 98, 318–329. [Google Scholar] [CrossRef]
- Wester, S.J.; Grimson, R.; Minotti, P.G.; Booij, M.J.; Brugnach, M. Hydrodynamic modelling of a tidal delta wetland using an enhanced quasi-2D model. J. Hydrol. 2018, 559, 315–326. [Google Scholar] [CrossRef]
- Dou, M.; Jia, R. Optimization of water quality improvement program for Longfeng wetland considering the purifica-tion of aquatic plants. Acta Sci. Circumstantiae 2018, 38, 2418–2426. (In Chinese) [Google Scholar] [CrossRef]
- Tong, C.; Feagin, R.A.; Lu, J.; Zhang, X.; Zhu, X.; Wang, W.; He, W. Ecosystem service values and restoration in the urban Sanyang wetland of Wenzhou, China. Ecol. Eng. 2007, 29, 249–258. [Google Scholar] [CrossRef]
- Ek, C.; Whary, M.T.; Correa, P.; Fox, J.G. T1632 Toxoplasma Gondii Infection Does Not Alter Serologic Responses to Helicobacter pylori in Colombian Children and Thus Appears to Not Contribute to Gastric Cancer Risk. Gastroenterology 2009, 136, 547. [Google Scholar] [CrossRef]
- Wang, Q.; Li, S.; Jia, P.; Qi, C.; Ding, F. A Review of Surface Water Quality Models. Sci. World J. 2013, 2013, 1–7. [Google Scholar] [CrossRef] [PubMed]
- Cox, B. A review of currently available in-stream water-quality models and their applicability for simulating dissolved oxygen in lowland rivers. Sci. Total. Environ. 2003, 314–316, 335–377. [Google Scholar] [CrossRef]
- Dronova, I. The Study of Seasonal Composition and Dynamics of Wetland Ecosystems and Wintering Bird Habitat at Poyang Lake, PR China Using Object-Based Image Analysis and Field Observations. Ph.D. Thesis, University of California, Berkeley, CA, USA, 2012. [Google Scholar]
- Jiao, C.L.; Wang, H.; Yong-Shun, L.I. Numerical simulation of flow field of artificial wetland—A case of Pingyin wetland demonstration. South-to-North Water Transf. Water Sci. Technol. 2008, 6, 87–89, 108. (In Chinese) [Google Scholar] [CrossRef]
- Liu, T. Study of hydrodynamic and water quality simulation of constructed wetland in Yuqiao Reservoir. Xi’an Univ. Technol. 2017. Available online: https://kns.cnki.net/KCMS/detail/detail.aspx?dbname=CMFD201801&filename=1017853638.nh (accessed on 31 January 2021). (In Chinese).
- Ren, J.; Zhou-Hu, W.U.; Shi, H.J. Simulation and effect evaluation of Nansi Lake’s water quality control project. Saf. Environ. Eng. 2012, 19, 13–19. (In Chinese) [Google Scholar]
- Hu, W.; Zhai, S.; Zhu, Z.; Han, H. Impacts of the Yangtze River water transfer on the restoration of Lake Taihu. Ecol. Eng. 2008, 34, 30–49. [Google Scholar] [CrossRef]
- Rasmussen, E.K.; Petersen, O.S.; Thompson, J.R.; Flower, R.J.; Ahmed, M.H. Hydrodynamic-ecological model analyses of the water quality of Lake Manzala (Nile Delta, Northern Egypt). Hydrobiologia 2009, 622, 195–220. [Google Scholar] [CrossRef]
- Acuña, V.; Vilches, C.; Giorgi, A. As productive and slow as a stream can be—the metabolism of a Pampean stream. J. N. Am. Benthol. Soc. 2011, 30, 71–83. [Google Scholar] [CrossRef]
- Kawara, O.; Yura, E.; Fujii, S.; Matsumoto, T. A Study on the role of hydraulic retention time in eutrophication of the asahi river dam reservoir. Water Sci. Technol. 1998, 37, 245–252. [Google Scholar] [CrossRef]
- Mitrovic, S.M.; Bowling, L.C.; Buckney, R.T. Vertical Disentrainment of Anabaena circinalis in the Turbid, Freshwater Darling River, Australia: Quantifying Potential Benefits from Buoyancy. J. Plankton Res. 2001, 23, 47–55. [Google Scholar] [CrossRef]
- Boutron, O.; Bertrand, O.; Fiandrino, A.; Höhener, P.; Sandoz, A.; Chérain, Y.; Coulet, E.; Chauvelon, P. An Unstructured Numerical Model to Study Wind-Driven Circulation Patterns in a Managed Coastal Mediterranean Wetland: The Vaccarès Lagoon System. Water 2015, 7, 5986–6016. [Google Scholar] [CrossRef]
- Sun, Y.; Hengguo, Y.U.; Zhou, Q.; Liu, T.; Ma, Z. Seasonal variation of phytoplankton communities in Wenruitang River—A typical eutrophic urban river, Zhejiang Province. J. Lake Sci. 2018, 2, 375–384. (In Chinese) [Google Scholar]
- Li, Y.; Zhang, Q.; Arocena, J.M.; Thring, R.W. Heavy metals and nutrients (carbon, nitrogen, and phosphorus) in sediments: Relationships to land uses, environmental risks, and management. Environ. Sci. Pollut. Res. 2017, 24, 7403–7412. [Google Scholar] [CrossRef]
- Trolle, D.; Zhu, G.; Hamilton, D.P.; Luo, L.; McBride, C.; Zhang, L. The influence of water quality and sediment geochemistry on the horizontal and vertical distribution of phosphorus and nitrogen in sediments of a large, shallow lake. Hydrobiologia 2009, 627, 31–44. [Google Scholar] [CrossRef]
- Ji, X.L.; Zhu, Y.L.; Shang, X. Spatiotemporal variation and assessment of water quality in Wenruitang River network areas. Res. Soil Water Conserv. 2013, 20, 241–246. (In Chinese) [Google Scholar]
- Liu, Y.; Wang, Y.; Sheng, H.; Dong, F.; Zou, R.; Zhao, L.; Guo, H.; Zhu, X.; He, B. Quantitative evaluation of lake eutrophication responses under alternative water diversion scenarios: A water quality modeling based statistical analysis approach. Sci. Total. Environ. 2014, 468–469, 219–227. [Google Scholar] [CrossRef] [PubMed]
- Wang, P.; Wang, C. Water Quality in Taihu Lake and the Effects of the Water Transfer from the Yangtze River to Taihu Lake Project. Compr. Water Qual. Purif. 2014, 4, 136–161. [Google Scholar] [CrossRef]
- Wu, H.; Yan, H. Maintaining healthy rivers and lakes through water diversion from Yangtze River to Taihu Lake in Taihu Basin. Water Sci. Eng. 2008, 1, 36–43. [Google Scholar] [CrossRef]
- Hu, K.; Pang, Y.; Wang, H.; Wang, X.; Wu, X.; Bao, K.; Liu, Q. Simulation study on water quality based on sediment release flume experiment in Lake Taihu, China. Ecol. Eng. 2011, 37, 607–615. [Google Scholar] [CrossRef]
- Zhang, Y.J.; Xiao, C.; Mei, K.; Li, J.; Song, X.; Zhang, M. The effect evaluation of pollution flushing for improving water quality in Wenruitang River, China. In Proceedings of the 2012 Second International Conference on Electric Technology and Civil Engineering, IEEE Computer Society, Washington, DC, USA, 18 May 2012; pp. 3102–3105. [Google Scholar] [CrossRef]
- Huan, L.I.; Wei, W.U.; Luo, F. The comparison of removal effect of total nitrogen and total phosphorus in simulated eutrophic water among 4 kinds of emergent plants, 4 kinds of submerged plants and their mixed communities. Wetl. Sci. 2016, 14, 163–172. [Google Scholar]
- Yang, F.; Yang, Y.; Pan, H. Effect of an enhanced ecological floating bed (EEFB) on zooplankton community in a polluted river. J. Lake Sci. 2011, 23, 498–504. (In Chinese) [Google Scholar]
- Yuan, J.; Dong, L.; Yang, J. Study on purification effect of nitrogen and phosphorus in eutrophic river water by six emerged plants. Environ. Sci. Manag. 2017, 42, 75–78, 83. (In Chinese) [Google Scholar]














| Number | River Name | Number | River Name |
|---|---|---|---|
| 1 | Sanyangtiao | 11 | Shanqianzhi |
| 2 | Wangtanyang | 12 | Shangongdian |
| 3 | Qianhediananhe | 13 | Dongfengtou |
| 4 | Henggangtou | 14 | Zhongxingqiao |
| 5 | Laodianhou | 15 | Caozhaiyang |
| 6 | Dongyang | 16 | Shuilangyangnan |
| 7 | Dianqian | 17 | Shuilangyangxi |
| 8 | Lincun | 18 | Shangcaihou |
| 9 | Shengmenhou | 19 | Haipai |
| 10 | Yongfengqiao |
| NH3-N | TP | ||
|---|---|---|---|
| Point | Point | ||
| C1 | −5.4% | C1 | −1.6% |
| C3 | −6.0% | C3 | −7.7% |
| C5 | −11.4% | C5 | 19.2% |
| C11 | −11.4% | C11 | 19.2% |
| C13 | 4.4% | C13 | 1.5% |
| Period | Months |
|---|---|
| Dry Season | October 16 to April 15 |
| Peak Rain Season | April 16 to July 15 |
| Wet Season | July 16 to October 15 |
Publisher’s Note: MDPI stays neutral with regard to jurisdictional claims in published maps and institutional affiliations. |
© 2021 by the authors. Licensee MDPI, Basel, Switzerland. This article is an open access article distributed under the terms and conditions of the Creative Commons Attribution (CC BY) license (https://creativecommons.org/licenses/by/4.0/).
Share and Cite
Ban, J.; Ling, B.; Huang, W.; Liu, X.; Peng, W.; Zhang, J. Spatiotemporal Variations in Water Flow and Quality in the Sanyang Wetland, China: Implications for Environmental Restoration. Sustainability 2021, 13, 4637. https://doi.org/10.3390/su13094637
Ban J, Ling B, Huang W, Liu X, Peng W, Zhang J. Spatiotemporal Variations in Water Flow and Quality in the Sanyang Wetland, China: Implications for Environmental Restoration. Sustainability. 2021; 13(9):4637. https://doi.org/10.3390/su13094637
Chicago/Turabian StyleBan, Jingya, Bing Ling, Wei Huang, Xiaobo Liu, Wenqi Peng, and Jianmin Zhang. 2021. "Spatiotemporal Variations in Water Flow and Quality in the Sanyang Wetland, China: Implications for Environmental Restoration" Sustainability 13, no. 9: 4637. https://doi.org/10.3390/su13094637
APA StyleBan, J., Ling, B., Huang, W., Liu, X., Peng, W., & Zhang, J. (2021). Spatiotemporal Variations in Water Flow and Quality in the Sanyang Wetland, China: Implications for Environmental Restoration. Sustainability, 13(9), 4637. https://doi.org/10.3390/su13094637
