Authenticity, Perceived Value and Loyalty in Marine Tourism Destinations: The Case of Zhoushan, Zhejiang Province, China
Abstract
1. Introduction
2. Literature Review
2.1. Object-Based Authenticity and Existential Authenticity in Tourism Research
2.2. Perceived Value
2.3. Tourist Loyalty
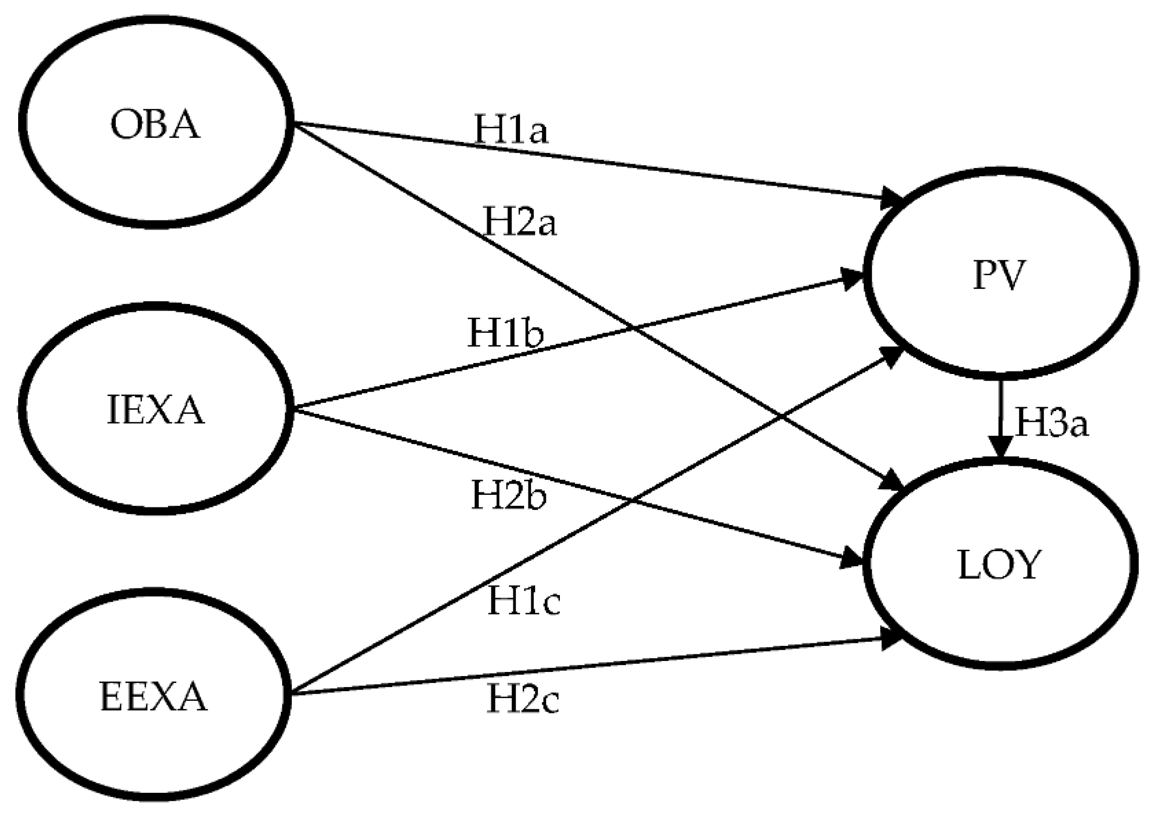
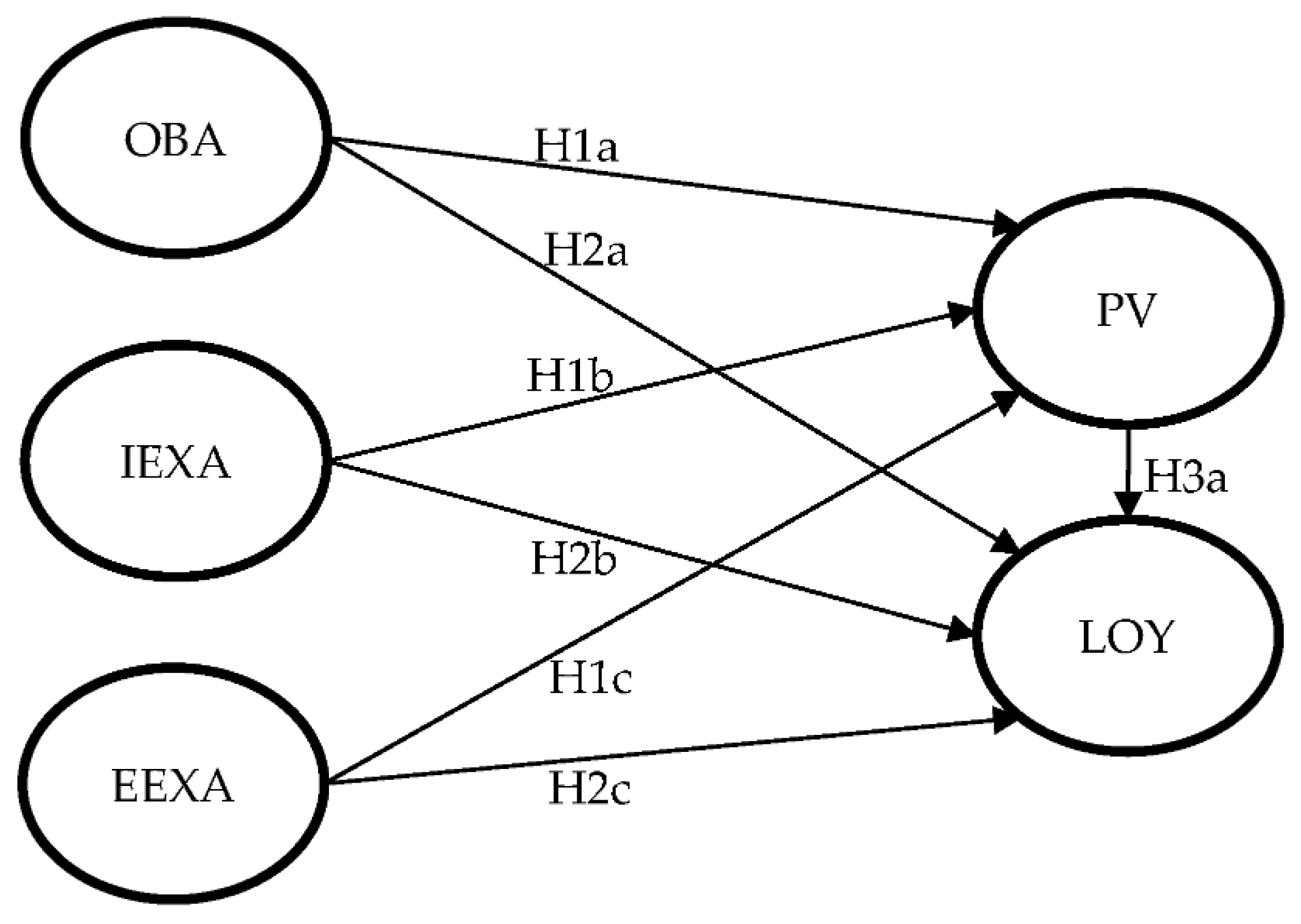
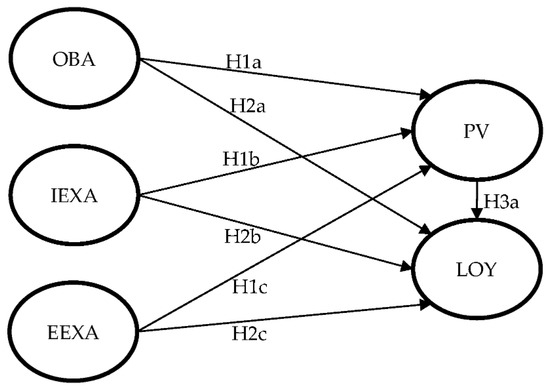
3. Developing Research Hypotheses and Model
3.1. Authenticity and Perceived Value
3.2. Authenticity and Loyalty
3.3. Perceived Value and Loyalty
3.4. The Mediating Role of Perceived Value
4. Materials and Methods
4.1. Research Design
4.2. Instrument Development
4.3. Data Collection
5. Results: Data Analysis and Findings
5.1. Confirmatory Factor Analysis
5.2. Structural Model and Hypothesis Testing
5.3. Testing for Mediating Effects of Perceived Value
6. Discussion of Main Findings, Conclusions and Implications
6.1. Theoretical Contribution
6.2. Managerial Implications
6.3. Limitations and Future Research
Author Contributions
Funding
Institutional Review Board Statement
Informed Consent Statement
Data Availability Statement
Conflicts of Interest
References
- Wang, N. Rethinking Authenticity in Tourism Experience. Ann. Tour. Res. 1999, 26, 349–370. [Google Scholar] [CrossRef]
- MacCannell, D. Staged authenticity: Arrangements of social space in tourist settings. Am. J. Sociol. 1973, 3, 589–603. [Google Scholar] [CrossRef]
- Boorstin, D.J. The Image: A Guide to Pseudo-Events in America; Atheneum: New York, NY, USA, 1964; p. 106. [Google Scholar]
- MacCannell, D. The Tourist: A New Theory of the Leisure Class; Schocken Books: New York, NY, USA, 1976. [Google Scholar]
- Culler, J. Semiotics of Tourism. Am. J. Semiot. 1981, 1, 127–140. [Google Scholar] [CrossRef]
- Cohen, E. Authenticity and commoditization in tourism. Ann. Tour. Res. 1988, 15, 371–386. [Google Scholar] [CrossRef]
- Reisinger, Y.; Steiner, C.J. Reconceptualizing object authenticity. Ann. Tour. Res. 2006, 33, 65–86. [Google Scholar] [CrossRef]
- Kolar, T.; Zabkar, V.A. consumer-based model of authenticity: An oxymoron or the foundation of cultural heritage marketing? Tour. Manag. 2010, 31, 652–664. [Google Scholar] [CrossRef]
- Zhou, Q.B.; Jie, Z.; Zhang, H.; Ma, J. A structural model of host authenticity. Ann. Tour. Res. 2015, 55, 28–45. [Google Scholar] [CrossRef]
- Yi, X.; Fu, X.; Yu, L.; Jiang, L. Authenticity and loyalty at heritage sites: The moderation effect of postmodern authenticity. Tour. Manag. 2018, 67, 411–424. [Google Scholar] [CrossRef]
- Kim, H.; Jamal, T. Touristic quest for existential authenticity. Ann. Tour. Res. 2007, 34, 181–201. [Google Scholar] [CrossRef]
- Shepherd, R.J. Why Heidegger did not travel: Existential angst, authenticity, and tourist experiences. Ann. Tour. Res. 2015, 52, 60–71. [Google Scholar] [CrossRef]
- Vidon, E.S.; Rickly, J.M.; Knudsen, D.C. Wilderness state of mind: Expanding authenticity. Ann. Tour. Res. 2018, 73, 62–70. [Google Scholar] [CrossRef]
- Cohen, S.; Cohen, E. New directions in the sociology of tourism. Curr. Issues Tour. 2017, 22, 153–172. [Google Scholar] [CrossRef]
- Fu, X. Existential authenticity and destination loyalty: Evidence from heritage tourists. J. Destin Mark. Manag. 2019, 12, 84–94. [Google Scholar] [CrossRef]
- Shang, W.; Yuan, Q.; Chen, N. Examining Structural Relationships among Brand Experience, Existential Authenticity, and Place Attachment in Slow Tourism Destinations. Sustainability 2020, 12, 2784. [Google Scholar] [CrossRef]
- Knudsen, D.C.; Rickly, J.M.; Vidon, E.S. The fantasy of authenticity: Touring with Lacan. Ann. Tour. Res. 2016, 58, 33–45. [Google Scholar] [CrossRef]
- Kirillova, K.; Lehto, X.Y.; Cai, L. Existential Authenticity and Anxiety as Outcomes: The Tourist in the Experience Economy. Int. J. Tour. Res. 2017, 19, 13–26. [Google Scholar] [CrossRef]
- Lee, S.; Phau, I.; Hughes, M. Heritage Tourism in Singapore Chinatown: A Perceived Value Approach to Authenticity and Satisfaction. J. Travel. Tour. Mark. 2016, 33, 981–998. [Google Scholar] [CrossRef]
- Zhang, S.N.; Li, Y.Q.; Liu, C.H.; Ruan, W.Q. How does authenticity enhance flow experience through perceived value and involvement: The moderating roles of innovation and cultural identity. J. Travel. Tour. Mark. 2019, 36, 711–729. [Google Scholar] [CrossRef]
- Tian, D.; Wang, Q.; Law, R.; Zhang, M. Influence of Cultural Identity on Tourists’ Authenticity Perception, Tourist Satisfaction, and Traveler Loyalty. Sustainability 2020, 12, 6344. [Google Scholar] [CrossRef]
- Lu, T. Perception of community on authenticity of ethnic singing and dancing performance in Jiuzhaigou tourism destination. Tour. Trib. 2007, 22, 89–94. [Google Scholar]
- Goulding, C. The commodification of the past, postmodern pastiche, and the search for authentic experiences at contemporary heritage attractions. Eur. J. Mark. 2000, 34, 835–853. [Google Scholar] [CrossRef]
- Jensen, U.; Lindberg, F. The Consumption of Tourist Attraction: A Modern, Postmodern and Existential Encounter Perspective. In Interpretive Consumer Research: Paradigms, Methodologies & Applications; Beckmann, S.C., Elliott, R.C., Eds.; Copenhagen Business School Press: Copenhagen, Denmark, 2001. [Google Scholar]
- Salamone, F.A. Authenticity in tourism: The San Angel Inns. Ann. Tour. Res. 1997, 24, 305–321. [Google Scholar] [CrossRef]
- Xie, Y.J. Tourism Experience Research—A Phenomenological Perspective; Nankai University Press: Tianjin, China, 2006; pp. 188–230. [Google Scholar]
- Su, X. Reconstructing Tradition: Heritage Authentication and Tourism-Related Commodification of the Ancient City of Pingyao. Sustainability 2018, 10, 670. [Google Scholar] [CrossRef]
- Yi, X.; Lin, V.S.; Jin, W.; Luo, Q. The Authenticity of Heritage Sites, Tourists Quest for Existential Authenticity, and Destination Loyalty. J. Travel. Res. 2016, 56, 1032–1048. [Google Scholar] [CrossRef]
- Rickly-Boyd, J.M. Authenticity & aura: A Benjaminian Approach to Tourism. Ann. Tour. Res. 2012, 39, 269–289. [Google Scholar]
- Nguyen, T.H.H. A Reflective–Formative Hierarchical Component Model of Perceived Authenticity. J. Hosp. Tour. Res. 2020, 44, 1211–1234. [Google Scholar] [CrossRef]
- Chen, Q.; Huang, R.; Hou, B. Perceived authenticity of traditional branded restaurants (China): Impacts on perceived quality, perceived value, and behavioural intentions. Curr. Issues Tour. 2020, 23, 2950–2971. [Google Scholar] [CrossRef]
- Zhou, Y.; Wu, M.; Zhou, Y.; Lan, Y. Theory of “authenticity” and its Comparison in Tourism Study. Tour. Trib. 2007, 6, 42–47. [Google Scholar]
- Brown, L. Tourism: A catalyst for existential authenticity. Ann. Tour. Res. 2013, 40, 176–190. [Google Scholar] [CrossRef]
- Chhabra, D.; Healy, R.; Sills, E. Staged authenticity and heritage tourism. Ann. Tour. Res. 2003, 30, 702–719. [Google Scholar] [CrossRef]
- Zhu, Y. Performing heritage: Rethinking authenticity in tourism. Ann. Tour. Res. 2012, 39, 1495–1513. [Google Scholar] [CrossRef]
- Moufahima, M.; Lichroub, M. Pilgrimage, consumption and rituals: Spiritual authenticity in a Shia Muslim pilgrimage. Tour. Manag. 2019, 70, 322–332. [Google Scholar] [CrossRef]
- Andriotis, K. Genres of heritage authenticity. Denotations from a pilgrimage landscape. Ann. Tour. Res. 2011, 38, 1613–1633. [Google Scholar] [CrossRef]
- Belhassen, Y.; Caton, K.; Stewart, W.P. The search for authenticity in the pilgrim experience. Ann. Tour. Res. 2008, 35, 668–689. [Google Scholar] [CrossRef]
- Kontogeorgopoulos, N. Finding oneself while discovering others: An existential perspective on volunteer tourism in Thailand. Ann. Tour. Res. 2017, 65, 1–12. [Google Scholar] [CrossRef]
- Jiang, Y.; Ramkissoon, H.; Mavondo, F.T.; Feng, S. Authenticity: The Link between Destination Image and Place Attachment. J. Hosp. Mark. Manag. 2016, 26, 105–124. [Google Scholar] [CrossRef]
- Zeithaml, V.A. Consumer Perceptions of Price, Quality, and Value: A Means-End Model and Synthesis of Evidence. J. Mark. 1988, 52, 2–22. [Google Scholar] [CrossRef]
- Ha, J.; Jang, S.C. Perceived values, satisfaction, and behavioral intentions: The role of familiarity in Korean restaurants. Int. J. Hosp. Manag. 2010, 29, 2–13. [Google Scholar] [CrossRef]
- Bajs, I.P. Tourist Perceived Value, Relationship to Satisfaction, and Behavioral Intentions: The Example of the Croatian Tourist Destination Dubrovnik. J. Travel. Res. 2015, 43, 171–189. [Google Scholar]
- Paraskevaidis, P.; Andriotis, K. Values of souvenirs as commodities. Tour. Manag. 2015, 48, 1–10. [Google Scholar] [CrossRef]
- Prebensen, N.K.; Xie, J. Efficacy of co-creation and mastering on perceived value and satisfaction in tourists’ consumption. Tour. Manag. 2017, 60, 166–176. [Google Scholar] [CrossRef]
- Sabiote-Ortiz, C.M.; Frias-Jamilena, D.M.; Castaneda-Garcia, J.A. Overall Perceived Value of a Tourism Service Delivered via Different Media: A Cross-Cultural Perspective. J. Travel. Res. 2016, 55, 34–51. [Google Scholar] [CrossRef]
- Sánchez, J.; Callarisa, L.; Rodríguez, R.M.; Moliner, M.A. Perceived value of the purchase of a tourism product. Tour. Manag. 2006, 27, 394–409. [Google Scholar] [CrossRef]
- Soutar, S.G.N. Consumer perceived value: The development of a multiple item scale. J. Retail. 2001, 77, 203–220. [Google Scholar]
- Fu, Y.; Liu, X.; Wang, Y.; Chao, R.F. How experiential consumption moderates the effects of souvenir authenticity on behavioral intention through perceived value. Tour. Manag. 2018, 69, 356–367. [Google Scholar] [CrossRef]
- Oliver, R.L. Whence Consumer Loyalty? J. Mark. 1999, 63, 33–44. [Google Scholar] [CrossRef]
- Oliver, R.L. Satisfaction: A Behavioral Perspective on the Consumer; McGraw-Hill: New York, NY, USA, 1997. [Google Scholar]
- Zhang, H.; Fu, X.; Cai, L.A.; Lu, L. Destination image and tourist loyalty: A meta-analysis. Tour. Manag. 2014, 40, 213–223. [Google Scholar] [CrossRef]
- Chen, C.F.; Chen, F.S. Experience quality, perceived value, satisfaction and behavioral intentions for heritage tourists. Tour. Manag. 2010, 31, 29–35. [Google Scholar] [CrossRef]
- Meleddu, M.; Paci, R.; Pulina, M. Repeated behaviour and destination loyalty. Tour. Manag. 2015, 50, 159–171. [Google Scholar] [CrossRef]
- Back, K.; Park, S.C. A Brand Loyalty Model Involving Cognitive, Affective, and Conative Brand Loyalty and Customer Satisfaction. J. Hosp. Tour. Res. 2003, 27, 419–435. [Google Scholar] [CrossRef]
- Back, K. The Effects of Image Congruence on Customers’ Brand Loyalty in the Upper Middle-Class Hotel Industry. J. Hosp. Tour. Res. 2016, 29, 448–467. [Google Scholar] [CrossRef]
- Yuksel, A.; Yuksel, F.; Bilim, Y. Destination attachment: Effects on customer satisfaction and cognitive, affective and conative loyalty. Tour. Manag. 2010, 31, 274–284. [Google Scholar] [CrossRef]
- Pedersen, P.E.; Nysveen, H.R. Shopbot banking: An exploratory study of customer loyalty effects. Int. J. Bank. Mark. 2001, 19, 146–155. [Google Scholar] [CrossRef]
- Mody, M.; Hanks, L. Consumption Authenticity in the Accommodations Industry: The Keys to Brand Love and Brand Loyalty for Hotels and Airbnb. J. Travel. Res. 2020, 59, 173–189. [Google Scholar] [CrossRef]
- Lin, Y.C.; Liu, Y.C. Deconstructing the internal structure of perceived authenticity for heritage tourism. J. Sustain. Tour. 2019, 26, 2134–2152. [Google Scholar] [CrossRef]
- Nirundon, T.; Robert, W. An Examination of the Role of Beneficial Image in Tourist Destination Selection. J. Travel. Res. 2000, 39, 37–44. [Google Scholar]
- Murphy, P.; Pritchard, M.P.; Smith, B. The destination product and its impact on traveller perceptions. Tour. Manag. 2000, 21, 43–52. [Google Scholar] [CrossRef]
- Jang, S.C.; Ha, J.; Park, K. Effects of ethnic authenticity: Investigating Korean restaurant customers in the U.S. Int. J. Hosp. Manag. 2012, 31, 990–1003. [Google Scholar] [CrossRef]
- Liu, H.; Li, H.; Dipietro, R.B.; Levitt, J.A. The role of authenticity in mainstream ethnic restaurants: Evidence from an independent full-service Italian restaurant. Int. J. Contemp. Hosp. Manag. 2018, 30, 1035–1053. [Google Scholar] [CrossRef]
- Home, R.; Oehen, B.; Ksmayr, A.; Wiesel, J.; Meulen, N.V.D. The Importance of Being Local: The Role of Authenticity in the Concepts Offered by Non-Themed Domestic Restaurants in Switzerland. Sustainability 2020, 12, 3907. [Google Scholar] [CrossRef]
- Lee, J.S.; Lee, C.K.; Choi, Y. Examining the Role of Emotional and Functional Values in Festival Evaluation. J. Travel. Res. 2010, 50, 685–696. [Google Scholar] [CrossRef]
- Nunnally, J.C. Psychometric theory. Am. Educ. Res. J. 1978, 5, 83. [Google Scholar]
- Anderson, J.C.; Gerbing, D.W. Structural equation modeling in practice: A review and recommended two-step approach. Psychol. Bull. 1988, 103, 411–423. [Google Scholar] [CrossRef]
- Hair, J.R.J.; Black, W.; Babin, B.; Anderson, R. Multivariate Data Analysis, 7th ed.; Pearson: London, UK, 2009. [Google Scholar]
- Bagozzi, R.P. Evaluating Structural Equation Models with Unobservable Variables and Measurement Error: A Comment. J. Mark. Res. 1981, 18, 375–381. [Google Scholar] [CrossRef]
- Baumergartner, H.; Homburg, C. Applications of structural equation modeling in marketing and consumer research: A review. Int. J. Res. Mark. 1996, 13, 139–161. [Google Scholar] [CrossRef]
- Bollen, K.A. Structural Equations with Latent Variables; John Wiley & Sons: New York, NY, USA, 1989; pp. 289–308. [Google Scholar]
- Hoyle, R.H. Structural Equation Modeling: Concepts, Issues, and Applications; Sage Publications: Thousand Oaks, CA, USA, 1995. [Google Scholar]
- DeVellis, R.F. Scale Development: Theory and Applications, 3rd ed.; Sage Publications: Thousand Oaks, CA, USA, 2012. [Google Scholar]
- Na, M.F.; Xie, Y.J.; Gursoy, D. A Study on Destination Experiential Value: Multi-dimensional Analysis and Scale Development. Tour. Trib. 2019, 34, 48–60. [Google Scholar]


| Variables | Category | N | Percentage (%) |
|---|---|---|---|
| Gender | Male | 211 | 51.7 |
| Female | 196 | 48.0 | |
| Missing | 1 | 0.2 | |
| Age Group | ≤25 | 52 | 12.7 |
| 26–35 | 146 | 35.8 | |
| 36–45 | 137 | 33.6 | |
| 46–55 | 64 | 15.7 | |
| ≥56 | 9 | 2.2 | |
| Profession | Government staff | 38 | 9.3 |
| Professional/technical personnel | 43 | 10.5 | |
| Staff | 97 | 23.8 | |
| Businessman | 68 | 16.7 | |
| Technicians/laborer | 35 | 8.6 | |
| Waiter/salesmen | 30 | 7.4 | |
| Students | 46 | 11.3 | |
| Other professions | 51 | 12.5 | |
| Education | Middle school and below | 32 | 7.9 |
| High school | 76 | 18.6 | |
| Junior College | 101 | 24.8 | |
| Bachelor | 138 | 33.8 | |
| Master and Doctorate | 61 | 15.0 | |
| Tourists’ permanent residence | Anhui Province | 34 | 8.3 |
| Jiangsu Province | 66 | 16.2 | |
| Shanghai Special Municipality | 52 | 12.7 | |
| Zhejiang Province | 142 | 34.8 | |
| Other provinces | 114 | 27.9 | |
| Travel mode | Package tour | 42 | 10.3 |
| Free tour | 223 | 54.7 | |
| Tour with travel companion | 64 | 15.7 | |
| Company organized tour | 43 | 10.5 | |
| Other modes | 36 | 8.8 |
| Construct/Items | Loading | SMC | CR | AVE |
|---|---|---|---|---|
| Object-Based Authenticity (OBA) | 0.834 | 0.558 | ||
| I perceived the marine cultural relics to be original. | 0.786 | 0.618 | ||
| The marine historical sites embody marine history. | 0.771 | 0.594 | ||
| The local art is closely related to marine culture. | 0.707 | 0.500 | ||
| The folk customs are closely related to marine culture. | 0.721 | 0.520 | ||
| Intrapersonal Authenticity (IEXA) | 0.836 | 0.633 | ||
| My body was freed from the limitation of daily work/routine. | 0.924 | 0.854 | ||
| I tried to seek novel travel experiences to satisfy myself (IEXA2) | 0.687 | 0.472 | ||
| I feel immersed in the marine ambience. | 0.757 | 0.573 | ||
| Interpersonal Authenticity (EEXA) | 0.853 | 0.661 | ||
| I keep in touch with local people in a natural and friendly way. | 0.814 | 0.663 | ||
| I keep in touch with my family in a natural and friendly way. | 0.859 | 0.738 | ||
| I keep in touch with other tourists in a natural and friendly way. | 0.762 | 0.581 | ||
| Perceived Value (PV) | 0.807 | 0.586 | ||
| I received excellent tourist service in this scenic spot. | 0.736 | 0.542 | ||
| Accommodation, transportation and shopping here are convenient. | 0.886 | 0.785 | ||
| I think the site is worth visiting. (PV3) | 0.656 | 0.430 | ||
| Loyalty (LOY) | 0.831 | 0.621 | ||
| I would like to visit this site again. | 0.792 | 0.627 | ||
| I would like to travel to similar sites. | 0.735 | 0.540 | ||
| I would like to recommend this site to others. | 0.835 | 0.697 |
| AVE | LOY | PV | EEXA | IEXA | OBA | |
|---|---|---|---|---|---|---|
| LOY | 0.621 | 0.788 | ||||
| PV | 0.586 | 0.656 | 0.766 | |||
| EEXA | 0.661 | 0.535 | 0.505 | 0.813 | ||
| IEXA | 0.633 | 0.272 | 0.256 | 0.363 | 0.796 | |
| OBA | 0.558 | 0.563 | 0.446 | 0.312 | 0.277 | 0.747 |
| χ2/df | P | GFI | CFI | NFI | TLI | RMSEA | RMR |
|---|---|---|---|---|---|---|---|
| 2.277 | 0.000 | 0.941 | 0.960 | 0.931 | 0.949 | 0.056 | 0.035 |
| Path | Estimate | S.E. | P | Result |
|---|---|---|---|---|
| OBA → PV (H1a) | 0.374 | 0.071 | *** | Supported |
| IEXA → PV (H1b) | 0.030 | 0.070 | 0.671 | Rejected |
| EEXA → PV (H1c) | 0.499 | 0.081 | *** | Supported |
| OBA → LOY (H2a) | 0.310 | 0.056 | *** | Supported |
| IEXA → LOY (H2b) | −0.003 | 0.051 | 0.953 | Rejected |
| EEXA → LOY (H2c) | 0.251 | 0.063 | *** | Supported |
| PV → LOY (H3a) | 0.334 | 0.055 | *** | Supported |
| Mediation Hypotheses | Bias-Corrected Percentile | |||||
|---|---|---|---|---|---|---|
| Estimate | SE Boot | Lower | Upper | p | Result | |
| H4a (OBA → PV → LOY) | 0.125 | 0.034 | 0.068 | 0.203 | 0.000 | Supported |
| H4b (IEXA → PV → LOY) | 0.010 | 0.026 | −0.044 | 0.063 | 0.696 | Rejected |
| H4c (EEXA → PV → LOY) | 0.167 | 0.049 | 0.089 | 0.289 | 0.000 | Supported |
Publisher’s Note: MDPI stays neutral with regard to jurisdictional claims in published maps and institutional affiliations. |
© 2021 by the authors. Licensee MDPI, Basel, Switzerland. This article is an open access article distributed under the terms and conditions of the Creative Commons Attribution (CC BY) license (http://creativecommons.org/licenses/by/4.0/).
Share and Cite
Su, Y.; Xu, J.; Sotiriadis, M.; Shen, S. Authenticity, Perceived Value and Loyalty in Marine Tourism Destinations: The Case of Zhoushan, Zhejiang Province, China. Sustainability 2021, 13, 3716. https://doi.org/10.3390/su13073716
Su Y, Xu J, Sotiriadis M, Shen S. Authenticity, Perceived Value and Loyalty in Marine Tourism Destinations: The Case of Zhoushan, Zhejiang Province, China. Sustainability. 2021; 13(7):3716. https://doi.org/10.3390/su13073716
Chicago/Turabian StyleSu, Yongjun, Junjie Xu, Marios Sotiriadis, and Shiwei Shen. 2021. "Authenticity, Perceived Value and Loyalty in Marine Tourism Destinations: The Case of Zhoushan, Zhejiang Province, China" Sustainability 13, no. 7: 3716. https://doi.org/10.3390/su13073716
APA StyleSu, Y., Xu, J., Sotiriadis, M., & Shen, S. (2021). Authenticity, Perceived Value and Loyalty in Marine Tourism Destinations: The Case of Zhoushan, Zhejiang Province, China. Sustainability, 13(7), 3716. https://doi.org/10.3390/su13073716

