Target Detection-Based Tree Recognition in a Spruce Forest Area with a High Tree Density—Implications for Estimating Tree Numbers
Abstract
1. Introduction
2. Materials and Methods
2.1. Introduction to Research Objectives
2.2. Study Area
2.3. Data Acquisition and Preprocessing
2.4. Methods
2.4.1. SSD
2.4.2. YOLOv3
2.4.3. YOLOv4
2.4.4. Faster-RCNN
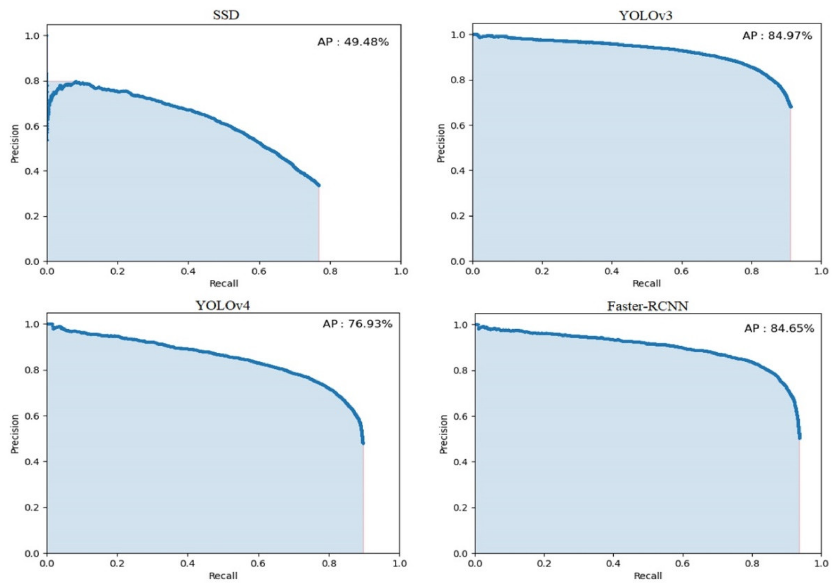
3. Results
Accuracy Assessment
4. Discussion
5. Conclusions
Author Contributions
Funding
Institutional Review Board Statement
Informed Consent Statement
Data Availability Statement
Acknowledgments
Conflicts of Interest
References
- Ding, Y.; Zang, R.G.; Huang, J.H.; Xu, Y.; Lu, X.H.; Guo, Z.J.; Ren, W. Intraspecific trait variation and neighborhood competition drive community dynamics in an old-growth spruce forest in northwest China. Sci. Total. Environ. 2019, 678, 25–532. [Google Scholar] [CrossRef]
- Jiao, L.; Jiang, Y.; Wang, M.C.; Kang, X.Y.; Zhang, W.T.; Zhang, L.N.; Zhao, S.D. Responses to climate change in radial growth of Picea schrenkiana along elevations of the eastern Tianshan Mountains, northwest China. Dendrochronologia 2016, 40, 117–127. [Google Scholar] [CrossRef]
- Sullivan, B.W.; Alvarez-Clare, S.; Castle, S.C.; Porder, S.; Reed, S.C.; Schreeg, L.; Townsend, A.R.; Cleveland, C.C. Assessing nutrient limitation in complex forested ecosystems: Alternatives to large-scale fertilization experiments. Ecology 2014, 95, 668–681. [Google Scholar] [CrossRef]
- Van der Sande, M.T.; Peña-Claros, M.; Ascarrunz, N.; Arets, E.J.M.M.; Licona, J.C.; Toledo, M.; Poorter, L. Abiotic and biotic drivers of biomass change in a Neotropical forest. J. Ecol. 2017, 105, 1223–1234. [Google Scholar] [CrossRef]
- Clark, J.S.; Bell, D.M.; Hersh, M.H.; Nichols, L. Climate change vulnerability of forest biodiversity: Climate and competition tracking of demographic rates. Glob. Chang. Biol. 2011, 17, 1834–1849. [Google Scholar] [CrossRef]
- Ozdemir, I.; Karnieli, A. Predicting forest structural parameters using the image texture derived from WorldView-2 multispectral imagery in a dryland forest, Israel. Int. J. Appl. Earth Obs. Geoinf. 2011, 13, 701–710. [Google Scholar] [CrossRef]
- Zhang, N.; Zhang, X.L.; Ye, L. Tree crown extraction based on segmentation of high-resolution remote sensing image improved peak-climbing algorithm. Trans. Chin. Soc. Agric. Eng. 2014, 45, 294–300. [Google Scholar]
- Wagner, F.H.; Ferreira, M.P.; Sanchez, A.; Hirye, M.C.; Zortea, M.; Gloor, E.; Phillips, O.L.; de Souza Filho, C.R.; Shimabukuro, Y.E.; Aragão, L.E. Individual tree crown delineation in a highly diverse tropical forest using very high resolution satellite images. ISPRS J. Photogramm. Remote Sens. 2018, 145, 362–377. [Google Scholar] [CrossRef]
- Koc-San, D.; Selim, S.; Aslan, N.; San, B.T. Automatic citrus tree extraction from UAV images and digital surface models using circular Hough transform. Comput. Electron. Agric. 2018, 150, 289–301. [Google Scholar] [CrossRef]
- Aubry-Kientz, M.; Dutrieux, R.; Ferraz, A.; Saatchi, S.; Hamraz, H.; Williams, J.; Coomes, D.; Piboule, A.; Vincent, G. A comparative assessment of the performance of individual tree crowns delineation algorithms from als data in tropical forests. Remote Sens. 2019, 11, 1086. [Google Scholar] [CrossRef]
- Duncanson, L.; Cook, B.; Hurtt, G.; Dubayah, R. An efficient, multi-layered crown delineation algorithm for mapping individual tree structure across multiple ecosystems. Remote Sens. Environ. 2014, 154, 378–386. [Google Scholar] [CrossRef]
- Gini, R.; Passoni, D.; Pinto, L.; Sona, G. Use of unmanned aerial systems for multispectral survey and tree classification: A test in a park area of northern Italy. Eur. J. Remote Sens. 2014, 47, 251–269. [Google Scholar] [CrossRef]
- Deng, X.; Tong, Z.; Lan, Y.; Huang, Z. Detection and location of dead trees with pine wilt disease based on deep learning and UAV remote sensing. AgriEngineering 2020, 2, 294–307. [Google Scholar] [CrossRef]
- Schiefer, F.; Kattenborn, T.; Frick, A.; Frey, J.; Schall, P.; Koch, B.; Schmidtlein, S. Mapping forest tree species in high resolution UAV-based RGB-imagery by means of convolutional neural networks. ISPRS J. Photogramm. Remote Sens. 2020, 170, 205–215. [Google Scholar] [CrossRef]
- Ding, R.; Dai, L.; Li, G.; Liu, H. TDD-Net: A tiny defect detection network for printed circuit boards. CAAI Trans. Intell. Technol. 2019, 4, 110–116. [Google Scholar] [CrossRef]
- Lan, Y.; Zhu, Z.; Deng, X.; Lian, B.; Huang, J.; Huang, Z.; Hu, J. Monitoring and classification of citrus Huanglongbing based on UAV hyperspectral remote sensing. Trans. Chin. Soc. Agric. Eng. 2019, 35, 92–100. [Google Scholar]
- Tang, L.; Shao, G. Drone remote sensing for forestry research and practices. J. For. Res. 2015, 26, 791–797. [Google Scholar] [CrossRef]
- Lebourgeois, V.; Bégué, A.; Labbé, S.; Mallavan, B.; Prévot, L.; Roux, B. Can commercial digital cameras be used as multispectral sensors? A crop monitoring test. Sensors 2008, 8, 7300–7322. [Google Scholar] [CrossRef]
- Komarek, J. The perspective of unmanned aerial systems in forest management. Do we really need such details? Appl. Veg. Sci. 2020, 23, 718–721. [Google Scholar] [CrossRef]
- He, Y.; Zhou, X.C.; Huang, H.Y.; Xu, X.Q. Counting tree number in subtropical forest districts based on UAV remote sensing images. Remote Sens. Technol. Appl. 2018, 33, 168–176. [Google Scholar]
- Hernandez, J.G.; Ferreiro, E.G.; Sarmento, A.; Silva, J.; Nunes, A.; Correia, A.C.; Fontes, L.; de Brito Tavares, M.M.B.; Varela, R.A.D. Using high resolution UAV imagery to estimate tree variables in Pinus pinea plantation in Portugal. For. Syst. 2016, 25, 16. [Google Scholar] [CrossRef]
- Li, M.H.; He, F.H.; Liu, Y.; Pan, C.D. Spatial distribution pattern of tree individuals in the Schrenk spruce forest, northwest China. Acta Ecol. Sin. 2005, 25, 1000–1006, (In Chinese with English Abstract). [Google Scholar]
- Zhang, H.; Xu, M.; Zhuo, L.; Havyarimana, V. A novel optimization framework for salient object detection. Visual Comput. 2016, 32, 31–41. [Google Scholar] [CrossRef]
- Ren, S.; He, K.; Girshick, R.; Sun, J. Faster R-CNN: Towards real-time object detection with region proposal networks. IEEE Trans. Pattern Anal. Mach. Intell. 2016, 39, 1137–1149. [Google Scholar] [CrossRef] [PubMed]
- Guan, H.; Cheng, B. How do deep convolutional features affect tracking performance: An experimental study. Visual Comput. 2018, 34, 1701–1711. [Google Scholar] [CrossRef]
- Li, T.; Ye, M.; Ding, J. Discriminative Hough context model for object detection. Visual Comput. 2014, 30, 59–69. [Google Scholar] [CrossRef]
- Girshick, R.; Donahue, J.; Darrell, T. Rich Feature Hierarchies for Accurate Object Detection and Semantic Segmentation. In Proceedings of the IEEE Conference on Computer Vision and Pattern Recognition (CVPR), Columbus, OH, USA, 23–28 June 2014; pp. 580–587. [Google Scholar]
- Brill, M.H. Computer vision and pattern recognition: CVPR 92. Color Res. Appl. 2010, 17, 426–427. [Google Scholar] [CrossRef]
- Liu, W.; Anguelov, D.; Erhan, D.; Szegedy, C.; Reed, S.; Fu, C.Y.; Berg, A.C. SSD: Single shot Multi-Box Detector. In Proceedings of the European Conference on Computer Vision, Amsterdam, The Netherlands, 11–14 October 2016; 9905, pp. 21–37. [Google Scholar]
- Redmon, J.; Farhadi, A. Yolov3: An incremental improvement. arXiv 2018, arXiv:1804.02767. [Google Scholar]
- Zhu, Q.; Zheng, H.; Wang, Y.; Cao, Y.; Guo, S. Study on the evaluation method of sound phase cloud maps based on an improved YOLOv4 algorithm. Sensors 2020, 20, 4314. [Google Scholar] [CrossRef]
- Bochkovskiy, A.; Wang, C.Y.; Liao, H.Y.M. YOLOv4: Optimal speed and accuracy of object detection. arXiv 2020, arXiv:2004.10934. [Google Scholar]
- Lin, T.Y.; Goyal, P.; Girshick, R.; He, K.; Dollár, P. Focal loss for dense object detection. IEEE Trans. Pattern Anal. Mach. Intell. 2020, 42, 318–327. [Google Scholar] [CrossRef] [PubMed]
- Bodla, N.; Singh, B.; Chellappa, R.; Davis, L.S. Soft-NMS improving object detection with one line of code. In Proceedings of the IEEE International Conference on Computer Vision (ICCV), Venice, Italy, 22–29 October 2017; pp. 5562–5570. [Google Scholar]
- Bao, J.; Wei, S.; Lv, J.; Zhang, W. Optimized faster-RCNN in real-time facial expression classification. IOP Conf. Ser. Mater. Sci. Eng. 2020, 790, 012148. [Google Scholar] [CrossRef]
- Fattal, A.K.; Karg, M.; Scharfenberger, C.; Adamy, J. Saliency-guided region proposal network for CNN based object detection. In Proceedings of the Saliency-Guided Region Proposal Network for CNN Based Object Detection, Yokohama, Japan, 16–19 October 2017; pp. 1–8. [Google Scholar]
- Redmon, J.; Farhadi, A. Yolo9000: Better, faster, stronger. In Proceedings of the IEEE Conference on Computer Vision and Pattern Recognition (CVPR), Honolulu, HI, USA, 21–26 July 2017; pp. 6517–6525. [Google Scholar]
- Yu, Z.W.; Shen, Y.G.; Shen, C.K. A real-time detection approach for bridge cracks based on YOLOv4-FPM. Automat. Construct. 2021, 122, 103514. [Google Scholar] [CrossRef]
- Ronneberger, O.; Fischer, P.; Brox, T. U-Net: Convolutional networks for biomedical image segmentation. In International Conference on Medical Image Computing and Computer-Assisted Intervention; Navab, N., Hornegger, J., Wells, W.M., Frangi, A.F., Eds.; Springer: Cham, Switzerland, 2015; pp. 234–241. [Google Scholar]








| Test Area1, Nv = 165 | Test Area2, Nv = 245 | Test Area3, Nv = 359 | |||||||
|---|---|---|---|---|---|---|---|---|---|
| Nd | No | OA (%) | Nd | No | OA (%) | Nd | No | OA (%) | |
| SSD | 44 | 3 | 24.85 | 37 | 1 | 14.69 | 66 | 0 | 18.38 |
| YOLOv3 | 135 | 12 | 74.55 | 167 | 7 | 65.31 | 150 | 2 | 41.23 |
| YOLOv4 | 146 | 10 | 82.42 | 211 | 10 | 82.04 | 209 | 7 | 56.27 |
| Faster-RCNN | 191 | 32 | 96.36 | 280 | 44 | 96.32 | 362 | 19 | 95.54 |
Publisher’s Note: MDPI stays neutral with regard to jurisdictional claims in published maps and institutional affiliations. |
© 2021 by the authors. Licensee MDPI, Basel, Switzerland. This article is an open access article distributed under the terms and conditions of the Creative Commons Attribution (CC BY) license (http://creativecommons.org/licenses/by/4.0/).
Share and Cite
Emin, M.; Anwar, E.; Liu, S.; Emin, B.; Mamut, M.; Abdukeram, A.; Liu, T. Target Detection-Based Tree Recognition in a Spruce Forest Area with a High Tree Density—Implications for Estimating Tree Numbers. Sustainability 2021, 13, 3279. https://doi.org/10.3390/su13063279
Emin M, Anwar E, Liu S, Emin B, Mamut M, Abdukeram A, Liu T. Target Detection-Based Tree Recognition in a Spruce Forest Area with a High Tree Density—Implications for Estimating Tree Numbers. Sustainability. 2021; 13(6):3279. https://doi.org/10.3390/su13063279
Chicago/Turabian StyleEmin, Mirzat, Erpan Anwar, Suhong Liu, Bilal Emin, Maryam Mamut, Abduwali Abdukeram, and Ting Liu. 2021. "Target Detection-Based Tree Recognition in a Spruce Forest Area with a High Tree Density—Implications for Estimating Tree Numbers" Sustainability 13, no. 6: 3279. https://doi.org/10.3390/su13063279
APA StyleEmin, M., Anwar, E., Liu, S., Emin, B., Mamut, M., Abdukeram, A., & Liu, T. (2021). Target Detection-Based Tree Recognition in a Spruce Forest Area with a High Tree Density—Implications for Estimating Tree Numbers. Sustainability, 13(6), 3279. https://doi.org/10.3390/su13063279

