Next Article in Journal
Factors Affecting COVID-19 Outbreaks across the Globe: Role of Extreme Climate Change
Previous Article in Journal
Evaluation of Environmental Naturalness: A Case Study in the Tietê-Jacaré Hydrographic Basin, São Paulo, Brazil
Previous Article in Special Issue
Performance Evaluation of Soft Computing for Modeling the Strength Properties of Waste Substitute Green Concrete
 
 
Font Type:
Arial Georgia Verdana
Font Size:
Aa Aa Aa
Line Spacing:
Column Width:
Background:
Article

Sustainability-Oriented Model to Decide on Concrete Pipeline Reinforcement

by
Irene Josa
1,
Albert de la Fuente
1,*,
Maria del Mar Casanovas-Rubio
2,
Jaume Armengou
3 and
Antonio Aguado
1
1
Department of Civil and Environmental Engineering, Universitat Politècnica de Catalunya, 08034 Barcelona, Spain
2
Department of Management, Universitat Politècnica de Catalunya, 08028 Barcelona, Spain
3
IESE Business School, University of Navarra, 08034 Barcelona, Spain
*
Author to whom correspondence should be addressed.
Sustainability 2021, 13(6), 3026; https://doi.org/10.3390/su13063026
Submission received: 5 February 2021 / Revised: 1 March 2021 / Accepted: 5 March 2021 / Published: 10 March 2021
(This article belongs to the Special Issue Sustainable Concrete Structures)

Abstract

The design of sustainable sewerage infrastructure is fundamental for achieving long-term sustainability goals. Piping systems are essential components in the water supply chain and in waste disposal systems worldwide. Among possible designs for concrete pipes, steel cages consisting of curved rebars have been predominantly used as reinforcement. However, structural fibres have emerged as an attractive technical and economical alternative for substituting steel cages. Due to increasing urbanisation, thousands of kilometres of pipes will be constructed in the near future. At present, decisions regarding reinforcement of concrete pipes are primarily cost-driven. To consider other aspects, it is fundamental to identify and quantify potential sustainability issues properly. Hence, this paper focuses on the sustainability analysis of reinforced concrete pipes using a multi-criteria decision-making method. A model based on criteria, indicators, weights and value functions is developed and calibrated by assessing various concrete reinforcement strategies (steel bars or steel/synthetic fibres). The main contributions of the article are the proposal and application of a model for the case of concrete pipes which can be adapted for other case studies; determining how different typologies of pipes contribute to the overall sustainability of infrastructure systems; and the use and application of a robust and interesting multi-criteria decision-making methodology. The results show that fibre reinforced concrete pipes are promising alternatives in social, economic and environmental terms. Both the model and results are expected to be useful to stakeholders in decision-making processes.

1. Introduction

Water is basic for humans. This has been reflected in many internationally recognised documents such as the resolution adopted by the United Nations (UN) [1]. Through this resolution, the UN recognised the human right to water and sanitation and acknowledged that clean drinking water and sanitation were essential to the realisation of all human rights.
Besides, this resolution also emphasised the role of institutions in helping capacity-building and technology transfer to support countries that do not have clean, safe, accessible and affordable drinking water and sanitation for all. Furthermore, the relationship between WaSH (Water, Sanitation and Hygiene) and economic, environmental and social factors has been increasingly recognised as an important component within lifecycle thinking and the sustainable development framework [1]. This has been transferred to the 2030 Agenda for Sustainable Development, which determines issues related to water and sanitation to be fundamental. Setty et al. [2] identified the current priority areas in the field of WaSH and in relation to meeting Sustainable Development Goal 6 (SDG 6). In particular, at present, development of sanitation and wastewater networks is a major challenge in many countries as this has a strong connection to aspects such as health, nutrition, education or poverty eradication [3,4].
Whilst some research has been carried out in different areas related to SDG 6, there is a gap in scientific understanding of wastewater infrastructure from a sustainability point of view. In this context, piping systems are crucial elements [5,6]. Although sometimes overlooked, these are essential in the urban water cycle as a mainstay of wastewater treatment. Design is particularly important, as underground sanitation networks tend to be difficult to access.
Sewerage pipes can be divided into flexible and rigid, according to the relative soil-pipe stiffness [7]. The former are frequently made out of steel or thermoplastics (e.g., polypropylene, polyethylene and PVC), whilst the latter are made out of concrete (either plain or reinforced). Thermoplastic pipes are usually designated for pipes with internal diameters under 300 mm, whereas concrete pipes (CPs, hereinafter) are more often produced for diameters ranging between 300 and 3000 mm.
Traditionally, unreinforced concrete pipes (UCPs) and steel-bar reinforced concrete pipes (RCPs) have been two predominant alternatives when designing sewerage and drainage pipes. However, more recently, fibre-reinforced concrete pipes (FRCPs) emerged as a viable alternative. The introduction of structural fibres in this context was mainly due to their technical and economic advantages [8,9,10]. In fact, numerous publications address and compare technical specificities concerning different concrete pipe configurations. Some examples are: (1) determination of optimal fibre content according to the required strength class [11,12]; (2) mechanical properties and design of steel [10,13,14,15,16,17,18,19] and polypropylene CPs [20,21,22,23,24]; (3) fibre hybridisation [24,25] and the combination of steel cages and fibres [26,27,28]; (4) the long-term performance under boundary loading conditions [21,23,29]; (5) computer-aided design [25,30,31,32,33]; and (6) analysis of damage evolution when in service [34]. Nevertheless, it is essential to better understand the sustainability implications that the use of different reinforcements have. In fact, the choice of reinforcement is at present primarily cost-driven, and it does not consider other fundamental aspects that are currently disregarded (or subjectively taken into account). These other factors include risks during pipe manufacturing and handling; recyclability of the concrete mix constituents; emissions and embodied energy associated with the production of the reinforcement; and social perceptions.
Currently, no comparative studies exist on sustainability of concrete pipes with different reinforcements. It is in this context that decision-making methods may be useful to support production and installation of more sustainable piping systems, not only economically or functionally, but also environmentally and socially. This said, it should be mentioned that sustainability assessment studies in the civil engineering field have tended to focus more on comprehensive analyses rather than on specific structural components. Nevertheless, this is starting to shift towards more studies focusing on specific components within a structure [35,36]. Analysis of specific structural elements (e.g., columns, beams and slabs of a building) provides understanding on how a specific part of a system contributes to overall sustainability. Besides, it can also be valuable in maintenance stages, where specific parts of a structure need to be replaced.
Against this background, the Integrated Value Model for Sustainability Assessment, known as MIVES (acronym from the Spanish Modelo Integrado de Valor para Evaluaciones de Sostenibilidad), is a multi-criteria decision-making method that provides support for product and service sustainability assessment. It has already proven to be a suitable approach to assist stakeholders in decision-making processes where sustainability is a key determinant, such as hydraulic [7,37] and underground [10,38,39] infrastructures; buildings [36,40,41,42]; industrial construction [43]; urban development [44]; electricity generation infrastructure [45,46]; and even post-disaster housing management and reconstruction [47,48]. It should be mentioned that MIVES was included in the fib Bulletins 83 “Precast Tunnel Segments in Fibre Reinforced Concrete” [49] and 88 “Sustainability of Prefabrication” [50] as a reference model to assess sustainability in the field of precast concrete products.
Therefore, this paper makes use of the flexibility of MIVES to simultaneously develop a tool to assess the sustainability of structural concrete elements in the context of WASH and to compose a decision-making tree based on the MIVES method to assess the sustainability of concrete pipes. In particular, the main contributions of the article are threefold. First, it proposes and applies a model for the case of concrete pipes; this model can easily be adapted for other case studies. Second, it determines how different typologies of pipes contribute to the overall sustainability of infrastructure systems, which can be useful for practitioners and researchers. Third, it presents the application of a multi-criteria decision-making methodology, which is potentially relevant for other researchers to better understand how it can be used and applied.
The remainder of the paper is structured as follows. Section 2 introduces the reader to standard practice concerning different reinforcement configurations for concrete pipes, which is the basis of this paper. Then, Section 3 presents the MIVES methodology and the model developed to assess sustainability of RCPs and FRCPs. The study case, including the identification and quantification of the main variables, is described in Section 4. The results are discussed in Section 5. To verify the robustness of these results, a sensitivity analysis is carried out in Section 6. Finally, the conclusion is drawn in Section 7.

2. Conceptual Background

The mechanical performance of CPs is characterised by means of the three-edge bearing test (TEBT) (see Figure 1), following procedures set in any national standard (e.g., EN 1916:2008 in Europe or ASTM C497-19a in the USA [51,52]). This test procedure has been accepted worldwide owing to the representativeness and robustness of its results, among other features [53].
Concrete reinforcement has been provided since the early 1900s [53,54] by steel-cages (Figure 2a), requiring manual labour and/or special equipment to curve and weld rebars (Figure 2b). This reinforcement strategy dominates the market due to the competitive cost of steel and the standardisation of production processes; likewise, the geometry of these cages means that the structural response of the RCPs can be optimised. Nonetheless, steel is prone to corrosion and degradation under the severe environmental conditions to which CPs are exposed. In this regard, controlling and imposing minimum concrete cover for steel bars and maximum crack width under loading conditions is of paramount importance to guarantee the expected service life (50–100 years). Although there are structural reliability-oriented measures (e.g., use of global safety coefficients and strict quality controls), these parameters are subject to uncertainties due to acceptable manufacturing tolerances and variability associated with service loads and soil-pipe interaction conditions as well as inaccuracies in the design hypotheses. This variability leads to accepting a certain likelihood that the concrete cover and crack width values will be thinner or higher, respectively, than expected. This may jeopardise the pipeline durability [55].
During the late 1990s and early 2000s, steel fibres (SFs) (see Figure 3a) emerged on the concrete pipe market as an attractive alternative to completely replace steel-cage reinforcement in RCPs for diameters up to 1000 mm [19]. SFRCPs are regulated by EN 1916:2008 in Europe and ASTM C1765-19 in the USA [51,56].
SFs have proven to be a cost-effective solution since the processes associated with steel-cage production and the space it requires for stacking (significant in plants with intense production) can be reduced. From the mechanical performance point of view, extensive experimental research has demonstrated that using the proper type and amount of SFs can lead to reinforcements less prone to deterioration because fibres are more efficient in controlling crack widths [57,58]. However, attention must be paid to operator safety during handling since SFs are rigid and any remaining on the outer surface might cause injuries.
More recently, polymeric fibres (PFs) (see Figure 3b) are being introduced into the CP market as the mechanical properties (modulus of elasticity and tensile strength capacity) of these fibres have been largely enhanced and they can compete technically with steel reinforcements up to certain pipe diameters and pipe strength classes. This is particularly evident when durability aspects govern pipeline serviceability and maintenance as PFs are resistant to corrosive and chemically damaging environments [59,60]. To the authors’ best knowledge, only ASTM C1765-19 [56] permits the use of polymeric fibres and only for non-structural proposals, most likely due to lack of sufficient evidence on the adequate long-term response of PFRCs when the existing guidelines were under discussion. Nonetheless, since then, extensive experimental research has been carried out on PFRCPs [20,21,22,23,24], even combining steel cages and PF fibres [26,27], confirming the adequate response of these pipes under permanent loading conditions [21].

3. Materials and Methods

3.1. Multi-Criteria Decision-Making Methods

Making decisions is inextricably linked to many areas of our lives This explains why multi-criteria decision-making (MCDM) methods have arisen as key to address the complexity inherent to introducing indicators from different areas, in different units and with different relative importance in the decision-making processes. In the context of sustainability, these tools are fundamental, as they can consider a multiplicity of factors such as economic, environmental and social aspects.
There exist many different MCDM methods, including Analytic Hierarchy Process (AHP [61]), Simple Additive Weighting (SAW [62]), Technique for Order Preference by Similarity to Ideal Solution (TOPSIS [63]), Multicriteria Optimization and Compromise Solution (VIKOR, from Serbian VIseKriterijumska Optimizacija I Kompromisno Resenje [64,65,66]), Elimination and Choice Translating Reality (ELECTRE, from French ELimination Et Choix Traduisant la REalité [67]), Preference Ranking Organization METhod for Enrichment Evaluation (PROMETHEE [68]), Characteristic Object Method (COMET [69,70,71]) and MIVES. Most of these methods have been used to date in the field of civil engineering. The reader can find a review of specific ways and contexts in which they have been utilised in civil engineering in [72,73,74].
In general terms, the differences between each method arise from the ways in which the different steps involved in the decision-making process are carried out. In particular, the main steps are the selection of indicators, the normalisation of the indicators, the weighting technique, the aggregation of indicators, the sensitivity analysis and obtaining the final ranking of alternatives. In fact, several authors have highlighted the fact that the choice of the method can have a significant influence on the final results [75,76].
According to several authors (see, for instance, [70]), the different existing methods can be grouped into three different trends according to their characteristics. These groups are the American school, which includes methods that are based on usability or value, and which exclude incomparability of different alternatives; the European school, which generally uses relationships of indifference, incomparability between options and both weak and strong preferences; and the rule methods, which lie between the two schools.
Some of the above-mentioned methods suffer from some drawbacks, such as the fact that they are time-consuming and lack intuitiveness [77], which goes against the aim of developing a method that is suitable for policy-makers. Another flaw is the fact that the criteria values used can only be positive and maximising [78], which makes calculations more complex if minimising indicators are to be used. A thorough review of advantages of disadvantages of each method is out of the scope of the present paper, but some comparisons between different methods can be found in [75,79,80,81].
At this point, it needs to be noted that various MCDM methodologies could have been used in the present study. However, there were several characteristics that led the authors to choose one in particular. The present analysis required a method that allowed flexibility and adaptability to the specific requirements of the decision, as well as transparency concerning how the data is processed. This is particularly important for cases in which the decision may involve the opinion of third-parties, and it needs to be presented to non-expert stakeholders. These are the reasons the rule-based method MIVES was considered to be the most suitable tool, due to its simplicity but also rigour. Besides, as stated in Section 1, MIVES has previously been used and accepted by other researchers and technical committees for this type of analysis [38,40,82,83,84,85].

3.2. General Aspects of MIVES

As outlined in [35], the MIVES implementation procedure starts by defining a theoretical framework which is shaped by means of a decision-making tree (DMT). This DMT has three levels, from more general to more specific: requirements, criteria and indicators. Only the last level will be quantitatively measured. Indicators are selected by considering their relevance to the topic being assessed, their measurability and accessibility and their relative and mutual complementarity. Once indicators have been identified and selected, they must be normalised to obtain values between 0 and 1. The normalisation process takes place in MIVES through the so-called value functions, to assess each indicator’s contribution to sustainability (or satisfaction in the case of decision-making analysis). Subsequently, it is necessary to determine a weighting system through which the three levels of the decision tree can be aggregated. The weighting system is usually defined through interviews with experts and similar professionals involving experienced technicians and private/public sectors stakeholders to guarantee the representativeness of the agreed set of indicators and weights. The aggregation provides a sustainability index for each of the alternatives under analysis (the reinforcement configuration for CPs in this case). The assessment may finish at this point by drawing conclusions from the indexes thus obtained. However, if deemed necessary, a complementary analysis can be performed by taking into account the uncertainty of some determining data (e.g., costs for both the steel rebars and the fibres, the weighting values) to establish confidence intervals for the sustainability indexes derived from using deterministic values. This analysis is commonly performed using the Monte-Carlo method and the results guarantee a robust, more reliable decision-making process. The use of Monte-Carlo for sensitivity analyses in this context has already proven to be valuable and suitable [45,86,87].
The following subsection introduces tree model development in more detail, as well as its defining factors (weighting system and value functions of each indicator).

3.3. Decision-Making Tree and Components

Table 1 shows the DMT developed for the sustainability assessment (on the reinforcement configuration of CPs) including the economic, environmental and social requirements [1]. The model was developed through a working group of seven experts: the manager (>15 years of experience) and one labourer (>20 years) from a precast pipe plant, one precast concrete product designer (>30 years) and five academics whose research is focused on FRC structural applications, precast concrete products, health and safety in construction and decision-making models based on sustainability.

3.3.1. System Boundaries

The functional unit is 1.0 m of pipe considering that the analysis runs from the extraction and processing of the materials to the staking at the precast concrete plant yard. Consequently, transport, installation and operation impacts are disregarded since the reinforcement configuration does not entail any significant variation in the indicators being considered (Table 1). Regarding the operational stage, this assumption implies that the extension of the service life (regarding the design value, which is usually over 50 years), which could potentially be achieved through the use of PFs, is not considered. It should be noted that use of PFs is considered to have a positive impact on the three requirements; nonetheless, that extension is difficult to forecast at a technical level with the information currently available. Should this be possible, I 1 and I 3 I 5 indicators could be factored by the total expected years of service life to take this extension into account.

3.3.2. Weighting

Regarding the relative importance of each requirement, the most weight was assigned to the economic requirement (60%), as the decisive driver in both precast industry and public/private sectors, while the remaining 40% was shared out equally between the environmental and social requirements. Although this is the tendency, this distribution might be contrary to other opinions in the context of sustainability (e.g., equal distribution of weights). For this reason, a sensitivity analysis of the sustainability index for each alternative is carried out considering other sets of weights and presented in Section 5.

3.3.3. Economic Requirement

The economic requirement ( R 1 ) consists in two criteria: cost ( C 1 ) and time ( C 2 ). Each criterion is measured by one indicator. In the case of C 1 , the indicator used is production costs ( I 1 ). The prices for transportation and assembly were omitted in this indicator since the different alternatives have the same costs. Both materials and processing labour costs are gathered using the I 1 indicator. The average costs of the concrete reinforcing alternatives considered herein are based on Spanish market prices in 2020. In particular, specific data were provided by a company producing CPs.
  • RCPs: 0.75 €/kg for curved cages with grade B500S steel (including the manufacturing process).
  • SFRCPs: 1.25 €/kg of a hooked-end steel macrofibre with 60 λ f 80 , where λ = l f / ϕ f is the aspect ratio, l f the length, ϕ f the diameter of the fibre, and with a tensile strength ( f f u ) ranging from 1000–1200 N/mm 2 and modulus of elasticity ( E f ) between 200,000–210,000 N/mm 2 .
  • PFRCPs: 4.00 €/kg of synthetic macrofibre with 40 λ f 60 , 500 f f u 650 N/mm 2 and 5000 E f 9000 N/mm 2 .
The cost of a vibrated-compressed concrete strength class C30/35 ( f c k , c y l = 30 N/mm 2 ) was estimated as 51.5 €/m 3 . This cost can be slightly higher when FRC is used since the composition is modified (granular skeleton and admixtures dosage) to guarantee that the mix is workable. This variation is, nonetheless, of minor importance in the total cost and omitted thereof.
Additionally, the cost associated with the finish (e.g., external surface polishing) is also included. This cost depends primarily on the outer pipe diameter ( D o ) and varies linearly from 1.9 €/m ( D o = 300 mm) to 6.3 €/m ( D o = 1000 mm).
Finally, in the case of C 2 , the indicator is total time ( I 2 ). This I 2 indicator is included to quantify the time allocated for producing and assembling the reinforcing steel-cage (97 kg/h). In the case of RCPs, the time necessary for concrete production and vibration (1.68 m3/h) is also considered. For FRCPs, the fibres are directly dosed and mixed with the remaining concrete components. The information necessary for this indicator was provided by experts working in the production of CPs.

3.3.4. Environmental Requirement

The environmental requirement ( R 2 ) is comprised of three criteria: emissions ( C 3 ), resources ( C 4 ) and reusability ( C 5 ).
On the one hand, Criterion C 3 is evaluated using a single indicator: equivalent carbon dioxide emissions ( I 3 ). This indicator was obtained by considering the emissions of all the constituent materials of the pipe (concrete and reinforcing). On the other hand, Criterion C 4 consists of two indicators: non-renewable resources ( I 4 ) and energy resources ( I 5 ). The former is meant to assess the impact on the stock of existing resources considering its renovation capacity. To this end, the required weights of each pipe constituent are added together by applying an importance factor. This importance factor is based on the environmental profiles by Harris [88] and the methodology by Kappenthuler and Seeger [89] to consider the short and long-term availability of building materials. The data in [90,91] were examined to calculate these availabilities. The latter makes it possible to examine the embodied energy linked to the production and assembly processes for the pipe component elements. The inventory in [92] was utilised as a reference for assessing I 3 and I 5 indicators.
Finally, Criterion C 5 (reusability) is represented by one indicator, recyclability ( I 6 ). This aspect is considered a key factor in many studies (see, e.g., [35,88,93,94]). While previous indicators in the environmental requirement considered the first stages of the lifecycle of the reinforcing alternatives, this indicator takes into consideration the final stage of the lifecycle, namely the decommissioning, and the recycling potential of each alternative. A building material that can be recycled is defined in [95] as a “material which can be remade and reused as a building material after the building is disassembled”. In this study, this indicator was evaluated through attributes by using a five-point scale based on experts’ seminars as well as on other references [35,88,93,94]. The details of drawing up this scale are shown in Table 2. Note that the table shows the levels assigned to Points 1, 3 and 5, which correspond to the Likert scale [96]. However, mid-values (i.e., 2 and 4) may also be assigned for hybrid reinforcements.

3.3.5. Social Requirement

The social requirement ( R 3 ) is defined by two criteria: labour risks during pipe manufacturing ( C 6 ) and innovation of the solution ( C 7 ). Other aspects, such as creating jobs and inconveniences for society, were considered to be insignificant impacts in the context of this study. The occupational risks during manufacturing were assessed using the Occupational Risk Index (ORI) ( I 7 ) defined in [97] according to Equation (1).
O R I = O R I i = i I R i × E i = 1 1000 i ( P i × C i × E i )
where i is the risk associated with an activity and I R i is the importance of risk i, defined as the probability that an accident ( P i ) will occur when risk i is present, multiplied by the severity of the most probable consequence ( C i ) and divided by 1000 to standardise it by the maximum risk possible. E i is the total time (in hours) that the workers are exposed to the risk. The information for this time was obtained from [98], which is a database that contains prices for the construction industry, as well as construction times for different structural elements.
CPs are manufactured mechanically but require some manual operations. The activities carried out during manufacturing were analysed from an occupational risk point of view, which led to detecting the risks presented in Table 3. The probability and consequences ratings of the first three risks have been directly obtained from [97], whereas those of the two last risks have been newly evaluated for the present research. The probability and consequences of the first three risks in Table 3 were evaluated for the construction work conditions and could be slightly lower for the CPs as these are manufactured in a factory with controlled activities.
Criterion C 7 is assessed using the I 8 innovation indicator to promote the research and progress on new reinforcing systems for concrete pipes. Steel cages for RCPs have been used satisfactorily for more than 100 years, but fibres (even recycled) are emerging that are proving to be a technically viable alternative within a certain range of pipe diameters. However, the construction sector is reluctant to make changes, and, therefore, changes should be encouraged by using multi-criteria decision-making approaches based on sustainability that also recognise innovation. This indicator does not only account for innovation in terms of the reinforcement itself, but also for other aspects such as in technologies or other materials. Examples of these would be using bendable bars for reinforcement or improvements associated with the welding methodologies. The attributes of this indicator were assigned during experts’ seminars.

3.3.6. Value Functions and Sustainability Index

In MIVES, value functions are used to normalise the range of the indicators to an interval between 0 and 1 [42,99]. The specific function that is used in the methodology is such that it takes several different shapes when certain parameters are modified. The shapes that the function can take is increasing/decreasing and linear, concave, convex or S-shaped. These value functions are mathematically expressed by Equation (2).
I i n d ( X ) = B 1 e K i | X i n d X m i n | C i P i
where X m i n is the minimum abscissa value of the assessed indicator interval; X i n d is the abscissa value for the assessed indicator; P i > 1 is a shape factor that defines whether the curve is concave ( P i < 1 ), convex ( P i > 1 ), linear ( P i = 1 ) or S-shaped ( P i > 1 ); C i approximates the abscissa at the inflexion point; K i tends towards I i n d at the inflexion point; and B is the factor that prevents the function from exceeding the range (0,1) according to Equation (3).
B = 1 e K i | X m a x X m i n | C i P i 1
The above-described value functions were assigned to each indicator ( I i n d ), thereby transforming physical units of each indicator (e.g., €/m, kg/m, kgCO2/m) into ranges from 0.0 to 1.0. The functions used for each indicator are shown in Figure 4, and the parameters defining each function are shown in Table 4. In particular, the parameters of each function were defined based on other studies [35,36], as well as based on experts’ criteria.
Indicator magnitudes for the alternatives were expressed relative to those for RCPs, taken as a reference, except for indicators I 6 and I 8 , which were measured by attributes. The following criteria were assumed for defining the value functions constitutive parameters:
  • For both production costs ( I 1 ) and time ( I 2 ), the market competitiveness was introduced by considering that the reference RCPs present a satisfaction of 0.75, which is high and reflects the existing level of optimisation achieved over time. Alternatives to traditional steel cage reinforcement would lead to the maximum satisfaction (1.0) for both indicators if a reduction of 25% of the corresponding magnitude is achieved; on the contrary, the minimum satisfaction (0.0) would be reached for an increase of 25% with respect to the reference values. The transition is simulated with an S-shaped function (Figure 4) presenting remarkable sensitivity to increasing costs and time to further emphasise this competitiveness.
  • The same value function was fixed for C O 2 e q emissions ( I 3 ) and both non-renewal ( I 4 ) and energy resources consumption ( I 5 ) indicators. In an attempt to promote environmentally friendly practices, the 0.50 value was established for RCPs, while maximum and minimum satisfaction can be achieved by decreasing and increasing the reference values 50% and 25% respectively, using a convex function (Figure 4).
  • A value of 0.5 was set as the reference value for RCPs for the satisfaction function of recyclability ( I 6 ) to support alternatives with higher values for the recyclability attributes. For this indicator, the maximum value can be achieved by having indicators that are more than 25% of the reference value, whereas the minimum value is obtained when the indicator decreases 25% from the reference value. This is achieved through an increasing S-shaped value function (Figure 4).
  • The satisfaction function for the occupational risks during construction indicator ( I 7 ) was defined as decreasing linear so that the maximum satisfaction is obtained for a null ORI, and a value of 0.6 is obtained for the maximum ORI.
  • For the satisfaction function of the indicator innovation ( I 8 ), it was considered that the reference value for satisfaction was represented by a satisfaction of 0.5 for the RCPs, whereas the maximum or minimum values can be attained by increasing 50% or decreasing 50%, respectively, using an increasing linear function (Figure 4). Innovations in concrete pipe reinforcement could include enhancements in the welding process, the use of thermoplastic bendable rebars, and other systems that are arriving on the market.
Finally, the sustainability index I s was obtained by adding together the weighted indicators of the decision-making tree. It needs to be mentioned that an index for the sustainability of each level of the tree could be obtained. First, the indicators are added at the criterion level, as shown in Equation (4), where the I c r i t is the sustainability of each criterion, and it is obtained from applying the weights w of each indicator i. Then, an index for each requirement ( I r e q ) can be obtained by adding the weighted indexes of the j criteria, as presented in Equation (5). Finally, the index of sustainability can be obtained following Equation (6), where the k requirements are added after applying their respective weights w k .
I c r i t = i = 1 n I i n d i · w i
I r e q = j = 1 n I c r i t j · w j
I s = k = 1 n I r e q k · w k
At this point, it is worth noticing that the value functions and weights proposed herein might be representative of a competitive market mainly driven by costs and with incipient sensitivity towards the environmental and social indicators presented in Table 1. Nevertheless, should other stakeholders’ preferences be considered, these functions and weights could be properly calibrated.

4. Case Study

Alternatives Analysed

For this analysis, internal pipe diameters ( D i ) of 300, 600 and 1000 mm were considered along with the two alternative wall-thicknesses (type B or C, which correspond to two different thicknesses according to UNE 127916 [100]) per pipe diameter. As for the pipe strength class, the C60, C90, C135 and C180 classes were included, the number representing the failure load ( F n ) to be achieved in the TEBT (Figure 1).
In this regard, the distribution and amount of steel-cage reinforcement proposed in the Spanish Annex [100] of the EN 1916:2008 was considered in this study for RCPs [51]. Other distributions, such as any proposed in the ASTMC1765-19 [56], can be used as an alternative. For the FRCPs, as no recommendations regarding the required type and amount of fibres to reach each pipe strength class are currently available, the MAP (Model for the Analysis of Pipes) design approach valid for SFRCPs [10] and PFRCPs [20] is used instead.
This combination of parameters (three diameters, two wall-thicknesses, three reinforcement configurations and four pipe strength classes per diameter) produced a total of 24 concrete pipes (Table 5).
The data corresponding to the indicator quantification necessary to calculate the sustainability indexes can be found in Table A1, Table A2, Table A3. The tables show the data for the RC, SFRC and PFRC alternatives, respectively. Note that the way in which the data were obtained is presented in Section 3.3.3, Section 3.3.4, Section 3.3.5.

5. Results and Discussion

Figure 5 shows the sustainability indexes corresponding to the economic aspect. The results are separated according to the resistance class. The different diameters of each alternative are shown through the x-axis, whereas the thickness is shown with different line types and the different reinforcement types are shown with different colours. The y-axis corresponds to the values of the sustainability indexes. Because the analysis is parametric and the indicators were expressed in relation to the RC alternative, the sustainability index for the RCPs is constant.
All the alternatives were found to have economic sustainability indexes higher than 0.3, with the best results being achieved by the C60 resistance class alternatives. FRCPs seem to perform economically better for D i = 300 mm, independently of the strength class (except for C135 and C180 wall type B). Likewise, FRPCs C60 with D i up to 1000 mm and wall type B achieve higher economic satisfaction than RCPs. These results are aligned with current market practice where both FRCPs and RCPs are competing for low strength (≤C90) classes and D i 600 mm.
Figure 6 shows the results corresponding to the environmental sustainability indexes. It should be noted that the PFRCPs lead to greater environmental performance with respect to RCPs and SFRCs for all diameters and strength classes. This is a consequence of the lower CO2 emissions and embodied energy required to produce synthetic microfibres as well as the low amounts required to reach the target mechanical performance. SFRCPs show better tendencies in terms of environmental impacts with respect to the RCPs for strength classes inferior to C90 (inclusive, except wall type C).
The results obtained for the social sustainability indexes, as presented in Figure 7, highlight that FRCPs yield represent an enhancement (quantified in a 40%) with respect to RCPs in terms of social sustainability.
Finally, Figure 8 shows the results corresponding to the global sustainability indexes ( I s ) of each alternative, which have been calculated by using the weighting system presented in Table 1. From these results, it should be mentioned that FRPCs with D i = 300 mm present a higher sustainability index with respect to the traditional RCPs, independently of the strength class (except wall type B for C135 and C180). Contrarily, as D i and the strength class increase, the RCPs alternative is confirmed as the most suitable.

6. Sensitivity Analysis

The approach taken in the previous section was deterministic. This means that the results and corresponding discussion disregarded input data uncertainties (e.g., cost of the materials, amount of CO2 emissions and embodied energy and weights). However, the variability should be included to quantify the robustness of the results and the range of validity for the conclusions. The Monte Carlo method was used for this purpose.
This paper considers two types of uncertainty linked to the model. The first corresponds to possible uncertainties in the weighting system. The second one corresponds to uncertainties linked to indicator quantification.

6.1. Uncertainties in the Weighting System

The uncertainties in the weighting system were introduced at the requirements level by assuming a variation of a ± 10 % of each weight deterministic magnitude (see Table 1). The uncertainties were modelled using beta PERT distributions. One aspect to consider when introducing uncertainties in the weights is that, even with uncertainties, the weighting system of each level of the tree needs to add up to 100%. To take this aspect into account, the weights were normalised in each iteration of the Monte Carlo simulation.
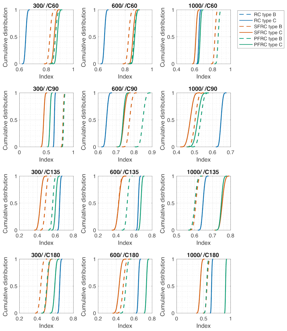
The results of this probabilistic analysis are shown in Figure 9. The diagram presents the cumulative distributions of the sustainability indexes obtained for each alternative in 12 different plots. In this sense, the results make it possible to confirm that the ordering is maintained for almost all the alternatives, proving that the model is robust and dependencies not heavily dependent on the weighting system. In other words, the ordering and sustainability indexes derived from the deterministic analysis can be representative of a wide range of stakeholders’ preferences (e.g., from pipe producer and public investor perspectives, whose interest and expectancies might differ).

6.2. Uncertainties in the Data

As for the uncertainties in the data, these were calibrated in the same experts’ seminars mentioned in Section 3. It was considered that the highest uncertainties came from the costs of the three reinforcement types, corresponding to indicator I 1 . Therefore, in this study, uncertainties were only introduced in the quantification of this indicator. The variations considered in this indicator for each of the alternatives are 5%, 15% and 20% for the steel bars, the steel fibres and the plastic fibres, respectively. These uncertainty levels reflect the variability on the production costs and the competitiveness for each product (higher for the fibres, and particularly for synthetic fibres).
The sensitivity analysis results are presented in Figure 10.
In this case, the ordering is remarkably sensitive to the cost variability of the reinforcing material and the results presented above cannot be ensured in all cases within 90% confidence intervals. PFRCPs of D i = 300 mm and 600 mm and resistance class C60 perform better than RCPs. Besides, PFRCPs with wall type C, D i = 1000 mm and resistance class C180 is also more sustainable than the other alternatives. RCPs with D i = 300 mm and resistance classes C135 and C180 as well as with D i = 1000 mm and resistance class C90 perform better than the other alternatives. In the remaining cases, sufficient robustness is lacking to draw any conclusions on a specific ranking between FRCPs and RCPs.

7. Conclusions

This paper proposes a methodology to assess the sustainability performance of CPs. The method is based on the use of MIVES, which allows alternatives to be compared and ranked based on sustainability. In particular, the model being developed is built upon three aspects: economy, environment and society. For each aspect, several criteria and indicators were defined within experts’ seminars to be able to evaluate the sustainability quantitatively.
The model was applied to a case study of reinforced concrete pipes. In particular, the alternatives considered had four main variables: the type of reinforcement (steel bars, steel fibres and synthetic fibres), the diameter (300, 600 and 900 mm), the thickness (type B or C according to UNE-EN 1916:2008 [51]) and the resistance class (C60, C90, C135 or C180). In total, 72 alternatives were analysed. The following conclusions can be drawn:
  • Economically, FRCPs were demonstrated to be the most favourable alternatives to RCPs for lower diameters and resistance classes.
  • Environmentally, PFRCPs are the most favourable. Besides, SFRCPs perform better than RCPs for low diameters and strength classes. On the one hand, SFRCPs are less advantageous in terms of recyclability with respect to PFRCPs and RCPs.
  • Socially, FRCPs achieve better results than RCPs since production risks are lower.
  • In terms of global sustainability, the results show that PFRCPs are more sustainable than RCPs for D i = 300 mm, irrespective of the resistance class. However, overall, traditional alternatives (RCPs) are shown to perform slightly better as the diameter and the strength class increase.
  • The sensitivity analysis on the weights showed that the model is robust under variations of the weighting system since the ordering remained unaltered for ± 10 % variations of the weight magnitudes. On the contrary, the sensitivity analysis performed on the cost of materials led to higher variations from the deterministic scenario. In particular, 32% of the cases do not fall within a 90% confidence interval of the results. The fact that the relative ordering between alternatives is not maintained when costs vary highlights the importance of costs in the context of the decision-making process.
The decision-making model proposed herein and the results obtained might be of interest to private and public stakeholders. Likewise, the model and its components can be adapted and calibrated to preferences and situations other than considered by the experts involved in the seminars.
Future research could move in two directions. First, pipes and most structural elements are designed by following specific regulations. However, certain solutions that are more innovative and better in terms of sustainability may not be considered in such regulations, which jeopardises the deployment of these technologies, and therefore the advancement towards more sustainable solutions. Hence, future research could focus on examining how legislations influence the design and construction of more sustainable structures. It needs to be noted that legislations are not the only barriers that may exist; other factors could also be slowing down the construction of more sustainable structures, such as society’s resistance to change.
Secondly, next studies could also focus on improving the MIVES methodology by examining how the perspectives of different stakeholders can be integrated into the model (multi-actor approach). Research in this area of study is still scarce, but considering multiple opinions is essential for a wider acceptance of decisions.

Author Contributions

Conceptualization, methodology and validation, I.J., A.d.l.F., M.d.M.C.-R., J.A., A.A.; formal analysis, I.J., M.d.M.C.-R., A.d.l.F.; writing—original draft preparation, I.J.; writing—review and editing, I.J., A.d.l.F., M.d.M.C.-R., J.A., A.A.; visualization, I.J.; supervision, A.d.l.F., M.d.M.C.-R., J.A., A.A.; project administration, A.d.l.F., A.A.; funding acquisition, A.d.l.F. All authors have read and agreed to the published version of the manuscript.

Funding

The research received financial support from the Ministry of Economy, Industry and Competitiveness of Spain under the scope of the projects PID2019-108978RB-C32. Besides, Irene Josa was supported by the Catalan Government through a grant from Agència de Gestió d’Ajuts Universitaris i de Recerca (AGAUR), with reference number 2018 FI-B 00655. Maria del Mar Casanovas-Rubio is a Serra Húnter Fellow.

Institutional Review Board Statement

Not applicable.

Informed Consent Statement

Not applicable.

Data Availability Statement

Not applicable.

Acknowledgments

The authors express their gratitude to PRECON, S.A. for the information provided.

Conflicts of Interest

The authors declare no conflict of interest.

Abbreviations

The following abbreviations are used in this manuscript:
CPConcrete Pipe
DMTDecision-Making Tree
FRCPFibre-Reinforced Concrete Pipe
MCDMMulti-Criteria Decision-Making
MIVESModelo Integrado de Valor para Evaluaciones de Sostenibilidad
PFPolymeric Fibre
RCPReinforced Concrete Pipe
SDGSustainable Development Goal
SFSteel Fibre
SFRCPSteel Fibre-Reinforced Concrete Pipe
UCPUnreinforced Concrete Pipe
WaSHWater, Sanitation and Hygiene

Appendix A

Table A1. Quantification of indicators for the economic requirement.
Table A1. Quantification of indicators for the economic requirement.
RC PipesSFRC PipesPFRC Pipes
I 1 I 2 I 1 I 2 I 1 I 2
Production CostsTotal TimeProduction CostsTotal TimeProduction CostsTotal Time
€/mhr/m€/mhr/m€/mhr/m
300/50/C606.670.025.880.005.510.00
300/69/C608.230.027.700.007.160.00
300/50/C906.670.025.880.005.950.00
300/69/C908.230.027.700.007.160.00
300/50/C1356.670.027.120.007.110.00
300/69/C1358.230.027.700.007.350.00
300/50/C1806.730.027.940.007.570.00
300/69/C1808.230.027.860.007.930.00
600/75/C6016.180.0316.190.0016.480.00
600/94/C6019.060.0318.660.0017.340.00
600/75/C9016.180.0320.370.0019.750.00
600/94/C9019.060.0321.520.0021.680.00
600/75/C13519.370.0824.370.0021.510.00
600/94/C13521.410.0724.690.0024.100.00
600/75/C18021.210.1028.370.0022.760.00
600/94/C18021.780.0727.970.0025.710.00
1000/109/C6038.490.1238.530.0039.310.00
1000/128/C6038.620.0541.170.0041.910.00
1000/109/C9041.830.1652.420.0047.480.00
1000/128/C9042.790.1153.090.0051.560.00
1000/109/C13549.470.2765.000.0051.610.00
1000/128/C13545.540.1563.460.0056.300.00
1000/109/C18059.860.4178.460.0054.720.00
1000/128/C18051.860.2474.350.0059.850.00
Table A2. Quantification of indicators for the economic requirement.
Table A2. Quantification of indicators for the economic requirement.
RCPsSFRCPsPFRCs
I 3 I 4 I 5 I 6 I 3 I 4 I 5 I 6 I 3 I 4 I 5 I 6
CO2Non-RenewableEnergyRecyclabilityCO2Non-RenewableEnergyRecyclabilityCO2Non-RenewableEnergyRecyclability
kg/mMJ/mMJ/mPointskg/mMJ/mMJ/mPointskg/mMJ/mMJ/mPoints
300/50/C60201391514181381252171381184
300/69/C60272022024262011812242001714
300/50/C90201391514181381252171381304
300/69/C90272022024262011812242001714
300/50/C135201391514211391512171381634
300/69/C135272022024262011812242001774
300/50/C180201391534231401692171381774
300/69/C180272022024262011852242001934
600/75/C60544013964544003792483984044
600/94/C60685164904665144642625134414
600/75/C90674013964644044692483994974
600/94/C90685164904735175262625145654
600/75/C135624054884744085562484005484
600/94/C135745195584815205952625156334
600/75/C180674085414834126422484005834
600/94/C180755195694895246662625156794
1000/109/C6013696110204134958961211595210424
1000/128/C60146113910434152114010702137113611354
1000/109/C90190965111641689721261211595512744
1000/128/C90157114511624181115213272137113914104
1000/109/C135164975133541999841533211695613924
1000/128/C135164114812414206116315512138114115454
1000/109/C180190989163342319981824211695714804
1000/128/C180180115714234232117417862138114216464
Table A3. Quantification of indicators for the social requirement.
Table A3. Quantification of indicators for the social requirement.
RCPsSFRCPsPFRCPs
I 7 I 8 I 7 I 8 I 7 I 8
AccidentabilityInnovationAccidentabilityInnovationAccidentabilityInnovation
ORIPointsORI ( × 10 3 )PointsORI( × 10 3 )Points
300/50/C600.2230.1040.074
300/69/C600.2230.1040.074
300/50/C900.2230.1040.074
300/69/C900.2230.1040.074
300/50/C1350.2230.1040.074
300/69/C1350.2230.1040.074
300/50/C1800.2330.1040.074
300/69/C1800.2230.1040.074
600/75/C600.4030.2040.134
600/94/C600.4030.2040.134
600/75/C900.4030.2040.134
600/94/C900.4030.2040.134
600/75/C1350.9330.2040.134
600/94/C1350.7930.2040.134
600/75/C1801.2330.2040.134
600/94/C1800.8530.2040.134
1000/109/C601.3330.4040.274
1000/128/C600.6230.4040.274
1000/109/C901.8530.4040.274
1000/128/C901.2830.4040.274
1000/109/C1353.0630.4040.274
1000/128/C1351.7130.4040.274
1000/109/C1804.6930.4040.274
1000/128/C1802.7030.4040.274

References

  1. UN General Assembly. A/RES/70/1. In Transforming our world: The 2030 Agenda for Sustainable Development; Technical Report; UN General Assembly: New York, NY, USA, 2015. [Google Scholar]
  2. Setty, K.; Jiménez, A.; Willetts, J.; Leifels, M.; Bartram, J. Global water, sanitation and hygiene research priorities and learning challenges under Sustainable Development Goal 6. Dev. Policy Rev. 2020, 38, 64–84. [Google Scholar] [CrossRef]
  3. WHO; UNICEF. WASH in the 2030 Agenda; WHO: Geneva, Switzerland; UNICEF: New York, NY, USA, 2016. [Google Scholar]
  4. Requejo-Castro, D.; Giné-Garriga, R.; Pérez-Foguet, A. Data-driven Bayesian network modelling to explore the relationships between SDG 6 and the 2030 Agenda. Sci. Total Environ. 2020, 710, 136014. [Google Scholar] [CrossRef]
  5. Nilsson, D. A heritage of unsustainability? Reviewing the origin of the large-scale water and sanitation system in Kampala, Uganda. Environ. Urban. 2006, 18, 369–385. [Google Scholar] [CrossRef]
  6. Ranganathan, M.; Kamath, L.; Baindur, V. Piped Water Supply to Greater Bangalore Putting the Cart before the Horse. Econ. Political Wkly. 2009, 44, 53–62. [Google Scholar]
  7. De La Fuente, A.; Pons, O.; Josa, A.; Aguado, A. Multi-criteria decision making in the sustainability assessment of sewerage pipe systems. J. Clean. Prod. 2016, 112, 4762–4770. [Google Scholar] [CrossRef]
  8. Haktanir, T.; Ari, K.; Altun, F.; Karahan, O. A comparative experimental investigation of concrete, reinforced-concrete and steel-fibre concrete pipes under three-edge-bearing test. Constr. Build. Mater. 2007, 21, 1702–1708. [Google Scholar] [CrossRef]
  9. Figueiredo, A.D. Evaluation of the Test Method for Crushing Strength of Steel Fiber Reinforced Concrete Pipes. The Effect of Fire on the Mechanical Properties of Fiber Reinforced Concrete View Project Spalling of Concrete Exposed at High Temperatures View Project. Technical Report. 2008. Available online: https://www.researchgate.net/profile/Antonio-Figueiredo-12/publication/294427823_Evaluation_of_the_test_method_for_crushing_strength_of_steel_fiber_reinforced_concrete_pipes/links/57900d1708ae108aa03af579/Evaluation-of-the-test-method-for-crushing-strength-of-steel-fiber-reinforced-concrete-pipes.pdf (accessed on 10 March 2021).
  10. De La Fuente, A.; Escariz, R.C.; De Figueiredo, A.D.; Molins, C.; Aguado, A. A new design method for steel fibre reinforced concrete pipes. Constr. Build. Mater. 2012, 30, 547–555. [Google Scholar] [CrossRef]
  11. de la Fuente, A.; Aguado, A.; Molins, C. Comprehensive optimal design for concrete pipes. Hormigón Y Acero 2011, 62, 77–91. [Google Scholar]
  12. Mohamed, N.; Nehdi, M.L. Rational finite element assisted design of precast steel fibre reinforced concrete pipes. Eng. Struct. 2016, 124, 196–206. [Google Scholar] [CrossRef]
  13. Song, P.S.; Hwang, S. Mechanical properties of high-strength steel fiber-reinforced concrete. Constr. Build. Mater. 2004, 18, 669–673. [Google Scholar] [CrossRef]
  14. de la Fuente, A.; De Figueiredo, A.D.; Aguado, A.; Molins, C.; Chama Neto, P.J. Steel fiber reinforced concrete pipes. Part 1: Technological analysis of the mechanical behavior. Ibracon Struct. Mater. J. 2012, 5, 1–11. [Google Scholar]
  15. Mohamed, N.; Soliman, A.M.; Nehdi, M.L. Full-scale pipes using dry-cast steel fibre-reinforced concrete. Constr. Build. Mater. 2014, 72, 411–422. [Google Scholar] [CrossRef]
  16. Mu, R.; Xue, Y.; Qing, L.; Li, H.; Zhao, Y.; Zhou, J.; Su, J. Preparation and mechanical performance of annularly aligned steel fiber reinforced cement-based composite pipes. Constr. Build. Mater. 2019, 211, 167–173. [Google Scholar] [CrossRef]
  17. Abolmaali, A.; Mikhaylova, A.; Wilson, A.; Lundy, J. Performance of steel fiber-reinforced concrete pipes. Transp. Res. Rec. 2012, 2313, 168–177. [Google Scholar] [CrossRef]
  18. Coombs, S.R.; Kurdziel, J.; Secrist, D. Performance evaluation of steel fiber-reinforced concrete pipe under d-loads. In Pipelines 2013: Pipelines and Trenchless Construction and Renewals—A Global Perspective, Proceedings of the Pipelines 2013 Conference, Fort Worth, TX, USA, 23–26 June 2013; ASCE: Reston, VA, USA, 2013; pp. 146–160. [Google Scholar] [CrossRef]
  19. Monte, R.; De la Fuente, A.; Figueiredo, A.; Aguado, A. Barcelona Test as an Alternative Method to Control and Design Fiber-Reinforced Concrete Pipes. ACI Struct. J. 2016, 113, 1175–1184. [Google Scholar] [CrossRef]
  20. De La Fuente, A.; Escariz, R.C.; De Figueiredo, A.D.; Aguado, A. Design of macro-synthetic fibre reinforced concrete pipes. Constr. Build. Mater. 2013, 43, 523–532. [Google Scholar] [CrossRef]
  21. Park, Y.; Abolmaali, A.; Attiogbe, E.; Lee, S.H. Time-dependent behavior of synthetic fiber-reinforced concrete pipes under long-term sustained loading. Transp. Res. Rec. 2014, 2407, 71–79. [Google Scholar] [CrossRef]
  22. Wilson, A.; Abolmaali, A. Performance of synthetic fiber-reinforced concrete pipes. J. Pipeline Syst. Eng. Pract. 2014, 5, 1–7. [Google Scholar] [CrossRef]
  23. Al Rikabi, F.; Sargand, S.; Kurdziel, J. Evaluation of Synthetic Fiber Reinforced Concrete Pipe Performance Using Three-Edge Bearing Test. J. Test. Eval. 2019, 47, 942–958. [Google Scholar] [CrossRef]
  24. Lee, S.; Park, Y.; Abolmaali, A. Investigation of Flexural Toughness for Steel-and-Synthetic-Fiber-Reinforced Concrete Pipes. Structures 2019, 19, 203–211. [Google Scholar] [CrossRef]
  25. Peyvandi, A.; Soroushian, P.; Jahangirnejad, S. Structural Design Methodologies for Concrete Pipes with Steel and Synthetic Fiber Reinforcement. ACI Struct. J. 2014, 111. [Google Scholar] [CrossRef]
  26. Al Rikabi, F.T.; Sargand, S.M.; Khoury, I.; Kurdziel, J. A new test method for evaluating the long-term performance of fiber-reinforced concrete pipes. Adv. Struct. Eng. 2019, 23, 1336–1349. [Google Scholar] [CrossRef]
  27. Park, Y.; Abolmaali, A.; Beakley, J.; Attiogbe, E. Thin-walled flexible concrete pipes with synthetic fibers and reduced traditional steel cage. Eng. Struct. 2015, 100, 731–741. [Google Scholar] [CrossRef]
  28. Park, Y.; Abolmaali, A.; Mohammadagha, M.; Lee, S. Structural performance of dry-cast rubberized concrete pipes with steel and synthetic fibers. Constr. Build. Mater. 2015, 77, 218–226. [Google Scholar] [CrossRef]
  29. Nehdi, M.L.; Mohamed, N.; Soliman, A.M. Investigation of buried full-scale SFRC pipes under live loads. Constr. Build. Mater. 2016, 102, 733–742. [Google Scholar] [CrossRef]
  30. Heger, F.J. Structural Behavior of Circular Reinforced Concrete Pipe-Development of Theory. ACI J. Proc. 1963, 60, 1567–1614. [Google Scholar] [CrossRef]
  31. Mohamed, N.; Soliman, A.M.; Nehdi, M.L. Mechanical performance of full-scale precast steel fibre-reinforced concrete pipes. Eng. Struct. 2015, 84, 287–299. [Google Scholar] [CrossRef]
  32. Pedersen, C.; Mørk, V.; Stang, H. New Production Processes, Materials and Calculation Techniques for Fiber Reinforced Concrete Pipes; Technical Report; BYG-Rapport No. R-14; Technical University of Denmark (DTU): Lyngby, Denmark, 2017. [Google Scholar]
  33. Doru, Z. Steel Fibers Reinforced Concrete Pipes-Experimental Tests and Numerical Simulation. In IOP Conference Series: Materials Science and Engineering; IOP: Bristol, UK, 2017; Volume 245. [Google Scholar] [CrossRef]
  34. Pour-Ghaz, M.; Wilson, J.; Spragg, R.; Nadukuru, S.S.S.; Kim, J.; O’Connor, S.M.; Byrne, E.M.; Sigurdardottir, D.H.; Yao, Y.; Michalowski, R.L.; et al. Performance and damage evolution of plain and fibre-reinforced segmental concrete pipelines subjected to transverse permanent ground displacement. Struct. Infrastruct. Eng. 2018, 14, 232–246. [Google Scholar] [CrossRef]
  35. Josa, I.; Pons, O.; de la Fuente, A.; Aguado, A. Multi-criteria decision-making model to assess the sustainability of girders and trusses: Case study for roofs of sports halls. J. Clean. Prod. 2020, 249, 119312. [Google Scholar] [CrossRef]
  36. De La Fuente, A.; Casanovas-Rubio, M.D.M.; Pons, O.; Armengou, J. Sustainability of Column-Supported RC Slabs: Fiber Reinforcement as an Alternative. J. Constr. Eng. Manag. 2019, 145, 1–12. [Google Scholar] [CrossRef]
  37. Pardo-Bosch, F.; Aguado, A. Investment priorities for the management of hydraulic structures. Struct. Infrastruct. Eng. 2015, 11, 1338–1351. [Google Scholar] [CrossRef]
  38. Alberti, M.G.; Jaime, C.G.; Enfedaque, A.; Carmona, A.; Valverde, C.; Pardo, G. Use of Steel and Polyolefin Fibres in the La Canda Tunnels: Applying MIVES for Assessing Sustainability Evaluation. Sustainability 2018, 10, 4765. [Google Scholar] [CrossRef]
  39. de la Fuente, A.; Blanco, A.; Armengou, J.; Aguado, A. Sustainability based-approach to determine the concrete type and reinforcement configuration of TBM tunnels linings. Case study: Extension line to Barcelona Airport T1. Tunn. Undergr. Space Technol. 2017, 61, 179–188. [Google Scholar] [CrossRef]
  40. Pons, O.; Aguado, A. Integrated value model for sustainable assessment applied to technologies used to build schools in Catalonia, Spain. Build. Environ. 2012, 53, 49–58. [Google Scholar] [CrossRef]
  41. Pons, O.; De La Fuente, A. Integrated sustainability assessment method applied to structural concrete columns. Constr. Build. Mater. 2013, 49, 882–893. [Google Scholar] [CrossRef]
  42. Pons, O.; de la Fuente, A.; Aguado, A. The use of MIVES as a sustainability assessment MCDM method for architecture and civil engineering applications. Sustainability 2016, 8, 460. [Google Scholar] [CrossRef]
  43. San-José Lombera, J.T.; Garrucho Aprea, I. A system approach to the environmental analysis of industrial buildings. Build. Environ. 2010, 45, 673–683. [Google Scholar] [CrossRef]
  44. Pujadas, P.; Pardo-Bosch, F.; Aguado-Renter, A.; Aguado, A. MIVES multi-criteria approach for the evaluation, prioritization, and selection of public investment projects. A case study in the city of Barcelona. Land Use Policy 2017, 64, 29–37. [Google Scholar] [CrossRef]
  45. Cartelle Barros, J.J.; Lara Coira, M.; de la Cruz López, M.P.; del Caño Gochi, A. Assessing the global sustainability of different electricity generation systems. Energy 2015, 89, 473–489. [Google Scholar] [CrossRef]
  46. de la Fuente, A.; Armengou, J.; Pons, O.; Aguado, A. Multi-criteria decision-making model for assessing the sustainability index of wind-turbine support systems: Application to a new precast concrete alternative. J. Civ. Eng. Manag. 2017, 23, 194–203. [Google Scholar] [CrossRef]
  47. Hosseini, S.M.; De La Fuente, A.; Pons, O. Multicriteria decision-making method for sustainable site location of post-disaster temporary housing in urban areas. J. Constr. Eng. Manag. 2016, 142, 1–13. [Google Scholar] [CrossRef]
  48. Amin Hosseini, S.M.; De La Fuente, A.; Pons, O. Multi-criteria decision-making method for assessing the sustainability of post-disaster temporary housing units technologies: A case study in Bam, 2003. Sustain. Cities Soc. 2016, 20, 38–51. [Google Scholar] [CrossRef]
  49. FIB. Precast tunnel segments in fibre-reinforced concrete. FIB Bull. 2017, 83, 162. [Google Scholar] [CrossRef]
  50. FIB. Sustainability of Precast Structures. FIB Bulletin 2018, 88, 153. [Google Scholar] [CrossRef]
  51. EN 1916:2008. Concrete Pipes and Fittings, Unreinforced, Steel Fibre and Reinforced. 2008. Available online: https://scholar.google.com.hk/scholar?hl=zh-CN&as_sdt=0%2C5&q=Concrete+Pipes+and+Fittings%2C+Unreinforced%2C+Steel+Fibre+and+Reinforced&btnG= (accessed on 15 March 2012).
  52. ASTM C497-19a. In Standard Test Methods for Concrete Pipe, Concrete Box Sections, Manhole Sections, or Tile; ASTM International: West Conshohocken, PA, USA, 2020.
  53. Carleton, E.; Hiner, S.; Kurdziel, J. The History and Application of the Three-Edge Bearing Test for Concrete Pipe. In Concrete Pipe and Box Culverts; Meyer, J., Beakley, J., Eds.; ASTM International: West Conshohocken, PA, USA, 2017; pp. 18–27. [Google Scholar] [CrossRef]
  54. Marston, A.; Anderson, A.O. The theory of loads on pipes in ditches and tests of cement and clay drain tile and sewer pipe. Eng. Exp. Stn. 1913, 31, 181. [Google Scholar]
  55. Vu, K.A.T.; Stewart, M.G. Predicting the Likelihood and Extent of Reinforced Concrete Corrosion-Induced Cracking. J. Struct. Eng. 2005, 131, 946–955. [Google Scholar] [CrossRef]
  56. ASTM C1765-19. In Standard Specification for Steel Fiber Reinforced Concrete Culvert, Storm Drain, and Sewer Pipe; ASTM International: West Conshohocken, PA, USA, 2019.
  57. Peyvandi, A.; Soroushian, P.; Jahangirnejad, S. Enhancement of the structural efficiency and performance of concrete pipes through fiber reinforcement. Constr. Build. Mater. 2013, 45, 36–44. [Google Scholar] [CrossRef]
  58. Peyvandi, A.; Soroushian, P.; Balachandra, A.M.; Sobolev, K. Enhancement of the durability characteristics of concrete nanocomposite pipes with modified graphite nanoplatelets. Constr. Build. Mater. 2013, 47, 111–117. [Google Scholar] [CrossRef]
  59. Hannant, D.J. Durability of Polypropylene Fibers in Portland Cement-Based Composites: Eighteen Years of Data. Cem. Concr. Res. 1998, 28. [Google Scholar] [CrossRef]
  60. Richardson, A.E. Electrical properties of Portland cement, with the addition of polypropylene fibres—Regarding durability. Struct. Surv. 2004, 22, 156–163. [Google Scholar] [CrossRef]
  61. Saaty, T.L. Axiomatic Foundation of the Analytic Hierarchy Process. Manag. Sci. 1986, 32, 841–855. [Google Scholar] [CrossRef]
  62. Tzeng, G.H.; Huang, J.J. Multiple Attribute Decision Making: Methods and Applications; Taylor & Francis: Boca Raton, FL, USA, 2011. [Google Scholar]
  63. Yoon, K. A reconciliation among discrete compromise solutions. J. Oper. Res. Soc. 1987, 38, 277–286. [Google Scholar] [CrossRef]
  64. Duckstein, L.; Opricovic, S. Multiobjective optimization in river basin development. Water Resour. Res. 1980, 16, 14–20. [Google Scholar] [CrossRef]
  65. Opricovic, S.; Tzeng, G.H. Compromise solution by MCDM methods: A comparative analysis of VIKOR and TOPSIS. Eur. J. Oper. Res. 2004, 156, 445–455. [Google Scholar] [CrossRef]
  66. Opricovic, S.; Tzeng, G.H. Extended VIKOR method in comparison with outranking methods. Eur. J. Oper. Res. 2007, 178, 514–529. [Google Scholar] [CrossRef]
  67. Siskos, J.; Hubert, P. Multi-criteria analysis of the impacts of energy alternatives: A survey and a new comparative approach. Eur. J. Oper. Res. 1983, 13. Available online: https://www.sciencedirect.com/science/article/abs/pii/0377221783900577 (accessed on 11 March 2021). [CrossRef]
  68. Brans, J.; Vincke, P.; Mareschal, B. How to select and how to rank projects: The PROMETHEE method. Eur. J. Oper. Res. 1986, 24, 228–238. [Google Scholar] [CrossRef]
  69. Sałabun, W. The Characteristic Objects Method: A new approach to identify a multi-criteria group decision-making model. Int. J. Comput. Technol. Appl. 2014, 5, 1597–1602. [Google Scholar]
  70. Kizielewicz, B.; Sałabun, W. A new approach to identifying a multi-criteria decision model based on stochastic optimization techniques. Symmetry 2020, 12, 1551. [Google Scholar] [CrossRef]
  71. Kizielewicz, B.; Kolodziejczyk, J. Effects of the selection of characteristic values on the accuracy of results in the COMET method. Procedia Comput. Sci. 2020, 176, 3581–3590. [Google Scholar] [CrossRef]
  72. Jato-Espino, D.; Castillo-Lopez, E.; Rodriguez-Hernandez, J.; Canteras-Jordana, J.C. A review of application of multi-criteria decision making methods in construction. Autom. Constr. 2014, 45, 151–162. [Google Scholar] [CrossRef]
  73. Navarro, I.J.; Yepes, V.; Martí, J.V. A Review of Multicriteria Assessment Techniques Applied to Sustainable Infrastructure Design. Adv. Civ. Eng. 2019, 2019, 6134803. [Google Scholar] [CrossRef]
  74. Nadkarni, R.R.; Puthuvayi, B. A comprehensive literature review of Multi-Criteria Decision Making methods in heritage buildings. J. Build. Eng. 2020, 32, 101814. [Google Scholar] [CrossRef]
  75. Sałabun, W.; Watróbski, J.; Shekhovtsov, A. Are MCDA methods benchmarkable? A comparative study of TOPSIS, VIKOR, COPRAS, and PROMETHEE II methods. Symmetry 2020, 12, 1549. [Google Scholar] [CrossRef]
  76. Shekhovtsov, A.; Kolodziejczyk, J. Do distance-based multi-criteria decision analysis methods create similar rankings? Procedia Comput. Sci. 2020, 176, 3718–3729. [Google Scholar] [CrossRef]
  77. Kabir, G.; Sadiq, R.; Tesfamariam, S. A review of multi-criteria decision-making methods for infrastructure management. Struct. Infrastruct. Eng. 2014, 10, 1176–1210. [Google Scholar] [CrossRef]
  78. Velasquez, M.; Hester, P. An analysis of multi-criteria decision making methods. Int. J. Oper. Res. 2013, 10, 56–66. [Google Scholar]
  79. Karni, R.; Sanchez, P.; Rao Tummala, V.M. A comparative study of multiattribute decision making methodologies. Theory Decis. 1990, 29, 203–222. [Google Scholar] [CrossRef]
  80. Triantaphyllou, E. Multi-Criteria Decision Making Methods: A Comparative Study; Springer Science and Business Media: Dordrecht, The Netherlands, 2000. [Google Scholar] [CrossRef]
  81. Shekhovtsov, A.; Salabun, W. A comparative case study of the VIKOR and TOPSIS rankings similarity. Procedia Comput. Sci. 2020, 176, 3730–3740. [Google Scholar] [CrossRef]
  82. del Caño, A.; de la Cruz, M.P.; Cartelle, J.J.; Lara, M. Conceptual framework for an integrated method to optimise sustainability of engineering systems. Renew. Energy Power Qual. J. 2015, 1, 145–150. [Google Scholar] [CrossRef]
  83. Cartelle Barros, J.J.; Lara Coira, M.; de la Cruz López, M.P.; del Caño Gochi, A. Probabilistic life-cycle cost analysis for renewable and non-renewable power plants. Energy 2016, 112, 774–787. [Google Scholar] [CrossRef]
  84. Piñero, I.; San-José, J.T.; Rodríguez, P.; Losáñez, M.M. Multi-criteria decision-making for grading the rehabilitation of heritage sites. Application in the historic center of La Habana. J. Cult. Herit. 2017, 26, 144–152. [Google Scholar] [CrossRef]
  85. Pujadas, P.; Cavalaro, S.H.P.; Aguado, A. Mives multicriteria assessment of urban-pavement conditions: Application to a case study in Barcelona. Road Mater. Pavement Des. 2019, 20, 1827–1843. [Google Scholar] [CrossRef]
  86. Del Caño, A.; Gómez, D.; De La Cruz, M.P. Uncertainty analysis in the sustainable design of concrete structures: A probabilistic method. Constr. Build. Mater. 2012, 37, 865–873. [Google Scholar] [CrossRef]
  87. Cartelle Barros, J.J.; Lara Coira, M.; de la Cruz López, M.P.; del Caño Gochi, A.; Soares, I. Probabilistic multicriteria environmental assessment of power plants: A global approach. Appl. Energy 2020, 260, 114344. [Google Scholar] [CrossRef]
  88. Harris, D.J. A Quantitative Approach to the Assessment of the Environmental Impact of Building Materials; Technical Report; Elsevier: Amsterdam, The Netherlands, 1999. [Google Scholar]
  89. Kappenthuler, S.; Seeger, S. From resources to research—A framework for identification and prioritization of materials research for sustainable construction. Mater. Today Sustain. 2020, 7–8, 100009. [Google Scholar] [CrossRef]
  90. Wagner, L.A. Materials in the Economy; Material Flows, Scarcity, and the Environment; Technical Report; USGS: Reston, VA, USA, 2002. [Google Scholar] [CrossRef]
  91. OECD. Global Material Resources Outlook to 2060: Economic Drivers and Environmental Consequences; Technical Report; OECD Publishing: Paris, France, 2019. [Google Scholar]
  92. Jones, C. Bath Inventory of Carbon and Energy (ICE); University of Bath: Bath, UK, 2019. [Google Scholar]
  93. Vefago, L.H.C.; Avellaneda, J. Recycling concepts and the index of recyclability for building materials. Resour. Conserv. Recycl. 2013, 72, 127–135. [Google Scholar] [CrossRef]
  94. Casanovas-Rubio, M.d.M.; Pujadas, P.; Pardo-Bosch, F.; Blanco, A.; Aguado, A. Sustainability assessment of trenches including the new eco-trench: A multi-criteria decision-making tool. J. Clean. Prod. 2019, 238, 117957. [Google Scholar] [CrossRef]
  95. Gao, W.; Ariyama, T.; Ojima, T.; Meier, A. Energy Impacts of Recycling Disassembly Material in Residential Buildings; Elsevier: Amsterdam, The Netherlands, 2001; Volume 33. [Google Scholar]
  96. Likert, R. Technique for the Measurement of Attitudes. Arch. Psychol. 1932, 22. [Google Scholar] [CrossRef]
  97. Casanovas-Rubio, M.D.M.; Armengou, J.; Ramos, G. Occupational risk index for assessment of risk in construction work by activity. J. Constr. Eng. Manag. 2014, 140, 04013035. [Google Scholar] [CrossRef]
  98. CYPE Ingenieros. Generador de Precios España; CYPE Ingenieros: Alicante, Spain, 2021. [Google Scholar]
  99. Aguado, A.; Caño, A.D.; De La Cruz, M.P.; Gómez, D.; Josa, A. Sustainability assessment of concrete structures within the Spanish structural concrete code. J. Constr. Eng. Manag. 2012, 138, 268–276. [Google Scholar] [CrossRef]
  100. UNE 127916. Concrete Pipes and Fittings, Unreinforced, Steel Fibre and Reinforced. National Complement to the UNE-EN 1916:2008 Standard. 2017. Available online: https://www.une.org/encuentra-tu-norma/busca-tu-norma/norma/?Tipo=N&c=N0063521 (accessed on 10 March 2021).
Figure 1. Three-edge bearing test on a 2500 mm double-cage steel reinforced concrete pipe.
Figure 1. Three-edge bearing test on a 2500 mm double-cage steel reinforced concrete pipe.
Sustainability 13 03026 g001
Figure 2. (a) Double cage for a high strength class reinforced concrete pipe; and (b) automatised production of the steel cage.
Figure 2. (a) Double cage for a high strength class reinforced concrete pipe; and (b) automatised production of the steel cage.
Sustainability 13 03026 g002
Figure 3. (a) Steel structural macrofibres; and (b) synthetic structural macrofibres.
Figure 3. (a) Steel structural macrofibres; and (b) synthetic structural macrofibres.
Sustainability 13 03026 g003
Figure 4. Value functions and respective constitutive parameters.
Figure 4. Value functions and respective constitutive parameters.
Sustainability 13 03026 g004
Figure 5. Economic sustainability indexes of each alternative.
Figure 5. Economic sustainability indexes of each alternative.
Sustainability 13 03026 g005
Figure 6. Environmental sustainability indexes of each alternative.
Figure 6. Environmental sustainability indexes of each alternative.
Sustainability 13 03026 g006
Figure 7. Social sustainability indexes of each alternative.
Figure 7. Social sustainability indexes of each alternative.
Sustainability 13 03026 g007
Figure 8. Global sustainability indexes of each alternative.
Figure 8. Global sustainability indexes of each alternative.
Sustainability 13 03026 g008
Figure 9. Cumulative distributions corresponding to each alternative for the probabilistic scenario with uncertainties in the weighting system.
Figure 9. Cumulative distributions corresponding to each alternative for the probabilistic scenario with uncertainties in the weighting system.
Sustainability 13 03026 g009
Figure 10. Cumulative distributions corresponding to each alternative for the probabilistic scenario with uncertainties in the data.
Figure 10. Cumulative distributions corresponding to each alternative for the probabilistic scenario with uncertainties in the data.
Sustainability 13 03026 g010
Table 1. Model for the sustainability assessment of RCPs and FRCPs for sewerage.
Table 1. Model for the sustainability assessment of RCPs and FRCPs for sewerage.
Requirementw (%)Criteriaw (%)Indicatorw (%)Unit
R 1 Economic60 C 1 Cost70 I 1 Production costs100€/m
C 2 Time30 I 2 Production time100h/m
R 2 Environmental20 C 3 Emissions60 I 3 CO 2 e q emissions100kgCO2−eq/m
C 4 Resources30 I 4 Non-renewable70kg/m
I 5 Energy30MJ/m
C 5 Reusability10 I 6 Recyclability100Attribute
R 3 Social20 C 6 Labour risks70 I 7 ORI100Weighted hour
C 7 Innovation30 I 8 Innovation100Attribute
Table 2. Attributes and respective points assigned to the different levels of recyclability.
Table 2. Attributes and respective points assigned to the different levels of recyclability.
Level of RecyclabilityAttributeType of ReinforcementPoints
Non-recyclableLowSteel fibres1
Partially recyclableMediumPolymeric fibres3
Completely recyclableHighSteel cage5
Table 3. Ratings of probability, severity of the most probable consequence and importance of the occupational risks in pipe manufacturing.
Table 3. Ratings of probability, severity of the most probable consequence and importance of the occupational risks in pipe manufacturing.
Risk-ActivityPCIR
1Collision with or trapping by a moving load due to its movement or detachment—mechanical load handling (other means of mechanical load handling)1200.020
2Blows to upper and lower limbs—manual load handling (installation of reinforcing bars)370.021
3Burns-welding170.007
4Cuts, blunt trauma and other injuries—work with hand tools (smoothing trowels in steel fibres)310.003
5Cuts, blunt trauma and other injuries—work with hand tools (smoothing trowels in plastic fibres)210.002
Table 4. Constitutive parameters of the value functions in Figure 3.
Table 4. Constitutive parameters of the value functions in Figure 3.
Indicator X max X min CKP
R 1 Economic I 1 Production costs
I 2 Production time
1.250.752.007003.00
R 2 Environmental I 3 C O 2 e q emissions
I 4 Non-renewables1.250.500.250.501.00
I 5 Energy
I 6 Recyclability1.250.750.506.003.10
R 3 Social I 7 ORI3.400.001.000.001.00
I 8 Innovation1.500.501.000.001.00
Table 5. Parameters defining analysed alternatives.
Table 5. Parameters defining analysed alternatives.
N° Ref.Code D int (mm)Thickness (mm)Resistance Class (kN/m2)
1300/50/C6030050 (B)C 60
2300/69/C6069 (C)
3300/50/C9050 (B)C 90
4300/69/C9069 (C)
5300/50/C13550 (B)C 135
6300/69/C13569 (C)
7300/50/C18050 (B)C 180
8300/69/C18069 (C)
9600/75/C6060075 (B)C 60
10600/94/C6094 (C)
11600/75/C9075 (B)C 90
12600/94/C9094 (C)
13600/75/C13575 (B)C 135
14600/94/C13594 (C)
15600/75/C18075 (B)C 180
16600/94/C18094 (C)
171000/109/C601000109 (B)C 60
181000/128/C60128 (C)
191000/109/C90109 (B)C 90
201000/128/C90128 (C)
211000/109/C135109 (B)C 135
221000/128/C135128 (C)
231000/109/C180109 (B)C 180
241000/128/C180128 (C)
Publisher’s Note: MDPI stays neutral with regard to jurisdictional claims in published maps and institutional affiliations.

Share and Cite

MDPI and ACS Style

Josa, I.; de la Fuente, A.; Casanovas-Rubio, M.d.M.; Armengou, J.; Aguado, A. Sustainability-Oriented Model to Decide on Concrete Pipeline Reinforcement. Sustainability 2021, 13, 3026. https://doi.org/10.3390/su13063026

AMA Style

Josa I, de la Fuente A, Casanovas-Rubio MdM, Armengou J, Aguado A. Sustainability-Oriented Model to Decide on Concrete Pipeline Reinforcement. Sustainability. 2021; 13(6):3026. https://doi.org/10.3390/su13063026

Chicago/Turabian Style

Josa, Irene, Albert de la Fuente, Maria del Mar Casanovas-Rubio, Jaume Armengou, and Antonio Aguado. 2021. "Sustainability-Oriented Model to Decide on Concrete Pipeline Reinforcement" Sustainability 13, no. 6: 3026. https://doi.org/10.3390/su13063026

APA Style

Josa, I., de la Fuente, A., Casanovas-Rubio, M. d. M., Armengou, J., & Aguado, A. (2021). Sustainability-Oriented Model to Decide on Concrete Pipeline Reinforcement. Sustainability, 13(6), 3026. https://doi.org/10.3390/su13063026

Note that from the first issue of 2016, this journal uses article numbers instead of page numbers. See further details here.

Article Metrics

Back to TopTop