Next Article in Journal
Assessing the Relationship between Economic Growth and Emissions Levels in South Africa between 1994 and 2019
Next Article in Special Issue
Propensity to Choose Electric Vehicles in Cross-Border Alpine Regions
Previous Article in Journal
Strategies in Times of Pandemic Crisis—Retailers and Regional Resilience in Würzburg, Germany
Previous Article in Special Issue
Sustainable Transportation and Policy Development: A Study for Impact Analysis of Mobility Patterns and Neighborhood Assessment of Walking Behavior
 
 
Font Type:
Arial Georgia Verdana
Font Size:
Aa Aa Aa
Line Spacing:
Column Width:
Background:
Article

Modeling a Distance-Based Preferential Fare Scheme for Park-and-Ride Services in a Multimodal Transport Network

1
Department of Logistics and Maritime Studies, The Hong Kong Polytechnic University, Hung Hom, Hong Kong, China
2
Institute of Transport Studies, Department of Civil Engineering, Monash University, Clayton, VIC 3800, Australia
3
Jiangsu Key Laboratory of Urban ITS, Jiangsu Province Collaborative Innovation Center of Modern Urban Traffic Technologies, School of Transportation, Southeast University, Nanjing 211189, China
4
School of Cyber Science and Engineering, Southeast University, Nanjing 211189, China
*
Author to whom correspondence should be addressed.
Sustainability 2021, 13(5), 2644; https://doi.org/10.3390/su13052644
Submission received: 8 February 2021 / Revised: 22 February 2021 / Accepted: 25 February 2021 / Published: 2 March 2021
(This article belongs to the Collection Sustainable Transport Economics, Behaviour and Policy)

Abstract

This paper investigates a distance-based preferential fare scheme for park-and-ride (P&R) services in a multimodal transport network. P&R is a sustainable commuting approach in large urban areas where the service coverage rate of conventional public transport modes (e.g., train and bus) is poor/low. However, P&R services in many cities are less attractive compared to auto and other public transport modes, especially for P&R facilities sited far away from the city center. To address this issue, this paper proposes a distance-based preferential fare scheme for P&R services in which travelers who choose the P&R mode get a discount. The longer the distance they travel by train, the better the concessional price they get. A multimodal transport network equilibrium model with P&R services is developed to evaluate the impacts of the proposed distance-based fare scheme. The travelers’ mode choice behavior is modeled by the multinomial logit (MNL) discrete choice model, and their route choice behavior is depicted by the user equilibrium condition. A mathematical programming model is then built and subsequently solved by the outer approximation method. Numerical simulations demonstrate that the proposed distance-based preferential fare scheme can effectively motivate travelers to use a P&R service and significantly enhance the transport network’s performance.

1. Introduction

Public transport is widely acknowledged as a sustainable solution to traffic congestions in urban areas. Many strategies have been proposed to promote the usage of public transport services, such as optimizing the transit fare, itinerary, and service frequency [1], and offering flexible demand-responsive transit services [2]. However, public transport is still less attractive compared to private vehicles, mainly because it has to balance the public travel requirements. In other words, individual travel needs are difficult completely satisfy. Therefore, it is inevitable that public transport passengers will suffer low bus frequency, tortuous bus itinerary, longer travel time, and lack of door-to-door services [3], more or less. For instance, in Sydney, approximately 320,000 commuters travel to the central business district (CBD) each day, with an average commuting distance of 16.5 km [4]. People living in suburbs, like Nowra (Bomaderry) and Wollongong, have to take approximately 1 h and 50 min and 1 h and 30 min to get to the Sydney CBD, respectively, which requires the passengers to wake up very early to be on time for work [5].
P&R services—which allow commuters to drive from home/outer suburbs where the traffic is free, park their cars in a P&R parking site when they approach the city center, and ride the rails/buses to the CBD or other downtown areas—have become a potential solution to reduce individuals’ travel time, improve their travel quality, and meanwhile promote public transport services [3]. P&R services can be generally categorized into two types: bus-based and rail-based. Bus-based P&R services are widely applied in areas without rail lines, such as small cities in the UK and the US. In a metropolis with an advanced rail system, rail-based P&R is superior to bus-based P&R due to a higher level of safety, comfortability, and reliability. Therefore, this study focuses on rail-based P&R services. Existing studies mainly focus on the sitting and sizing of rail-based P&R facilities. However, constructing new P&R sites is only suitable for a developing city without sufficient P&R facilities. For an urban area with developed P&R facilities, a more feasible and sustainable solution is providing fare incentives for P&R users.
A widely adopted economic incentive strategy is exempting parking fees for P&R users. However, this strategy is still inflexible and may result in the overutilization of P&R sites in the outer edges of the city center, and poor utilization of P&R facilities in outer suburb areas. We note that this phenomenon is not sustainable because the majority of trips of P&R users are still made by driving. To motivate P&R users to choose upstream P&R facilities and increase the usage of the “ride” component, this paper proposes and examines a distance-based preferential fare scheme for P&R services. Namely, a train fare discount scheme is provided for P&R users. The longer a P&R user rides, the more of a concessional price he/she will get. Existing surveys and studies reveal that P&R schemes should be carefully planned and managed, since arbitrarily planned and implemented P&R incentive schemes may increase the total travel time or total vehicle miles in the network. The influence of P&R schemes should be systematically analyzed and predicted over the whole transport network. Network analysis of P&R schemes endogenously involves the modal split as well as traffic assignment [3]. Therefore, this paper aims to build a multimodal transport network equilibrium model with a P&R system and a distance-based preferential fare charge scheme.
In summary, the purpose of this work is to investigate the distance-based preferential fare scheme for P&R services in an urban transport network. To quantitatively evaluate the influences of P&R schemes over the whole transport network, this study builds a multimodal network equilibrium model, which is formulated as a convex programming problem and solved by the outer approximation method. Two specific distanced-based preferential fare schemes are considered and evaluated in the numerical simulations.
The remainder of this paper is organized as follows. Section 2 summarizes the related literature. In Section 3, the specific distance-based preferential fare charge scheme is introduced. A mathematical optimization model and its solution algorithm are proposed and explained in Section 4. Section 5 presents two illustrative examples to validate the proposed model and solution method. Section 6 concludes this study.

2. Literature Review

Promoting sustainable transport modes and analysis tools is a significant research field in transportation [6,7,8,9]. P&R is proposed to mitigate traffic congestion in the city center, reduce vehicle miles traveled, and promote sustainable public transport modes. Meanwhile, from the perspective of individual travelers, it also reduces their travel costs by facilitating modal shifts. P&R is expected to expand the catchment of transit, concentrate the transit travel demand, and alleviate parking demand in the city center. However, the potential of P&R has not been comprehensively understood. Some studies show that P&R may also bring some negative effects on the urban transport system [10]. Previous studies of P&R can be generally classified into two categories.
The first type of existing studies mainly focuses on single or multiple P&R facilities, such as identifying the influence factors of modal/P&R site choice [11,12,13] and the utilization of P&R facilities [14,15,16]. Cornejo and Perez [11] evaluated the potential of P&R facilities based on the site location, bus service reliability, user demand, and cost estimation. Pang and Khani [12] focused on commuters’ P&R location choices by using mixed logit models and adding interaction terms in the utility functions. Webb and Khani [13] estimated a nested logit discrete choice model from on-board survey data for P&R users’ station choice. Stieffenhofer and Barton [15] proposed a person-efficiency measure of P&R sites, which is claimed as a more straightforward method compared to the occupancy of parked vehicles. Zhao and Chen [16] explored the influence factors of utilization rates of P&R facilities, including the land-use features, roadway design features, transit ridership, sociodemographic attributes, travel characteristics, policy tools, gasoline prices, and weather conditions. Huang and Zhu [14] studied the pertinent factors of traveler choice in Melbourne, Australia, with the assistance of a cumulative logistic regression model. Ying and Xiang [17] surveyed 524 drivers in Shanghai and concluded that road congestion and parking policies were the main factors of concern to residents. Another group of studies explored the influence of income, job, age, gender, and environmental awareness, and concluded that income, job, age, and gender are major factors influencing travel decisions [18,19]. A common methodology of their studies is to collect data from surveys and questionnaires and apply statistical methods, like logit-based discrete choice models. The influence factors of P&R sites are various, depending on specific environments.
Another class of research is that estimating the influence of P&R services on the transport network, where a network equilibrium model is established [3,10,20,21,22]. Commuters’ travel choice behavior on the transport network is explicitly considered in this type of study [23,24]. Fernandez and Cea [25] proposed an initial work to evaluate P&R services over the whole transport network. Later, Li and Lam [10] and Lam and Li [26] extended this to a stochastic case where a logit-based discrete choice model was adopted. Liu and Chen [3] further made use of the recent advance in discrete choice models, where a cross-nest-logit model was adopted to measure the heavy overlap between travel modes. Chen and Kim [27] considered environmental protection requirements and analyzed the impact of P&R with the nonlinear capacity-constrained multimodal network equilibrium model. With regards to some other studies (e.g., Wang and Yang [28], Liu and Huang [21], Wang and Du [29], Du and Wang [30]), their focus was on P&R schemes in a linear corridor/network. Wang and Yang [28] investigated the optimal location and pricing of a P&R facility in a linear city where residences are uniformly distributed from the center to the exogenous city boundary, and all trips are from home to the center. Liu and Huang [21] proposed a deterministic continuum equilibrium model to characterize commuters’ modal choices and park-and-ride transfer behaviors. Wang and Du [29] studied travelers’ modal choice in a railway–highway system with single park-and-ride service on a linear travel corridor. Du and Wang [30] further extended their previous work to more general situations in a linear travel corridor with continuous P&R facilities. Heterogeneous commuters and travel time reliability are considered in model formulation.
Most of the previous studies based on the urban transport network focus on estimating and optimizing sitting, sizing, and parking fees of P&R facilities (e.g., Chen and Liu [31], Liu and Chen [3], Song and He [32], Wang and Yang [28], Liu and Huang [21], Wang and Meng [33], Wang and Meng [34]). Wang and Yang [28] considered the location and pricing of P&R facilities in a linear monocentric city. Liu and Huang [21] studied the relationship between travelers’ behavior and P&R parking pricing strategy in a linear monocentric city. Wang and Meng [33] and Wang and Meng [34] studied the optimal parking fee scheme over a whole transport network in which the travelers’ behavior was modeled by a dynamic transport equilibrium model. Chen and Liu [31] considered the optimal location and capacity design problem of rail-based P&R services. Liu and Chen [3] proposed a general P&R service mode (i.e., remote P&R) and optimize the location and capacity in a multimodal transport network. Song and He [32] proposed an integrated planning approach for P&R facilities and transit services. Compared with the aforementioned studies, this paper aims to investigate the impact of a distance-based fare discount scheme for P&R users over the whole transport network.

3. Problem Statement

In this section, we briefly introduce the mathematical formulations and discuss some necessary properties of the model. To analyze the impact of a distance-based concessional pricing scheme, we first build a mathematical model for the multimodal equilibrium flows. For readers’ convenience, the major symbols used in the model can be found in Appendix A.
Consider a strongly connected multimodal transport network G = ( N , A ) , where N denotes the set of nodes and A denotes the set of directed links. The origin and destination (OD) pair in the network is denoted as ( o , d ) and the set of OD pairs is denoted as W . Let v a denote the flow on link a , f k o d , m denote the flow on path k under mode m between OD pair ( o , d ) , and q o d denote the total travel demand between OD pair ( o , d ) , which is a non-negative value. Travelers will choose various travel modes; therefore, they can be further categorized into three types: (i) travelers who will use private cars only, (ii) travelers who will take rail only, and (iii) travelers who will choose P&R services. Let q o d , c , q o d , r , and q o d , p represent the travel demands of the above three categories, respectively. Then, according to the demand conservation condition, we have q o d , c + q o d , r + q o d , p = q o d . Let M o d denote the set of all potential travel modes between OD pair ( o , d ) (e.g., M o d = { a , r , p } ), and we have the following:
m M o d q o d , m = q o d , o d W .
m M o d q o d , m = q o d , o d W .
After choosing their travel mode, travel demands should also satisfy the flow conservation condition. Let K o d , m denote the set of paths under mode m between OD pair ( o , d ) . We then have the following:
k K o d , m f k o d , m = q o d , m , o d W , m M o d .
When the path flows accumulate on the network links, we can get the link flow which is expressed as the following:
o d W m M m k K o d , m f k o d , m δ a , k o d , m = v a , a A
where δ a , k o d , m = 1 if path k passes link a , and δ a , k o d , m = 0 otherwise. Meanwhile, travel demand q o d , m and path flow f k o d , m are non-negative:
q o d , m 0 , o d W , m M o d
f k o d , m 0 , o d W , m M o d , k K o d , m .

3.1. Travel Time, Train Fare, and Generalized Path Travel Time

The set of links A consists of three sub-sets: set of road links A a , set of rail links A r , and set of P&R links A p . The multimodal transport network can be further divided into a road subnetwork G a ( N a , A a ) and a rail subnetwork G r ( N r , A r ) , where N a and N r denote the node set on the auto and rail sub-network, respectively. The P&R links are used to connect the road links and rail links, so that the travelers can transfer to the urban rail system and go to their workplace in the morning, and switch back to their private cars in the evening.
The travel impedance of travelers includes the time-based value (the travel time on road links, the in-carriage travel time, and the transfer time from driving to riding) and the monetary-based value (train fare) which can be converted into time-based value through the parameter of the value of time.

3.1.1. Generalized Travel Cost of Private Vehicles

The travel impedance of travelers who choose private cars is the travel time spent on road a A a , which is flow dependent. We assume that the link travel time t a , a A a is a continuously differentiable and monotonically increasing function of the link flow v a . In this section, we make the following assumptions: (i) The link travel time functions on auto links are separable. Namely, t a is a function of its own flow v a . (ii) The path travel time c k is additive to its links. Namely, c k = a A a t a δ a , k o d , c , where δ a , k o d , c = 1 if path k uses link a , and δ a , k o d , c = 0 otherwise.
The path travel impedance c ¯ k o d , c of private vehicle drivers can be expressed as
c ¯ k o d , c = a A a t a ( v a ) δ a , k o d , c , o d W , k K o d , c .
In many urban areas, drivers have to pay for parking in the CBD or downtown areas. Let τ p denote the parking fare; then, the generalized travel impedance c ¯ k o d , c of private vehicle drivers can be expressed as
c ¯ k o d , c = a A a t a ( v a ) δ a , k o d , c + τ p μ , o d W , k K o d , c
where μ represents the value of time, which is usually assumed to be a random variable across the whole population of travelers.

3.1.2. Generalized Travel Cost of Rail Services

The travel time t a , a A r on rail links is more stable and reliable than the travel time on roads. However, during peak hours, excessively high-demand board/light in the carriage may cause boarding/lighting congestion [4]. Therefore, in this study, we assume that t a , a A r is also a continuously differentiable and monotonically increasing function of its link flow v a . The train fares are usually distance-based. Let d k o d , r denote the length of a path k under the rail mode and it can be express as
d k o d , r = a A r l a δ a , k o d , r , o d W , k K o d , r
where l a is the length of link a .
The distance-based train fare scheme can be represented by a function of the traveled distance of a traveler, denoted by ϕ ( d ) . The specific expression of ϕ ( d ) may be various in the real world. However, some general properties should be held (i.e., ϕ ( d ) should be positive and non-decreasing [31]). In this study, we consider the kilometer-based train fare scheme which is a specific case of ϕ ( d ) .
ϕ ( d ) = ρ d
where ρ is the slope of the kilometer-based train fare function.
The overall travel impedance of rail riders can be expressed as a combination of travel time and train fare:
c ¯ k o d , r = a A r t a ( v a ) δ a , k o d , r + ρ d k o d , r μ , o d W , k K o d , r
where c ¯ k o d , r is a generalized travel cost on path k under rail mode between OD pair ( o , d ) .

3.1.3. Generalized Travel Cost of P&R Services

The travel impedance of P&R services includes the travel time on the road, the time spent on parking, waiting, boarding of a train, in-vehicle travel time, as well as the train fares. In this study, we assume that the parking fee for P&R users is exempted, which is a common case in the majority of P&R services. The time spent on parking, waiting, and boarding a train is flow dependent. Therefore, the link travel time t a ( v a ) , a A p on P&R links is assumed to be a continuously differentiable and monotonically increasing function of the link flow. When the travelers switch to the train system, P&R users will pay for the train fares. Therefore, the general travel cost of a P&R user between OD pair ( o , d ) who choose path k can be expressed as
c ¯ k o d , p = a A t a ( v a ) δ a , k o d , p + ρ d k o d , p r μ , o d W , k K o d , p
where d k o d , p r denotes the length of path segments on the rail lines.
In many situations, to motivate travelers using P&R facilities, transport authorities may provide a fare discount for P&R users. However, arbitrary implementation of fare exempting or discounting scheme for all P&R users may result in over-congestion of P&R space in some sites and a lower utilization rate of parking space in other spots. In this study, to better promote the P&R services, we propose a new fare scheme (i.e., a distance-based P&R preferential fare scheme). The concessional price depends on the distance of P&R sites to the city center, which could address the uneven utilization rate of P&R sites. The specific expression of the integrated fare scheme can be expressed as follows:
c ¯ k o d , p = a A t a ( v a ) δ a , k o d , p + β ( d k o d , p r ) μ , o d W , k K o d , p
where β ( d k o d , p r ) is the distance-based P&R preferential fare function. Travelers who choose the P&R scheme can have monetary amenities. The longer the distance they travel by train, the better the concessional price they will get. In this way, P&R users will be encouraged to utilize the P&R spots in outer suburbs.

4. Combined Modal Split and Traffic Assignment

The travel decisions of transport network users include mode choice and route choice. Therefore, to systematically evaluate the impact of the integrated fare scheme over the whole urban transport network, a multimodal transport network equilibrium model is required. In the literature, various transport network equilibrium models have been applied to access the P&R facilities over the transport network, such as the probit-based stochastic user equilibrium model [18], and dynamic user equilibrium model [24]. However, these studies mainly focus on modeling network users’ route choice behavior. In this study, we adopt a combined modal split and traffic assignment model (CMSTA) to better depict the network users’ mode and route choice behavior. We apply the multinomial logit (MNL) discrete choice model to reflect the randomness of travelers’ mode choice behavior. The distance-based train fare scheme is generally non-additive to its links. Considering the rail network has a very limited size, it is easy to enumerate all the simple paths between the P&R sites to destinations and the simple path of the train mode. Meng et al. [31] proposed a network transformation method that uses dummy links to replace these paths. In this section, we apply their method. Then, the CMSTA can be formulated as a link-based mathematical programming problem, which can be written as follows:
min Z = a A 0 v a t a ( x ) d x + o d W m M o d 1 θ q o d , m ln ( q o d , m ) + a A ¯ r v a ( ρ d a , r ) / μ + a A ¯ p v a β ( d a , p r ) / μ
subject to constraints (1)–(5), where A ¯ r is the set of dummy links to replace the paths of train mode, A ¯ p is a set of dummy links to replace the paths between P&R sites to destinations, d a , r denotes the travel distance on link a A ¯ r by rail mode, and d a , p r denotes the travel distance on link a A ¯ p by P&R mode.
We note that the nonlinear terms in the proposed model can be approximated/linearized by the tangent lines and tangent planes and then transformed into a linear programming problem which can be solved by state-of-the-art solvers [32]. Therefore, we use the combined tangent lines and tangent planes approximation method to address this model.

5. Numerical Simulations

In this section, we perform several numerical simulations to verify the applicability and effectiveness of the proposed model and solution method.

5.1. A Linear Corridor

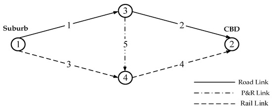
We first consider a linear corridor network where a rail line (link 3 and 4) and a highway (link 1 and 2) connect the suburb area (node 1) and the CBD (node 2) as shown in Figure 1. The traffic is free flowing in suburb areas and becomes congested when approaching the city center. A P&R facility is located at the halfway point (i.e., link 5) so that travelers who originally drive from home can transfer to rail lines. Rail transport mode is more reliable and independent of traffic flow. Currently, a certain amount of train fares is imposed for both train and P&R users, which depends on the distance a commuter travels. Specific parameters of the corridor network are shown in Table 1. Assume the value of time is uniformly distributed within the range from 2.0 to 10.0 dollars per hour. We take the mean value to represent the travelers’ perceived value of time. The overall train fare from origin to destination is 2.5 dollars. P&R users should pay for both the parking and train fare, which is 2 dollars. The example and parameter settings are hypothetically created to obtain some insights of the proposed model.
The BPR function is applied to reflect the relationship between link travel time and link flow, which is to say t a = t a 0 ( 1 + 0.15 ( v a / C a ) 4 ) for road links, and t a = t a 0 ( 1 + 0.1 ( v a / C a ) 4 ) for P&R links. Herein, t a 0 is the free flow travel time of link a . The travel demand between origin 1 and destination 2 is assumed as 1000. The dispersion parameter θ of MNL model is set as 1.0. We then examine the correctness of the results. Table 2 shows the equilibrium demand of three travel modes and their corresponding travel time. It can be seen that the modal demand satisfies the demand conservation condition, and the solved travel time satisfies the MNL modal choice condition. The modal split pattern can be taken as a benchmark to reflect the influence of distance-based preferential fare scheme.
We proceed to examine the impact of an integrated parking and riding fare scheme, where an additional discount β p r is provided for P&R users. Figure 2 shows the modal share pattern with various discount rates. As expected, providing a higher discount rate to P&R users could attract an increasing number of P&R users who previously drove or rode. Specifically, the modal share of P&R service is below 20% without discount motivation. There exists an increase of over 10% by providing sufficient preferential prices to P&R users. It should be noted that compared with car modes, rail passengers are more likely to be attracted to P&R modes. This phenomenon reminds us that P&R services should be carefully planned and managed to prevent competition with rail modes.

5.2. Nguyen-Dupius Network

In this section, we adopt the Nguyen-Dupius network as shown in Figure 3 to examine the effectiveness of the proposed distance-based P&R pricing scheme on the whole transport network. This multi-modal transport network consists of 16 nodes and 28 links. The blue links represent the vehicle segments where private cars run through them. Green links represent rail lines that connect the suburbs and the CBD. The area encompassed by the red ellipse is the CBD district where job opportunities are concentrated. During peak hours, excessively high travel demands from outer suburbs are attracted to this area, which may result in heavy traffic congestion. Train services are potential alternatives to alleviate traffic congestions. However, due to the large financial investment, the catchment area of train service is very limited. Travelers who live far from the train stations have to use cars to get to train stations.
As shown in Figure 3, along the rail lines, there exist three train stations with P&R services. P&R users could choose a train station to park their cars and transfer to train mode. Suppose there exist 6 OD pairs in the network, which are (1, 2), (1, 3), (4, 2), (4, 3), (12, 2), and (12, 3). The corresponding travel demands are set as 800, 900, 800, 600, 800, and 900, respectively. The BPR type functions are used to reflect travel time on links. The specific attributes of links are summarized in Appendix A. Additional fares are imposed for train and P&R users; therefore, we extend the network transformation method proposed by Meng et al. [31] and use dummy links to replace the rail lines. The train fares for train riders between (1, 2), (1, 3), (4, 2), and (4, 3) are set as 7 dollars. Other parameters are the same as above. We should point out that the example settings are hypothetically created to obtain some insights of the proposed model. The outer approximation method is used to address this problem.
To reflect the effectiveness of P&R services, we first investigate the case (scenario 1) with two travel modes: private vehicles and train. The mode travel demands and the corresponding travel time are presented in Table 3. The equilibrium travel demands satisfy the MNL condition, and the path flow solution satisfies the user equilibrium condition. Three scenarios are considered to explore the effectiveness of the P&R services and the proposed distance-based pricing scheme. Scenario 2 considers a P&R service with the same charging rate as train services. Scenario 3 investigates a P&R service with a linear distance-based discount scheme. Scenario 4 tests a P&R service with a nonlinear distance-based discount scheme. Figure 4 shows the corresponding charging rate function for these scenarios. Scenario 2 utilizes the same charge rate function as the train services. Scenario 3 considers a consistent discount rate for all P&R sites, which is 0.5. Scenario 4 adopts a distance-based discount strategy for P&R services to motivate travelers to choose remote P&R sites.
Figure 5 reflects the mode share patterns with different scenarios. P&R services could effectively attract travelers from both auto and rail modes. The fare discount schemes for P&R users (i.e., scenarios 3 and 4) can further attract more travelers to shift to P&R mode. In general, with the implementation of fare discount schemes, the overall public transport utilization rates rise. The modal share of P&R services can be increased from 20.29% to 46% with the promotion of preferential price schemes. Compared with private vehicle users, train riders are more likely to be attracted to the P&R mode. This phenomenon further indicates that P&R services should be carefully planned and managed to attract more drivers to ride. Some network performance evaluation indicators are calculated and presented in Table 4. To study the congestion level of the road network, we calculate the average volume capacity (V/C) ratio of road links in the CBD and suburb areas. The average V/C ratio reduces from 1.92 to 1.52 with the implementation of P&R motivation schemes. The results indicate that P&R services and the proposed distance-based train fare scheme are capable of alleviating traffic congestion in the city center. We also compare the network-wide performance of various scenarios (i.e., the total travel time and the total vehicle miles). We can observe that with the promotion of P&R motivation schemes, both total travel time and total vehicle miles reduce. The total travel time reduces from 309,858 to 233,017, and the total vehicle miles reduces from 173,307 to 164,429. The results indicate that P&R services can effectively reduce the network-wide travel cost.
To explore the effect of a nonlinear distance-based P&R scheme, we compare the flow volume of various P&R charging schemes. P&R sites 1, 2, and 3 are represented by the nodes 14, 15, and 16 in the network. Table 5 shows that in scenario 2, P&R users are more likely to choose the P&R sites that are closer to the city center. To motivate more travelers to choose P&R sites far from the city center, scenario 3 proposes a discount scheme for P&R users. A consistent discount is proposed for each P&R site. Travelers who choose remote P&R facilities can obtain more preferential prices. It can be seen that with the discount motivation, P&R site 1 becomes attractive to travelers. The nonlinear distance-based discount scheme (i.e., scenario 4) further motivate more travelers to choose remote P&R sites.

6. Conclusions

P&R is an important scheme to prompt public transport usage in large-scale urban cities. A preferential train fare scheme for P&R users is a potential travel demand management strategy. This study considers two distance-based train fare discount schemes to motivate travelers to choose P&R. Specifically, a linear and a nonlinear distance-based train fare discount scheme are proposed. Travelers who choose remote P&R sites can get a better concessional price. To analyze the impact of preferential train fare scheme for P&R users over the whole transport network, this study builds a multimodal transport network equilibrium model of P&R services with a distance-based train fare discount scheme. Three travel modes (i.e., private car, train, and P&R) are considered in this model. Considering the path travel cost of P&R users is non-additive to the links, this study adopts a network transformation method in which the non-additive segment of the P&R path is represented by a dummy link. The travelers’ mode choice behavior is assumed to follow the MNL condition, and route choice behavior is assumed to follow the user equilibrium condition. The proposed model is then solved by the outer approximation method. Numerical examples indicate that distanced-based P&R train fare pricing schemes could efficiently shift travel demands to the P&R mode and alleviate traffic congestion in the downtown area. Distance-based P&R fare schemes could effectively increase the utilization rate of P&R sites far from the city center. This study represents an initial work towards the impact analysis of rail-based P&R systems. Future research can be extended to more general situations, such as tram-based/involved P&R systems.

Author Contributions

Conceptualization, X.C. and R.Y.; methodology, R.Y. and Y.Z.; validation, Q.A. and X.C.; formal analysis, X.C. and Y.Z.; investigation, Y.Z. and X.C.; writing—original draft preparation, R.Y. and X.C. All authors have read and agreed to the published version of the manuscript.

Funding

This research was supported by the General Projects (No. 71771050) of the National Natural Science Foundation of China, and the MOE (Ministry of Education in China) Project of Humanities and Social Sciences (Project No. 20YJAZH083).

Institutional Review Board Statement

Not applicable.

Informed Consent Statement

Not applicable.

Conflicts of Interest

The authors declare no conflict of interest.

Appendix A

Table A1. Notations and Explanations.
Table A1. Notations and Explanations.
Sets
A Set of links in the transport network
N Set of nodes in the transport network
W Set of OD pairs in the transport network
A a Set of auto links in the transport network
A p Set of P&R links in the transport network
A r Set of rail links in the transport network
M o d Set of all modes between OD pair ( o , d )
K o d , m Set of paths between OD pair ( o , d ) under mode m
Parameters
q o d Travel demand between OD pair ( o , d )
δ a , k o d , m Link-path incidence relation between OD pair ( o , d ) under mode m
τ p Parking fee
μ Value of time
l a Length of link a
d k o d , r Travel distance of path k between OD pair ( o , d ) under train mode
d k o d , p r Travel distance of path k on the rail lines between OD pair ( o , d ) under P&R mode
Variables
v a Traffic flow on link a
t a Travel time on link a
f k o d , m Traffic flow of path k between OD pair ( o , d ) under mode m
q o d , m Demand of mode m between OD pair ( o , d )
c ¯ k o d , m Generalized travel cost of path k between OD pair ( o , d ) under mode m
Table A2. Link Attributes of Nguyen-Dupius network.
Table A2. Link Attributes of Nguyen-Dupius network.
Link IDTailHeadFree Flow Time (min)Length (km)CapacityLink Type
1112588001
215698001
345588001
4499125001
556695501
6598114501
7677104001
86107105001
978584001
107118115001
11828113501
12910695001
1391310133501
1410117104501
15112693001
16113693001
17126695501
1812814184001
191339123001
2012353510002
2113353510002
2242353510002
2343353510002
24514518003
2561540.57503
26111630.37003
27142232310003
28143232310003
29152131310003
30153131310003
311625510003
321635510003

References

  1. Huang, D.; Liu, Z.; Liu, P.; Chen, J. Optimal transit fare and service frequency of a nonlinear origin-destination based fare structure. Transp. Res. Part E Logist. Transp. Rev. 2016, 96, 1–19. [Google Scholar] [CrossRef]
  2. Huang, D.; Gu, Y.; Wang, S.; Liu, Z.; Zhang, W. A two-phase optimization model for the demand-responsive customized bus network design. Transp. Res. Part C Emerg. Technol. 2020, 111, 1–21. [Google Scholar] [CrossRef]
  3. Liu, Z.; Chen, X.; Meng, Q.; Kim, I. Remote park-and-ride network equilibrium model and its applications. Transp. Res. Part B Methodol. 2018, 117, 37–62. [Google Scholar] [CrossRef]
  4. Wang, S.; Zhang, W.; Qu, X. Trial-and-error train fare design scheme for addressing boarding/alighting congestion at CBD stations. Transp. Res. Part B Methodol. 2018, 118, 318–335. [Google Scholar] [CrossRef]
  5. Wang, S.; Qu, X. Station choice for Australian commuter rail lines: Equilibrium and optimal fare design. Eur. J. Oper. Res. 2017, 258, 144–154. [Google Scholar] [CrossRef]
  6. Gao, K.; Yang, Y.; Li, A.; Li, J.; Yu, B. Quantifying economic benefits from free-floating bike-sharing systems: A trip-level inference approach and city-scale analysis. Transp. Res. Part A Policy Pract. 2021, 144, 89–103. [Google Scholar] [CrossRef]
  7. Gao, K.; Yang, Y.; Sun, L.; Qu, X. Revealing psychological inertia in mode shift behaviorand its quantitative influences on commuting trips. Transp. Res. Part F Traffic Psychol. Behav. 2020, 71, 272–287. [Google Scholar] [CrossRef]
  8. Xu, Y.; Zheng, Y.; Yang, Y. On the movement simulations of electric vehicles: A behavioral model-based approach. Appl. Energy 2021, 283, 116356. [Google Scholar] [CrossRef]
  9. Gu, Y.; Fu, X.; Liu, Z.; Xu, X.; Chen, A. Performance of transportation network under perturbations: Reliability, vulnerability, and resilience. Transp. Res. Part E Logist. Transp. Rev. 2020, 133, 101809. [Google Scholar] [CrossRef]
  10. Li, Z.-C.; Lam, W.H.K.; Wong, S.C.; Zhu, D.-L.; Huang, H.-J. Modeling park-and-ride services in a multimodal transport network with elastic demand. Transp. Res. Rec. J. Transp. Res. Board 2007, 1994, 101–109. [Google Scholar] [CrossRef]
  11. Cornejo, L.; Perez, S.; Cheu, R.L.; Hernandez, S. An approach to comprehensively evaluate potential Park-and-Ride facilities. Int. J. Transp. Sci. Technol. 2014, 3, 1–18. [Google Scholar] [CrossRef]
  12. Pang, H.; Khani, A. Modeling park-and-ride location choice of heterogeneous commuters. Transportation 2018, 45, 71–87. [Google Scholar] [CrossRef]
  13. Webb, A.; Khani, A. Park-and-Ride choice behavior in a multimodal network with overlapping routes. Transp. Res. Rec. J. Transp. Res. Board 2020, 2674, 150–160. [Google Scholar] [CrossRef]
  14. Huang, K.; Liu, Z.; Zhu, T.; Kim, I.; An, K. Analysis of the acceptance of park-and-ride by users. J. Transp. Land Use 2019, 12, 637–647. [Google Scholar] [CrossRef]
  15. Stieffenhofer, K.E.; Barton, M.; Gayah, V.V. Assessing park-and-ride efficiency and user reactions to parking management strategies. J. Public Transp. 2016, 19, 5. [Google Scholar] [CrossRef]
  16. Zhao, X.; Chen, P.; Jiao, J.; Chen, X.; Bischak, C. How does ‘park and ride’ perform? An evaluation using longitudinal data. Transp. Policy 2019, 74, 15–23. [Google Scholar]
  17. Ying, H.; Xiang, H. Study on influence factors and demand willingness of Park and Ride. In Proceedings of the 2009 Second International Conference on Intelligent Computation Technology and Automation, Changsha, China, 10–11 October 2009; IEEE: Piscataway, NJ, USA, 2009. [Google Scholar]
  18. Clayton, W.H.; Ben-Elia, E.; Parkhurst, G.; Ricci, M. Where to park? A behavioural comparison of bus Park and Ride and city centre car park usage in Bath, UK. J. Transp. Geogr. 2014, 36, 124–133. [Google Scholar] [CrossRef]
  19. Qin, H.; Guan, H.; Wu, Y.-J. Analysis of park-and-ride decision behavior based on Decision Field Theory. Transp. Res. Part F Traffic Psychol. Behav. 2013, 18, 199–212. [Google Scholar] [CrossRef]
  20. Li, Z.C.; Lam, H.K.W.; Wong, S.C.; Zhu, D.L. Modeling travel choice problems in a multimodal elastic demand transportation network with park-and-ride trips. In Proceedings of the Eleventh International Conference of Hong Kong Society for Transportation Studies, Hong Kong, China, 8–10 December 2006. [Google Scholar]
  21. Liu, T.-L.; Huang, H.-J.; Yang, H.; Zhang, X. Continuum modeling of park-and-ride services in a linear monocentric city with deterministic mode choice. Transp. Res. Part B Methodol. 2009, 43, 692–707. [Google Scholar] [CrossRef]
  22. Liu, Z.; Meng, Q. Bus-based park-and-ride system: A stochastic model on multimodal network with congestion pricing schemes. Int. J. Syst. Sci. 2014, 45, 994–1006. [Google Scholar] [CrossRef]
  23. Liu, Y.; Li, Y.; Hu, L. Departure time and route choices in bottleneck equilibrium under risk and ambiguity. Transp. Res. Part B Methodol. 2018, 117, 774–793. [Google Scholar] [CrossRef]
  24. Liu, Y.; Nie, Y. A credit-based congestion management scheme in general two-mode networks with multiclass users. Netw. Spat. Econ. 2017, 17, 681–711. [Google Scholar] [CrossRef]
  25. Fernández, E.; De Cea, J.; Florian, M.; Cabrera, E. Network equilibrium models with combined modes. Transp. Sci. 1994, 28, 182–192. [Google Scholar] [CrossRef]
  26. Lam, W.H.K.; Li, Z.; Wong, S.C.; Zhu, D. Modeling an elastic-demand bimodal transport network with Park-and-Ride trips. Tsinghua Sci. Technol. 2007, 12, 158–166. [Google Scholar] [CrossRef]
  27. Chen, X.; Kim, I. Modelling rail-based park and ride with environmental constraints in a multimodal transport network. J. Adv. Transp. 2018, 2018, 15. [Google Scholar] [CrossRef]
  28. Wang, J.Y.T.; Yang, H.; Lindsey, R. Locating and pricing park-and-ride facilities in a linear monocentric city with deterministic mode choice. Transp. Res. Part B Methodol. 2004, 38, 709–731. [Google Scholar] [CrossRef]
  29. Wang, D.Z.W.; Du, B. Reliability-based modeling of Park-and-Ride service on linear travel corridor. Transp. Res. Rec. J. Transp. Res. Board 2013, 2333, 16–26. [Google Scholar] [CrossRef]
  30. Du, B.; Wang, D.Z.W. Continuum modeling of park-and-ride services considering travel time reliability and heterogeneous commuters–A linear complementarity system approach. Transp. Res. Part E Logist. Transp. Rev. 2014, 71, 58–81. [Google Scholar] [CrossRef]
  31. Chen, X.; Liu, Z.; Currie, G. Optimizing location and capacity of rail-based Park-and-Ride sites to increase public transport usage. Transp. Plan. Technol. 2016, 39, 507–526. [Google Scholar] [CrossRef]
  32. Song, Z.; He, Y.; Zhang, L. Integrated planning of park-and-ride facilities and transit service. Transp. Res. Part C Emerg. Technol. 2017, 74, 182–195. [Google Scholar] [CrossRef]
  33. Wang, H.; Meng, Q.; Zhang, X.-N. Park-and-ride network equilibrium with heterogeneous commuters and parking space constraint. Transp. Res. Rec. J. Transp. Res. Board 2014, 2466, 87–97. [Google Scholar] [CrossRef]
  34. Wang, H.; Meng, Q.; Zhang, X.-N.; Information, R. Optimal parking pricing in many-to-one Park-and-Ride network with parking space constraints. Transp. Res. Rec. J. Transp. Res. Board 2015, 2498, 99–108. [Google Scholar] [CrossRef]
Figure 1. A linear corridor network.
Figure 1. A linear corridor network.
Sustainability 13 02644 g001
Figure 2. Modal share pattern with various discount rates.
Figure 2. Modal share pattern with various discount rates.
Sustainability 13 02644 g002
Figure 3. Nguyen-Dupius network.
Figure 3. Nguyen-Dupius network.
Sustainability 13 02644 g003
Figure 4. Distance-based charge/discount rate functions.
Figure 4. Distance-based charge/discount rate functions.
Sustainability 13 02644 g004
Figure 5. Modal share with various scenarios. (a) private vehicles and train only; (b) P&R service with the same charging rate as train services; (c) P&R service with a linear distance-based discount scheme; (d) P&R service with a nonlinear distance-based discount scheme.
Figure 5. Modal share with various scenarios. (a) private vehicles and train only; (b) P&R service with the same charging rate as train services; (c) P&R service with a linear distance-based discount scheme; (d) P&R service with a nonlinear distance-based discount scheme.
Sustainability 13 02644 g005
Table 1. Attributes of the linear corridor.
Table 1. Attributes of the linear corridor.
Link TypeAutoRailP&R
Link number12345
Free flow travel time (minutes)182024185
Monetary cost (dollars)--1.512
Capacity800500--500
Table 2. Equilibrium modal travel demand time.
Table 2. Equilibrium modal travel demand time.
ModesTravel DemandEquilibrium Travel Time
Auto544.5143.298
Rail163.8144.5
P&R91.6826.0
Table 3. Equilibrium travel demand and time in Nguyen-Dupius network.
Table 3. Equilibrium travel demand and time in Nguyen-Dupius network.
OD PairAutoRail
DemandTravel TimeDemandTravel Time
(1, 2)115.4952.34684.5050.57
(1, 3)222.2951.63677.7050.52
(4, 2)301.3551.32498.6449.60
(4, 3)291.2150.61308.7849.14
Table 4. Some network performance evaluation indicators.
Table 4. Some network performance evaluation indicators.
Evaluation IndicatorsV/C in CBDV/C in SuburbTotal Travel Time (min)Total Vehicle Miles (km)
Scenario 11.910.80309,858.07173,307.31
Scenario 21.630.91249,047.99170,556.17
Scenario 31.561.00238,154.13165,926.75
Scenario 41.521.09233,017.16164,429.93
Table 5. Volume of various P&R sites.
Table 5. Volume of various P&R sites.
P&R SitesP&R Site 1P&R Site 2P&R Site 3
Scenario 20308.58665.38
Scenario 3755.32640.30590.14
Scenario 4953.76726.33527.77
Publisher’s Note: MDPI stays neutral with regard to jurisdictional claims in published maps and institutional affiliations.

Share and Cite

MDPI and ACS Style

Chen, X.; Yin, R.; An, Q.; Zhang, Y. Modeling a Distance-Based Preferential Fare Scheme for Park-and-Ride Services in a Multimodal Transport Network. Sustainability 2021, 13, 2644. https://doi.org/10.3390/su13052644

AMA Style

Chen X, Yin R, An Q, Zhang Y. Modeling a Distance-Based Preferential Fare Scheme for Park-and-Ride Services in a Multimodal Transport Network. Sustainability. 2021; 13(5):2644. https://doi.org/10.3390/su13052644

Chicago/Turabian Style

Chen, Xinyuan, Ruyang Yin, Qinhe An, and Yuan Zhang. 2021. "Modeling a Distance-Based Preferential Fare Scheme for Park-and-Ride Services in a Multimodal Transport Network" Sustainability 13, no. 5: 2644. https://doi.org/10.3390/su13052644

APA Style

Chen, X., Yin, R., An, Q., & Zhang, Y. (2021). Modeling a Distance-Based Preferential Fare Scheme for Park-and-Ride Services in a Multimodal Transport Network. Sustainability, 13(5), 2644. https://doi.org/10.3390/su13052644

Note that from the first issue of 2016, this journal uses article numbers instead of page numbers. See further details here.

Article Metrics

Back to TopTop