Vulnerability Comparison between Karst and Non-Karst Nature Reserves—With a Special Reference to Guizhou Province, China
Abstract
1. Introduction
2. Materials and Methods
2.1. Study Area
2.2. Parameter Selection and Description
2.3. Standardization of Evaluation Parameters
2.4. Weight Determination
- (1)
- Deconstruct the decision-making problem into a hierarchical structure. The object is “vulnerability”, which is then deconstructed into the second layer, consisting of climate factors, soil and vegetation factors, and social factors. Finally, the second layer is further deconstructed into the third layer with corresponding parameters.
- (2)
- Make decision tables for the hierarchical decomposition in each layer with pair-wise comparisons. A preference scaling approach is executed in the pair-wise comparisons with 17 scales: 9, 8, … 2, 1, 1/2, … 1/8, 1/9, where 9 means that one parameter is the most important for the object relative to another parameter, and 1 means that the contributions of two parameters are equal to the object, and so on down to 1/9, the least important.
- (3)
- Make judgment matrices for the object layer and second layer with the scale numbers from step 2, respectively. In the judgment matrices, 1 is the value of diagonal. If the ith row is more important than the jth column, the value of (i,j) is more than 1, otherwise the jth column is more important than the ith row.
- (4)
- Determine weight for each parameter by the largest eigenvalue of the judgment matrix, as shown in the following formula:
- (5)
- Estimate the consistency of the judgment matrix by consistency ratio (CR). The CR is related to consistency index (CI) and random index (RI) by the following formula:where the CI is calculated according to the formula:and the RI is a random matrix defined as the average value of the resulting consistency index depending on the order of the matrix.
- (6)
- Aggregate the local weight of each parameter to achieve the general weight of the corresponding group.
2.5. Vulnerability Index (VI)
2.6. Classification of Vulnerability Index
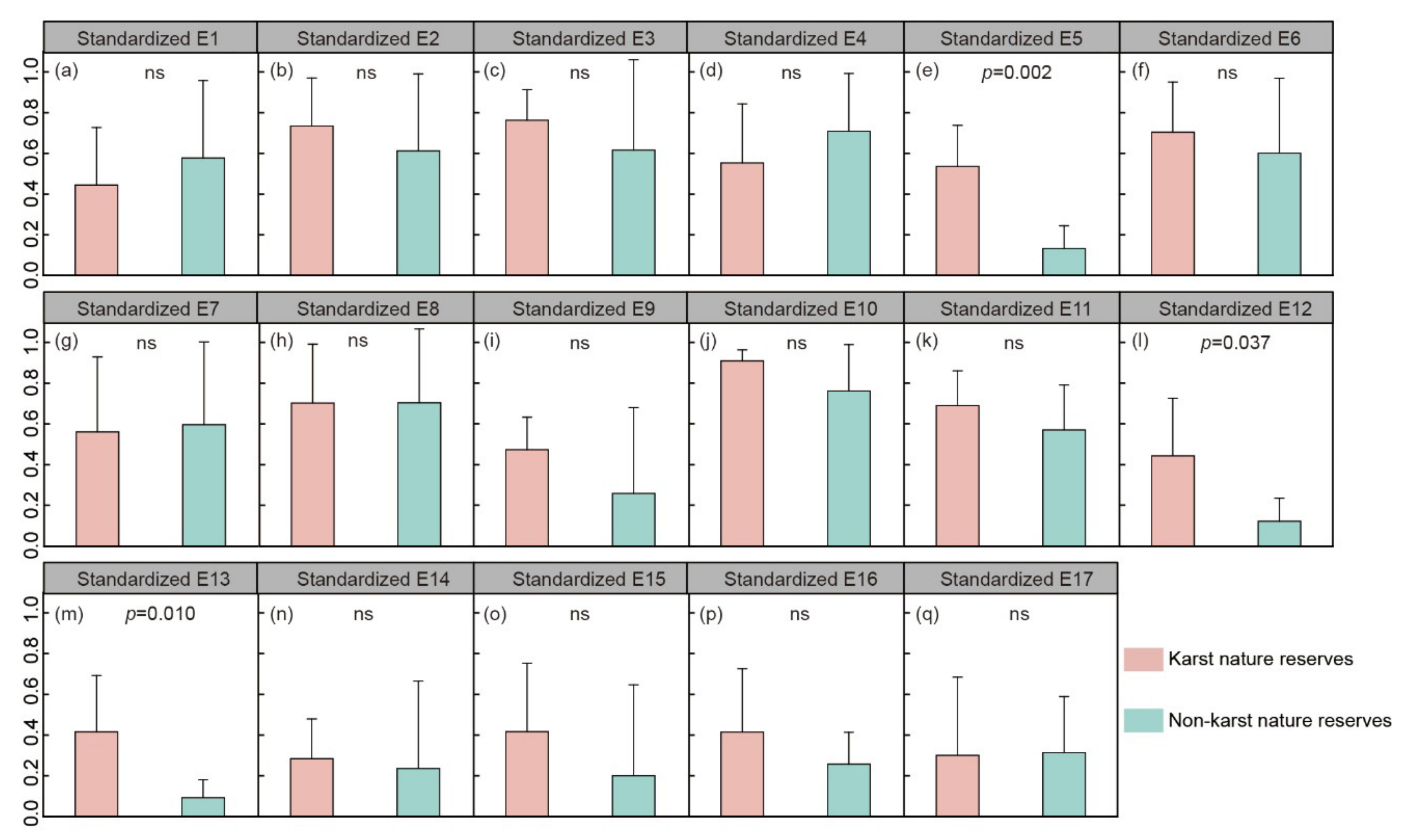
3. Results
4. Discussion
5. Conclusions
Supplementary Materials
Author Contributions
Funding
Institutional Review Board Statement
Informed Consent Statement
Data Availability Statement
Conflicts of Interest
References
- Blanco, V.; Brown, C.; Holzhauer, S.; Vulturius, G.; Rounsevell, M.D.A. The Importance of Socio-ecological System Dynamics in Understanding Adaptation to Global Change in the Forestry Sector. J. Environ. Manag. 2017, 196, 36–47. [Google Scholar] [CrossRef]
- Chala, D.; Roos, C.; Svenning, J.C.; Zinner, D. Species-specific Effects of Climate Change on the Distribution of Suitable Baboon Habitats—Ecological Niche Modeling of Current and Last Glacial Maximum Conditions. J. Hum. Evol. 2019, 132, 215–226. [Google Scholar] [CrossRef] [PubMed]
- Jin, X.; Jin, Y.; Mao, X. Ecological Risk Assessment of Cities on the Tibetan Plateau Based on Land Use/Land Cover Changes—Case Study of Delingha City. Ecol. Indic. 2019, 101, 185–191. [Google Scholar] [CrossRef]
- Sahoo, S.; Dhar, A.; Kar, A. Environmental Vulnerability Assessment Using Grey Analytic Hierarchy Process Based Model. Environ. Impact Assess. Rev. 2016, 56, 145–154. [Google Scholar] [CrossRef]
- Zhao, J.; Ji, G.; Tian, Y.; Chen, Y.; Wang, Z. Environmental Vulnerability Assessment for Mainland China Based on Entropy Method. Ecol. Indic. 2018, 91, 410–422. [Google Scholar] [CrossRef]
- Xue, L.; Wang, J.; Zhang, L.; Wei, G.; Zhu, B. Spatiotemporal Analysis of Ecological Vulnerability and Management in the Tarim River Basin, China. Sci. Total Environ. 2019, 649, 876–888. [Google Scholar] [CrossRef]
- Hong, W.; Jiang, R.; Yang, C.; Zhang, F.; Su, M.; Liao, Q. Establishing an Ecological Vulnerability Assessment Indicator System for Spatial Recognition and Management of Ecologically Vulnerable Areas in Highly Urbanized Regions: A Case Study of Shenzhen, China. Ecol. Indic. 2016, 69, 540–547. [Google Scholar] [CrossRef]
- Ding, Q.; Shi, X.; Zhuang, D.; Wang, Y. Temporal and Spatial Distributions of Ecological Vulnerability under the Influence of Natural and Anthropogenic Factors in an Eco-Province under Construction in China. Sustainability 2018, 10, 3087. [Google Scholar] [CrossRef]
- Liu, Q.; Yang, Z.; Han, F.; Shi, H.; Wang, Z.; Chen, X. Ecological Environment Assessment in World Natural Heritage Site Based on Remote-Sensing Data. A Case Study from the Bayinbuluke. Sustainability 2019, 11, 6385. [Google Scholar] [CrossRef]
- Williams, L.R.R.; Kapustka, L.A. Ecosystem Vulnerability: A Complex Interface with Technical Components. Environ. Technol. Chem. 2000, 19, 1055–1058. [Google Scholar]
- Beroya-Eitner, M.A. Ecological Vulnerability Indicators. Ecol. Indic. 2016, 60, 329–334. [Google Scholar] [CrossRef]
- Anthony, K.R.N.; Kenneth, R.N.; Marshall, P.A.; Abdulla, A. Operationalizing Resilience for Adaptive Coral Reef Management under Global Environmental Change. Glob. Chang. Biol. 2015, 21, 48–61. [Google Scholar] [CrossRef]
- Guizien, K.; Belharet, M.; Moritz, C.; Guarini, J.M. Vulnerability of Marine Benthic Metapopulations: Implications of Spatially Structured Connectivity for Conservation Practice in the Gulf of Lions Kulkarni (NW Mediterranean Sea). Divers. Distrib. 2014, 20, 1392–1402. [Google Scholar] [CrossRef]
- Alric, B.; Jenny, J.P.; Berthon, V.; Arnaud, F.; Pignol, C.; Reyss, J.L.; Sabatier, P.; Perga, M.E. Local Forcings Affect Lake Zooplankton Vulnerability and Response to Climate Warming. Ecology 2013, 94, 2767–2780. [Google Scholar] [CrossRef]
- Hwang, T.; Band, L.E.; Miniat, C.F.; Song, C.H.; Bolstad, P.V.; Vose, J.M.; Love, J.P. Divergent Phenological Response to Hydroclimate Variability in Forested Mountain Watersheds. Glob. Chang. Biol. 2014, 20, 2580–2595. [Google Scholar] [CrossRef] [PubMed]
- Lopez-Poma, R.; Orr, B.J.; Bautista, S. Successional Stage after Land Abandonment Modulates Fire Severity and Post-fire Recovery in a Mediterranean Mountain Landscape. Int. J. Wildland Fire 2014, 23, 1005–1015. [Google Scholar] [CrossRef]
- Munson, S.M.; Webb, R.H.; Housman, D.C.; Veblen, K.E.; Nussear, K.E.; Beever, E.A.; Hartney, K.B.; Miriti, M.N.; Phillips, S.L.; Fulton, R.E.; et al. Long-term Plant Responses to Climate Are Moderated by Biophysical Attributes in a North American Desert. J. Ecol. 2015, 103, 657–668. [Google Scholar] [CrossRef]
- Couto, R.D.; dos-Santos, M.; Comin, J.J.; Martini, L.C.P.; Gatiboni, L.C.; Martins, S.R.; Belli, P.; Brunetto, G. Environmental Vulnerability and Phosphorus Fractions of Areas with Pig Slurry Applied to the Soil. J. Environ. Qual. 2015, 44, 162–173. [Google Scholar] [CrossRef]
- Peng, B.; Huang, Q.; Elahi, E.; Wei, G. Ecological Environment Vulnerability and Driving Force of Yangtze River Urban Agglomeration. Sustainability 2019, 11, 6623. [Google Scholar] [CrossRef]
- Guo, B.; Zang, W.; Luo, W. Spatial-temporal Shifts of Ecological Vulnerability of Karst Mountain Ecosystem-impacts of Global Change and Anthropogenic Interference. Sci. Total Environ. 2020, 741, 140256. [Google Scholar] [CrossRef] [PubMed]
- Yuan, D.X. Karst of China; Geological Publishing House: Beijing, China, 1991. [Google Scholar]
- Gombert, P. Role of Karstic Dissolution in Global Carbon Cycle. Glob. Planet. Chang. 2002, 33, 177–184. [Google Scholar] [CrossRef]
- Chen, Y.; Lian, B.; Yin, Z.; Tang, Y. Weathering of Carbonate Rocks by Biological Soil Crusts in Karst Areas. J. Earth Sci. 2014, 25, 662–667. [Google Scholar] [CrossRef]
- Moore, O.W.; Buss, H.L.; Green, S.M.; Man, L.; Song, Z. The Importance of Non-carbonate Mineral Weathering as a Soil Formation Mechanism within a Karst Weathering Profile in the SPECTRA Critical Zone Observatory, Guizhou Province, China. Acta Geochim. 2017, 36, 566–571. [Google Scholar] [CrossRef]
- Long, D.; Shen, Y.; Sun, A.; Hong, Y.; Longuevergne, L.; Yang, Y.; Li, B.; Chen, L. Drought and Flood Monitoring for a Large Karst Plateau in Southwest China Using Extended GRACE Data. Remote Sens. Environ. 2014, 155, 145–160. [Google Scholar] [CrossRef]
- Gan, L.; Chen, G.C.; Wan, G.J. Problems and Exploitation Countermeasures of Water Resources in Agricultural Development in Karst Region of Guizhou. Res. Agric. Mod. 2001, 22, 87–90. [Google Scholar]
- Li, H.; Jing, S.; Yang, Z. Ecological Vulnerability Assessment for Ecological Conservation and Environmental Management. J. Environ. Manag. 2018, 206, 1115–1125. [Google Scholar]
- Shao, H.; Sun, X.; Tao, S.; Xiang, Z.; Wei, X. Environmental vulnerability assessment in middle-upper reaches of Dadu River Watershed using Projection Pursuit Model and GIS. Carpathian J. Earth Environ. Sci. 2015, 10, 143–146. [Google Scholar]
- Nguyen, A.K.; Liou, Y.; Li, M.; Tran, T.N. Zoning Eco-environmental Vulnerability for Environmental Management and Protection. Ecol. Indic. 2016, 69, 100–117. [Google Scholar] [CrossRef]
- Chirico, G.B.; Borga, M.; Tarolli, P.; Rigon, R.; Preti, F. Role of Vegetation on Slope Stability under Transient Unsaturated Conditions. Procedia Environ. Sci. 2013, 19, 932–941. [Google Scholar] [CrossRef]
- Puigdefábregas, J. The Role of Vegetation Patterns in Structuring Runoff and Sediment Fluxes in Drylands. Earth Surf. Process. Landf. 2010, 30, 133–147. [Google Scholar] [CrossRef]
- Huang, Y.; Chen, Y.; Castro-Izaguirre, N.; Barufflo, M.; Brezzi, M. Impacts of Species Richness on Productivity in a Large-scale Subtropical Forest Experiment. Science 2018, 362, 80–83. [Google Scholar] [CrossRef]
- Pejchar, L.; Mooney, H.A. Invasive Species, Ecosystem Services and Human Well-being. Trends Ecol. Evol. 2009, 24, 497–504. [Google Scholar] [CrossRef]
- Zhao, Y.X.; Liu, X.; Qin, Y.J.; Xu, Q.H. LUCC and Its Impact on Vulnerability of Agro-pastoral Areas in Hebei Province. Res. Soil Water Conserv. 2011, 18, 205–211. [Google Scholar]
- Liu, Q.; Yang, Z.; Shi, H.; Wang, Z. Ecological Risk Assessment of Geohazards in Natural World Heritage Sites: An Empirical Analysis of Bogda, Tianshan. Open Geosci. 2019, 11, 327–340. [Google Scholar] [CrossRef]
- Hou, K.; Li, X.; Wang, J.; Zhang, J. Evaluating Ecological Vulnerability Using the GIS and Analytic Hierarchy Process (AHP) Method in Yan’an, China. Pol. J. Environ. Stud. 2016, 25, 599–605. [Google Scholar]
- Topuz, E.; van Gestel, C.A.M. An Approach for Environmental Risk Assessment of Engineered Nanomaterials Using Analytical Hierarchy Process (AHP) and Fuzzy Inference Rules. Environ. Int. 2016, 92–93, 334–347. [Google Scholar] [CrossRef]
- Liou, Y.A.; Nguyen, A.K.; Li, M.H. Assessing Spatiotemporal Eco-environmental Vulnerability by Landsat Data. Ecol. Indic. 2017, 80, 52–65. [Google Scholar] [CrossRef]
- Cai, L.; Yan, L.; Ni, J.; Wang, C. Assessment of Ecological Vulnerability under Oil Spill Stress. Sustainability 2015, 7, 13073–13084. [Google Scholar] [CrossRef]
- Wang, H.; Song, C.; Song, K. Regional Ecological Risk Assessment of Wetlands in the Sanjiang Plain with Respect to Human Disturbance. Sustainability 2020, 12, 1974. [Google Scholar] [CrossRef]
- Liu, G.; Wang, J.L.; Li, S.H.; Li, J.; Duan, P. Dynamic Evaluation of Ecological Vulnerability in A Lake Watershed Based on RS and GIS Technology. Pol. J. Environ. Stud. 2018, 28, 1785–1798. [Google Scholar] [CrossRef]
- De Waele, J.; Plan, L.; Audra, P. Recent Developments in Surface and Subsurface Karst Geomorphology: An Introduction. Geomorphology 2009, 106, 1–8. [Google Scholar] [CrossRef]
- Peng, X.D.; Dai, Q.H.; Ding, G.J.; Shi, D.M.; Li, C.L. The Role of Soil Water Retention Functions of Near-surface Fissures with Different Vegetation Types in A Rocky Desertification Area. Plant Soil 2019, 441, 587–599. [Google Scholar] [CrossRef]
- Wang, S.J.; Li, R.L.; Sun, C.X.; Zhang, D.F.; Li, F.Q.; Zhou, D.Q.; Xiong, K.N.; Zhou, Z.F. How Types of Carbonate Rock Assemblages Constrain the Distribution of Karst Rocky Desertified Land in Guizhou Province, PR China. Land Degrad. Dev. 2004, 15, 123–131. [Google Scholar] [CrossRef]
- Hill, A.R. Ecosystem Stability in Relation to Stresses Caused by Human Activities. Can. Geogr. 2010, 19, 206–220. [Google Scholar] [CrossRef]
- Lu, D.; Yu, H.L.; Yu, G.M. Assessing the Land Use Change and Ecological Security Based on RS and GIS: A Case Study of Pingdingshan City, China. Adv. Mater. Res. 2014, 905, 329–333. [Google Scholar] [CrossRef]
- Wang, S.; Liu, Q.; Zhang, D.F. Karst Rocky Desertification in Southwestern China: Geomorphology, Landuse, Impact and Rehabilitation. Land Degrad. Dev. 2004, 15, 115–121. [Google Scholar] [CrossRef]
- Yuan, D.X.; Cai, G.H. Karst Environics; Chongqing Press: Chongqing, China, 1988. [Google Scholar]
- Dai, Q.; Peng, X.; Wang, P.; Li, C.; Shao, H. Surface erosion and underground leakage of yellow soil on slopes in karst regions of southwest China. Land Degrad. Dev. 2018, 29, 2438–2448. [Google Scholar] [CrossRef]
- Yan, Y.; Dai, Q.; Yuan, Y.; Peng, X.; Zhao, L.; Yang, J. Effects of rainfall intensity on runoff and sediment yields on bare slopes in a karst area, SW China. Geoderma 2018, 330, 30–40. [Google Scholar] [CrossRef]





| Object | Groups (Gi) | Global Weight (Wi) | Parameters (Ei) | Local Weight (Wi) | Data Sources |
|---|---|---|---|---|---|
| Vulnerability | G1: climate factors | 0.2019 | E1: average annual temperature | 0.0777 | Guizhou Meteorological Bureau |
| E2: average annual precipitation | 0.0411 | ||||
| E3: annual frost-free period | 0.0357 | ||||
| E4: runoff depth | 0.0474 | GIS spatial overlay analysis | |||
| G2: soil and vegetation factors | 0.5062 | E5: average soil thickness | 0.1035 | 2019 Guizhou Nature Reserve Survey and Evaluation Project Team | |
| E6: organic matter | 0.0730 | ||||
| E7: total nitrogen | 0.0387 | ||||
| E8: total phosphorus | 0.0472 | ||||
| E9: forest coverage rate | 0.0993 | Management agency of nature reserve | |||
| E10: the number of wild plant species | 0.0687 | ||||
| E11: the number of invasive species | 0.0758 | ||||
| G3: social factors | 0.2919 | E12: the length of roads | 0.0440 | Overall planning of nature reserve | |
| E13: arable area | 0.0478 | ||||
| E14: population density | 0.0344 | ||||
| E15: the number of lands discarded by factories and mines | 0.0728 | GIS spatial overlay analysis | |||
| E16: the number of geological disaster sites | 0.0402 | ||||
| E17: the number of reservoirs | 0.0527 |
| Vulnerability Classes | Description | Normalized Score Interval |
|---|---|---|
| 1 | Potential vulnerability | 0.0–2.0 |
| 2 | Light vulnerability | 2.0–4.0 |
| 3 | Moderate vulnerability | 4.0–6.0 |
| 4 | Severe vulnerability | 6.0–8.0 |
| 5 | Extremely severe vulnerability | 8.0–10.0 |
| Name | Vulnerability Index | Vulnerability Degree | Name | Vulnerability Index | Vulnerability Degree |
|---|---|---|---|---|---|
| Karst nature reserves | Non-karst nature reserves | ||||
| Maolan | 3.43 | Light | Fanjingshan | 2.74 | Light |
| Kuankuoshui | 4.15 | Moderate | Leigongshan | 3.58 | Light |
| Fodingshan | 4.43 | Moderate | Suoluo | 3.83 | Light |
| Gongtong | 4.62 | Moderate | Gedong | 4.12 | Moderate |
| Dashahe | 4.76 | Moderate | Xishui | 4.57 | Moderate |
| Yangxi | 5.34 | Moderate | |||
| Mayanghe | 5.44 | Moderate | |||
| Bailidujuan | 5.69 | Moderate | |||
| Baimianshui | 5.76 | Moderate | |||
| Siyetun | 6.51 | Severe | |||
Publisher’s Note: MDPI stays neutral with regard to jurisdictional claims in published maps and institutional affiliations. |
© 2021 by the authors. Licensee MDPI, Basel, Switzerland. This article is an open access article distributed under the terms and conditions of the Creative Commons Attribution (CC BY) license (http://creativecommons.org/licenses/by/4.0/).
Share and Cite
Chen, Y.; Xiong, K.; Ren, X.; Cheng, C. Vulnerability Comparison between Karst and Non-Karst Nature Reserves—With a Special Reference to Guizhou Province, China. Sustainability 2021, 13, 2442. https://doi.org/10.3390/su13052442
Chen Y, Xiong K, Ren X, Cheng C. Vulnerability Comparison between Karst and Non-Karst Nature Reserves—With a Special Reference to Guizhou Province, China. Sustainability. 2021; 13(5):2442. https://doi.org/10.3390/su13052442
Chicago/Turabian StyleChen, Yue, Kangning Xiong, Xiaodong Ren, and Cai Cheng. 2021. "Vulnerability Comparison between Karst and Non-Karst Nature Reserves—With a Special Reference to Guizhou Province, China" Sustainability 13, no. 5: 2442. https://doi.org/10.3390/su13052442
APA StyleChen, Y., Xiong, K., Ren, X., & Cheng, C. (2021). Vulnerability Comparison between Karst and Non-Karst Nature Reserves—With a Special Reference to Guizhou Province, China. Sustainability, 13(5), 2442. https://doi.org/10.3390/su13052442

