Static and Dynamic Investigations on Leaching/Retention of Nutrients from Raw Poultry Manure Biochars and Amended Agricultural Soil
Abstract
1. Introduction
2. Materials and Methods
2.1. Biochar Preparation and Characterization
2.2. Soil Preparation and Characterization
2.3. Static Nutrient Release Experiments
2.4. Dynamic Nutrient Release Experiments
2.5. Statistical Analysis
3. Results and Discussions
3.1. Biochar and Agricultural Soil Characterization
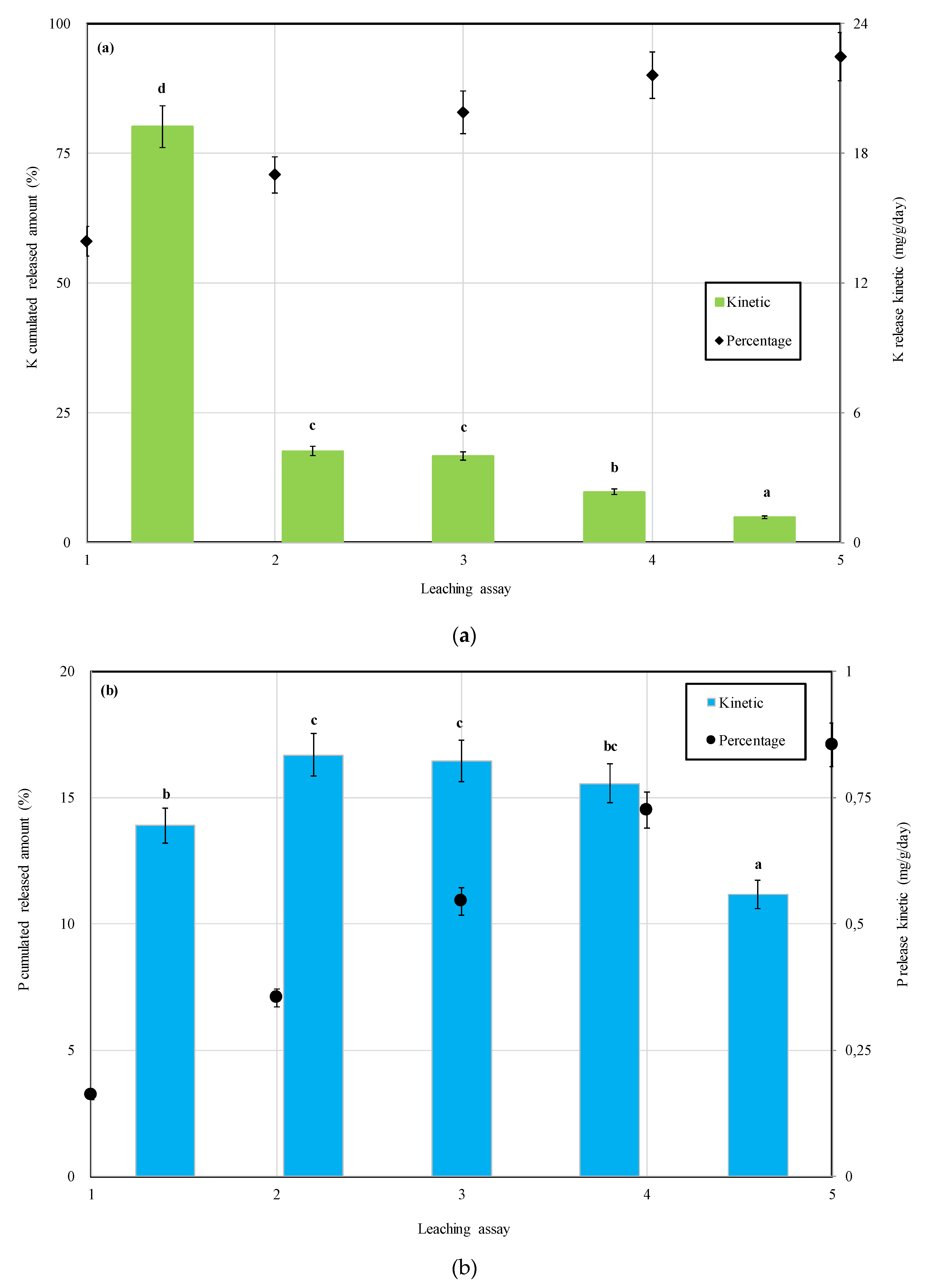
3.2. Static Biochar Leaching Experiments
3.3. Dynamic Leaching Experiments
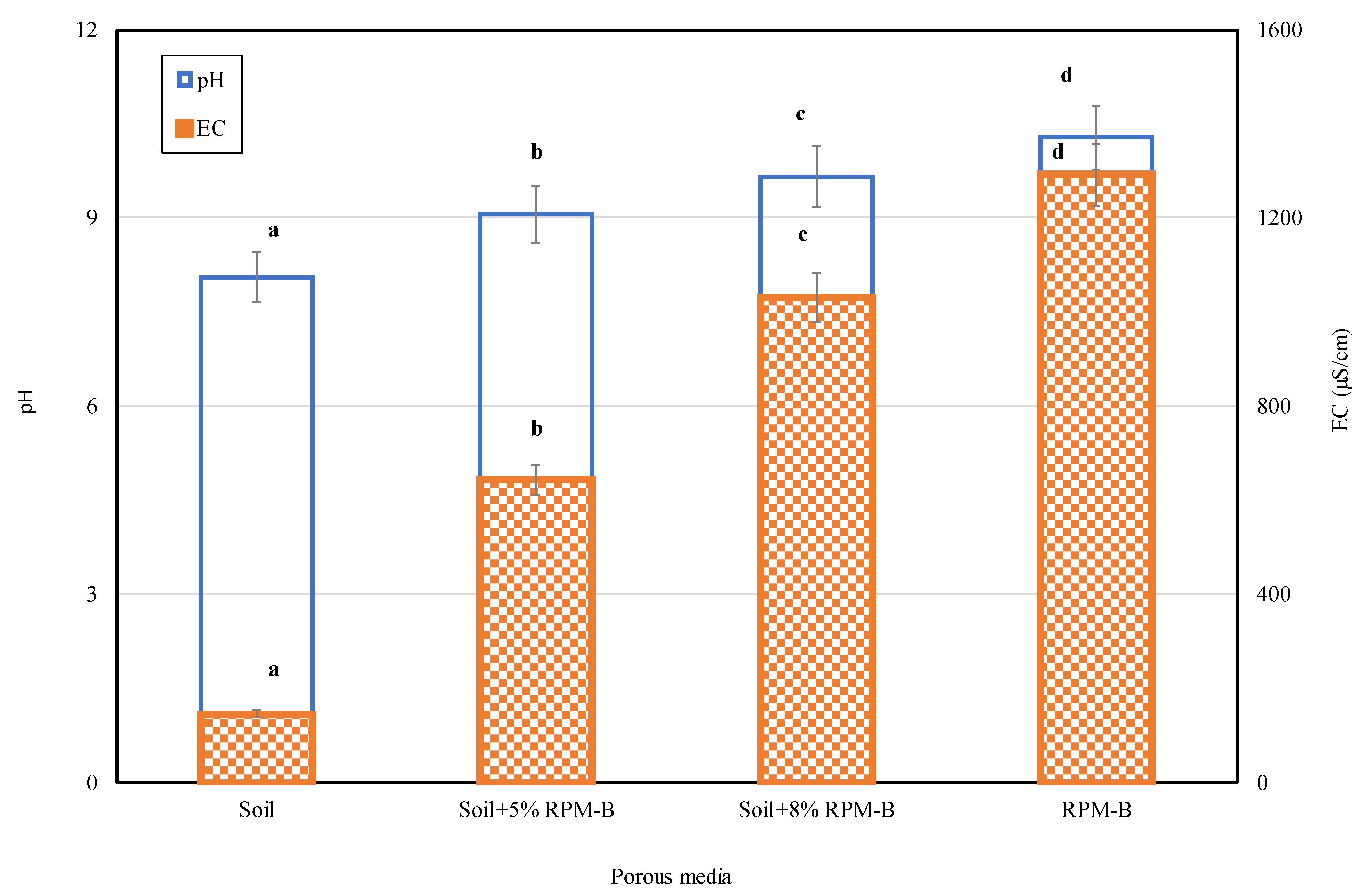
3.3.1. Effect of Biochar Addition on Soil pH and EC
3.3.2. Column-Leaching Results
Variation of pH and EC
Anions Dynamic Behavior
Cations Dynamic Behavior
4. Conclusions
Author Contributions
Funding
Institutional Review Board Statement
Informed Consent Statement
Data Availability Statement
Acknowledgments
Conflicts of Interest
References
- Adekiya, A.O.; Agbede, T.M.; Ejue, W.S.; Aboyeji, C.M.; Dunsin, O.; Aremu, C.O.; Owolabi, A.O.; Ajiboye, B.O.; Okunlola, O.F.; Adesola, O.O. Biochar, poultry manure and NPK fertilizer: Sole and combine application effects on soil properties and ginger (Zingiber officinale Roscoe) performance in a tropical Alfisol. Open Agric. 2020. [Google Scholar] [CrossRef]
- Dróżdż, D.; Wystalska, K.; Malińska, K.; Grosser, A.; Grobelak, A.; Kacprzak, M. Management of poultry manure in Poland–Current state and future perspectives. J. Environ. Manag. 2020, 264. [Google Scholar] [CrossRef] [PubMed]
- Rodic, V.; Peric, L.; Djukic-Stojcic, M.; Vukelic, N. The environmental impact of poultry production. Biotechnol. Anim. Husb. 2011, 27, 1673–1679. [Google Scholar] [CrossRef]
- Lauricella, D.; Butterly, C.R.; Clark, G.J.; Sale, P.W.G.; Li, G.; Tang, C. Effectiveness of innovative organic amendments in acid soils depends on their ability to supply P and alleviate Al and Mn toxicity in plants. J. Soils Sediments 2020. [Google Scholar] [CrossRef]
- Masud, M.M.; Baquy, M.A.A.; Akhter, S.; Sen, R.; Barman, A.; Khatun, M.R. Liming effects of poultry litter derived biochar on soil acidity amelioration and maize growth. Ecotoxicol. Environ. Saf. 2020. [Google Scholar] [CrossRef]
- Zolfi-Bavariani, M.; Ronaghi, A.; Ghasemi-Fasaei, R.; Yasrebi, J. Influence of poultry manure–derived biochars on nutrients bioavailability and chemical properties of a calcareous soil. Arch. Agron. Soil Sci. 2016. [Google Scholar] [CrossRef]
- Lehmann, J.; Gaunt, J.; Rondon, M. Bio-char sequestration in terrestrial ecosystems—A review. Mitig. Adapt. Strateg. Glob. Chang. 2006, 11, 403–427. [Google Scholar] [CrossRef]
- Bohara, H.; Dodla, S.; Wang, J.J.; Darapuneni, M.; Acharya, B.S.; Magdi, S.; Pavuluri, K. Influence of poultry litter and biochar on soil water dynamics and nutrient leaching from a very fine sandy loam soil. Soil Tillage Res. 2019, 189, 44–51. [Google Scholar] [CrossRef]
- Pandey, D.S.; Katsaros, G.; Lindfors, C.; Leahy, J.J.; Tassou, S.A. Fast pyrolysis of poultry litter in a bubbling fluidised bed reactor: Energy and nutrient recovery. Sustainability 2019, 11, 2533. [Google Scholar] [CrossRef]
- Jellali, S.; Labaki, M.; Azzaz, A.A.; Akrout, H.; Limousy, L.; Jeguirim, M. Biomass-derived chars used as adsorbents for liquid and gaseous effluents treatment. In Char and Carbon Materials Derived from Biomass: Production, Characterization and Applications; Elsevier: Amsterdam, The Netherlands, 2019; pp. 229–290. ISBN 9780128148938. [Google Scholar] [CrossRef]
- Gunes, A.; Inal, A.; Sahin, O.; Taskin, M.B.; Atakol, O.; Yilmaz, N. Variations in mineral element concentrations of poultry manure biochar obtained at different pyrolysis temperatures, and their effects on crop growth and mineral nutrition. Soil Use Manag. 2015. [Google Scholar] [CrossRef]
- Singh, B.P.; Hatton, B.J.; Singh, B.; Cowie, A.L.; Kathuria, A. Influence of Biochars on Nitrous Oxide Emission and Nitrogen Leaching from Two Contrasting Soils. J. Environ. Qual. 2010. [Google Scholar] [CrossRef] [PubMed]
- Bohara, H.; Dodla, S.; Wang, J.J.; Darapuneni, M.; Kongchum, M.; Fromme, D.D.; Harrell, D. Impacts of N-stabilizers and biochar on nitrogen losses, nitrogen phytoavailability, and cotton yield in poultry litter-fertilized soils. Agron. J. 2018. [Google Scholar] [CrossRef]
- Freitas, A.M.; Nair, V.D.; Harris, W.G. Biochar as Influenced by Feedstock Variability: Implications and Opportunities for Phosphorus Management. Front. Sustain. Food Syst. 2020. [Google Scholar] [CrossRef]
- Widowati, W.; Asnah, A.; Utomo, W.H. The use of biochar to reduce nitrogen and potassium leaching from soil cultivated with maize. J. Degrad. Min. Lands Manag. 2014, 2, 211–218. [Google Scholar] [CrossRef]
- Zolfi Bavariani, M.; Ronaghi, A.; Ghasemi, R. Influence of Pyrolysis Temperatures on FTIR Analysis, Nutrient Bioavailability, and Agricultural use of Poultry Manure Biochars. Commun. Soil Sci. Plant Anal. 2019. [Google Scholar] [CrossRef]
- Hadroug, S.; Jellali, S.; Leahy, J.J.; Kwapinska, M.; Jeguirim, M.; Hamdi, H.; Kwapinski, W. Pyrolysis process as a sustainable management option of poultry manure: Characterization of the derived biochars and assessment of their nutrient release capacities. Water 2019, 11, 2271. [Google Scholar] [CrossRef]
- Haddad, K.; Jellali, S.; Jaouadi, S.; Benltifa, M.; Mlayah, A.; Hamzaoui, A.H. Raw and treated marble wastes reuse as low cost materials for phosphorus removal from aqueous solutions: Efficiencies and mechanisms. Comptes Rendus Chim. 2015, 18. [Google Scholar] [CrossRef]
- Xu, G.; Sun, J.N.; Shao, H.B.; Chang, S.X. Biochar had effects on phosphorus sorption and desorption in three soils with differing acidity. Ecol. Eng. 2014, 62, 54–60. [Google Scholar] [CrossRef]
- Yao, Y.; Gao, B.; Inyang, M.; Zimmerman, A.R.; Cao, X.; Pullammanappallil, P.; Yang, L. Removal of phosphate from aqueous solution by biochar derived from anaerobically digested sugar beet tailings. J. Hazard. Mater. 2011. [Google Scholar] [CrossRef]
- Laird, D.; Fleming, P.; Wang, B.; Horton, R.; Karlen, D. Biochar impact on nutrient leaching from a Midwestern agricultural soil. Geoderma 2010, 158, 436–442. [Google Scholar] [CrossRef]
- Kookana, R.S.; Sarmah, A.K.; Van Zwieten, L.; Krull, E.; Singh, B. Biochar application to soil. agronomic and environmental benefits and unintended consequences. Adv. Agron. 2011. [Google Scholar] [CrossRef]
- Major, J.; Rondon, M.; Molina, D.; Riha, S.J.; Lehmann, J. Nutrient Leaching in a Colombian Savanna Oxisol Amended with Biochar. J. Environ. Qual. 2012. [Google Scholar] [CrossRef] [PubMed]
- Jellali, S.; Diamantopoulos, E.; Haddad, K.; Anane, M.; Durner, W.; Mlayah, A. Lead removal from aqueous solutions by raw sawdust and magnesium pretreated biochar: Experimental investigations and numerical modelling. J. Environ. Manag. 2016, 180. [Google Scholar] [CrossRef] [PubMed]
- Jellali, S.; Diamantopoulos, E.; Kallali, H.; Bennaceur, S.; Anane, M.; Jedidi, N. Dynamic sorption of ammonium by sandy soil in fixed bed columns: Evaluation of equilibrium and non-equilibrium transport processes. J. Environ. Manag. 2010, 91. [Google Scholar] [CrossRef] [PubMed]
- Azzaz, A.A.; Jellali, S.; Souissi, R.; Ergaieg, K.; Bousselmi, L. Alkaline-treated sawdust as an effective material for cationic dye removal from textile effluents under dynamic conditions: Breakthrough curve prediction and mechanism exploration. Environ. Sci. Pollut. Res. 2017, 24. [Google Scholar] [CrossRef] [PubMed]
- Ibn Ferjani, A.; Jeguirim, M.; Jellali, S.; Limousy, L.; Courson, C.; Akrout, H.; Thevenin, N.; Ruidavets, L.; Muller, A.; Bennici, S. The use of exhausted grape marc to produce biofuels and biofertilizers: Effect of pyrolysis temperatures on biochars properties. Renew. Sustain. Energy Rev. 2019, 107, 425–433. [Google Scholar] [CrossRef]
- Prodana, M.; Bastos, A.C.; Amaro, A.; Cardoso, D.; Morgado, R.; Machado, A.L.; Verheijen, F.G.A.; Keizer, J.J.; Loureiro, S. Biomonitoring tools for biochar and biochar-compost amended soil under viticulture: Looking at exposure and effects. Appl. Soil Ecol. 2019, 137, 120–128. [Google Scholar] [CrossRef]
- Awad, Y.M.; Ok, Y.S.; Abrigata, J.; Beiyuan, J.; Beckers, F.; Tsang, D.C.W.; Rinklebe, J. Pine sawdust biomass and biochars at different pyrolysis temperatures change soil redox processes. Sci. Total Environ. 2018, 625, 147–154. [Google Scholar] [CrossRef]
- Song, W.; Guo, M. Quality variations of poultry litter biochar generated at different pyrolysis temperatures. J. Anal. Appl. Pyrolysis 2012. [Google Scholar] [CrossRef]
- Subedi, R.; Taupe, N.; Ikoyi, I.; Bertora, C.; Zavattaro, L.; Schmalenberger, A.; Leahy, J.J.; Grignani, C. Chemically and biologically-mediated fertilizing value of manure-derived biochar. Sci. Total Environ. 2016, 550, 924–933. [Google Scholar] [CrossRef]
- Tian, J.; Miller, V.; Chiu, P.C.; Maresca, J.A.; Guo, M.; Imhoff, P.T. Nutrient release and ammonium sorption by poultry litter and wood biochars in stormwater treatment. Sci. Total Environ. 2016, 553, 596–606. [Google Scholar] [CrossRef] [PubMed]
- Wang, Y.; Lin, Y.; Chiu, P.C.; Imhoff, P.T.; Guo, M. Phosphorus release behaviors of poultry litter biochar as a soil amendment. Sci. Total Environ. 2015. [Google Scholar] [CrossRef] [PubMed]
- Cao, X.; Harris, W. Properties of dairy-manure-derived biochar pertinent to its potential use in remediation. Bioresour. Technol. 2010, 101, 5222–5228. [Google Scholar] [CrossRef] [PubMed]
- Liang, Y.; Cao, X.; Zhao, L.; Xu, X.; Harris, W. Phosphorus Release from Dairy Manure, the Manure-Derived Biochar, and Their Amended Soil: Effects of Phosphorus Nature and Soil Property. J. Environ. Qual. 2014. [Google Scholar] [CrossRef] [PubMed]
- Li, W.; Feng, X.; Song, W.; Guo, M. Transformation of Phosphorus in Speciation and Bioavailability During Converting Poultry Litter to Biochar. Front. Sustain. Food Syst. 2018. [Google Scholar] [CrossRef]
- Chen, X.; Lin, Q.; He, R.; Zhao, X.; Li, G. Hydrochar production from watermelon peel by hydrothermal carbonization. Bioresour. Technol. 2017. [Google Scholar] [CrossRef]
- Ibn Ferjani, A.; Jellali, S.; Akrout, H.; Limousy, L.; Hamdi, H.; Thevenin, N.; Jeguirim, M. Nutrient retention and release from raw exhausted grape marc biochars and an amended agricultural soil: Static and dynamic investigation. Environ. Technol. Innov. 2020, 19, 100885. [Google Scholar] [CrossRef]
- Yuan, H.; Lu, T.; Wang, Y.; Chen, Y.; Lei, T. Sewage sludge biochar: Nutrient composition and its effect on the leaching of soil nutrients. Geoderma 2016, 267, 17–23. [Google Scholar] [CrossRef]
- Gwenzi, W.; Nyambishi, T.J.; Chaukura, N.; Mapope, N. Synthesis and nutrient release patterns of a biochar-based N–P–K slow-release fertilizer. Int. J. Environ. Sci. Technol. 2018. [Google Scholar] [CrossRef]
- Laird, D.A.; Fleming, P.; Davis, D.D.; Horton, R.; Wang, B.; Karlen, D.L. Impact of biochar amendments on the quality of a typical Midwestern agricultural soil. Geoderma 2010. [Google Scholar] [CrossRef]
- Neina, D. The Role of Soil pH in Plant Nutrition and Soil Remediation. Appl. Environ. Soil Sci. 2019, 2019. [Google Scholar] [CrossRef]
- Subedi, R.; Taupe, N.; Pelissetti, S.; Petruzzelli, L.; Bertora, C.; Leahy, J.J.; Grignani, C. Greenhouse gas emissions and soil properties following amendment with manure-derived biochars: Influence of pyrolysis temperature and feedstock type. J. Environ. Manag. 2016, 166, 73–83. [Google Scholar] [CrossRef] [PubMed]
- Hagab, R.; Eissa, D.; Abou-Shady, A.; Abdelmottaleb, O. Effect of Biochar Addition on Soil Properties and Carrot Productivity Grown in Polluted Soils. Egypt. J. Desert Res. 2016, 66, 327–350. [Google Scholar] [CrossRef]
- Teutscherova, N.; Houška, J.; Navas, M.; Masaguer, A.; Benito, M.; Vazquez, E. Leaching of ammonium and nitrate from Acrisol and Calcisol amended with holm oak biochar: A column study. Geoderma 2018. [Google Scholar] [CrossRef]
- Chandra, S.; Medha, I.; Bhattacharya, J. Potassium-iron rice straw biochar composite for sorption of nitrate, phosphate, and ammonium ions in soil for timely and controlled release. Sci. Total Environ. 2020, 712, 136337. [Google Scholar] [CrossRef] [PubMed]
- Tan, X.; Liu, Y.; Zeng, G.; Wang, X.; Hu, X.; Gu, Y.; Yang, Z. Application of biochar for the removal of pollutants from aqueous solutions. Chemosphere 2015, 125, 70–85. [Google Scholar] [CrossRef]
- Azzaz, A.A.; Jellali, S.; Assadi, A.A.; Bousselmi, L. Chemical treatment of orange tree sawdust for a cationic dye enhancement removal from aqueous solutions: Kinetic, equilibrium and thermodynamic studies. Desalin. Water Treat. 2016, 57. [Google Scholar] [CrossRef]
- Haddad, K.; Jeguirim, M.; Jellali, S.; Guizani, C.; Delmotte, L.; Bennici, S.; Limousy, L. Combined NMR structural characterization and thermogravimetric analyses for the assessment of the AAEM effect during lignocellulosic biomass pyrolysis. Energy 2017, 134. [Google Scholar] [CrossRef]
- Yao, Y.; Gao, B.; Zhang, M.; Inyang, M.; Zimmerman, A.R. Effect of biochar amendment on sorption and leaching of nitrate, ammonium, and phosphate in a sandy soil. Chemosphere 2012. [Google Scholar] [CrossRef]
- Pratiwi, E.P.A.; Hillary, A.K.; Fukuda, T.; Shinogi, Y. The effects of rice husk char on ammonium, nitrate and phosphate retention and leaching in loamy soil. Geoderma 2016, 277, 61–68. [Google Scholar] [CrossRef]
- Mizuta, K.; Matsumoto, T.; Hatate, Y.; Nishihara, K.; Nakanishi, T. Removal of nitrate-nitrogen from drinking water using bamboo powder charcoal. Bioresour. Technol. 2004. [Google Scholar] [CrossRef] [PubMed]
- Hale, S.E.; Alling, V.; Martinsen, V.; Mulder, J.; Breedveld, G.D.; Cornelissen, G. The sorption and desorption of phosphate-P, ammonium-N and nitrate-N in cacao shell and corn cob biochars. Chemosphere 2013. [Google Scholar] [CrossRef] [PubMed]
- Hollister, C.C.; Bisogni, J.J.; Lehmann, J. Ammonium, nitrate, and phosphate sorption to and solute leaching from biochars prepared from corn stover (zea mays l.) and oak wood (quercus spp.). J. Environ. Qual. 2013. [Google Scholar] [CrossRef] [PubMed]
- Troy, S.M.; Lawlor, P.G.; O’Flynn, C.J.; Healy, M.G. The impact of biochar addition on nutrient leaching and soil properties from tillage soil amended with pig manure. Water Air Soil Pollut. 2014, 225. [Google Scholar] [CrossRef]
- El-bassi, L.; Ferjani, A.I.; Jeguirim, M.; Bennici, S.; Jellali, S.; Akrout, H.; El-bassi, L. Production of a biofertilizer from exhausted grape marc waste: Agronomic and environmental impact on plant growth. Biomass Convers. Biorefinery 2020, 1–14. [Google Scholar] [CrossRef]
- Sarkhot, D.V.; Ghezzehei, T.A.; Berhe, A.A. Effectiveness of Biochar for Sorption of Ammonium and Phosphate from Dairy Effluent. J. Environ. Qual. 2013. [Google Scholar] [CrossRef]
- Jellali, S.; Wahab, M.A.; Hassine, R.B.; Hamzaoui, A.H.; Bousselmi, L. Adsorption characteristics of phosphorus from aqueous solutions onto phosphate mine wastes. Chem. Eng. J. 2011, 169. [Google Scholar] [CrossRef]
- Yao, Y.; Gao, B.; Chen, J.; Yang, L. Engineered biochar reclaiming phosphate from aqueous solutions: Mechanisms and potential application as a slow-release fertilizer. Environ. Sci. Technol. 2013. [Google Scholar] [CrossRef]
- Haddad, K.; Jellali, S.; Jeguirim, M.; Ben Hassen Trabelsi, A.; Limousy, L. Investigations on phosphorus recovery from aqueous solutions by biochars derived from magnesium-pretreated cypress sawdust. J. Environ. Manag. 2018, 216, 305–314. [Google Scholar] [CrossRef]
- DeLuca, T.H.; MacKenzie, M.D.; Gundale, M.J. Biochar effects on soil nutrient transformations. In Biochar for Environmental Management: Science and Technology; Earthscan Publications Ltd.: London, UK, 2012; ISBN 9781849770552. [Google Scholar]
- Haddad, K.; Jeguirim, M.; Jellali, S.; Thevenin, N.; Ruidavets, L.; Limousy, L. Biochar production from Cypress sawdust and olive mill wastewater: Agronomic approach. Sci. Total Environ. 2020. [Google Scholar] [CrossRef]
- Brantley, K.E.; Savin, M.C.; Brye, K.R.; Longer, D.E. Nutrient availability and corn growth in a poultry litter biochar-amended loam soil in a greenhouse experiment. Soil Use Manag. 2016. [Google Scholar] [CrossRef]
- Zheng, H.; Wang, Z.; Deng, X.; Herbert, S.; Xing, B. Impacts of adding biochar on nitrogen retention and bioavailability in agricultural soil. Geoderma 2013. [Google Scholar] [CrossRef]
- Solaiman, Z.M.; Shafi, M.I.; Beamont, E.; Anawar, H.M. Poultry litter biochar increases mycorrhizal colonisation, soil fertility and cucumber yield in a fertigation system on sandy soil. Agriculture 2020, 10, 480. [Google Scholar] [CrossRef]
- Li, S.; Zhang, Y.; Yan, W.; Shangguan, Z. Effect of biochar application method on nitrogen leaching and hydraulic conductivity in a silty clay soil. Soil Tillage Res. 2018, 183, 100–108. [Google Scholar] [CrossRef]
- Lorensini, F.; Ceretta, C.A.; Girotto, E.; Cerini, J.B.; Lourenzi, C.R.; De Conti, L.; Trindade, M.M.; de Melo, G.W.; Brunetto, G. Lixiviation and volatilization of nitrogen in Sandy Typic Hapludalf soil cultivated with grapevine submitted to the nitrogen fertilization. Cienc. Rural 2012. [Google Scholar] [CrossRef]
- Hu, P.; Zhang, Y.; Liu, L.; Wang, X.; Luan, X.; Ma, X.; Chu, P.K.; Zhou, J.; Zhao, P. Biochar/struvite composite as a novel potential material for slow release of N and P. Environ. Sci. Pollut. Res. 2019. [Google Scholar] [CrossRef]












| Raw Feedstock | Pyrolysis Conditions | N | P | K | Ca | Mg | Na | Al | Reference |
|---|---|---|---|---|---|---|---|---|---|
| Poultry manure | T = 600 °C; G = 5 °C min−1; t = 3 h | 0.6 | 43.2 | 66.2 | 100.4 | 7.1 | 28.7 | 23.2 | Current study |
| Poultry litter | T = 600 °C; G = 20 °C min−1; t = 2.2 h | 1.2 | 30.5 | 91.5 | 94.0 | 24.2 | – | – | [30] |
| Poultry litter | T = 600 °C; G = -°C min−1; t = - | 4.0 | 15.4 | 58.8 | 35.9 | 15.7 | – | – | [31] |
| Poultry manure | T = 500 °C; G = 20 °C min−1; t = 6 h | 3.8 | 29.5 | 54.8 | 43.7 | 13.6 | – | – | [32] |
| Poultry manure | T = 400 °C; G= -; t = 8 h | 26.3 | 27.0 | 72.0 | 49.1 | 13.5 | 15.2 | 4.8 | [33] |
| Exhausted grape marc | T = 600 °C; G = 5 °C min−1; t = 1 h | 1.7 | 8.2 | 20.1 | 18.0 | 2.9 | 0.4 | 0.3 | [27] |
| Residues of wood chips | T = 620 °C; G = -°C min−1; t = - | – | 1.3 | 10.4 | 42.2 | 2.9 | 0.7 | – | [28] |
| Pine sawdust | T = 550 °C; G = 7 °C min−1; t = 2 h | – | 1.3 | 13.3 | 2.1 | 5.2 | – | 58.2 | [29] |
| Physicochemical Properties | Value |
|---|---|
| Sand (%) | 93.9 |
| Silt (%) | 6.1 |
| pH | 8.1 |
| Electrical conductivity (µS cm−1) | 146.2 |
| Organic matter (%) | 3.0 |
| Sodium oxide (Na2O) | 0.101 |
| Magnesium oxide (MgO) | 0.056 |
| Alumina (Al2O3) | 1.297 |
| Silicon dioxide (SiO2) | 96.209 |
| Phosphorus pentoxide (P2O5) | 0.145 |
| Sulfur trioxide (SO3) | 0.034 |
| Potassium oxide (K2O) | 0.034 |
| Calcite (CaCO3) | 1.420 |
| Titanium dioxide (TiO2) | 0.134 |
| Chromium oxide (Cr2O3) | 0.001 |
| Iron oxide (Fe2O3) | 0.570 |
| Zinc oxide (ZnO) | 0.006 |
| Strontium oxide (SrO) | 0.012 |
| Manganese oxide (Mn2O3) | 0.012 |
| Assay | Parameter | PO4-P | NO3-N | |
|---|---|---|---|---|
| Phase 1 | Blank | RM-b (mg) | 87.8 a | 93.1 a |
| ARR (mg g−1 d−1) | 0.0028 | 0.0029 | ||
| RPM-B-5% | RM (mg) | 1563.9 b | 127.4 ab | |
| RM/RM-b ratio | 17.8 | 1.4 | ||
| ARR (mg g−1 d−1) | 0.0494 | 0.0040 | ||
| RPM-B-8% | RM (mg) | 2082.9 b | 206.0 b | |
| RM/RM-b ratio | 23.7 | 2.2 | ||
| ARR (mg g−1 d−1) | 0.0657 | 0.0065 | ||
| AM (mg) | 98.1 | 141.7 | ||
| Phase 2 | Blank | RM (mg) | 79.9 a | 75.0 a |
| RM/AM ratio | 0.8 | 0.5 | ||
| FRR (mg g−1 d−1) | 0.0015 | 0.0005 | ||
| RPM-B-5% | RM (mg) | 327.6 b | 106.2 b | |
| RM/AM ratio | 3.3 | 0.7 | ||
| FRR (mg g−1 d−1) | 0.0063 | 0.0003 | ||
| RPM-B-8% | RM (mg) | 402.7 c | 100.6 b | |
| RM/AM ratio | 4.1 | 0.7 | ||
| FRR (mg g−1 d−1) | 0.0097 | 0.0003 |
| Assay | Parameter | K+ | Na+ | Mg2+ | Ca2+ | NH4-N | |
|---|---|---|---|---|---|---|---|
| Phase 1 | Blank | RM-b (mg) | 141.4 a | 129.1 a | 65.8 a | 378.2 a | 48.6 c |
| ARR (mg g−1 d−1) | 0.0045 | 0.0041 | 0.0021 | 0.0119 | 0.0015 | ||
| RPM-B-5% | RM (mg) | 2418.5 b | 990 b | 275.2 b | 772.4 b | 37.1 b | |
| RM/RM-b ratio | 17.089 | 7.671 | 4.182 | 2.042 | 0.792 | ||
| ARR (mg g−1 d−1) | 0.076 | 0.0313 | 0.0087 | 0.0244 | 0.0012 | ||
| RPM-B-8% | RM (mg) | 3431.6 c | 1240.8 c | 349.9 c | 904.2 c | 33.6 a | |
| RM/RM-b ratio | 24.262 | 9.613 | 5.317 | 2.391 | 0.692 | ||
| ARR (mg g−1 d−1) | 0.108 | 0.0392 | 0.0110 | 0.0285 | 0.0011 | ||
| Phase 2 | AM (mg) | 50.45 | 65.68 | * | * | 51.43 | |
| Blank | RM (mg) | 114 a | 332.7 c | 39.9 a | 198 a | 41.8 c | |
| RM/AM ratio | 2.259 | 5.065 | * | * | 0.813 | ||
| FRR (mg g−1 d−1) | 0.0011 | 0.0059 | 0.0008 | 0.0046 | 0.0007 | ||
| RPM-B-5% | RM (mg) | 482.9 b | 244.6 b | 211.4 b | 316.5 c | 2.4 a | |
| RM/AM ratio | 9.572 | 3.723 | * | * | 0.047 | ||
| FRR (mg g−1 d−1) | 0.0081 | 0.0058 | 0.0069 | 0.0109 | ** | ||
| RPM-B-8% | RM (mg) | 731.5 c | 214.4 a | 259.5 c | 204.9 b | 6.2 b | |
| RM/AM ratio | 14.498 | 3.264 | * | * | 0.121 | ||
| FRR (mg g−1 d−1) | 0.0087 | 0.0040 | 0.0075 | 0.0033 | ** | ||
Publisher’s Note: MDPI stays neutral with regard to jurisdictional claims in published maps and institutional affiliations. |
© 2021 by the authors. Licensee MDPI, Basel, Switzerland. This article is an open access article distributed under the terms and conditions of the Creative Commons Attribution (CC BY) license (http://creativecommons.org/licenses/by/4.0/).
Share and Cite
Hadroug, S.; Jellali, S.; Jeguirim, M.; Kwapinska, M.; Hamdi, H.; Leahy, J.J.; Kwapinski, W. Static and Dynamic Investigations on Leaching/Retention of Nutrients from Raw Poultry Manure Biochars and Amended Agricultural Soil. Sustainability 2021, 13, 1212. https://doi.org/10.3390/su13031212
Hadroug S, Jellali S, Jeguirim M, Kwapinska M, Hamdi H, Leahy JJ, Kwapinski W. Static and Dynamic Investigations on Leaching/Retention of Nutrients from Raw Poultry Manure Biochars and Amended Agricultural Soil. Sustainability. 2021; 13(3):1212. https://doi.org/10.3390/su13031212
Chicago/Turabian StyleHadroug, Samar, Salah Jellali, Mejdi Jeguirim, Marzena Kwapinska, Helmi Hamdi, James J. Leahy, and Witold Kwapinski. 2021. "Static and Dynamic Investigations on Leaching/Retention of Nutrients from Raw Poultry Manure Biochars and Amended Agricultural Soil" Sustainability 13, no. 3: 1212. https://doi.org/10.3390/su13031212
APA StyleHadroug, S., Jellali, S., Jeguirim, M., Kwapinska, M., Hamdi, H., Leahy, J. J., & Kwapinski, W. (2021). Static and Dynamic Investigations on Leaching/Retention of Nutrients from Raw Poultry Manure Biochars and Amended Agricultural Soil. Sustainability, 13(3), 1212. https://doi.org/10.3390/su13031212

