Abstract
The current research encompasses utilization of peanut shells (PS) as feedstock for pyrolysis carried out at various temperatures (250, 400, and 550 °C) for deriving biochar, namely PS-BC250, PS-BC400, and PS-BC550. After analyzing the biochar types physicochemically, it was applied as a soil ameliorant for the growth of cucumber. The results showed that in prepared biochar type, bulk density, volatile contents, hydrogen, oxygen, and nitrogen content decreased, whereas pH, electrical conductivity, ash content, fixed carbon content, and surface area increased with the increasing temperature. Scanning electron microscopy (SEM) and Fourier Transform Infrared Spectroscopy (FTIR) presented high porosity, re-orientation of vessels, and a greater number of aromatic compounds, respectively, for PS-BC prepared at 550 °C. On applying PS-BC250, PS-BC400, and PS-BC550 as amendments in potted soil at 2, 4, and 6% (w/w), it improved soil quality (viz pH, ECe, BD, and soil water holding capacity) and increased the yield of cucumber. Because of improved soil properties and crop yield, PS-BC550 at the rate of 4% (w/w) demonstrated a great potential for agricultural application while provisioning dual circular economic indicators in the form of diverting PS waste to an effective alternative of chemical fertilizer having intensive carbon footprints in cucumber production.
1. Introduction
Agricultural waste landfilling causes a wide range of environmental issues. The peanut processing sector contributes significantly to agro-industrial waste, primarily in the form of waste peanut shells [1]. It has been estimated that 28 million tonnes (Mt) of peanuts are produced annually. The peanut shell accounts for 25 to 30% weight of peanuts, resulting in 8 Mt of residual biomass in Asia alone [2]. Such residual biomass consists of great energy content that is worth exploring. Pyrolysis is one of the better options for the sustainable management of the voluminous quantity of peanut residual biomass [3].
Sustainable agricultural commodities emphasise not only crop productivity but also provides a better way for the management of agricultural waste, while maintaining soil health. Soil quality significantly influences the crop growth and is mainly affected by the widespread use of inorganic fertilizers. This has led to soil deterioration, a decrease in organic matter content, and ultimately a reduction in beneficial microbial diversity [4,5]. The inorganic fertilizer should be used less frequently, whereas organic amendment in the form of biochar can be used as a powerful tool for sustainable agricultural implication [6], as it has a prodigious potential to ameliorate the soil fertility and soil structure [7].
Biochar is recognized as a pyrolyzed carbon-rich substance, produced through the process of pyrolysis under an extremely limited provision of oxygen [8]. The biochar used as a soil amendment should have a great binding and water holding capacity and must not have detrimental consequences on the soil structure and soil fertility. The low bulk density and greater surface area enable it to retain the nutrients and water content, thereby minimizing the hardening of soil. Keeping these facts in mind, the utilization of biochar as a soil supplement is a long-term solution for the improvement of soil health.
The preceding literature revealed that the physico-chemical properties of biochar are mainly governed by the types of feedstocks and the biochar production process [9,10]. Generally, fast pyrolysis leads to the porous biochar, which has macropores (>200 nm) that consistently harbor beneficial microorganisms such as bacteria and fungi [11,12]. Furthermore, micropores (<2 nm) and mesopores (3–50 nm) efficiently retain the nutrient moieties and provide the moisture content and other dissolved organic substances for the enzymatic activities and microbial proliferation, which are regarded as an instant change-bringer in soil properties [13]. Though pyrolysis temperature greatly influences the biochar properties. This research also possesses the research gap regarding the effect of specifically designed biochar in terms of various production processes on the soil enzymatic activities.
Many studies have been conducted so far regarding the use of peanut shell as a potential bio-solid for fuel production and its application in industrial and residential heating processes [1]. Previously, peanut-shell-derived biochar has been used for potent adsorption of trichloroethylene in water [14]. Bhaduri et al. [15] reported the impact of peanut shell biochar on carbon sequestration potential and microbial activity in incubated soil. Alongside improving soil and crop productivity with biochar derived from wasted biomass such as peanut shell, etc.; it can stimulate circular economy in the agricultural sector, as reported by Bolognesi et al. [16].
The use of peanut shell as an energy source for fuel production and biochar preparation is well recognized. However, exploring the efficacy of peanut shell biochar prepared at various pyrolysis temperatures for soil sustenance has been scarcely prioritized. The major objectives of the recent study were to: (i) evaluate the changes in properties of the peanut shell biochars (PS-BCs) prepared at various pyrolysis temperatures, and (ii) assess the efficacy of PS-derived biochar as a soil ameliorant for the cultivation of cucumber (Cucumis sativus L.).
2. Materials and Methods
2.1. Preparation of Biochar
Peanut shells, which were utilized as a raw material for biochar preparation, were obtained from a nearby local market in Lahore, Pakistan (located at latitude 31°30′30″ N and longitude 74°16′30″ E). Initially, the collected biomass was air dried to eliminate the moisture content and crushed to a particle size of around 2 mm with the help of an electric cutter.
Firstly, the collected raw material was weighed and placed into the feedstock container of a pyrolyzing unit. Pyrolysis of peanut shells was conducted at three different temperatures, namely 250 °C, 400 °C, and 550 °C for a 35-min residence duration under an extremely insufficient provision of oxygen. The heating rate for the feedstock chamber was almost 3 °C per minute until the desired temperature was attained. Prior to use, each prepared PS-BC was sealed in polythene bags. The following formula was used to compute the yield of each produced biochar.
where WRB is the weight of residual biomass and WBC is the weight of produced biochar.
Yield (%) = (WRB/WBC) × 100
2.2. Characterization of Biochar
The volatile content (VC), moisture content (%), and as content (AC) of raw biomass and produced biochars were determined using standard methods [17].
Fixed carbon (FC) was ascertained by excluding the above-given proximate values from 100 as shown in Equation (1).
The chemical constituents C, H, N, and S were determined by using an Micro elemental analyzer (GmbH, Vario, Micro cube V1.9.4 Elementar Analysensysteme, Langenselbold, Germany), while oxygen content was discerned by excluding the mass from 100, while taking into account the contents of ash and C, H, N as a whole mass as given in Equation (2).
C(oxygen) represented the O contents in (%), C(carbon), C(hydrogen) and C(nitrogen) represented the C, H, and O contents in (%), respectively. High heating value (HHV) for each biochar was calculated by using the Dulong’s formula with little modification as given in Equation (3).
where HHV indicated the higher heating value in MJ kg−1; however, C(carbon), C(hydrogen), and C(oxygen) represented the C, H, and O contents in (%), respectively. Additionally, the quantification of mineral constituents (g kg−1) were assessed by acid digestion by following the procedure given by [18].
For the assessment of pH and ECe of peanut shell derived biochar, one gram of each PSBC was mixed in 20 mL of distilled water separately. The prepared suspensions were left for 4 h before being thoroughly blended and filtered. The pH and ECe of the supernatant were ascertained [19]. For the determination of bulk density (BD), firstly, 100 mL of a cylinder was taken and loaded with each powdered biochar separately, and exerted up and down thrice to attain a persistent volume of biochar as described by Brewer and Levine [20].
For the estimation of cation exchange capacity (CEC) of PS-BCs, ammonium acetate solution was used while following the method provided by Chapman [21]. Surface area and pore size of each PS-BC was estimated by using Brunauer–Emmett–Teller (BET) equipment.
Scanning electron microscopy (JEOL Scanning Electron Microscope, JSM-6480LV, JEOL Akishima, Tokyo, Japan) was done to observe the surface morphology of PS-BCs by placing the sample on a two-edge carbon tape and attaching it to an aluminum stub.
Energy dispersive X-ray spectroscopy (EDX) was carried out to ascertain the percentage composition of elements found in PS-BCs prepared at various temperatures. The functional groups that exist in the PS-BCs samples were detected by using Fourier Transform Infrared Spectroscopy (FTIR) (IR Prestige-21 Shimadzu, Japan). The PS-BCs samples were evaluated at a potent resolution of 4 cm−1 for the wavelength ranges of 500–4000 cm−1. Spectrum IR (Spectrum 10 Spectroscopy Solution Software, Perkin Elmer, Waltham, MA, USA) was used to examine the results.
2.3. Pot Trials with PS Biochar
The soil was collected randomly from the site with virgin soil history over the last 10-year. The sampled soil was first air dried, then ground properly and thoroughly mixed after passing through a 2 mm sieve.
The pot trial was conducted in a randomized complete block design (RCBD) with three replicates for each treatment. The prepared PS-BC250, PS-BC400, and PS-BC550 were incorporated into the soil at a rate of 2, 4, and 6% (w/w), correspondingly labelled as: C (Control soil (no biochar amendment, no fertilizer)); 2% PS-BC250, 4% PS-BC250, 6% PS-BC250; 2% PS-BC400, 4% PS-BC400, 6% PS-BC400; 2% PS-BC550, 4% PS-BC550, 6% PS-BC550. Each pot (15 cm in diameter and 15 cm in length), filled with 3.0 kg soil, was shifted to the greenhouse and left for an incubation period of 20 days under an optimal temperature of 27 ± 2 °C. Cucumber (Cucumis sativus L.), a member of the family Cucurbitaceae, was selected for the pot trial because it is a fast-growing and widely used vegetable. From every five germinated seeds of cucumber in the germination tray, one healthy seedling was shifted to each pot. The plants were watered regularly and allowed to grow for 60 days in the greenhouse.
Pre-sowing and post-harvested soil samples were collected and analyzed physico-chemically to determine the efficacy of each prepared biochar for the improvement in soil structure. The pH and ECe of soil samples were determined by preparing the 1:5 soil extract. SOC was assessed by following the standard method. The BD of soil samples was calculated subsequently by using the protocol given above in Section 2.4. Water holding capacity (WHC) of soil samples were ascertained by Gessert [22].
The impact of various treatments on plant growth parameters and fruit yields were recorded. Chlorophyll content was also recorded by SPAD meter at the time of harvest.
2.4. Prospecting Circular Economy Indicators of PS Biochar
According to the method given by Mrówczyńska-Kamińska et al. [23], the greenhouse gas emission intensity of the cucumber production with PS biochar and equivalent yield with chemical fertilizer were determined. The cost of MS biochar and chemical fertilizer was also compared.
2.5. Statistical Analysis
Means and standard deviations were calculated for the experimental data collected during current study and mean analysis done by using ANOVA (Data Analysis Package of Microsoft Office 2013 version). The significant differences amongst and between the treatments were determined by applying Duncan’s multiple range test (p = 0.01).
3. Results and Discussion
3.1. Proximate Analysis of Peanut Shell and Its Derived Biochars
The rise in temperature has led to a reduction in the yield of biochar. A decrease in PS-BC yield was recorded from 41% to 33% as the pyrolysis temperature increased from 250 °C to 550 °C. The supposition for the reduced biochar yield was mainly associated with the thermal alteration of plant tissues, including lignin, cellulose, and hemicellulose into the organic volatiles and inorganic residues. Similar evidence has been given by Ain et al. [24]. The percentage composition of fixed carbon, volatile content, and ash content of peanut shell and its derived biochars are shown in Figure 1. In the current study, a reduced volatile content from 14.3 to 5%, whereas an increase in fixed carbon (40.2% to 58.44%) and ash content (16.3 to 26.2%) was found by enhancing pyrolysis temperature. Volatile content (49%) was found higher in raw peanut shell, which was decreased to become 5% in obtained biochar produced at 550 °C. This happened mainly due to the loss of organic matter during the pyrolysis of feedstock at higher temperature. In fact, the higher loss of volatile contents resulted in the well-pronounced porosity and the stability of carbon in the structure of biochars. The increase in a fixed matter in the biochars was indicative of carbonized OM, corresponding to its stability in the soil [25]. Ash content elevated, due to the accumulation of mineral moieties and the organic combustion of residues [26].
Figure 1.
Proximate analysis of peanut shells and their derived biochars under different pyrolysis temperatures.
The elemental constituents of raw material and its derived chars are given in Table 1. The biochars produced at various temperatures have constituted remarkably fixed carbon, making them appropriate to be used as soil conditioners. The carbon content was found to be 55%, 59.2%, and 62% for PS-BC250, PS-BC400, and PS-BC550, respectively, representing the upraised carbonization at higher pyrolytic temperature [14,27]. In contrast, the values for N, H, and O were reduced with the increasing pyrolysis temperature. This decrease in N, H, and O contents might be attributed to the breakdown of oxygenated chemical bonds and release of the H and O [28,29]. Atomic ratios of chemical elements were determined to assess the aromaticity of produced biochars. Values for H/C ratios in biochars were decreased with the increasing temperature. The H/C ratio was higher (0.05) in PS-BC250, indicating the presence of organic residues. Xu et al. [30] also reported a very low value of H/C ratio for peanut shell biochar. In contrast, the C/N ratio was increased in PS-BC produced at 550 °C. A higher C/N ratio generally restricted the microbial mobility of inorganic N, thereby enhancing the nutrient retention potential which is perceived as an integrant to improve the plant growth [31]. A higher heating value (HHV) was found to increase with an increasing temperature; the highest value was recorded 21.323 MJ kg−1 for PS-BC550. Moreover, mineral constituents (g kg−1) estimated by acid digestion revealed the highest values for K (1.66 g kg−1) and Ca (1.226 gg kg−1). Mineral constituents increased with increasing temperature but their concentration was found lower as compared to the percentage composition of chemical constituents as confirmed by EDX spectral analysis. These unique findings are in line with the key outcomes of prior research [32,33].
Table 1.
Chemical and mineral constituents of peanut shells and their derived biochars.
Peanut shell biochars prepared through different pyrolysis temperatures were studied for numerous characteristics as given in Table 2. Values obtained for the pH of biochars showed that PS-BCs tend to be alkaline as the pyrolysis temperature increases. The pH of PS-BC250 was 8.4 but it increased to become 9.4 in biochar produced at 550 °C. Although biochars prepared are mainly alkaline in nature, it depends upon the selected feedstock and pyrolysis condition [34]. ECe of PS-BCs are consistent with the previous findings as reported by Xu et al. [30]. An increase in ECe is mainly attributed to the presence of potassium, calcium, and magnesium in ionized form [35]. CEC helps to evaluate the capacity of biochar to retain the mineral content on its surface. The CEC of PS-BCs was enhanced as the temperature increased. It was 11 cmolc kg−1 for PS-BC produced at 250 °C that increased to become 17.41 cmolc kg−1 at 550 °C; this is consistent with the findings of Irfan et al. [36] who observed a higher CEC value for biochar from 5.74 to 7 cmolc kg−1 by enhancing the corresponding temperature from 300 °C to 700 °C. The surface area, pore volume, and pore size of biochars indicate the physical changes because of the pyrolysis process (Table 2). The surface area of PS-BC550 (100.21 m2 g−1) was observed to be high, representing the impact of temperature on carbonization. The increase in surface area at a higher temperature might be due to the release of H and O bearing groups, viz., phenolic (—OH), alkyl (—CH2), and aromatic (–CO) functional groups.
Table 2.
Physico-chemical and structural characteristics of peanut shell biochars prepared at various pyrolysis temperatures.
3.2. Scanning Electron Microscopy (SEM)
Scanning electron microscopic images of PS-BCs produced at different temperatures are shown in Figure 2. SEM images showed a smooth and fluffy structure that might occur due to the re-orientation of vessels and aromatic compounds present in the feedstock. Furthermore, high porosity occurred due to the removal of volatiles during the pyrolysis, which was also noticed in the structure of PS-BCs prepared at higher pyrolysis temperatures. PS-BC prepared at 250 °C had a dense and tightly compacted structure. However, vessels and macro-porous tube-like structures with minerals deposition have been observed on the surface of biochar prepared at 400 °C and 550 °C. The higher pore volume/average pore size of PS-BCs mainly helps in the provision of habitat for the microorganisms and contributes to the movement of air and water in the soil. Based on the above observations, it has been concluded that the PS-BCs produced at 550 °C to 600 °C can be used as soil ameliorants.
Figure 2.
Scanning electron microscopic images of peanut shell biochar derived under different pyrolysis temperatures: (a) 250 °C, (b) 400 °C, and (c) 550 °C.
3.3. Spectral Analysis
The speculations of the influence of different pyrolysis temperatures on PS-BCs surface functional groups were attained by spectral analysis. FTIR spectra obtained for different PS-BCs reveal a wide range of superficial functional groups (Figure 3). From the FTR analysis, it was found that the temperature less influenced the absorbance of alcoholic group (—OH) and amide (—NH) stretches (3750–3200 cm−1). These absorbance bands most of the time get decreased because of dehydration during the carbonization at higher temperature [37]. A strong sharp peak was observed at 2922.16/2854.65 cm−1, which confirmed the —CH stretching in PS-BC prepared at 250 °C. The absorbance of aliphatic groups disappeared in the FTIR spectra of PS-BC400 and PS-C550, indicating the breakage of —CH and —CH2 in alkyl and escape of syngas in the form of CH4. In all prepared biochars, peak present at 1743 cm−1 corresponds to the —C=O stretches in accordance with the findings of Reddy et al. [38]. Additionally, a wide range of peaks (1037.70, 1155.36, and 1238.30 cm−1) occurred for the absorbance of –CO stretches from carbohydrates. Such peaks were predominant in the spectrum of biochar produced at 250 °C temperature but decreased in FTIR spectra of biochars prepared at higher temperature. This might be due to the loss of polysaccharides. In previous studies, FTIR spectra of PS-derived biochars showed two kinds of chemical groups including aliphatic groups (3430–2199 cm−1 and 1230–1000 cm−1) and aromatic superficial functional groups (3130, 1624, and 1400 cm−1), indicating its carbonaceous nature and the presence of cellulose derivatives [38,39].
Figure 3.
FTIR spectra of peanut shell biochars derived at different pyrolysis temperatures: (A) 250 °C, (B) 400 °C, and (C) 550 °C.
The variability in the major elements of PS-BCs was analyzed by energy dispersive X-ray spectroscopy (Figure 4). In PS-BCs, chief elements such as C, K, Ca, Al, and Si have been detected through EDX analysis. C proportion was found to be increased, whereas O tended to decrease in PS-BCs with the increasing temperature (Table 3). The C constituent was found to be greater with an atomic weight of 75.28% in PS-BC prepared at 550 °C, which confirmed the presence of fixed resident matter as discussed above in Section 3.1.
Figure 4.
EDX spectra of peanut shell biochar derived under different pyrolysis temperatures: (a) 250 °C, (b) 400 °C, and (c) 550 °C.
Table 3.
EDX data obtained from the spectral analysis of peanut shell biochar derived under different pyrolysis temperatures: (A) 250 °C, (B) 400 °C, and (C) 550 °C. Given values are means (n = 3) with ± standard deviation.
3.4. Effect of Biochars Prepared at Various Pyrolysis Temperatures on Soil Physico-Chemical Properties
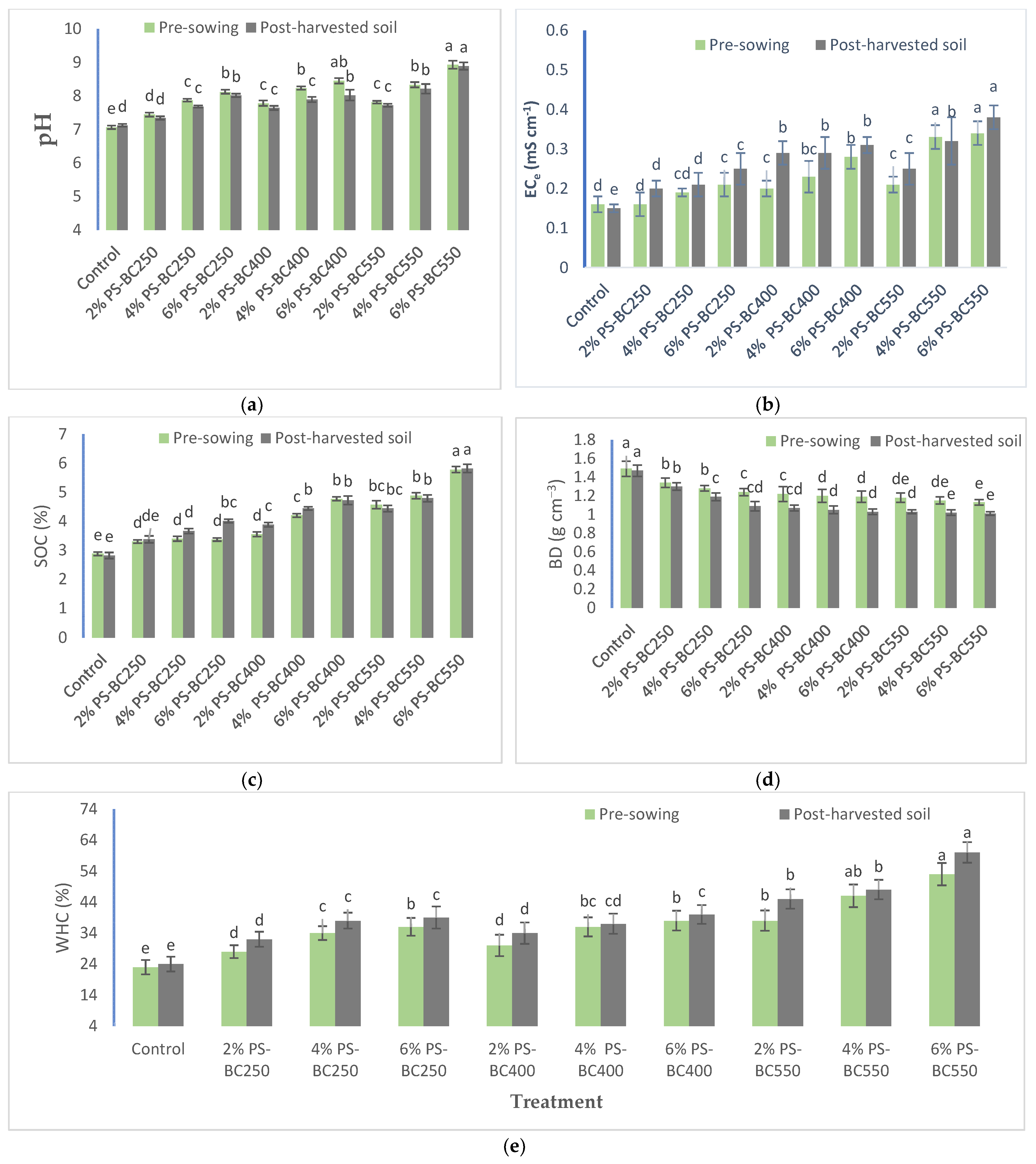
The effect of PS-BCs on soil properties is shown in Figure 5. For 20 days of incubated soil, the soil properties, viz., pH, ECe, BD, and WHC, were influenced by the treatment of PS-BCs. Even after the incubation periods of 20 days, all the soil physico-chemical properties were found to be significantly greater than compared to the control. However, the PC-BC550 was found to be very efficient for improving the soil quality. Each prepared PS-BC was applied in soil with different ratios (2, 4, 6% w/w). Thereby, a great change could be expected in soil physico-chemical properties. The results attained from the study of post-harvested soil revealed the increasing trend for soil, ECe, and WHC and SOC as compared to short-term incubated soil. In contrast, soil bulk density decreased with the increasing concentration of PS-BCs in soil. For 20 days of incubated soil, the PS-BC550 elevated WHC and SOC by 56% and 50%, respectively. However, for post-harvested soil, PS-BC550 resulted in the 60% and 52% increase in WHC and SOC, respectively. The pH of post-harvested soil tended to be decreased as compared to short-term incubated soil. This could have occurred since some roots of some plants secrete the organic acids which primarily lessen the alkalinity of biochars [40]. Soil pH influences the nutrients solubility and, in turn, its accessibility to the plants. Notably, pH is considered as an integral factor that can facilitate the plant growth while stimulating the beneficial microorganisms [41]. Soil bulk density is considered as an important soil property, since it synchronizes the aeration, structural support, and retention of water and nutrients as previously described by Um-e-Laila et al. [42]. The bulk density and water holding capacity of soil amended with the PS-BC400 and PS-BC550 were decreased significantly with the increasing application rate. In previous literature, biochar amendments enhanced the soil structure and led to the increased yield of maize and wheat by 18% and 8% [43]. High bulk density defined the highly compacted soils mainly comprised of low porosity, restricted the movement of air and water, and consequently hindered plant roots penetration into the soil. Soil organic carbon is mainly considered as a key factor for the stimulation of microbial activity, ultimately bring out the alteration in soil properties [44]. A similar trend has been found in soil amended with water holding capacity. Luo et al. [45] revealed that biochar incorporation into the soil resulted in the increase in plant biomass, which might be due to the improvement into the soil’s water holding capacity and soil fertility.
Figure 5.
Effect of PS-BCs prepared under different pyrolysis temperatures on physicochemical properties of pre-sowing soil (incubated for 20 days) and the soil after the harvest of 60-day-old cucumber plants. Variation in physicochemical properties: (a) pH; (b) ECe-electrical conductivity; (c) SOC-soil organic carbon; (d) BD-bulk density; (e) WHC-water holding capacity of pre—sowing soil (incubated for 20 days) and the soil after the harvest of 60 days old cucumber plants. Error bars reveal the standard deviation of mean values (n = 3) but the small letters (a, b, c, d, e) indicate the statistical differences between the treatments for pre-sown incubated soil and soil collected after harvest according to Duncan’s multiple range test (p = 0.01). Here: PS-BC250 = peanut shell biochar at 250 °C; PS-BC400 = peanut shell biochar at 400 °C; PS-BC550 = peanut shell biochar at 550 °C.
3.5. Effect of Biochar on Growth Parameters
Results attained from the growth parameters were statistically analyzed and compared among the different levels of treatments to assess the efficacy of prepared biochars for the improvement in crop productivity (Table 4). PS-BC250 had no significant improvement on the growth parameters of cucumber as compared to the control. On the contrary, PS-BC550 revealed significant improvement (43.33%) in plant height at the level of 4% w/w as compared to the control; the plant dry biomass showed a similar trend as the plant height. The highest fruit yield (12 pot−1) of cucumber was obtained under the treatment PS-BC550 4% w/w. An application of 6% PS-BC550 in the soil led to the decreased growth parameters including fruit yield (number of fruit per pot) of cucumber. Perhaps the excessive amount of biochar rich in carbonaceous moieties might cause the reduction in growth parameters. The amendments of PS-BC550 except 6% w/w caused the dramatic changes in growth parameters. One very interesting reason could be that the biochar produced at a higher temperature (550 °C) had a greater surface area with abundant electrostatic charges and could have favored the slow release of macro and micro-nutrient moieties in soil (K, Ca, Mg, Al, and Si as represented in the EDX spectrum), ultimately leading to the improvement of growth parameters and chlorophyll contents as compared to the control. The improvement in growth parameters could be due to the availability of nutrients in the soil. Similar results have been found by Liu et al. [46] and Wang et al. [47], who found the positive impacts of peanut-shell-based fertilizer on the growth parameters and chlorophyll contents of crown daisies. They provided the reason that amendments of peanut-shell-based fertilizer in the soil resulted in the soil sustenance and improved contents of accessible macronutrients, viz.: Mg, K, and P and micronutrients, viz: Fe, Cu, and Zn. In addition, peanut shell biochar enhanced the soil WHC and ECe which are recognized as the key factors for the availability of water and nutrients to the plants [48]. In this experiment, the incorporation of a high dosage of (6% w/w) PS-BC was not satisfactory for the growth and yield of cucumber; however, the medium dosage (4% w/w) PS-BC550 showed outstanding results. The quantity is an important factor that must be considered before applying the biochar, as excessive amounts of soil supplements not only raise the cost of agricultural productivity but also have a negative impact on crop growth [49].
Table 4.
Comparison of efficacy of peanut-shell-derived biochars on growth performance of 60-day-old cucumber plants.
3.6. Potential Role of Peanut Shell Biochar in Circular Economy of Agriculture
As peanut shells are most of the time either discarded as waste or burnt for deriving cooking stove heat, its use as feedstock for deriving value-added products such as biochar increased the yield of cucumber without application of any chemical fertilizer. In other words, the PS biochar proved to be an exact alternative of the chemical fertilizer for production of cucumber without compromising on its yield. On the coplotting cost (US$) of PS biochar against the value (US$) of avoiding application of chemical fertilizer (Figure 6), there was a linear variation of data. Assuming that cucumber yield would sustain with PS biochar only, the graph showed that the value of avoiding fertilizer application will range US $12–13 per acre. Tubiello [50] has elucidated that chemical fertilizer application in the cultivation of crops has a relatively higher carbon footprint than cultivation practices involving reuse and recycling of biomass in the fields.
Figure 6.
Correlation between value (US$) of fertilizer application avoided and peanut shell biochar cost (US$).
The reduction in greenhouse gas (GHG) emissions on the application of PS biochar as well as chemical fertilizer as CO2 eq per USD 1 worth of cucumber production is given in Figure 7. The gross reduction in the GHG emissions during cultivation of cucumber with PS biochar was reduced to less than half of the GHG emissions for a similar yield of cucumber with chemical fertilizer. Although empirical economic analyses of the biochar application equivalent to chemical fertilizer application for the cultivation of vegetable crops are not given in the literature, the relationships between GHGs emissions and different models of agriculture production [51], as well as between non-GHG emissions and agricultural production, are given in the literature [52]. Bolognesi et al. [16] reported that while improving soil and crop productivity, biochar derived from wasted biomass, like PS biochar, can stimulate a circular economy in the agricultural sector.
Figure 7.
Whisker box plot showing minimum, first quartile, median, third quartile, and maximum value of kg CO2 eq per USD 1 worth of cucumber production.
4. Conclusions
The current study demonstrates the value-addition to peanut shells through pyrolysis at various temperatures. Pyrolysis temperatures greatly influenced the chemical composition, functionality, and morphological properties of peanut-shell-derived biochar. The PS-derived biochar at 550 °C was of greater stability in terms of fixed resident matter, high porosity, and retained none of the toxic constituents. The uniqueness of PS-BC550 based on SEM and FTIR analysis consequently led to the significantly improved soil structure and crop yield at a level of 4% (w/w). However, at high concentration (6% w/w), PS-BC550 reduced the growth parameters because of an excess amount of nutrients. In short, the medium dosage of PS-BC550 has great potential and can be put to use as an organic amendment. The application of PS biochar improves circular economy in the agriculture sector on account of obtaining a value-added derivative that reduces the input cost of fertilizer while reducing GHG emissions from within the crop production system and those associated with the feedstock biomass used for biochar production. Further studies can be conducted at the field level for the validation of key outcomes over a long-term scenario.
Author Contributions
Conceptualization, A.N. and M.S.; methodology, U.-e.-L., E.H., A.N. and M.S.; validation, A.N. and M.S.; formal analysis, E.H. and U.-e.-L.; investigation, A.N., U.-e.-L. and E.H., resources, A.N., M.S. and F.-e.-B.; data curation, A.N. and M.S.; writing, original draft preparation, U.-e.-L. and A.N.; writing, review and editing, U.-e.-L., A.N., M.S., and F.-e.-B.; supervision, A.N. and F.-e.-B.; funding acquisition, A.N., F.-e.-B., and M.S. All authors have read and agreed to the published version of the manuscript.
Funding
This research received no external funding.
Institutional Review Board Statement
Not applicable.
Informed Consent Statement
Not applicable.
Data Availability Statement
Not applicable.
Conflicts of Interest
The authors declare no conflict of interest.
References
- Perea-Moreno, M.-A.; Manzano-Agugliaro, F.; Hernandez-Escobedo, Q.; Perea-Moreno, A.-J. Peanut Shell for Energy: Properties and Its Potential to Respect the Environment. Sustainability 2018, 10, 3254. [Google Scholar] [CrossRef] [Green Version]
- Kristoferson, L.A.; Bokalders, V. 3—Agricultural Residues and Organic Wastes. In Renewable Energy Technologies: Their Applications in Developing Countries; Kristoferson, L.A., Bokalders, V., Eds.; Elsevier: Amsterdam, The Netherlands, 1986. [Google Scholar]
- Hawash, S.; Farah, J.Y.; El-Diwani, G. Pyrolysis of agriculture wastes for bio-oil and char production. J. Anal. Appl. Pyrolysis 2017, 124, 369–372. [Google Scholar] [CrossRef]
- Spokas, K.A.; Cantrell, K.B.; Novak, J.M.; Archer, D.W.; Ippolito, J.A.; Collins, H.P.; Boateng, A.A.; Lima, I.M.; Lamb, M.C.; McAloon, A.J.; et al. Biochar: A Synthesis of Its Agronomic Impact beyond Carbon Sequestration. J. Environ. Qual. 2012, 41, 973–989. [Google Scholar] [CrossRef]
- Lahori, A.H.; Guo, Z.; Zhang, Z.; Li, R.; Mahar, A.; Awasthi, M.K.; Shen, F.; Sial, T.A.; Kumbhar, F.; Wang, P.; et al. Use of Biochar as an Amendment for Remediation of Heavy Metal-Contaminated Soils: Prospects and Challenges. Pedosphere 2017, 27, 991–1014. [Google Scholar] [CrossRef]
- Wang, Y.; Zhu, Y.; Zhang, S.; Wang, Y. What could promote farmers to replace chemical fertilizers with organic fertilizers? J. Clean. Prod. 2018, 199, 882–890. [Google Scholar] [CrossRef]
- Hossain, Z.; Bahar, M.; Sarkar, B.; Donne, S.W.; Ok, Y.S.; Palansooriya, K.N.; Kirkham, M.B.; Chowdhury, S.; Bolan, N. Biochar and its importance on nutrient dynamics in soil and plant. Biochar 2020, 2, 379–420. [Google Scholar] [CrossRef]
- Xu, G.; Zhang, Y.; Sun, J.; Shao, H. Science of the Total Environment Negative interactive effects between biochar and phosphorus fertilization on phosphorus availability and plant yield in saline sodic soil. Sci. Total Environ. 2016, 568, 910–915. [Google Scholar] [CrossRef] [PubMed]
- Laghari, M.; Naidu, R.; Xiao, B.; Hu, Z.; Mirjat, M.S.; Hu, M.; Kandhro, M.N.; Chen, Z.; Guo, D.; Jogi, Q.; et al. Recent developments in biochar as an effective tool for agricultural soil management: A review. J. Sci. Food Agric. 2016, 96, 4840–4849. [Google Scholar] [CrossRef]
- Li, H.; Dong, X.; da Silva, E.B.; de Oliveira, L.M.; Chen, Y.; Ma, L.Q. Chemosphere Mechanisms of metal sorption by biochars: Biochar characteristics and modifications. Chemosphere 2017, 178, 466–478. [Google Scholar] [CrossRef]
- Quilliam, R.S.; Glanville, H.; Wade, S.C.; Jones, D.L. Life in the ‘charosphere’—Does biochar in agricultural soil provide a significant habitat for microorganisms? Soil Biol. Biochem. 2013, 65, 287–293. [Google Scholar] [CrossRef]
- Jaafar, N.M.; Clode, P.; Abbott, L. Microscopy Observations of Habitable Space in Biochar for Colonization by Fungal Hyphae from Soil. J. Integr. Agric. 2014, 13, 483–490. [Google Scholar] [CrossRef]
- Zheng, H.; Wang, X.; Chen, L.; Wang, Z.; Xia, Y.; Zhang, Y.; Wang, H.; Luo, X.; Xing, B. Enhanced growth of halophyte plants in biochar-amended coastal soil: Roles of nutrient availability and rhizosphere microbial modulation. Plant Cell Environ. 2017, 41, 517–532. [Google Scholar] [CrossRef]
- Ahmad, M.; Lee, S.S.; Dou, X.; Mohan, D.; Sung, J.-K.; Yang, J.E.; Ok, Y.S. Effects of pyrolysis temperature on soybean stover- and peanut shell-derived biochar properties and TCE adsorption in water. Bioresour. Technol. 2012, 118, 536–544. [Google Scholar] [CrossRef] [PubMed]
- Bhaduri, D.; Saha, A.; Desai, D.; Meena, H.N. Restoration of carbon and microbial activity in salt-induced soil by applica-tion of peanut shell biochar during short-term incubation study. Chemosphere 2016, 148, 86–98. [Google Scholar] [CrossRef]
- Bolognesi, S.; Bernardi, G.; Callegari, A.; Dondi, D.; Capodaglio, A.G. Biochar production from sewage sludge and microal-gae mixtures: Properties, sustainability and possible role in circular economy. Biomass Convers. Biorefin. 2021, 11, 289–299. [Google Scholar] [CrossRef]
- ASTM International. Standard Practice for Proximate Analysis of Coal and Coke; ASTM International: West Conshohocken, PA, USA, 2013. [Google Scholar]
- Baird, R.B.; Eaton, A.D.; Rice, E.W. Standard Methods for the Examination of Water and Wastewater; American Public Health Association: Washington, DC, USA, 2017; Volume 23, pp. 5–41. [Google Scholar]
- Bordoloi, N.; Narzari, R.; Chutia, R.S.; Bhaskar, T.; Kataki, R. Pyrolysis of Mesua ferrea and Pongamia glabra seed cover: Characterization of bio-oil and its sub-fractions. Bioresour. Technol. 2015, 178, 83–89. [Google Scholar] [CrossRef] [PubMed]
- Brewer, C.E.; Levine, J. Weight or Volume for Handling Biochar and Biomss? In the Biochar Journal 2015, Arbaz, Switzerland. Available online: www.biochar-journal.org/en/Ct/71 (accessed on 15 September 2021).
- Chapman, H. Cation-Exchange Capacity. Agron. Monogr. 2016, 9, 891–901. [Google Scholar]
- Gessert, G. Measuring a medium’s Airspace and Water Holding Capacity. Ornam. Northwest Arch. 1976, 1, 11–12. [Google Scholar]
- Mrówczyńska-Kamińska, A.; Bajan, B.; Pawłowski, K.P.; Genstwa, N.; Zmyślona, J. Greenhouse gas emissions intensity of food production systems and its determinants. PLoS ONE 2021, 16, e0250995. [Google Scholar] [CrossRef]
- Ain, Q.-U.; Shafiq, M.; Capareda, S.C.; Bareen, F.-E. Effect of different temperatures on the properties of pyrolysis products of Parthenium hysterophorus. J. Saudi Chem. Soc. 2021, 25, 101197. [Google Scholar] [CrossRef]
- Butnan, S.; Deenik, J.; Toomsan, B.; Vityakon, P. Biochar properties affecting carbon stability in soils contrasting in texture and mineralogy. Agric. Nat. Resour. 2017, 51, 492–498. [Google Scholar] [CrossRef]
- Cao, X.; Harris, W. Properties of dairy-manure-derived biochar pertinent to its potential use in remediation. Bioresour. Technol. 2010, 101, 5222–5228. [Google Scholar] [CrossRef]
- Chen, B.; Zhou, D.; Zhu, L. Transitional adsorption and partition of nonpolar and polar aromaric contaminants by biochars of pine needles with different pyrolytic temperatures. Environ. Sci. Technol. 2008, 42, 5137–5143. [Google Scholar] [CrossRef] [PubMed]
- Zhang, H.; Chen, C.; Gray, E.M.; Boyd, S.E. Effect of feedstock and pyrolysis temperature on properties of biochar governing end use efficacy. Biomass Bioenergy 2017, 105, 136–146. [Google Scholar] [CrossRef]
- Suliman, W.; Harsh, J.B.; Abu-Lail, N.I.; Fortuna, A.-M.; Dallmeyer, I.; Garcia-Perez, M. Influence of feedstock source and pyrolysis temperature on biochar bulk and surface properties. Biomass Bioenergy 2016, 84, 37–48. [Google Scholar] [CrossRef]
- Xu, C.-Y.; Bai, S.H.; Hao, Y.; Rachaputi, R.C.N.; Xu, Z.; Wallace, H. Peanut shell biochar improves soil properties and peanut kernel quality on a red Ferrosol. J. Soils Sediments 2015, 15, 2220–2231. [Google Scholar] [CrossRef]
- Sathe, P.S.; Adivarekar, R.V.; Pandit, A.B. Valorization of peanut shell biochar for soil amendment. J. Plant Nutr. 2021, 1–19. Available online: https://www.tandfonline.com/doi/pdf/10.1080/01904167.2021.1963771?casa_token=zb3FczP6xt4AAAAA:kf1eRalGYZEvswNSPuEYUFT8FAZOEsHWRiMc3MkxAajKfjZuLA0l9OTfJ8Ebr4vYUFsBWpi9vjrLPw (accessed on 12 November 2021). [CrossRef]
- Zhang, H.; Voroney, R.; Price, G. Effects of temperature and processing conditions on biochar chemical properties and their influence on soil C and N transformations. Soil Biol. Biochem. 2015, 83, 19–28. [Google Scholar] [CrossRef]
- Zhang, X.; Zhang, P.; Yuan, X.; Li, Y.; Han, L. Effect of pyrolysis temperature and correlation analysis on the yield and physicochemical properties of crop residue biochar. Bioresour. Technol. 2020, 296, 122318. [Google Scholar] [CrossRef]
- Novak, J.M.; Busscher, W.J.; Laird, D.L.; Ahmedna, M.; Watts, D.W.; Niandou, M.A.S. Impact of Biochar Amendment on Fertility of a Southeastern Coastal Plain Soil. Soil Sci. 2009, 174, 105–112. [Google Scholar] [CrossRef] [Green Version]
- Usman, A.R.; Abduljabbar, A.; Vithanage, M.; Ok, Y.S.; Ahmad, M.; Ahmad, M.; Elfaki, J.; Abdulazeem, S.S.; Al-Wabel, M.I. Biochar production from date palm waste: Charring temperature induced changes in composition and surface chemistry. J. Anal. Appl. Pyrolysis 2015, 115, 392–400. [Google Scholar] [CrossRef]
- Irfan, M.; Chen, Q.; Yue, Y.; Pang, R.; Lin, Q.; Zhao, X.; Chen, H. Co-production of biochar, bio-oil and syngas from halo-phyte grass (Achnatherum splendens L.) under three different pyrolysis temperatures. Bioresour. Technol. 2016, 211, 457–463. [Google Scholar] [CrossRef]
- Chutia, R.S.; Kataki, R.; Bhaskar, T. Characterization of liquid and solid product from pyrolysis of Pongamia glabra deoiled cake. Bioresour. Technol. 2014, 165, 336–342. [Google Scholar] [CrossRef]
- Reddy, P.M.K.; Mahammadunnisa, S.; Ramaraju, B.; Sreedhar, B.; Subrahmanyam, C. Low-cost adsorbents from bio-waste for the removal of dyes from aqueous solution. Environ. Sci. Pollut. Res. 2013, 20, 4111–4124. [Google Scholar] [CrossRef] [PubMed]
- Chen, T.; Zhang, Y.; Wang, H.; Lu, W.; Zhou, Z.; Zhang, Y.; Ren, L. Influence of pyrolysis temperature on characteristics and heavy metal adsorptive performance of biochar derived from municipal sewage sludge. Bioresour. Technol. 2014, 164, 47–54. [Google Scholar] [CrossRef]
- Guo, S.-H.; Niu, Y.-J.; Zhai, H.; Han, N.; Du, Y.-P. Effects of alkaline stress on organic acid metabolism in roots of grape hybrid rootstocks. Sci. Hortic. 2018, 227, 255–260. [Google Scholar] [CrossRef]
- Dai, Z.; Zhang, X.; Tang, C.; Muhammad, N.; Wu, J.; Brookes, P.C.; Xu, J. Potential role of biochars in decreasing soil acidification—A critical review. Sci. Total Environ. 2017, 581-582, 601–611. [Google Scholar] [CrossRef]
- Laila, U.-E.; Hussain, A.; Nazir, A.; Shafiq, M.; Bareen, F.-E. Potential Application of Biochar Composite Derived from Rice Straw and Animal Bones to Improve Plant Growth. Sustainability 2021, 13, 11104. [Google Scholar] [CrossRef]
- Du, Z.; Xiao, Y.; Qi, X.; Liu, Y.; Fan, X.; Li, Z. Peanut-Shell Biochar and Biogas Slurry Improve Soil Properties in the North China Plain: A Four-Year Field Study. Sci. Rep. 2018, 8, 1–9. [Google Scholar] [CrossRef] [Green Version]
- Siebers, N.; Leinweber, P. Bone Char: A Clean and Renewable Phosphorus Fertilizer with Cadmium Immobilization Capability. J. Environ. Qual. 2013, 42, 405–411. [Google Scholar] [CrossRef] [Green Version]
- Luo, X.; Liu, G.; Xia, Y.; Chen, L.; Jiang, Z.; Zheng, H.; Wang, Z. Use of biocharcompost to improve properties and productivity of the degraded coastal soil in the Yellow River Delta, China. J. Soils Sediments 2017, 17, 780–789. [Google Scholar] [CrossRef]
- Liu, B.; Cai, Z.; Zhang, Y.; Liu, G.; Luo, X.; Zheng, H. Comparison of efficacies of peanut shell biochar and biochar-based compost on two leafy vegetable productivity in an infertile land. Chemosphere 2019, 224, 151–161. [Google Scholar] [CrossRef] [PubMed]
- Wang, H.; Zheng, H.; Jiang, Z.; Dai, Y.; Liu, G.; Chen, L.; Luo, X.; Liu, M.; Wang, Z. Efficacies of biochar and biochar-based amendment on vegetable yield and nitrogen utilization in four consecutive planting seasons. Sci. Total Environ. 2017, 593-594, 124–133. [Google Scholar] [CrossRef]
- Zheng, H.; Wang, Z.; Deng, X.; Herbert, S.; Xing, B. Impacts of adding biochar on nitrogen retention and bioavailability in agricultural soil. Geoderma 2013, 206, 32–39. [Google Scholar] [CrossRef]
- de la Rosa, J.M.; Paneque, M.; Miller, A.Z.; Knicker, H. Relating physical and chemical properties of four different biochars and their application rate to biomass production of Lolium perenne on a Calcic Cambisol during a pot experiment of 79days. Sci. Total Environ. 2014, 499, 175–184. [Google Scholar] [CrossRef] [Green Version]
- Tubiello, F.N. Greenhouse Gas Emissions Due to Agriculture. In Encyclopedia of Food Security and Sustainability; Ferranti, P., Berry, E.M., Anderson, J.R., Eds.; Elsevier: Amsterdam, The Netherlands, 2019; Volume 1, pp. 196–205. [Google Scholar] [CrossRef] [PubMed]
- Czyżewski, B.; Łukasz, K. Impact of different models of agriculture on greenhouse gases (GHG) emissions: A sectoral approach. Outlook Agric. 2018, 47, 68–76. [Google Scholar] [CrossRef] [Green Version]
- Popp, A.; Lotze-Campen, H.; Bodirsky, B.L. Food consumption, diet shifts and associated non-CO2 greenhouse gases from agricultural production. Glob. Environ. Chang. 2010, 20, 451–462. [Google Scholar] [CrossRef]
Publisher’s Note: MDPI stays neutral with regard to jurisdictional claims in published maps and institutional affiliations. |
© 2021 by the authors. Licensee MDPI, Basel, Switzerland. This article is an open access article distributed under the terms and conditions of the Creative Commons Attribution (CC BY) license (https://creativecommons.org/licenses/by/4.0/).






