Robust Spatiotemporal Estimation of PM Concentrations Using Boosting-Based Ensemble Models
Abstract
:1. Introduction
2. Materials and Methods
2.1. Study Area
2.2. Datasets
2.2.1. PM10 Air Pollution and Emission Data
2.2.2. Meteorological Data
2.3. Data Preprocessing and Matching
2.4. Model Description
2.4.1. Gradient Boosting Machine
2.4.2. Extreme Gradient Boosting
2.4.3. Light Gradient Boost Machine
2.5. Model Validation
3. Results and Discussion
3.1. Effect of Input Variables on PM10 Prediction
3.2. Evaluation of Model Performance
3.2.1. Performance Comparison between Models
3.2.2. Model Selection on PM10 Prediction
3.3. Performance Evaluation of the LightGBM Model
3.3.1. Site-Scale Model Performance
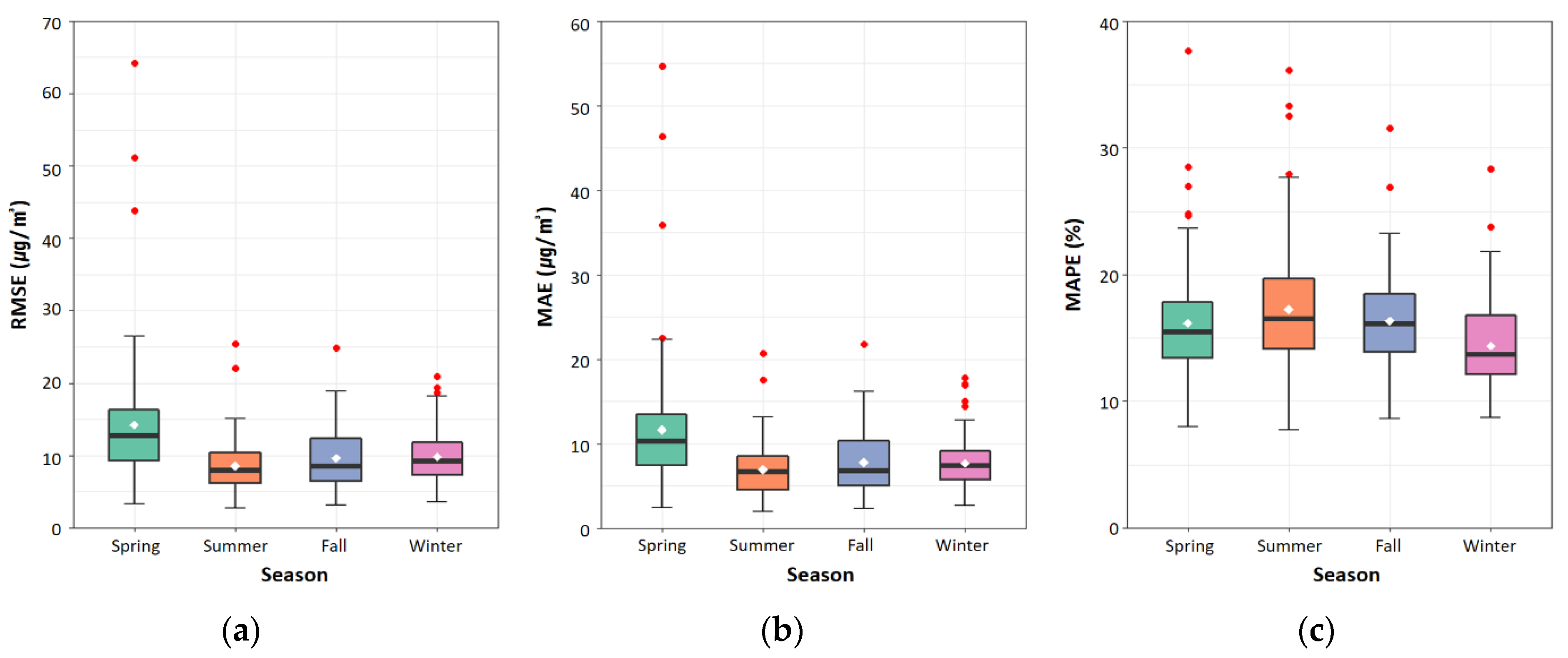
3.3.2. Daily and Seasonal Validation
4. Conclusions
Author Contributions
Funding
Institutional Review Board Statement
Informed Consent Statement
Acknowledgments
Conflicts of Interest
Appendix A
| Attribute | Explain | Parameter |
|---|---|---|
| shrinkage | Learning rate | 0.01 |
| interaction.depth | Maximum depth of each tree | 4 |
| n.minobsinnode | Minimum number of observations in trees’ terminal nodes | 92 |
| bag.fraction | Fraction of the training set observations randomly selected | 0.6 |
| train.fraction | Proportion of samples used for training and testing | 0.7 |
| Attribute | Explain | Parameter |
|---|---|---|
| eta | Learning rate | 0.01 |
| max_depth | Maximum depth of a tree | 14 |
| min_child_weight | Minimum sum of instance weight (hessian) | 17 |
| subsample | Subsample ratio of the training instance | 0.8 |
| colsample_bytree | Subsample ratio of columns when constructing each tree | 1.0 |
| lambda | L2 Regularization term on weights | 11 |
| alpha | L1 Regularization term on weights | 27 |
| Attribute | Explain | Parameter |
|---|---|---|
| learning_rate | Learning rate | 0.01 |
| max_depth | Maximum depth of a tree | 6 |
| num_leaves | Maximum number of leaves in one tree | 19 |
| min_data_in_leaf | Minimum number of observations in one leaf | 11 |
| bagging_fraction | Subsample ratio of the training instance | 0.8 |
| bagging_freq | Frequency for bagging | 3 |
| feature_fraction | Subsample ratio of columns when constructing each tree | 1.0 |
| lambda_l1 | L1 regularization term on weights | 0.9 |
| lambda_l2 | L2 regularization term on weights | 0.4 |
References
- Cohen, A.J.; Anderson, H.R.; Ostro, B.; Pandey, K.D.; Krzyzanowski, M.; Künzli, N.; Gutschmidt, K.; Pope, A.; Romieu, I.; Samet, J.M.; et al. The Global Burden of Disease Due to Outdoor Air Pollution. J. Toxicol. Environ. Health Part A 2005, 68, 1301–1307. [Google Scholar] [CrossRef]
- Shtein, A.; Kloog, I.; Schwartz, J.; Silibello, C.; Michelozzi, P.; Gariazzo, C.; Viegi, G.; Forastiere, F.; Karnieli, A.; Just, A.C.; et al. Estimating Daily PM2.5 and PM10 over Italy Using an Ensemble Model. Environ. Sci. Technol. 2020, 54, 120–128. [Google Scholar] [CrossRef] [PubMed]
- International Agency for Research on Cancer (IARC). Outdoor Air Pollution a Leading Environmental Cause of Cancer Deaths; International Agency for Research on Cancer: Lyon, France, 2013. [Google Scholar]
- Allen, M.; Antwi-Agyei, P.; Aragon-Durand, F.; Babiker, M.; Bertoldi, P.; Bind, M.; Zickfeld, K. Technical Summary: Global Warming of 1.5 °C. An IPCC Special Report on the Impacts of Global Warming of 1.5 °C above Pre-Industrial Levels and Related Global Greenhouse Gas Emission Pathways, in the Context of Strengthening the Global Response to the Threat of Climate Change, Sustainable Development, and Efforts to Eradicate Poverty; IPCC: Geneva, Switzerland, 2019. [Google Scholar]
- Hwang, I.C.; Kim, K.U.; Baek, J.R.; Son, W.I. Long-Term Strategy and Sectoral Approaches of Seoul for Achieving Carbon Neutrality by 2050; The Seoul Institute: Seoul, Korea, 2020; pp. 1–162. [Google Scholar]
- Cho, M.; Choi, Y.-S.; Kim, H.-R.; Yoo, C.; Lee, S.-S. Cold-season atmospheric conditions associated with sudden changes in PM10 concentration over Seoul, Korea. Atmos. Pollut. Res. 2021, 12, 101041. [Google Scholar] [CrossRef]
- Ministry of Environment Website. Available online: https://www.me.go.kr/cleanair (accessed on 20 June 2021).
- Zhang, Y.; Zhang, R.; Ma, Q.; Wang, Y.; Wang, Q.; Huang, Z.; Huang, L. A feature selection and multi-model fusion-based approach of predicting air quality. ISA Trans. 2020, 100, 210–220. [Google Scholar] [CrossRef] [PubMed]
- Konovalov, I.; Beekmann, M.; Meleux, F.; Dutot, A.; Foret, G. Combining deterministic and statistical approaches for PM10 forecasting in Europe. Atmos. Environ. 2009, 43, 6425–6434. [Google Scholar] [CrossRef]
- Song, Y.; Qin, S.; Qu, J.; Liu, F. The forecasting research of early warning systems for atmospheric pollutants: A case in Yangtze River Delta region. Atmos. Environ. 2015, 118, 58–69. [Google Scholar] [CrossRef]
- Bozdağ, A.; Dokuz, Y.; Gökçek, Ö.B. Spatial prediction of PM10 concentration using machine learning algorithms in Ankara, Turkey. Environ. Pollut. 2020, 263, 114635. [Google Scholar] [CrossRef]
- Chen, G.; Li, S.; Knibbs, L.D.; Hamm, N.A.S.; Cao, W.; Li, T.; Guo, J.; Ren, H.; Abramson, M.J.; Guo, Y. A machine learning method to estimate PM2.5 concentrations across China with remote sensing, meteorological and land use information. Sci. Total Environ. 2018, 636, 52–60. [Google Scholar] [CrossRef]
- Chen, G.; Wang, Y.; Li, S.; Cao, W.; Ren, H.; Knibbs, L.; Abramson, M.J.; Guo, Y. Spatiotemporal patterns of PM10 concentrations over China during 2005–2016: A satellite-based estimation using the random forests approach. Environ. Pollut. 2018, 242, 605–613. [Google Scholar] [CrossRef] [PubMed]
- Di, Q.; Amini, H.; Shi, L.; Kloog, I.; Silvern, R.; Kelly, J.; Sabath, M.B.; Choirat, C.; Koutrakis, P.; Lyapustin, A.; et al. An ensemble-based model of PM2.5 concentration across the contiguous United States with high spatiotemporal resolution. Environ. Int. 2019, 130, 104909. [Google Scholar] [CrossRef] [PubMed]
- Guo, B.; Zhang, D.; Pei, L.; Su, Y.; Wang, X.; Bian, Y.; Zhang, D.; Yao, W.; Zhou, Z.; Guo, L. Estimating PM2.5 concentrations via random forest method using satellite, auxiliary, and ground-level station dataset at multiple temporal scales across China in 2017. Sci. Total Environ. 2021, 778, 146288. [Google Scholar] [CrossRef] [PubMed]
- Zhang, T.; He, W.; Zheng, H.; Cui, Y.; Song, H.; Fu, S. Satellite-based ground PM2.5 estimation using a gradient boosting decision tree. Chemosphere 2021, 268, 128801. [Google Scholar] [CrossRef] [PubMed]
- Yazdi, M.D.; Kuang, Z.; Dimakopoulou, K.; Barratt, B.; Suel, E.; Amini, H.; Lyapustin, A.; Katsouyanni, K.; Schwartz, J. Predicting Fine Particulate Matter (PM2.5) in the Greater London Area: An Ensemble Approach using Machine Learning Methods. Remote Sens. 2020, 12, 914. [Google Scholar] [CrossRef] [Green Version]
- Joharestani, M.Z.; Cao, C.; Ni, X.; Bashir, B.; Talebiesfandarani, S. PM2.5 Prediction Based on Random Forest, XGBoost, and Deep Learning Using Multisource Remote Sensing Data. Atmosphere 2019, 10, 373. [Google Scholar] [CrossRef] [Green Version]
- Li, Z.; Yim, S.H.-L.; Ho, K.-F. High temporal resolution prediction of street-level PM 2.5 and NOx concentrations using machine learning approach. J. Clean. Prod. 2020, 268, 121975. [Google Scholar] [CrossRef]
- Wei, J.; Li, Z.; Pinker, R.T.; Wang, J.; Sun, L.; Xue, W.; Li, R.; Cribb, M. Himawari-8-derived diurnal variations in ground-level PM2.5 pollution across China using the fast space-time Light Gradient Boosting Machine (LightGBM). Atmos. Chem. Phys. Discuss. 2021, 21, 7863–7880. [Google Scholar] [CrossRef]
- Zeng, Z.; Gui, K.; Wang, Z.; Luo, M.; Geng, H.; Ge, E.; An, J.; Song, X.; Ning, G.; Zhai, S.; et al. Estimating hourly surface PM2.5 concentrations across China from high-density meteorological observations by machine learning. Atmos. Res. 2021, 254, 105516. [Google Scholar] [CrossRef]
- Zhong, J.; Zhang, X.; Gui, K.; Wang, Y.; Che, H.; Shen, X.; Zhang, L.; Zhang, Y.; Sun, J.; Zhang, W. Robust prediction of hourly PM2.5 from meteorological data using LightGBM. Natl. Sci. Rev. 2021, 8, 1–12. [Google Scholar] [CrossRef]
- Korea Meteorological Administration. Meteorological Agency. Available online: https://data.kma.go.kr (accessed on 20 June 2021).
- Lee, B.-K.; Jun, N.-Y.; Lee, H.K. Comparison of particulate matter characteristics before, during, and after Asian dust events in Incheon and Ulsan, Korea. Atmos. Environ. 2004, 38, 1535–1545. [Google Scholar] [CrossRef]
- Kim, K.-H.; Kim, M.-Y. The effects of Asian Dust on particulate matter fractionation in Seoul, Korea during spring 2001. Chemosphere 2003, 51, 707–721. [Google Scholar] [CrossRef]
- Choi, H.; Lee, M.S. Atmospheric boundary layer influenced upon hourly PM10, PM2.5, PM1 concentrations and their correlations at Gangneung city before and after yellow dust transportation from Gobi Desert. J. Clim. Res. 2012, 7, 30–54. [Google Scholar]
- Choi, J.-E.; Lee, H.; Song, J. Forecasting daily PM10concentrations in Seoul using various data mining techniques. Commun. Stat. Appl. Methods 2018, 25, 199–215. [Google Scholar] [CrossRef] [Green Version]
- Statistics Korea. Korean Statistical Information Service. Available online: http://kostat.go.kr/ (accessed on 17 June 2021).
- Lim, C.C.; Kim, H.; Vilcassim, M.J.R.; Thurston, G.D.; Gordon, T.; Chen, L.C.; Lee, K.; Heimbinder, M.; Kim, S.-Y. Mapping urban air quality using mobile sampling with low-cost sensors and machine learning in Seoul, South Korea. Environ. Int. 2019, 131, 105022. [Google Scholar] [CrossRef] [PubMed]
- Kim, H.-S.; Huh, J.-B.; Hopke, P.K.; Holsen, T.M.; Yi, S.-M. Characteristics of the major chemical constituents of PM 2.5 and smog events in Seoul, Korea in 2003 and 2004. Atmos. Environ. 2007, 41, 6762–6770. [Google Scholar] [CrossRef]
- Lee, S.; Ho, C.-H.; Choi, Y.-S. High-PM10 concentration episodes in Seoul, Korea: Background sources and related meteorological conditions. Atmos. Environ. 2011, 45, 7240–7247. [Google Scholar] [CrossRef]
- Gyeonggi Research Institute. Estimating Social Costs of Air Pollutions and Developing Emission Control Strategies for Kyonggi-Do; Gyeonggi Research Institute: Suwon, Korea, 2003. [Google Scholar]
- Kim, K.-H.; Shon, Z.-H. Long-term changes in PM10 levels in urban air in relation with air quality control efforts. Atmos. Environ. 2011, 45, 3309–3317. [Google Scholar] [CrossRef]
- Korean Ministry of Environment. Annual Report of Ambient Air Quality in Korea; Korean Ministry of Environment: Seoul, Korea, 2009; p. 121. [Google Scholar]
- Lee, S.; Ho, C.-H.; Lee, Y.G.; Choi, H.-J.; Song, C.-K. Influence of transboundary air pollutants from China on the high-PM10 episode in Seoul, Korea for the period October 16–20, 2008. Atmos. Environ. 2013, 77, 430–439. [Google Scholar] [CrossRef]
- Korea Environment Corporation Website. Available online: https://airkorea.or.kr (accessed on 20 June 2021).
- Wang, J.; Li, P.; Ran, R.; Che, Y.; Zhou, Y. A Short-Term Photovoltaic Power Prediction Model Based on the Gradient Boost Decision Tree. Appl. Sci. 2018, 8, 689. [Google Scholar] [CrossRef] [Green Version]
- Luo, Z.; Huang, F.; Liu, H. PM2.5 concentration estimation using convolutional neural network and gradient boosting machine. J. Environ. Sci. 2020, 98, 85–93. [Google Scholar] [CrossRef]
- Chen, T.; Guestrin, C. Xgboost: A scalable tree boosting system. In Proceedings of the 22nd ACM SIGKDD International Conference on Knowledge Discovery and Data Mining, San Francisco, CA, USA, 13–17 August 2016; pp. 785–794. [Google Scholar]
- Gui, K.; Che, H.; Zeng, Z.; Wang, Y.; Zhai, S.; Wang, Z.; Luo, M.; Zhang, L.; Liao, T.; Zhao, H.; et al. Construction of a virtual PM2.5 observation network in China based on high-density surface meteorological observations using the Extreme Gradient Boosting model. Environ. Int. 2020, 141, 105801. [Google Scholar] [CrossRef]
- Ke, G.; Meng, Q.; Finley, T.; Wang, T.; Chen, W.; Ma, W.; Ye, Q.; Liu, T.Y. Lightgbm: A highly efficient gradient boosting decision tree. Adv. Neural Inf. Process. Syst. 2017, 30, 3146–3154. [Google Scholar]
- Yoo, S.-Y.; Kim, T.; Ham, S.; Choi, S.; Park, C.-R. Importance of Urban Green at Reduction of Particulate Matters in Sihwa Industrial Complex, Korea. Sustainability 2020, 12, 7647. [Google Scholar] [CrossRef]
- National Institute of Environmental Research. Analysis of Pollution Caused by Particulate Matter in the Metropolitan Area and Prediction Failures—Final Report; Ewha University-Industry Collaboration Foundation (EUICF): Seoul, Korea, 2007. [Google Scholar]
- Sharma, A.P.; Kim, K.-H.; Ahn, J.; Shon, Z.; Sohn, J.; Lee, J.; Ma, C.; Brown, R. Ambient particulate matter (PM10) concentrations in major urban areas of Korea during 1996–2010. Atmos. Pollut. Res. 2014, 5, 161–169. [Google Scholar] [CrossRef] [Green Version]
- Amini, H.; Taghavi, M.; Henderson, S.B.; Naddafi, K.; Nabizadeh, R.; Yunesian, M. Land use regression models to estimate the annual and seasonal spatial variability of sulfur dioxide and particulate matter in Tehran, Iran. Sci. Total Environ. 2014, 488–489, 343–353. [Google Scholar] [CrossRef]
- Shirmohammadi, F.; Sowlat, M.H.; Hasheminassab, S.; Saffari, A.; Ban-Weiss, G.; Sioutas, C. Emission rates of particle number, mass and black carbon by the Los Angeles International Airport (LAX) and its impact on air quality in Los Angeles. Atmos. Environ. 2017, 151, 82–93. [Google Scholar] [CrossRef]
- Hsu, H.-H.; Adamkiewicz, G.; Houseman, E.A.; Zarubiak, D.; Spengler, J.D.; Levy, J.I. Contributions of aircraft arrivals and departures to ultrafine particle counts near Los Angeles International Airport. Sci. Total Environ. 2013, 444, 347–355. [Google Scholar] [CrossRef] [PubMed]
- Broome, R.A.; Cope, M.E.; Goldsworthy, B.; Goldsworthy, L.; Emmerson, K.; Jegasothy, E.; Morgan, G. The mortality effect of ship-related fine particulate matter in the Sydney greater metropolitan region of NSW, Australia. Environ. Int. 2016, 87, 85–93. [Google Scholar] [CrossRef]






| Data Type | Factors | Abbreviation | Unit |
|---|---|---|---|
| Ground measured 1 | PM10 | PM10 | μg/m2 |
| Emission 1 | SO2 | SO2 | ppm |
| CO | CO | ppm | |
| O3 | O3 | ppm | |
| NO2 | NO2 | ppm | |
| Meteorology 2 | Temperature | Temp | °C |
| Rainfall | Rain | mm | |
| Relative humidity | Humi | % | |
| Wind speed | Wind_S | m/s | |
| Wind degree | Wind_D | Degree | |
| Yellow dust | Yellow | μg/m2 |
| Factors | GBM | XGBoost | LightGBM |
|---|---|---|---|
| SO2 | 5 | 9 | 10 |
| CO | 6 | 2 | 2 |
| O3 | 9 | 6 | 7 |
| NO2 | 4 | 3 | 4 |
| Temp | 2 | 5 | 5 |
| Rain | 10 | 10 | 3 |
| Humi | 7 | 4 | 6 |
| Wind_S | 8 | 8 | 9 |
| Wind_D | 3 | 7 | 8 |
| Yellow | 1 | 1 | 1 |
Publisher’s Note: MDPI stays neutral with regard to jurisdictional claims in published maps and institutional affiliations. |
© 2021 by the authors. Licensee MDPI, Basel, Switzerland. This article is an open access article distributed under the terms and conditions of the Creative Commons Attribution (CC BY) license (https://creativecommons.org/licenses/by/4.0/).
Share and Cite
Park, S.; Son, S.; Bae, J.; Lee, D.; Kim, J.-J.; Kim, J. Robust Spatiotemporal Estimation of PM Concentrations Using Boosting-Based Ensemble Models. Sustainability 2021, 13, 13782. https://doi.org/10.3390/su132413782
Park S, Son S, Bae J, Lee D, Kim J-J, Kim J. Robust Spatiotemporal Estimation of PM Concentrations Using Boosting-Based Ensemble Models. Sustainability. 2021; 13(24):13782. https://doi.org/10.3390/su132413782
Chicago/Turabian StylePark, Soyoung, Sanghun Son, Jaegu Bae, Doi Lee, Jae-Jin Kim, and Jinsoo Kim. 2021. "Robust Spatiotemporal Estimation of PM Concentrations Using Boosting-Based Ensemble Models" Sustainability 13, no. 24: 13782. https://doi.org/10.3390/su132413782
APA StylePark, S., Son, S., Bae, J., Lee, D., Kim, J.-J., & Kim, J. (2021). Robust Spatiotemporal Estimation of PM Concentrations Using Boosting-Based Ensemble Models. Sustainability, 13(24), 13782. https://doi.org/10.3390/su132413782

