Carbene Ligand-Doped Fe2O3 Composite for Rapid Removal of Multiple Dyes under Sunlight
Abstract
:1. Introduction
2. Materials and Methods
2.1. Preparation of Photocatalysts
2.1.1. Preparation of Ligands
2.1.2. Preparation of Composite Catalyst
2.1.3. Characterization
2.1.4. Photocatalytic Measurements
3. Results and Discussion
3.1. Structure and Characterization
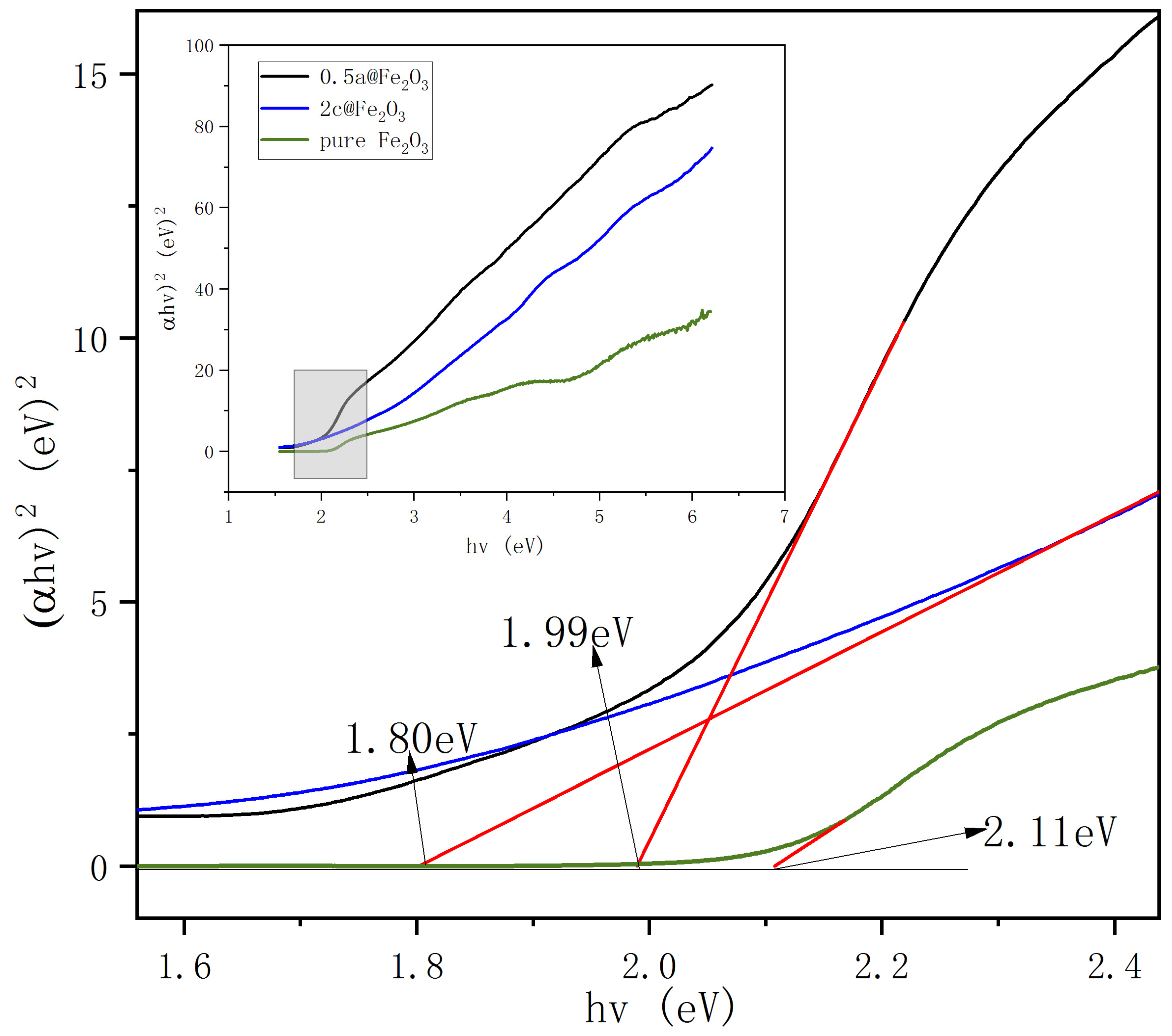
3.2. Photophysical Properties
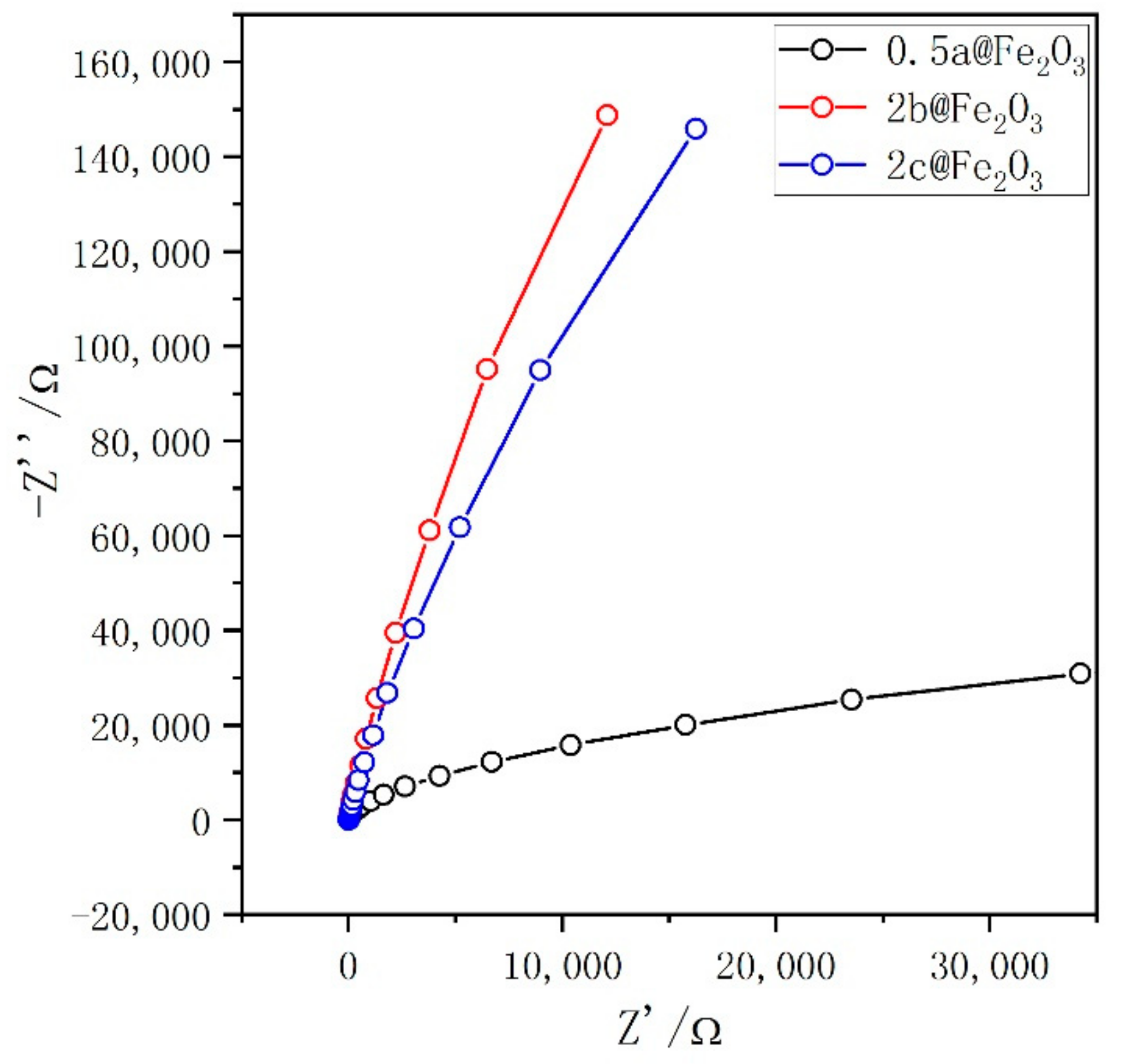
3.3. Photophysical Mechanism
3.4. Absorption Spectrum
3.5. Photocatalytic Degradation Performances
4. Conclusions
Author Contributions
Funding
Institutional Review Board Statement
Informed Consent Statement
Data Availability Statement
Acknowledgments
Conflicts of Interest
References
- Country Files for SDG 6.3.1 “Proportion of Wastewater Safely Treated”. Available online: https://www.who.int/water_sanitation_health/monitoring/coverage/wastewater-country-files/en/ (accessed on 18 January 2021).
- Ungureanu, N.; Vladut, V.; Voicu, G. Water Scarcity and Wastewater Reuse in Crop Irrigation. Sustainability 2020, 12, 9055. [Google Scholar] [CrossRef]
- Hung, Y.-T.; Aziz, H.A.; Ramli, S.F.; Paul, H.H.; Huhnke, C.R.; Adesanmi, B.M. Chemical waste and allied products. Water Environ. Res. 2020, 92, 1504–1509. [Google Scholar] [CrossRef] [PubMed]
- Sales, H.B.; Menezes, R.R.; Neves, G.A.; Souza, J.J.N.D.; Ferreira, J.M.; Chantelle, L.; Menezes de Oliveira, A.L.; Lira, H.D.L. Development of Sustainable Heterogeneous Catalysts for the Photocatalytic Treatment of Effluents. Sustainability 2020, 12, 7393. [Google Scholar] [CrossRef]
- World Health Organization International Agency for Research on Cancer Carcinogen List. Available online: http://www.sda.gov.cn/WS01/CL1991/215896.html (accessed on 3 January 2018).
- Diseases and Risks. Available online: https://www.who.int/water_sanitation_health/diseases-risks/en/ (accessed on 18 January 2021).
- Chan, M.K.; Abdullah, N.; Rageh, E.H.A.; Kumaran, P.; Tee, Y.S. Oxidation of ammonia using immobilised FeCu for water treatment. Sep. Purif. Technol. 2021, 254, 117612. [Google Scholar] [CrossRef]
- Roy, K.; Verma, K.; Vikrant, K.; Goswami, M.; Sonwani, R.; Rai, B.; Vellingiri, K.; Kim, K.-H.; Giri, B.; Singh, R. Removal of Patent Blue (V) Dye Using Indian Bael Shell Biochar: Characterization, Application and Kinetic Studies. Sustainability 2018, 10, 2669. [Google Scholar] [CrossRef] [Green Version]
- Kang, C.-W.; Kolya, H. Green Synthesis of Ag-Au Bimetallic Nanocomposites Using Waste Tea Leaves Extract for Degradation Congo Red and 4-Nitrophenol. Sustainability 2021, 13, 3318. [Google Scholar] [CrossRef]
- Albiss, B.; Abu-Dalo, M. Photocatalytic Degradation of Methylene Blue Using Zinc Oxide Nanorods Grown on Activated Carbon Fibers. Sustainability 2021, 13, 4729. [Google Scholar] [CrossRef]
- Tabana, L.; Tichapondwa, S.; Labuschagne, F.; Chirwa, E. Adsorption of Phenol from Wastewater Using Calcined Magnesium-Zinc-Aluminium Layered Double Hydroxide Clay. Sustainability 2020, 12, 4273. [Google Scholar] [CrossRef]
- Mirzapour, P.; Kamyab Moghadas, B.; Tamjidi, S.; Esmaeili, H. Activated carbon/bentonite/Fe3O4 nanocomposite for treatment of wastewater containing Reactive Red 198. Sep. Sci. Technol. 2020, 56, 2693–2707. [Google Scholar] [CrossRef]
- Blachnio, M.; Derylo-Marczewska, A.; Charmas, B.; Zienkiewicz-Strzalka, M.; Bogatyrov, V.; Galaburda, M. Activated Carbon from Agricultural Wastes for Adsorption of Organic Pollutants. Molecules 2020, 25, 5105. [Google Scholar] [CrossRef]
- Boontham, W.; Habaki, H.; Egashira, R. Removal of Phenol from Oil Mill Effluent Using Activated Carbon Prepared from Kernel Shell in Thailand’s Palm Industry. J. Chem. Eng. Jpn. 2020, 53, 682–688. [Google Scholar] [CrossRef]
- Jia, Y.; Ding, L.; Ren, P.; Zhong, M.; Ma, J.; Fan, X. Performances and Mechanism of Methyl Orange and Congo Red Adsorbed on the Magnetic Ion-Exchange Resin. J. Chem. Eng. Data 2020, 65, 725–736. [Google Scholar] [CrossRef]
- Rahdar, S.; Rahdar, A.; Ahmadi, S.; Mehdizadeh, Z.; Taghavi, M. Preparation, Physical Characterization and Adsorption Properties of Synthesized Co-Ni-Cr Nanocomposites for Highly Effective Removal of Nitrate: Isotherms, Kinetics and Thermodynamic Studies. Z. Phys. Chem. Int. J. Res. Phys. Chem. Chem. Phys. 2020, 234, 45–62. [Google Scholar] [CrossRef]
- Staudt, J.; Scheufele, F.B.; Ribeiro, C.; Sato, T.Y.; Canevesi, R.; Borba, C.E. Ciprofloxacin desorption from gel type ion exchange resin: Desorption modeling in batch system and fixed bed column. Sep. Purif. Technol. 2020, 230, 115857. [Google Scholar] [CrossRef]
- Wang, X.L.; An, W.L.; Tian, F.; Yang, Y.; Xu, H.X.; Wang, D.; Zhao, X.; Xu, P.-P.; Xu, S.; Wang, Y.Z. Fast microwave-assisted hydrolysis of unsaturated polyester resin into column packing for rapid purifying of dye wastewater. J. Hazard. Mater. 2020, 384, 121465. [Google Scholar] [CrossRef]
- Shamsollahi, Z.; Partovinia, A. Recent advances on pollutants removal by rice husk as a bio-based adsorbent: A critical review. J. Environ. Manage. 2019, 246, 314–323. [Google Scholar] [CrossRef] [PubMed]
- Arumugam, N.; Chelliapan, S.; Kamyab, H.; Thirugnana, S.; Othman, N.; Nasri, N.S. Treatment of Wastewater Using Seaweed: A Review. Int. J. Environ. Res. Public. Health 2018, 15, 2851. [Google Scholar] [CrossRef] [Green Version]
- Bhatia, D.; Sharma, N.R.; Singh, J.; Kanwar, R.S. Biological methods for textile dye removal from wastewater: A review. Crit. Rev. Environ. Sci. Technol. 2017, 47, 1836–1876. [Google Scholar] [CrossRef]
- Mishra, S.; Maiti, A. Applicability of enzymes produced from different biotic species for biodegradation of textile dyes. Clean Technol. Environ. Policy 2019, 21, 763–781. [Google Scholar] [CrossRef]
- Liao, Q.; Rong, H.; Zhao, M.; Luo, H.; Chu, Z.; Wang, R. Interaction between tetracycline and microorganisms during wastewater treatment: A review. Sci. Total Environ. 2021, 757, 143981. [Google Scholar] [CrossRef]
- Shindhal, T.; Rakholiya, P.; Varjani, S.; Pandey, A.; Ngo, H.H.; Guo, W.; Ng, H.Y.; Taherzadeh, M.J. A critical review on advances in the practices and perspectives for the treatment of dye industry wastewater. Bioengineered 2021, 12, 70–87. [Google Scholar] [CrossRef] [PubMed]
- Bui, D.N.; Minh, T.T. Investigation of TNT red wastewater treatment technology using the combination of advanced oxidation processes. Sci. Total Environ. 2021, 756, 143852. [Google Scholar] [CrossRef]
- Ozyurt, B.; Camcioglu, S.; Karatokus, T.; Yuksek, C.; Hapoglu, H. Treatment of sunflower oil industry wastewater by coagulation-flocculation and electro-Fenton methods. J. Fac. Eng. Archit. Gazi Univ. 2021, 36, 275–290. [Google Scholar]
- Ye, H.; Chen, L.; Kou, Y.; How, Z.T.; Chelme-Ayala, P.; Wang, Q.; An, Z.; Guo, S.; Chen, C.; Gamal El-Din, M. Influences of coagulation pretreatment on the characteristics of crude oil electric desalting wastewaters. Chemosphere 2021, 264, 128531. [Google Scholar] [CrossRef] [PubMed]
- Lima Beluci, N.d.C.; Pisano Mateus, G.A.; Miyashiro, C.S.; Homem, N.C.; Gomes, R.G.; Fagundes-Klen, M.R.; Bergamasco, R.; Salcedo Vieira, A.M. Hybrid treatment of coagulation/flocculation process followed by ultrafiltration in TiO2-modified membranes to improve the removal of reactive black 5 dye. Sci. Total Environ. 2019, 664, 222–229. [Google Scholar] [CrossRef]
- Qi, Y.; Guo, C.; Xu, X.; Gao, B.; Yue, Q.; Jiang, B.; Qian, Z.; Wang, C.; Zhang, Y. Co/Fe and Co/Al layered double oxides ozone catalyst for the deep degradation of aniline: Preparation, characterization and kinetic model. Sci. Total Environ. 2020, 715, 136982. [Google Scholar] [CrossRef] [PubMed]
- Reddy, C.V.; Reddy, I.N.; Ravindranadh, K.; Reddy, K.R.; Shetti, N.P.; Kim, D.; Shim, J.; Aminabhavi, T.M. Copper-doped ZrO2 nanoparticles as high-performance catalysts for efficient removal of toxic organic pollutants and stable solar water oxidation. J. Environ. Manage. 2020, 260, 110088. [Google Scholar] [CrossRef]
- Rueda-Marquez, J.J.; Levchuk, I.; Ibanez, P.F.; Sillanpaa, M. A critical review on application of photocatalysis for toxicity reduction of real wastewaters. J. Clean Prod. 2020, 258, 120694. [Google Scholar] [CrossRef]
- Wang, Y.; Wang, Y.; Yu, L.; Wang, R.; Zhang, X. Highly effective microwave-induced catalytic degradation of Bisphenol A in aqueous solution using double-perovskite intercalated montmorillonite nanocomposite. Chem. Eng. J. 2020, 390, 124550. [Google Scholar] [CrossRef]
- Feng, Z.; Zeng, L.; Zhang, Q.; Ge, S.; Zhao, X.; Lin, H.; He, Y. In situ preparation of g-C3N4/Bi4O5I2 complex and its elevated photoactivity in Methyl Orange degradation under visible light. J. Environ. Sci. 2020, 87, 149–162. [Google Scholar] [CrossRef]
- Jiang, L.; Yuan, X.; Zeng, G.; Liang, J.; Wu, Z.; Yu, H.; Mo, D.; Wang, H.; Xiao, Z.; Zhou, C. Nitrogen self-doped g-C3N4 nanosheets with tunable band structures for enhanced photocatalytic tetracycline degradation. J. Colloid Interface Sci. 2019, 536, 17–29. [Google Scholar] [CrossRef]
- Kilic, M.Y.; Abdelraheem, W.H.; He, X.; Kestioglu, K.; Dionysiou, D.D. Photochemical treatment of tyrosol, a model phenolic compound present in olive mill wastewater, by hydroxyl and sulfate radical-based advanced oxidation processes (AOPs). J. Hazard. Mater. 2019, 367, 734–742. [Google Scholar] [CrossRef]
- Ahmadi, M.; Motlagh, H.R.; Jaafarzadeh, N.; Mostoufi, A.; Saeedi, R.; Barzegar, G.; Jorfi, S. Enhanced photocatalytic degradation of tetracycline and real pharmaceutical wastewater using MWCNT/TiO2 nano-composite. J. Environ. Manag. 2017, 186, 55–63. [Google Scholar] [CrossRef]
- Natarajan, S.; Bajaj, H.C.; Tayade, R.J. Recent advances based on the synergetic effect of adsorption for removal of dyes from waste water using photocatalytic process. J. Environ. Sci. 2018, 65, 201–222. [Google Scholar] [CrossRef] [PubMed]
- Xia, Y.; Wang, G.; Guo, L.; Dai, Q.; Ma, X. Electrochemical oxidation of Acid Orange 7 azo dye using a PbO2 electrode: Parameter optimization, reaction mechanism and toxicity evaluation. Chemosphere 2020, 241, 125010. [Google Scholar] [CrossRef] [PubMed]
- Bian, X.; Xia, Y.; Zhan, T.; Wang, L.; Zhou, W.; Dai, Q.; Chen, J. Electrochemical removal of amoxicillin using a Cu doped PbO2 electrode: Electrode characterization, operational parameters optimization and degradation mechanism. Chemosphere 2019, 233, 762–770. [Google Scholar] [CrossRef]
- Li, X.; Tang, S.; Yuan, D.; Tang, J.; Zhang, C.; Li, N.; Rao, Y. Improved degradation of anthraquinone dye by electrochemical activation of PDS. Ecotoxicol. Environ. Saf. 2019, 177, 77–85. [Google Scholar] [CrossRef]
- Kaur, R.; Kaur, H. Solar Driven Photocatalysis—An Efficient Method for Removal of Pesticides from Water and Wastewater. Biointerface Res. Appl. Chem. 2021, 11, 9071–9084. [Google Scholar]
- Lebogang, L.; Bosigo, R.; Lefatshe, K.; Muiva, C. Ag3PO4/nanocellulose composite for effective sunlight driven photodegradation of organic dyes in wastewater. Mater. Chem. Phys. 2019, 236, 121756. [Google Scholar] [CrossRef]
- Hitam, C.N.C.; Jalil, A.A. A review on exploration of Fe2O3 photocatalyst towards degradation of dyes and organic contaminants. J. Environ. Manage. 2020, 258, 110050. [Google Scholar] [CrossRef] [PubMed]
- Gao, S.; Guo, C.; Hou, S.; Wan, L.; Wang, Q.; Lv, J.; Zhang, Y.; Gao, J.; Meng, W.; Xu, J. Photocatalytic removal of tetrabromobisphenol A by magnetically separable flower-like BiOBr/BiOI/Fe3O4 hybrid nanocomposites under visible-light irradiation. J. Hazard. Mater. 2017, 331, 1–12. [Google Scholar] [CrossRef]
- Li, B.; Meng, M.; Cui, Y.; Wu, Y.; Zhang, Y.; Dong, H.; Zhu, Z.; Feng, Y.; Wu, C. Changing conventional blending photocatalytic membranes (BPMs): Focus on improving photocatalytic performance of Fe3O4/g-C3N4/PVDF membranes through magnetically induced freezing casting method. Chem. Eng. J. 2019, 365, 405–414. [Google Scholar] [CrossRef]
- Wang, J.; Zhang, Q.; Deng, F.; Luo, X.; Dionysiou, D.D. Rapid toxicity elimination of organic pollutants by the photocatalysis of environment-friendly and magnetically recoverable step-scheme SnFe2O4/ZnFe2O4 nano-heterojunctions. Chem. Eng. J. 2020, 379, 122264. [Google Scholar] [CrossRef]
- Ismael, M. Enhanced photocatalytic hydrogen production and degradation of organic pollutants from Fe (III) doped TiO2 nanoparticles. J. Environ. Chem. Eng. 2020, 8, 103676. [Google Scholar] [CrossRef]
- Shah, N.S.; Khan, J.A.; Sayed, M.; Khan, Z.U.H.; Rizwan, A.D.; Muhammad, N.; Boczkaj, G.; Murtaza, B.; Imran, M.; Khan, H.M.; et al. Solar light driven degradation of norfloxacin using as-synthesized Bi3+ and Fe2+ co-doped ZnO with the addition of HSO5−: Toxicities and degradation pathways investigation. Chem. Eng. J. 2018, 351, 841–855. [Google Scholar] [CrossRef]
- Boruah, P.K.; Sharma, B.; Karbhal, I.; Shelke, M.V.; Das, M.R. Ammonia-modified graphene sheets decorated with magnetic Fe3O4 nanoparticles for the photocatalytic and photo-Fenton degradation of phenolic compounds under sunlight irradiation. J. Hazard. Mater. 2017, 325, 90–100. [Google Scholar] [CrossRef]
- Xu, T.; Ji, H.; Gu, Y.; Tong, T.; Xia, Y.; Zhang, L.; Zhao, D. Enhanced adsorption and photocatalytic degradation of perfluorooctanoic acid in water using iron (hydr)oxides/carbon sphere composite. Chem. Eng. J. 2020, 388, 124230. [Google Scholar] [CrossRef]
- Feng, X.; Guo, H.; Patel, K.; Zhou, H.; Lou, X. High performance, recoverable Fe3O4ZnO nanoparticles for enhanced photocatalytic degradation of phenol. Chem. Eng. J. 2014, 244, 327–334. [Google Scholar] [CrossRef]
- Rajabi, H.R.; Khani, O.; Shamsipur, M.; Vatanpour, V. High-performance pure and Fe3+-ion doped ZnS quantum dots as green nanophotocatalysts for the removal of malachite green under UV-light irradiation. J. Hazard. Mater. 2013, 250-251, 370–378. [Google Scholar] [CrossRef] [PubMed]
- Hassandoost, R.; Pouran, S.R.; Khataee, A.; Orooji, Y.; Joo, S.W. Hierarchically structured ternary heterojunctions based on Ce(3+)/ Ce(4+) modified Fe3O4 nanoparticles anchored onto graphene oxide sheets as magnetic visible-light-active photocatalysts for decontamination of oxytetracycline. J. Hazard. Mater. 2019, 376, 200–211. [Google Scholar] [CrossRef] [PubMed]
- Narouz, M.R.; Osten, K.M.; Unsworth, P.J.; Man, R.W.Y.; Salorinne, K.; Takano, S.; Tomihara, R.; Kaappa, S.; Malola, S.; Dinh, C.-T.; et al. N-heterocyclic carbene-functionalized magic-number gold nanoclusters. Nat. Chem. 2019, 11, 419–425. [Google Scholar] [CrossRef] [Green Version]
- Shen, D.; Xu, Y.; Shi, S.-L. A Bulky Chiral N-Heterocyclic Carbene Palladium Catalyst Enables Highly Enantioselective Suzuki-Miyaura Cross-Coupling Reactions for the Synthesis of Biaryl Atropisomers. J. Am. Chem. Soc. 2019, 141, 14938–14945. [Google Scholar] [CrossRef]
- Sau, S.C.; Hota, P.K.; Mandal, S.K.; Soleilhavoup, M.; Bertrand, G. Stable abnormal N-heterocyclic carbenes and their applications. Chem. Soc. Rev. 2020, 49, 1233–1252. [Google Scholar] [CrossRef]
- Doddi, A.; Peters, M.; Tamm, M. N-Heterocyclic Carbene Adducts of Main Group Elements and Their Use as Ligands in Transition Metal Chemistry. Chem. Rev. 2019, 119, 6994–7112. [Google Scholar] [CrossRef]
- Singha, S.; Patra, T.; Daniliuc, C.G.; Glorius, F. Highly Enantioselective 5+2 Annulations through Cooperative N-Heterocyclic Carbene (NHC) Organocatalysis and Palladium Catalysis. J. Am. Chem. Soc. 2018, 140, 3551–3554. [Google Scholar] [CrossRef]
- Janssen-Mueller, D.; Schlepphorst, C.; Glorius, F. Privileged chiral N-heterocyclic carbene ligands for asymmetric transition-metal catalysis. Chem. Soc. Rev. 2017, 46, 4845–4854. [Google Scholar] [CrossRef]
- Peris, E. Smart N-Heterocyclic Carbene Ligands in Catalysis. Chem. Rev. 2018, 118, 9988–10031. [Google Scholar] [CrossRef]
- Froese, R.D.J.; Lombard, C.; Pompeo, M.; Rucker, R.P.; Organ, M.G. Designing Pd N-Heterocyclic Carbene Complexes for High, Reactivity and Selectivity for Cross-Coupling Applications. Acc. Chem. Res. 2017, 50, 2244–2253. [Google Scholar] [CrossRef]
- Liang, Q.; Song, D. Iron N-heterocyclic carbene complexes in homogeneous catalysis. Chem. Soc. Rev. 2020, 49, 1209–1232. [Google Scholar] [CrossRef]
- Kim, I.; Im, H.; Lee, H.; Hong, S. N-Heterocyclic carbene-catalyzed deaminative cross-coupling of aldehydes with Katritzky pyridinium salts. Chem. Sci. 2020, 11, 3192–3197. [Google Scholar] [CrossRef] [Green Version]
- Jazzar, R.; Soleilhavoup, M.; Bertrand, G. Cyclic (Alkyl)- and (Aryl)-(amino)carbene Coinage Metal Complexes and Their Applications. Chem. Rev. 2020, 120, 4141–4168. [Google Scholar] [CrossRef] [PubMed]
- Li, G.; Zhou, T.; Poater, A.; Cavallo, L.; Nolan, S.P.; Szostak, M. Buchwald-Hartwig cross-coupling of amides (transamidation) by selective N-C(O) cleavage mediated by air- and moisture-stable Pd(NHC)(allyl)Cl precatalysts: Catalyst evaluation and mechanism. Catal. Sci. Technol. 2020, 10, 710–716. [Google Scholar] [CrossRef]
- Cao, Z.; Kim, D.; Hong, D.; Yu, Y.; Xu, J.; Lin, S.; Wen, X.; Nichols, E.M.; Jeong, K.; Reimer, J.A.; et al. A Molecular Surface Functionalization Approach to Tuning Nanoparticle Electrocatalysts for Carbon Dioxide Reduction. J. Am. Chem. Soc. 2016, 138, 8120–8125. [Google Scholar] [CrossRef] [Green Version]
- Zhuang, Y.; Qian, Y.; Tu, D.; Li, Y.; Liu, J.; Shen, L.; Wu, D. NHC-Stabilized Inverse Crown Ethers Featuring the μ4-Oxo [Mg4O] Core. Eur. J. Inorg. Chem. 2021, 2021, 3420. [Google Scholar] [CrossRef]
- Klaseboer, E.; Sun, Q.; Chan, D.Y.C. Nonsingular field-only surface integral equations for electromagnetic scattering. IEEE Trans. Antennas Propag. 2017, 65, 972–977. [Google Scholar] [CrossRef] [Green Version]
- Sun, Q.; Klaseboer, E.; Chan, D.Y.C. Robust multiscale field-only formulation of electromagnetic scattering. Phys. Rev. B 2017, 95, 045137. [Google Scholar] [CrossRef]
- Sun, Q.; Klaseboer, E.; Yuffa, A.J.; Chan, D.Y.C. Field-only surface integral equations: Scattering from a perfect electric conductor. J. Opt. Soc. Am. A Opt. Image Sci. Vis. 2020, 37, 276–283. [Google Scholar] [CrossRef] [PubMed] [Green Version]
- Sun, Q.; Klaseboer, E.; Yuffa, A.J.; Chan, D.Y.C. Field-only surface integral equations: Scattering from a dielectric body. J. Opt. Soc. Am. A Opt. Image Sci. Vis. 2020, 37, 284–293. [Google Scholar] [CrossRef] [PubMed] [Green Version]
- Querry, M.R. Optical Constants; Contractor Report; SAO/NASA Astrophysics Data System: Cambridge, MA, USA, 1985. [Google Scholar]
- Huang, Y.; Ning, L.; Feng, Z.; Ma, G.; Yang, S.; Su, Y.; Hong, Y.; Wang, H.; Peng, L.; Li, J. Graphitic carbon nitride nanosheets with low ON1-doping content as efficient photocatalysts for organic pollutant degradation. Environ. Sci. Nano 2021, 8, 460–469. [Google Scholar] [CrossRef]










| Entry | A/mg·L−1 | B | C | D/mg a |
|---|---|---|---|---|
| 1 | 5 | 0.5 | a | 1 |
| 2 | 10 | 1 | b | 4 |
| 3 | 20 | 2 | c | 7 |
| Factors | Degradation Rate in 1 h/% | |||||||
|---|---|---|---|---|---|---|---|---|
| Entry | A | B | C | D | RhB | CR | MB | IC |
| 1 | 1 | 1 | 1 | 1 | 66.7 | 14.9 | 55.6 | 78.7 |
| 2 | 1 | 2 | 2 | 2 | 83.8 | 21.1 | 67.9 | 54.1 |
| 3 | 1 | 3 | 3 | 3 | 100.0 | 99.0 | 97.5 | 67.6 |
| 4 | 2 | 1 | 2 | 3 | 68.0 | 54.8 | 82.9 | 88.9 |
| 5 | 2 | 2 | 3 | 1 | 97.8 | 94.7 | 98.9 | 27.5 |
| 6 | 2 | 3 | 1 | 2 | 89.1 | 90.9 | 96.6 | 93.1 |
| 7 | 3 | 1 | 3 | 2 | 98.9 | 99.5 | 100.0 | 99.6 |
| 8 | 3 | 2 | 1 | 3 | 43.9 | 11.8 | 84.3 | 92.0 |
| 9 | 3 | 3 | 2 | 1 | 47.0 | 97.8 | 76.4 | 43.6 |
| K/% | Dyes | A/mg·L−1 | B | C | D/mg |
|---|---|---|---|---|---|
| K1 | RhB | 83.5 | 77.9 | 66.6 | 70.5 |
| CR | 45.0 | 56.4 | 39.2 | 69.1 | |
| MB | 73.7 | 79.5 | 78.8 | 77.0 | |
| IC | 66.8 | 89.1 | 87.9 | 49.9 | |
| K2 | RhB | 85.0 | 75.2 | 66.3 | 90.6 |
| CR | 80.1 | 42.5 | 57.9 | 70.5 | |
| MB | 92.8 | 83.7 | 75.7 | 88.2 | |
| IC | 69.8 | 57.9 | 62.2 | 82.3 | |
| K3 | RhB | 63.3 | 78.7 | 98.9 | 70.6 |
| CR | 69.7 | 95.9 | 97.7 | 55.2 | |
| MB | 86.9 | 90.2 | 98.8 | 88.2 | |
| IC | 78.4 | 68.0 | 64.9 | 82.8 | |
| R | RhB | 20.2 | 3.5 | 32.6 | 20.1 |
| CR | 35.1 | 53.4 | 58.5 | 15.2 | |
| MB | 19.1 | 10.7 | 23.1 | 11.2 | |
| IC | 11.6 | 21.1 | 25.7 | 32.9 |
Publisher’s Note: MDPI stays neutral with regard to jurisdictional claims in published maps and institutional affiliations. |
© 2021 by the authors. Licensee MDPI, Basel, Switzerland. This article is an open access article distributed under the terms and conditions of the Creative Commons Attribution (CC BY) license (https://creativecommons.org/licenses/by/4.0/).
Share and Cite
Yang, S.; Zhuang, Y.; Shen, Y.; Han, W.; Chen, L.; Sun, Q.; Wu, D.; Zheng, H. Carbene Ligand-Doped Fe2O3 Composite for Rapid Removal of Multiple Dyes under Sunlight. Sustainability 2021, 13, 12669. https://doi.org/10.3390/su132212669
Yang S, Zhuang Y, Shen Y, Han W, Chen L, Sun Q, Wu D, Zheng H. Carbene Ligand-Doped Fe2O3 Composite for Rapid Removal of Multiple Dyes under Sunlight. Sustainability. 2021; 13(22):12669. https://doi.org/10.3390/su132212669
Chicago/Turabian StyleYang, Siwei, Yichao Zhuang, Yuanfang Shen, Weihang Han, Liangchen Chen, Qiang Sun, Di Wu, and Hui Zheng. 2021. "Carbene Ligand-Doped Fe2O3 Composite for Rapid Removal of Multiple Dyes under Sunlight" Sustainability 13, no. 22: 12669. https://doi.org/10.3390/su132212669
APA StyleYang, S., Zhuang, Y., Shen, Y., Han, W., Chen, L., Sun, Q., Wu, D., & Zheng, H. (2021). Carbene Ligand-Doped Fe2O3 Composite for Rapid Removal of Multiple Dyes under Sunlight. Sustainability, 13(22), 12669. https://doi.org/10.3390/su132212669

