Inflection Point of Green Total Factor Productivity by Low-Carbon Regulation from Chinese Economics Recovery
Abstract
:1. Introduction
2. Literature Review and Research Hypothesis
2.1. Green Innovation and Green Total Factor Productivity
2.2. Green Innovation and Green Investment
2.3. Mediating Role of Green Investment
2.4. Moderating Role of Low-Carbon Regulation Instruments
3. Materials and Methods
3.1. Econometric Models
3.2. Data and Variables
- (i)
- GTFP: the method of DEAP- Malmquist index is used to measure the enterprises’ environmental efficiency, the industrial GTFP, or agricultural GTFP [42]. Thus, we used the DEAP- Malmquist index to measure GTFP with the input of urban employment, fixed assets, energy consumption, and the output of regional GDP, carbon dioxide emission, and sulfur dioxide emission.
- (ii)
- Green innovation: drawing on the practices of Dong and Wang [43], we use the green patent code of the World Intellectual Property Organization by a search for the patent inquiry website of the China Intellectual Property Office. The green patent data of each city was obtained manually by searching the IPC classification code, and the address of the patent applicant can indicate the green innovation.
- (iii)
- Green investment: the enterprise goal of green investment is mainly aimed at controlling industrial pollution to improve environmental quality. Thus, the capital input of industrial pollution control in various regions is measured by the amount of completed investment of industrial pollution control in Chinese cities.
- (iv)
- Low-carbon regulation instruments: the low-carbon marketization index took the marketization index as the proxy variable which refers to the report of the marketization index of China’s provinces, and we adopt the trend analysis method to revise and convert the GDP ratio of cities compared to their provinces. Meanwhile, according to the method of reference [43], the low-carbon regulation intensity is measured by calculating the average of sulfur dioxide emission and dust emission composite index of each city.
- (v)
- Control variables: we mainly considered the green elements which affect the allocation efficiency. 1. Industrial convergence degree. As Jia and Zhang [33] considered that the regional green industry agglomeration is helpful to promote the overall green innovation level. Therefore, we use the entropy index method to calculate the industrial convergence degree to characterize the regional green agglomeration level; 2. Environmental quality. The research by Liao et al. [27] shows that green investment can improve environmental quality by reducing environmental pollution, such as carbon dioxide emission and sulfur dioxide emission. Therefore, we use sulfur dioxide emission to characterize the environmental quality. The lower the sulfur dioxide emission, the higher the environmental quality; 3. Capital structure. As the research of Chen and Feng [4] shows that environmental regulation has a more significant impact on the investment efficiency of green governance in non-state-owned enterprises. We use the method of gray relational grade to calculate the industrial capital structure with state-owned capital as a reference; 4. Human capital stock. The study of Zhou and Li [44] confirmed that human capital has a significant impact on high-tech innovation output. Therefore, the human capital stock was calculated by the number of urban workers and average years of schooling.
4. Results and Discussion
4.1. The Test Steps
4.2. Mediating Effect Test of Green Investment
4.3. Moderating Effect Test of Low-Carbon Regulation Instruments
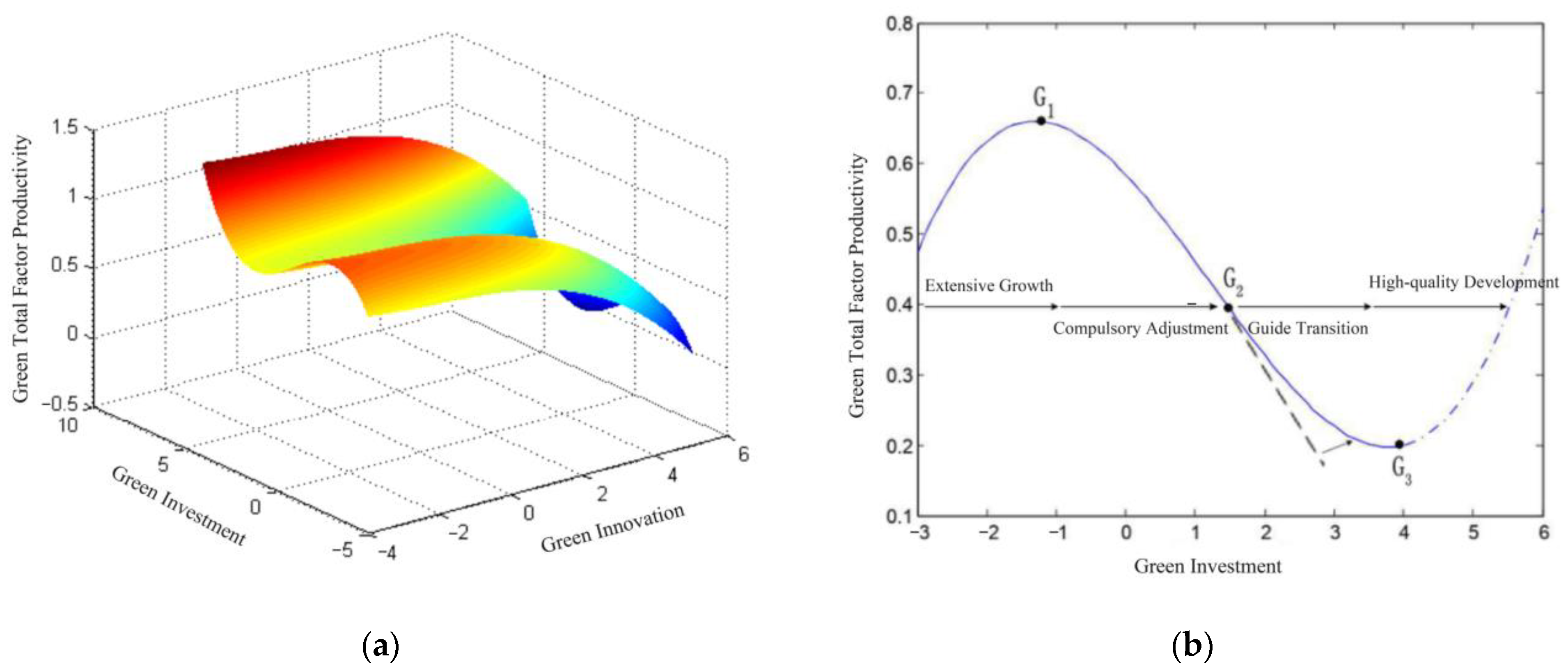
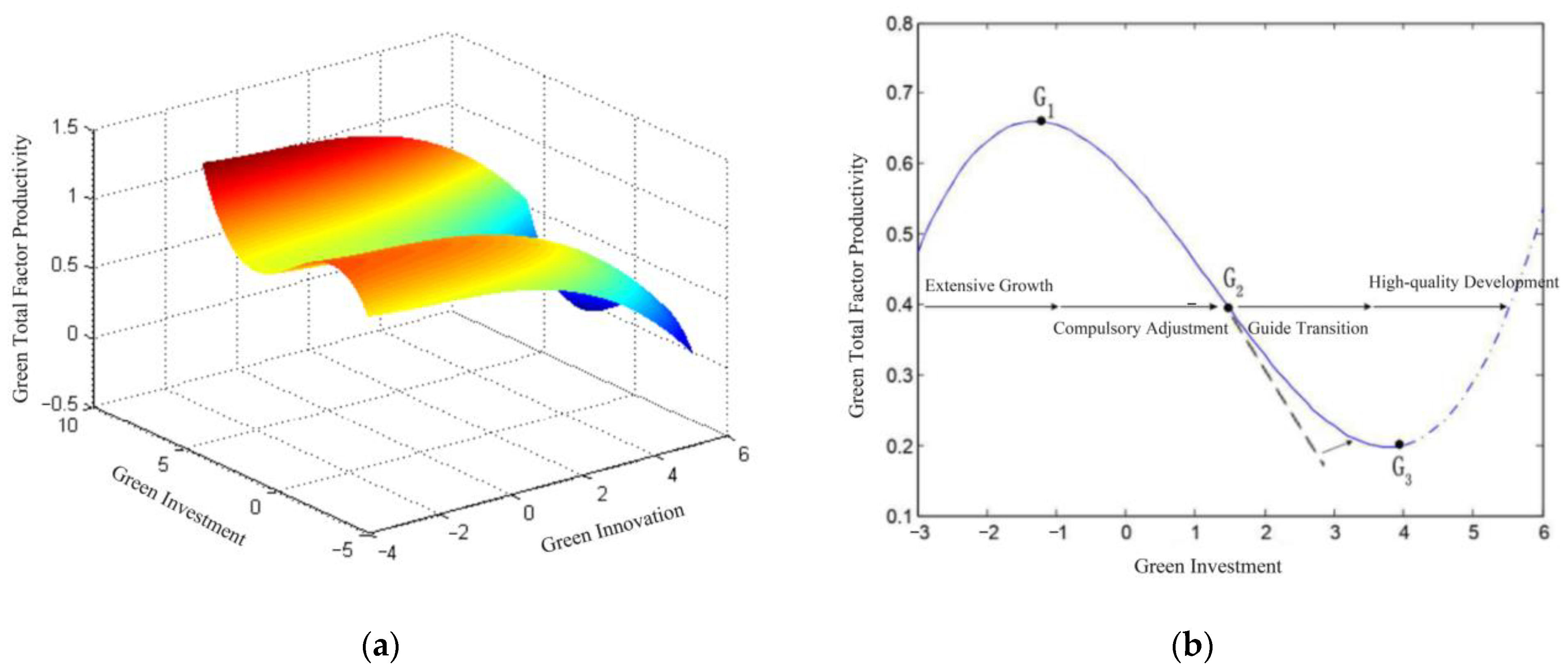
4.4. Discussion of the Growth Curve of Green Total Factor Productivity
5. Conclusions
Author Contributions
Funding
Institutional Review Board Statement
Informed Consent Statement
Data Availability Statement
Acknowledgments
Conflicts of Interest
References
- Yüksel, S.; Dinçer, H.; Karakuş, H.; Ubay, G.G. The negative effects of carbon emission on FDI: A comparative analysis between E7 and G7 countries. Handbook of Research on Sustainable Supply Chain Management for the Global Economy. IGI Global. 2020, 20–35. [Google Scholar] [CrossRef]
- Hu, Z.; Zhang, L.; Li, Y. Study on the effect of pollution charges to green total factor productivity: The impact evaluation of the policy based on generalized propensity score matching. Theory Pract. Financ. Econ. 2019, 6, 9–15. [Google Scholar]
- Ren, S.; Zheng, J.; Liu, D.; Chen, X. Does emissions trading system improve firm’s total factor productivity: Evidence from Chinese listed companies. China Ind. Econ. 2019, 5, 5–23. [Google Scholar]
- Chen, Y.; Feng, J. Do corporate green investments improve environmental performance? evidence from the perspective of efficiency. Account. Res. 2020, 40, 179–192. [Google Scholar] [CrossRef]
- Wang, J.; Liu, B. Environmental regulation and enterprises’ TFP: An empirical analysis based on China’ industrial enterprises data. China Ind. Econ. 2014, 3, 44–56. [Google Scholar]
- Tang, X.; Gu, B.; Kang, Z.; Zong, D. Environmental regulation and total factor productivity of Chinese enterprises: Based on “energy saving and carbon reduction” policy. R&D Manag. 2019, 3, 47–58. [Google Scholar]
- Liang, G.; Yu, D.; Ke, L. An empirical study on dynamic evolution of industrial structure and green economic growth: Based on data from China’s underdeveloped areas. Sustainability 2021, 13, 8154. [Google Scholar] [CrossRef]
- Blackman, A.; Lahiri, B.; Pizer, W.; Planter, M.R.; Pina, C.M. Voluntary environmental regulation in developing countries: Mexico’s clean industry program. J. Environ. Econ. Manag. 2010, 60, 182–192. [Google Scholar] [CrossRef]
- Porter, M.E. America’s green strategy. Sci. Am. 1991, 4, 168. [Google Scholar] [CrossRef]
- Porter, M.E.; Linde, C. Toward a new conception of the environment competitiveness relationship. J. Econ. Perspect. 1995, 9, 97–118. [Google Scholar] [CrossRef]
- Jaffe, A.B.; Palme, R.K. Environmental regulation and innovation: A panel data study. Rev. Econ. Stat. 1997, 79, 610–619. [Google Scholar] [CrossRef]
- Ambec, S.; Cohen, M.A.; Elgie, S.; Lanoie, P. The Porter hypothesis at 20: Can environmental regulation enhance innovation and competitiveness? Rev. Environ. Econ. Policy 2013, 7, 2–22. [Google Scholar] [CrossRef] [Green Version]
- Chai, B.; Gao, J.; Pan, L.; Chen, Y. Research on the impact factors ofgreen economy of China: From the perspective of system and foreign direct investment. Sustainability 2021, 13, 8741. [Google Scholar] [CrossRef]
- Zhao, J.; Dong, Z.; Hu, S. Factor matching and spatial difference of regional investment efficiency in China based on the decomposition of double-layer nested function. Stat. Res. 2019, 36, 100–113. [Google Scholar]
- Stoever, J.; Weche, J.P. Environmental regulation and sustainable competitiveness: Evaluating the role of firm level green investments in the context of the Porter hypothesis. Environ. Res. Econ. 2018, 2, 429–455. [Google Scholar] [CrossRef] [Green Version]
- Zhu, J. Technology absorption, government encouragement and China’s total factor productivity promotion. China Ind. Econ. 2017, 33, 5–24. [Google Scholar]
- Becker, M.C.; Knudsen, T.; Swedberg, R. Schumpeter’s theory of economic development: 100 years of development. J. Evol. Econ. 2012, 22, 917–933. [Google Scholar] [CrossRef]
- Wang, L.; Wang, H.; Dong, Z. Policy conditions for compatibility between economic growth and environmental quality: A test of policy bias effects from the perspective of the direction of environmental technological progress. Manag. World 2020, 3, 39–60. [Google Scholar]
- Qian, J.; Li, J. Does technological progress effectively promote the energy saving and CO2 emission reduction? Stud. Sci. Sci. 2018, 1, 49–59. [Google Scholar]
- Yuan, Y.; Chen, Z. Environmental regulation, green technology innovation and the transformation and upgrading of China’s manufacturing industry. J. Clean. Prod. 2019, 10, 1902–1911. [Google Scholar]
- Lanjouw, J.; Mody, A. Innovation and the international diffusion of environmentally responsive technology. Res. Policy 1996, 25, 549–571. [Google Scholar] [CrossRef]
- Zhang, X.; Wang, Y. Study on the effect of environmental regulation and R&D investment on green technology innovation. Sci. Technol. Prog. Policy 2017, 17, 111–119. [Google Scholar]
- Pei, Y.; Zhu, Y.; Liu, S.; Jia, J. Environmental regulation and carbon emission: The mediation effect of technical efficiency. J. Clean. Prod. 2019, 11, 117599. [Google Scholar] [CrossRef]
- Deng, L.; Liu, A. Environmental investment effect analysis: Based on the green total factor productivity perspective. Inq. Into Econ. Issues 2019, 8, 134–147. [Google Scholar]
- Guo, T.; Zhao, S. Green technology bank: Exploration from China. China Popul. Res. Environ. 2019, 12, 131–137. [Google Scholar]
- Zhao, M.; Liu, F.; Wang, H.; Sun, W. Foreign direct investment, environmental regulation and urban green total factor productivity of the Yellow river basin. Econ. Geogr. 2020, 4, 38–47. [Google Scholar]
- Liao, X.; Li, X.; Shi, X. Research on the influence mechanism of green investment on green welfare based on ecological civilization perspective. China Popul. Res. Environ. 2020, 2, 148–157. [Google Scholar]
- Wang, R. Dynamic correlation between environmental regulation and green technology innovation: Retesting based on “Porter hypothesis”. Sci. Technol. Manag. Res. 2020, 8, 243–250. [Google Scholar]
- Liu, Y.; Yang, X.; Huang, M. Environmental regulation and green total factor productivity: Analysis of the mediating effect based on different technological progress path. Contemp. Econ. Manag. 2020, 6, 1–17. [Google Scholar]
- Berman, E.; Bui, L. Environmental regulation and productivity: Evidence from oil refineries. Rev. Econ. Stat. 2001, 83, 498–510. [Google Scholar] [CrossRef] [Green Version]
- Yuan, B.; Xiang, Q. Environmental regulation, industrial innovation and green development of Chinese manufacturing: Based on an extended CDM model. J. Clean. Prod. 2018, 176, 895–908. [Google Scholar] [CrossRef]
- Cutter, B.; Deshazo, J.R. The environmental consequences of decentralizing the decision to decentralize. J. Environ. Econ. Manag. 2007, 53, 32–53. [Google Scholar] [CrossRef]
- Jia, J.; Zhang, W. The path dependency of green technology innovation and environmental regulation analysis. Sci. Sci. Manag. S 2014, 5, 44–52. [Google Scholar]
- Li, R. Does marketization improve the effectiveness of environmental regulation? Retest the “Porter hypothesis” based on the perspective of green technology innovation. J. Southwest Univ. Political Sci. Law 2020, 2, 125–139. [Google Scholar]
- Liu, H.; Yüksel, S.; Dinçer, H. Analyzing the criteria of efficient carbon capture and separation technologies for sustainable clean energy usage. Energies 2020, 10, 2592. [Google Scholar] [CrossRef]
- Xia, H.; Tan, Q.; Bai, J. Business environment, enterprise rent-seeking and market innovation: Evidence from the China enterprise survey. Econ. Res. J. 2019, 4, 84–98. [Google Scholar]
- Hulten, C.R.; Bennathan, E.; Srinivasan, S. Infrastructure, externalities, and economic development: A study of the Indian manufacturing industry. World Bank Econ. Rev. 2006, 2, 291–308. [Google Scholar] [CrossRef]
- Tao, C.; Zhou, X. A study of the threshold effects of environmental regulation, element agglomeration and total factor productivity. Contemp. Financ. Econ. 2015, 1, 10–22. [Google Scholar]
- Zhang, C.; Lu, Y.; Guo, L.; Yu, T. The intensity of environmental regulation and technological progress of production. Econ. Res. J. 2011, 2, 113–124. [Google Scholar]
- Tong, J.; Liu, W.; Xue, J. Environmental regulation, factor input structure and industrial transformation. Econ. Res. J. 2016, 7, 43–57. [Google Scholar]
- Wang, J.; Yang, L. Innovation elements, allocation efficiency and the performance of innovation in the Yangtze river delta region. Shanghai J. Econ. 2020, 1, 75–85. [Google Scholar]
- Peng, Y.; Chen, Z.; Lee, J. Dynamic convergence of green total factor productivity in Chinese cities. Sustainability 2020, 12, 4883. [Google Scholar] [CrossRef]
- Dong, Z.; Wang, H. Local-neighborhood effect of green technology of environmental regulation. China Ind. Econ. 2019, 1, 100–118. [Google Scholar]
- Zhou, M.; Li, Z. Research on innovative capacity of High-tech industry among provinces in China: Based on the view point of industry agglomeration. Sci. Res. Manag. 2011, 1, 15–21. [Google Scholar]
- Baron, R.M.; Kenny, D.A. The moderator-mediator variable distinction in social psychological research: Conceptual, strategic, and statistical considerations. J. Personal. Soc. Psychol. 1986, 6, 1173–1182. [Google Scholar] [CrossRef]
- Wen, Z.; Marsh, H.W.; Hau, K.T. Structural equation models of latent interactions: An appropriate standardized solution and its scale-free properties. Struct. Equ. Modeling 2010, 17, 1–22. [Google Scholar] [CrossRef]
- Richard, F.J.; Haans, R.; Pieters, C.; He, Z.L. Thinking about U: Theorizing and testing U- and inverted U-shaped relationships in strategy research. Strateg. Manag. J. 2016, 37, 1177–1195. [Google Scholar]
- Chen, C.; Lan, Q.; Gao, M.; Sun, Y. Green total factor productivity growth and its determinants in China’s industrial economy. Sustainability 2020, 12, 1052. [Google Scholar] [CrossRef] [Green Version]
- Campisi, D.; Mancuso, P.; Mastrodonato, S.L. Productivity dispersion in the Italian knowledge-intensive business services (KIBS) industry: A multilevel analysis. Manag. Decis. 2021. [Google Scholar] [CrossRef]


| Green Investment | GTFP | ||||||
|---|---|---|---|---|---|---|---|
| (1) | (2) | (3) | (4) | (5) | (6) | ||
| Control Variables | Industrial convergence degree | −9.080 *** | −6.618 *** | 0.249 | −0.314 | −0.394 * | −0.518 ** |
| (−17.30) | (−13.10) | (1.14) | (−1.47) | (−1.73) | (−2.35) | ||
| Capital structure | 0.405 *** | 0.162 *** | 0.005 | 0.061 *** | 0.041 *** | 0.070 *** | |
| (15.46) | (6.15) | (0.50) | (6.08) | (4.03) | (6.77) | ||
| Human capital stock | −0.080 *** | −0.059 *** | −0.002 | −0.007 | −0.007 | −0.008 | |
| (−5.71) | (−4.65) | (−0.37) | (−1.22) | (−1.14) | (−1.35) | ||
| Environmental quality | 0.350 *** | 0.320 *** | 0.007 | 0.013 | 0.023 ** | 0.016 * | |
| (13.48) | (12.51) | (0.82) | (1.53) | (2.41) | (1.79) | ||
| Independent Variables | Green innovation | 0.191 *** | −0.041 *** | −0.034 *** | |||
| (23.27) | (−12.09) | (−8.61) | |||||
| Square of green innovation | −0.003 ** | −0.001 | |||||
| (−2.35) | (−0.55) | ||||||
| Mediating Variables | Green investment | −0.063 *** | −0.029 *** | ||||
| (−7.24) | (−2.85) | ||||||
| Square of green investment | −0.020 *** | −0.018 *** | |||||
| (−4.52) | (−4.20) | ||||||
| time | Y | Y | Y | Y | Y | Y | |
| N | 2040 | 2040 | 2040 | 2040 | 2040 | 2040 | |
| VIF | 1.75 | 1.76 | 1.75 | 1.73 | 1.88 | 1.99 | |
| ∆R2 | 0.496 | 0.593 | 0.004 | 0.056 | 0.040 | 0.067 | |
| F | 120.609 | 170.795 | 1.580 | 11.363 | 7.372 | 11.326 | |
| Green Investment | GTFP | ||||||||
|---|---|---|---|---|---|---|---|---|---|
| (1) | (2) | (3) | (4) | (5) | (6) | (7) | (8) | ||
| Control Variables | Industrial convergence degree | −4.125 *** | −3.983 *** | 0.165 | −0.116 | 0.014 | −0.209 | 0.166 | −0.102 |
| (−8.07) | (−7.94) | (0.74) | (−0.52) | (0.06) | (−0.93) | (0.74) | (−0.46) | ||
| Capital structure | −0.094 *** | −0.060 ** | 0.002 | 0.005 | 0.013 | 0.016 | 0.005 | 0.007 | |
| (−3.28) | (−2.04) | (0.18) | (0.38) | (1.05) | (1.25) | (0.43) | (0.52) | ||
| Human capital stock | −0.067 *** | −0.070 *** | −0.008 | −0.010 * | −0.009 * | −0.012 ** | −0.008 | −0.010 * | |
| (−5.85) | (−6.24) | (−1.33) | (−1.68) | (−1.65) | (−2.02) | (−1.41) | (−1.75) | ||
| Environmental quality | 0.051 | 0.076 * | −0.066 *** | −0.058 *** | −0.073 *** | −0.066 *** | −0.068 *** | −0.060 *** | |
| (1.30) | (1.86) | (−4.05) | (−3.59) | (−4.49) | (−4.05) | (−4.25) | (−3.77) | ||
| Moderating Variables | Low-carbon marketization index | 1.154 *** | 1.243 *** | 0.008 | 0.078 | −0.004 | 0.059 | −0.005 | 0.064 |
| (12.05) | (13.50) | (0.17) | (1.54) | (−0.08) | (1.16) | (−0.10) | (1.25) | ||
| Low-carbon marketization intensity | 0.270 *** | 0.238 *** | 0.080 *** | 0.086 *** | 0.078 *** | 0.083 *** | 0.095 *** | 0.099 *** | |
| (9.51) | (8.05) | (6.33) | (6.42) | (6.10) | (6.13) | (7.19) | (7.03) | ||
| Interaction of low-carbon marketization index and low-carbon regulation intensity | −0.026 | −0.120 ** | −0.098 *** | −0.067 *** | 0.006 | 0.025 | −0.091 *** | −0.064 *** | |
| (−0.51) | (−2.27) | (−4.44) | (−2.79) | (0.26) | (1.02) | (−4.16) | (−2.70) | ||
| Independent Variables | Green innovation | 0.117 *** | 0.112 *** | −0.050 *** | −0.043 *** | −0.045 *** | −0.039 *** | −0.043 *** | −0.038 *** |
| (12.92) | (12.55) | (−12.26) | (−10.37) | (−11.25) | (−9.53) | (−9.89) | (−8.57) | ||
| Square of green innovation | −0.008 *** | −0.007 *** | −0.000 | 0.001 | −0.007 *** | −0.006 *** | |||
| (−5.48) | (−4.89) | (−0.19) | (0.36) | (−4.35) | (−4.00) | ||||
| Interaction of green innovation and low-carbon regulation intensity | 0.024 *** | 0.015 *** | 0.017 *** | 0.015 *** | 0.017 *** | ||||
| (4.95) | (5.44) | (6.35) | (5.56) | (6.42) | |||||
| Interaction of green innovation and low-carbon marketization index | 0.253 *** | −0.093 *** | −0.081 *** | ||||||
| (7.71) | (−5.31) | (−4.68) | |||||||
| Interaction of square of green innovation and low-carbon regulation intensity | −0.003 *** | −0.002 *** | |||||||
| (−3.78) | (−2.98) | ||||||||
| Mediating Variables | Green investment | −0.052 *** | −0.044 *** | −0.050 *** | |||||
| (−4.78) | (−3.99) | (−4.63) | |||||||
| Square of green investment | −0.017 *** | −0.012 ** | −0.016 *** | ||||||
| (−3.40) | (−2.32) | (−3.04) | |||||||
| time | Y | Y | Y | Y | Y | Y | Y | Y | |
| N | 2040 | 2040 | 2040 | 2040 | 2040 | 2040 | 2040 | 2040 | |
| VIF | 2.53 | 2.54 | 2.54 | 2.61 | 2.54 | 2.61 | 2.63 | 2.69 | |
| ∆R2 | 0.653 | 0.658 | 0.083 | 0.100 | 0.082 | 0.092 | 0.088 | 0.103 | |
| F | 215.245 | 211.117 | 13.518 | 15.348 | 12.830 | 13.675 | 13.770 | 14.981 | |
| Green Investment | GTFP | ||||||
|---|---|---|---|---|---|---|---|
| (1) | (2) | (3) | (4) | (5) | (6) | ||
| Moderating Variables | Low-carbon marketization index | 1.236 *** | 0.025 | 0.091 * | 0.030 | 0.007 | −0.009 |
| (12.90) | (0.50) | (1.75) | (0.60) | (0.13) | (−0.17) | ||
| Low-carbon regulation intensity | 0.265 *** | 0.072 *** | 0.078 *** | 0.081 *** | 0.080 *** | 0.081 *** | |
| (9.30) | (5.57) | (5.74) | (5.92) | (5.76) | (5.93) | ||
| Interaction of low-carbon marketization index and low-carbon regulation intensity | 0.077 | −0.053 *** | −0.024 | 0.041 * | −0.010 | 0.044 * | |
| (1.62) | (−2.67) | (−1.06) | (1.67) | (−0.28) | (1.81) | ||
| Independent Variables | Green innovation | 0.114 *** | −0.048 *** | −0.041 *** | −0.039 *** | −0.041 *** | −0.039 *** |
| (12.65) | (−11.94) | (−10.02) | (−9.36) | (−9.63) | (−9.29) | ||
| Square of green innovation | −0.004 *** | −0.002 * | −0.002 * | −0.004 *** | −0.003 * | ||
| (−2.85) | (−1.78) | (−1.77) | (−2.92) | (−1.95) | |||
| Mediating Variables | Green investment | −0.050 *** | −0.038 *** | −0.043 *** | −0.051 *** | ||
| (−4.50) | (−3.53) | (−3.97) | (−4.35) | ||||
| Square of green investment | −0.013 ** | 0.004 | −0.018 * | −0.003 | |||
| (−2.52) | (0.56) | (−1.92) | (−0.43) | ||||
| Interactive Term | Interaction of green investment and low-carbon marketization index | −0.198 *** | −0.145 *** | −0.179 *** | |||
| (−4.72) | (−2.80) | (−4.27) | |||||
| Interaction of green investment and low-carbon regulation intensity | 0.024 *** | ||||||
| (3.18) | |||||||
| Interaction of green investment, low-carbon regulation intensity, and low-carbon marketization index | 0.041 *** | ||||||
| (3.11) | |||||||
| Interaction of square of green investment and low-carbon marketization index | 0.043 *** | ||||||
| (2.85) | |||||||
| Controls | Y | Y | Y | Y | Y | Y | |
| time | Y | Y | Y | Y | Y | Y | |
| N | 2040 | 2040 | 2040 | 2040 | 2040 | 2040 | |
| VIF | 2.56 | 2.52 | 2.59 | 2.72 | 2.88 | 2.78 | |
| ∆R2 | 0.649 | 0.071 | 0.084 | 0.093 | 0.102 | 0.096 | |
| F | 218.593 | 12.048 | 13.186 | 13.925 | 15.926 | 14.224 | |
Publisher’s Note: MDPI stays neutral with regard to jurisdictional claims in published maps and institutional affiliations. |
© 2021 by the authors. Licensee MDPI, Basel, Switzerland. This article is an open access article distributed under the terms and conditions of the Creative Commons Attribution (CC BY) license (https://creativecommons.org/licenses/by/4.0/).
Share and Cite
Ding, Y.; Hu, Y. Inflection Point of Green Total Factor Productivity by Low-Carbon Regulation from Chinese Economics Recovery. Sustainability 2021, 13, 12382. https://doi.org/10.3390/su132212382
Ding Y, Hu Y. Inflection Point of Green Total Factor Productivity by Low-Carbon Regulation from Chinese Economics Recovery. Sustainability. 2021; 13(22):12382. https://doi.org/10.3390/su132212382
Chicago/Turabian StyleDing, Youqiang, and Yufeng Hu. 2021. "Inflection Point of Green Total Factor Productivity by Low-Carbon Regulation from Chinese Economics Recovery" Sustainability 13, no. 22: 12382. https://doi.org/10.3390/su132212382
APA StyleDing, Y., & Hu, Y. (2021). Inflection Point of Green Total Factor Productivity by Low-Carbon Regulation from Chinese Economics Recovery. Sustainability, 13(22), 12382. https://doi.org/10.3390/su132212382

