Abstract
Prediction models were developed to estimate the extent to which the metals Cd, Co, Cr, Cu, Fe, Mn, Ni, Pb, and Zn were taken up by the fruits, the leaves, the stems, and the roots of the okra plant, Abelmoschus esculentus (L.) Moench., grown under greenhouse conditions in soil modified with a spectrum of sewage sludge concentrations: 0, 10, 20, 30, 40, and 50 g/kg. All the metals under investigation, apart from Cd, were more concentrated in the A. esculentus roots than in any other organ. Overall, the sum of the metal concentration (mg/kg) within the varying plant tissues can be ranked in the following order: roots (13,795.5) > leaves (1252.7) > fruits (489.3) > stems (469.6). For five of the metals (i.e., Cd, Co, Fe, Mn, and Pb), the BCF was <1; for the remaining four metals, the BCF was >1, (i.e., Cr, 1.074; Cu, 1.347; Ni, 1.576; and Zn, 1.031). The metal BCFs were negatively correlated with the pH of the soil and positively correlated with soil OM content. The above-ground tissues exhibited a TF < 1 for all metals, apart from Cd with respect to the leaves (2.003) and the fruits (2.489), and with the exception of Mn in relation to the leaves (1.149). Further positive associations were demonstrated for the concentrations of all the metals in each examined plant tissue and the corresponding soil metal concentration. The tissue uptakes of the nine metals were negatively correlated with soil pH, but positively associated with the OM content in the soil. The generated models showed high performance accuracy; students’ t-tests indicated that any differences between the measured and forecasted concentrations of the nine metals within the four tissue types of A. esculentus failed to reach significance. It can, therefore, be surmised that the prediction models described in the current research form a feasible method with which to determine the safety and risk to human health when cultivating the tested species in soils modified with sewage sludge.
1. Introduction
The technical implications involved in the proper disposal of modern municipal wastes have made it essential to develop alternative waste management approaches that reduce the environmental impacts resulting from improper disposal [1]. Metropolitan waste materials such as bio-solids (e.g., sewage sludge) contain high concentrations of key nutrients for crops including trace elements as well as micro and macro-nutrients. These have the potential to enrich growing media and thus reduce the requirement for chemical fertilisation. Nevertheless, a notable disadvantage in the use of bio-solids is the risk that they may contain toxic metals, which restrict their agricultural applications [1].
Metals are a particular group of elements that, unlike organic pollutants, cannot be degraded through biological processes [2]. Increased attention has been focused on metals due to their harmful negative effects on the environment [3]. Usually, the most important avenues of exposure are the consumption of contaminated foods, the inhalation of suspended air particles, the direct ingestion of soil, and the consumption of contaminated drinking water [4,5]. Metal contamination may originate from both natural geochemical processes (e.g., weathering of ultramafic rocks) and anthropogenic sources [6]. Direct anthropogenic sources of metals affecting the environment are fertilizers, pesticides, mining, electroplating, industrial effluents, sewage sludge, and atmospheric deposition [7].
In Abelmoschus esculentus (L.) Moench. (i.e., the okra plant), the accumulation of Cd has had an adverse impact on its biological and biochemical properties, cultivation, and harvest [8], thus implying that A. esculentus is not an appropriate species to be grown in soil containing significant Cd levels. It was subsequently demonstrated that a combination of Cd and Zn enhanced Zn accretion but diminished Cd uptake in the plant’s roots, stems, and leaves. It was concluded that the two metals demonstrated antagonistic actions when utilised together, leading to a lower absorption of Cd. Srivastava et al. [9] proposed that MSWVC has potential as an organic additive to soil, as evidenced by a high harvest rate and the antioxidative reaction of A. esculentus at varying MSWVC proportions of up to 60% concentration. If MSWVC were employed in the agricultural sector, it could mediate the negative impact of the increase in organic solid waste. One study reported that A. esculentus plants were found to have the following metal concentrations (mg/kg): Mo, 7.0–9.3; Fe, 39.7–44.1; Cu, 11.8–19.8; Zn, 28.2–37.1; Ni, 6.1–9.3; Pb, 4.9–7.1; Cd, 3.4–4.2; and Co, 0.1–0.3 [10]. These concentrations were under the maximum of permitted metal levels in plant specimens, with the exceptions of Mo and Cd. Using wastewater for irrigation heightened the fertile properties of the soil, and only a fraction of the metals contained in the wastewater accumulated in the plants’ tissues [11]. A further study noted that the deployment of 100% distillery effluent for irrigation elevated Zn, Cu, Cd, Ni, and Cr levels, but diminished the number of soil microorganisms, i.e., bacteria, fungi, and actinomycetes [12]. In the soil and in A. esculentus, the metal concentrations were ranked Ni > Cr > Cd > Zn > Cu and Ni > Cr > Cu > Cd > Zn, respectively. The metal concentrations (in mg/kg) were all under the recommended permissible limit (for plants, Cd: 0.2–1.5, Ni: 1.5–10, Cu: 40, and Zn: 50–100; for soil: Cd: 0.06–6, Ni: 30–150, Cr: 100, and Zn: 50–600) [12].
To reduce the toxic effects of metal and their translocation to food chains, it is important to estimate the impact of soil variables on the bioavailability and uptake of metals by plants [13]. The simple estimation of the BCF can serve as a rough insight into the range of metal uptake, but it does not reflect more detailed site-specific conditions of the soil [14]. Valuable mathematical approaches and regression models can be applied to forecast specific dependent variables (e.g., metal concentrations within plant tissues) using variables independent of the soil (e.g., metal concentration, pH, and OM content) [13,15,16,17]. Once generated, such models can be employed to determine the impact of sewage sludge use with respect to crops such as A. esculentus. To date, no regression models for the absorption of metals by A. esculentus grown in soil modified with sewage sludge have been established. Thus, the present study aims to establish mathematical regression models that include specific soil parameters as explanatory independent variables (i.e., metals, pH, and OM content) to predict the concentration of the most common metals (Cd, Co, Cr, Cu, Fe, Mn, Ni, Pb, and Zn [18]) in the four tissues of A. esculentus (i.e., fruit, leaf, stem, and root) cultivated in soils amended with different proportions of sewage sludge. It is predicted that these models may improve the assessment of the hazards associated with the use of sewage sludge for crops and assist investigations into the safety of growing A. esculentus in soil fortified with this waste product.
2. Materials and Methods
2.1. Study Species
A. esculentus (a member of the Malvaceae family) originated in the paleotropical regions, but has become native to numerous temperate geographical locations. Colloquial labels for this plant include bamia, okra, gumbo, and “lady’s finger”. An annual vegetable and herb, this species grows up to 2 metres in height, and the plant can be smooth, hairy, or prickly, with thick stems. The leaves are approximately 20 cm in size, variably subdivided into 5–7 lobes, which again can be smooth, covered in rigid hairs overlying the veins, or with tooth-like projections, as well as with petioles of up to 10 cm in dimension. There are single flowers in the upper axils on thick pedicles of between 1 and 3 cm in length. There are 8–12 epicalyx portions of approximately 2.5 cm in size, which are linear, hairy, and of an early deciduous nature. The calyx and corolla measure 1.5–2.5 cm and 4–8 cm, respectively, and are coloured from white to vivid yellow, as well as purple or crimson at the inferior portion. The capsule has a dimension of 5–20 cm and is bristly and fleshy until baked for consumption, at which point it becomes smooth and fibrous. The seeds are 3–6 mm in size, subglobose, and vary from smooth to downy or hairy [19].
In lowland tropical regions, A. esculentus is grown for its unripe fruits; following the initial yield, it is often cut back to promote at least one additional harvest. It can withstand a wide spectrum of soil conditions, and a pH of between 5.5 and 8.0. However, it prefers an open, well-draining loam to which manure is added in winter, and a pH of between 6.0 and 6.7. High-quality A. esculentus pods may be effectively produced when planted in soils with high fertility, such as those treated with sewage sludge [20]. MSWVC showed a positive effect on biochemical, physiological, and yield responses of A. esculentus when grown in amended soils with up to 60% MSWVC. It is prone to attack by red spider mites and glasshouse whiteflies when grown under greenhouse conditions. In North America, corn earworm and green stinking cabbage worm are troublesome pests for its cultivation. In addition, A. esculentus is vulnerable to a number of fungal pathogens such as leaf spot (Cercospora abelmoschi), leaf and pod spot (Ascochyta abelmoschi), powdery mildew (Leveillula taurica), and verticillium wilt (Verticillium albo-atrum) [19].
2.2. Experimental Design
A. esculentus seeds (Clemson Spineless, West Hills Seeds, Sutter, CA, USA) were procured from the district market in Abha City. The experimental growing medium was cultivated field soil (coarse sandy loam; Typic Torriorthents [21]) acquired from between 0 and 20 cm below the ground surface from de novo reclaimed adjacent sites (latitude, 18.2434; longitude, 42.5661). Abha City Municipal Wastewater Treatment Plant (latitude, 18.2331; longitude, 42.5212) was the source of the sewage sludge. The field soil and sewage sludge underwent air-drying for 14 days prior to being pulverised and passed through a 2 mm sieve. Cultivation was conducted in a greenhouse sited at the Biology Department, King Khalid University. The sewage sludge was combined with aliquots of field soil at concentrations of 0 (control), 10, 20, 30, 40, and 50 g/kg. These were comparable to 0, 30, 60, 90, 120, and 150 t/ha, respectively, and founded in the pilot data. A total of 4 kg of the chosen intervention was placed in 6 plastic pots, each 6 litres in volume, together with 10 A. esculentus seeds. The pots were then set out in a randomised format. Greenhouse cultivation started on 10 February 2018 and was ongoing for 62 days under a natural diurnal cycle (Figure 1). Each pot was hydrated to 40–50% with tap water irrigation. Weeds were removed by hand, as required. The plants were thinned by hand to one plant per pot after 2 weeks.
Figure 1.
Flowchart represents the experimental design and sample analysis.
2.3. Sample Analysis
Harvest of all plants was performed on 12 April 2018. The plants were rinsed, first in running water and then in deionised water. The tissues were segregated into roots, stems, leaves, and fruits, and desiccated at a temperature of 60 °C for 7 days; a plastic mill (Philips HR2221/01, Philips, Shanghai, China) was then utilised for pulverising. The samples were stored until required for analysis. Soil samples from each treatment were gathered at experiment completion and then air dried for 14 days, pulverised, and then passed through a 2 mm sieve. Specimens of soil from each intervention, together with sewage sludge and field soil samples, were analysed to determine their OM contents (%); this was achieved with a loss-on-ignition technique at a temperature of 550 °C for 120 min [22]. Soil OM content is the organic matter component of soil, consisting of plant and animal detritus at various stages of decomposition, cells and tissues of soil microbes, and substances that soil microbes synthesize [22]. Soil–water (1:5) extracts were utilised to assess pH [23].
In order to gauge the concentrations of the nine metals under investigation (i.e., Cd, Co, Cr, Cu, Fe, Mn, Ni, Pb, and Zn), a tri-acid mix (HNO3–H2SO4–HClO4, 5:1:1, v/v/v) digestion technique was applied to 0.5–1.0 g of the individual soil, sewage sludge, field soil and plant specimens with the use of a microwave sample preparation system (Perkin Elmer Titan MPS, Perkin Elmer Inc., Waltham, MA, USA). Inductively coupled plasma optical emission spectrometry (Thermo Scientific iCAP 7000 Plus Series; Thermo Fisher Scientific, Waltham, MA, USA) was used to establish the respective metal concentrations. After each ten samples, blanks and quality control standards were measured to identify any impurities or drift. The lower levels of detection (µg/L) for the nine metals were Ni, 6.0; Co, Cr, and Cu, 2.0; Fe, Pb, and Zn,1.0; Mn, 0.3; and Cd, 0.1. All apparatus parameters and working properties were in accordance with the vendor’s recommendations. System calibration was performed using standard solutions composed of predetermined metal concentrations [23].
2.4. Quality Assurance and Control
The precision of the chemical analysis methodology was ascertained utilising a certified reference material, i.e., SRM 1573a, tomato leaves. The same techniques used for A. esculentus samples were applied to this material for digestion and analysis. The metal digestions and assays were conducted thrice. The measured concentrations and those of the certified reference were contrasted to establish accuracy; the outcome was given as a percentage. The spectrum of recovery rates was 93.8–106.8%.
2.5. Data Analysis
To assess the potential of A. esculentus to accumulate metals in its root system and to convey those metals from the roots to the above-ground plant parts (i.e., stems, leaves, and fruits), the BCF and TF were computed following the method by Eid and Shaltout [24] as outlined below, where:
- BCF = Metal concentration in the root (mg/kg)/Metal concentration in the soil (mg/kg);
- TFstem = Metal concentration in the stem (mg/kg)/Metal concentration in the root (mg/kg);
- TFleaf = Metal concentration in the leaf (mg/kg)/Metal concentration in the root (mg/kg);
- TFfruit = Metal concentration in the fruit (mg/kg)/Metal concentration in the root (mg/kg).
Any association between BCF and soil pH or BCF and OM content was evaluated using the Pearson simple linear correlation coefficient (r). The r value was also computed to identify any correlations between the soil variables (i.e., soil pH, metal concentrations, and OM content) and the metals in the plant tissues.
A total of 12 data sets were randomly selected for the fruits, leaves, stems, and roots for the validation. The remaining 24 data sets were utilised to generate the regression models to extrapolate the metal concentrations in the plant tissues and were deemed to be the dependent variable for the various soil elements. The independent variables included the Cd, Co, Cr, Cu, Fe, Mn, Ni, Pb, and Zn concentrations individually, as well as pH and OM content, and formed the main elements utilised to define the metal concentrations within the plants [16,25]. The overall formula for the model was:
where Cplant and Csoil represent the plant and soil metal concentration, respectively, OM is the OM content percentage of the soil, and a, b, c, and d are regression coefficients.
Cplant = a + (b × Csoil) + (c × pH) + (d × OM)
The model’s quality was appraised by calculating ME, MNAE, R2, and MNB [26] as indicated by the following equations [16]:
where Cmodel, Cmeasured, and Cmean indicate the metal concentration determined by the model, the concentration actually measured, and the average concentration, respectively, and n represents the observation number.
ME = 1 − {∑ (Cmodel − Cmeasured)2/∑(Cmeasured − Cmean)2}
MNAE = {∑ (|Cmodel − Cmeasured|/Cmeasured)}/n
MNB = ∑ (Cmodel − Cmeasured)/∑Cmeasured
Students’ t-tests were utilised to identify any disparities between the predicted and assayed metal concentrations for each tissue type. Associations between ME and the measurements of model quality (i.e., R2, MNAE, and MNB) were appraised using the Pearson simple linear correlation coefficient (r). The Statistical Package for the Social Sciences software, version 15.0 [27], was utilised for all data analysis.
3. Results
The highest pH noted in the field soil was 8.7. This soil also contained the greatest concentrations (mg/kg) of Cd, 2.9; Co, 35.5; Fe, 42.4 × 103; and Mn, 677.3. The EC and the OM content were higher in the sewage sludge, 14 mS/cm and 65.0%, respectively. The sewage sludge also demonstrated elevated concentrations (mg/kg) of Cr, 176.2; Cu, 162.6; Ni, 138.7; Pb, 671.1; and Zn, 667.6 (Table A1). Following the A. esculentus harvest, an alkaline pH of between 6.7 and 8.5 was measured in the soil–sludge admixture; the mean pH was 7.3, and the CV was 7.3%. The pH spectrum of the OM content was 1.6–7.5%; the mean was 4.3% and the CV, 49.6% (Table 1). In the soil modified with sewage sludge, the highest and lowest mean metal values (mg/kg) identified were for Fe, 30.9 × 103, and Cd, 2.8 (Table 1). The soil metal concentrations ranked in order of concentration were Fe > Mn > Cr > Zn > Ni > Co > Cu > Pb > Cd.
Table 1.
Chemical characteristics of the soil amended with sewage sludge after harvesting Abelmoschus esculentus plants grown for 62 days.
When A. esculentus tissues were examined, the fruits contained the least quantity of metals, apart from Cd (Table 2). With the exception of Cd, the roots were found to have accumulated the greatest concentration of metals, as compared to the above-ground plant components. The results of the metal assays from the plant parts, ranked in descending order, were the fruits, Fe > Mn > Zn > Cu > Ni > Co > Cd > Cr > Pb; the leaves, Fe > Mn > Zn > Cu > Cr > Ni > Co > Cd > Pb; the stems, Fe > Mn > Zn > Cu > Cr > Co > Pb > Ni > Cd; and the roots, Fe > Mn > Zn > Cr > Ni > Cu > Co > Pb > Cd. Overall, the sum of the metal concentration (mg/kg) within the varying plant tissues can be ranked in the order: the roots (13,795.5) > the leaves (1252.7) > the fruits (489.3) > the stems (469.6).
Table 2.
Metal concentrations in fruits, leaves, stems, and roots of Abelmoschus esculentus plants harvested after 62 days.
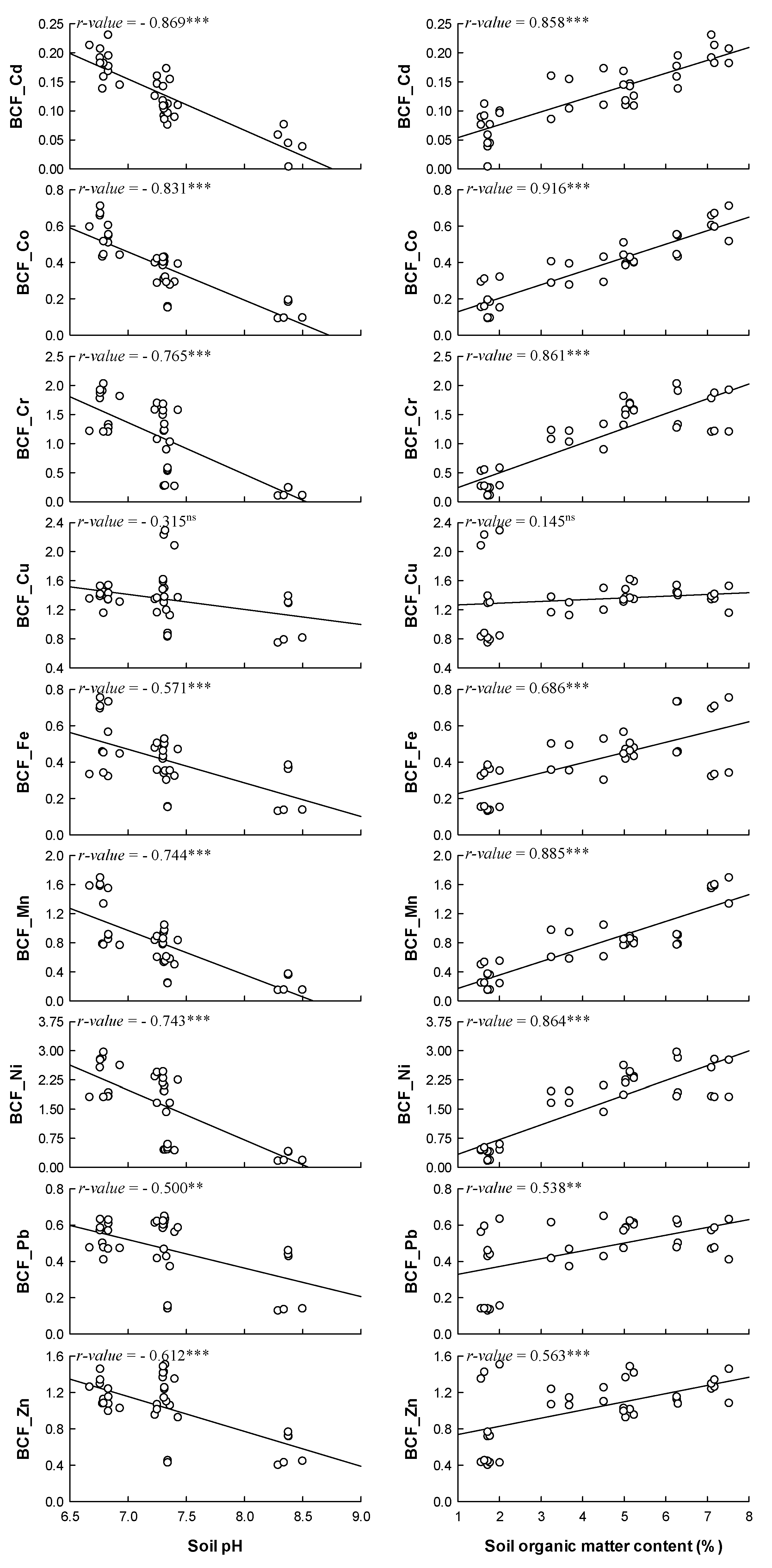
For five of the metals (i.e., Cd, Co, Fe, Mn, and Pb), the BCF was <1; for the remaining four metals, the BCF was >1 (i.e., Cr, 1.074; Cu, 1.347; Ni, 1.576; and Zn, 1.031). The above-ground tissues exhibited a TF < 1 for all the metals, apart from Cd, with respect to the leaves (2.003) and the fruits (2.489) and with the exception of Mn (1.149) in relation to the leaves (Table 3). The soil pH and the BCF for all the metals were negatively associated; the highest and lowest correlations were demonstrated by Cd (r = −0.869) and Cu (r = −0.315), respectively. The soil OM content had a positive relationship with the metal BCFs, with the highest and lowest correlations exhibited by Co (r = 0.916) and Cu (r = 0.145), respectively (Figure 2). Mostly, the metal concentrations in all four A. esculentus tissues were positively associated with the corresponding metal concentrations in the soil (Figure 3). Several negative relationships were identified between the soil pH and the tissue metal concentrations, whereas an opposite pattern was seen in relation to the tissue metal concentrations and the soil OM content.
Table 3.
BCFs, from soil to roots, and TFs, from roots to stems, leaves, and fruits, of metals in Abelmoschus esculentus grown in soil with different sewage sludge amendment rates (mean ± standard error, n = 36).
Figure 2.
Simple linear correlation coefficients (r values, n = 36) between BCFs of metals in Abelmoschus esculentus roots and each of the soil organic matter content (%) and soil pH. **: p < 0.01, ***: p < 0.001, ns: not significant (i.e., p > 0.05).
Figure 3.
Pearson correlation coefficient (r values, n = 36) between the nine metal concentrations in Abelmoschus esculentus tissues ((A): Fruits, (B): Leaves, (C): Stems, (D): Roots) and the chemical characteristics of the soil amended with sewage sludge after harvesting Abelmoschus esculentus plants grown for 62 days.
With respect to the fruits, the regression equation for Zn displayed the largest variation coefficient (R2 = 0.922) and was linked with the most sizeable ME (0.915) and smallest MNAE (0.106) and MNB (0.005). Co demonstrated the equivalent parameters for the leaves (R2 = 0.943; ME, 0.952; MNAE, 0.052; MNB, 0.000) (Table 4). Cu displayed these features for the stems (R2 = 0.903; ME, 0.897; MNAE, 0.136; MNB, 0.007) and Cd, for the roots (R2 = 0.896; ME, 0.886; MNAE, 0.182; MNB, 0.010). Students’ t-tests indicated that any differences between the measured and forecasted concentrations of the nine metals within the four tissue types of A. esculentus failed to reach significance. For all the metals in the four plant components, MNAE < 0.50, apart from Pb in the fruits (0.579); Ni (0.733), Pb (0.694) and Co (0.507) in the stems; and Fe (0.594) and Pb (0.528) in the roots. When ME was plotted along the X-axis against R2, MNAE, and MNB, respectively, on the Y-axis, a positive simple linear correlation was noted for R2 (0.977), and negative associations were observed for MNAE (−0.987) and MNB (−0.987) (Figure 4).
Table 4.
Regression models between metal concentrations in Abelmoschus esculentus tissues (mg/kg) and soil metals (mg/kg), soil OM content (%), and soil pH.
Figure 4.
Simple linear correlation coefficients (r) between the model efficiency along the X-axis and each of R2, MNAE and MNB along the Y-axis. ***: p < 0.001.
4. Discussion
The pH of the soil sludge-growing medium for A. esculentus was slightly alkaline at 7.3. Alkalinity is well-established as promoting the adsorption of numerous metal elements and thus diminishing their solubility in soil solutions [13,15]. The governing factors for the movement and the bioavailability of metals in soil include the adsorption and desorption characteristics of the soil [29], which are linked with the soil’s OM content, pH and clay mineral content, and oxidation-reduction state [30,31]. Soil pH and the majority of the assayed metals in the component tissues of A. esculentus demonstrated a negative relationship. The pH of soil has been noted to play a key part in defining soil metal solubility and availability [32]. Conversely, positive associations were identified between the soil OM content and the metal concentration in the various A. esculentus tissues. The OM content participates in the governance of availability and movement of the metals in soils; it is a source of organic chemicals that behave as chelating agents and promote the bioavailability of metals to plants [13]. Following the degradation of the OM content, soluble organic metal complexes are generated that enhance metal bioavailability [33]. Although, Eid et al. [1,17] suggested that sewage sludge could be a valuable fertilizer to improve growth, yield, and plant constituents of crops, sewage sludge should be utilised with caution and in controlled circumstances in order to diminish the metal accretion in soil and the subsequent metal uptake by plants.
The cumulative uptake of metallic elements by plants involves and relies on a number of soil characteristics, the components of the sewage sludge and the concentration used, the species phenology and physiology, the biochemistry related to the rhizosphere, climate characteristics, the influence of chelation, and chemical metal speciation [17,34,35]. The principal source of metal accretion and filtering in plants is thought to be the root system, which takes up metals at a slow rate, especially if they are available in significant quantity, and thus inhibits or reduces their mobility to the areal plant components [24,36]. The current research reinforced this perspective; practically all the metals were present in a higher quantity in the root systems of A. esculentus as opposed to in the stems, the leaves, or the fruits. If there were a root system hyper-accretion of metals, this could arise from the formation of metal complexes with sulphydryl moieties, which leads to a lower rate of metal transfer to the above-ground plant parts. A further reason why roots may demonstrate a higher metal concentration is that they are the initial plant components to be exposed to these elements within the soil [37]. In a species, such as A. esculentus, this is a favoured mechanism, as it suppresses the accumulation of toxic metal concentrations in the edible above-ground plant tissues, especially in the fruits that are used as foods in their young and desiccated forms. The three metals with the highest concentrations in the A. esculentus tissues and the soil-sludge admixture in descending ranking were Fe > Mn > Zn, implying that these were more straightforward to accumulate within the plant owing to their raised concentrations in the medium and their vital nutrient value for plant growth [34,38]. Pb and Cd demonstrated poor uptake within the plant tissues; when it occurred, these metals were identified in the plant roots [39].
When sewage sludge is added to cultivated soil, it frequently causes soil contamination as well as the accumulation and toxic impact of metals within the food chain. The concentrations of the tested metals in the sewage sludge in the present experiment, with the exception of Cd and Fe, were within proposed normal limits [7]. Furthermore, all nine metals, apart from Fe, were under the maximum safe limit in the tissues of A. esculentus [7]. The combination of cultivated growing media with sewage sludge may be admissible for some food crops but not all [35]. Frequent assays to confirm the metal concentrations present in such an admixture is advised to avoid the addition of toxic metals to foodstuffs.
The negative correlations identified between the soil pH and the plant metal concentration could be explained by the diminished soil availability of the metals in a basic soil solution; in contrast, a more acidic environment would enhance metal availability [13,16,40]. Conversely, the positive associations between the OM content in the soil and the concentrations of the metals in A. esculentus tissues could be due to the heightened mobility of metals in the soil induced by the OM content, together with their absorption by the plant [41], a result that confirms previous research [13,15,42].
Although BCF is an approximate gauge for metal uptake, it offers little information about the location properties [13]. In the present study, the BCFs were negatively and positively influenced by the soil pH and the OM content, respectively. For the five metals (i.e., Cd, Co, Fe, Mn, and Pb) for which the BCF was <1, this could reflect that the root system’s ability to uptake these metals is poor, or that they are absorbed in small quantities [16]. Where the BCF was >1 (i.e., for Cr, Cu, Ni, and Zn), this implies that A. esculentus roots work as hyper-accumulators and could be employed as phytoremediators with respect to these elements. Apart from Cd and Mn in the leaves and Cd in the fruits, the TF was <1, indicating that the roots behave as an efficacious biological filtration system for the majority of the metals investigated, except for Cd and Mn.
Investigating the effect of soil variables on the bioavailability and the uptake of metals by plants is important for reducing the toxic impacts of these metals in agricultural ecosystems [43]. Regression models identify statistically significant soil properties that affect the uptake of metals by plants, and this process can enable a significant reduction in the transfer of these metals to the food chain and, thereby, reduce the risk to living organisms [44]. Regression models form a useful if involved strategy and enable the forecast of the metal concentrations in plant components based on soil variables (e.g., metal concentrations, pH, and OM content) [35]. Data from the current experiment indicate that the designed mathematical models relating to A. esculentus uptake exhibited high accuracy for the majority of the tested metals when viewed in relation to measures of model quality, i.e., R2, ME, MNAE and MNB. Furthermore, it was noted that all the estimated soil variables (i.e., metal, pH, and OM content) impacted the plant uptake of the metals, which was in agreement with previous studies [42,44,45,46].
Since there is not much literature available relating to the establishment of regression models specifically for the absorption of metals by A. esculentus grown in media combined with varying sewage sludge concentrations, the obtained data were compared with studies that evaluated similar concepts using regression models pertaining to alternative crops. When judged against the tissues of A. esculentus in which Cd variability was 77.7–92.5%, Cd variabilities within the plant components for cucumber [1], barley [43], kidney bean [47], garden pea [48], Corchorus olitorius [49], Eruca sativa [50], and spinach [51] were 49–76%, 45–88%, 44–61%, 25–67%, 69–75%, 49–81%, and 83–88%, respectively. Bešter et al. [44] used models to measure the impact of Cd in tomato and endive, which exhibited R2 values of 41% and 90%, respectively. R2 parameters in relation to Cd for Urtica dioica as well as Agrostis and Poa species were documented as 10–47% and 31–38%, respectively [42], whereas R2 values of 45% and 47% were obtained for lettuce and carrot, respectively [45]. Some earlier publications may have demonstrated lower parameters of R2 for several of the models (Table A2), owing to the increased replicate frequency utilised to develop the model, which also creates significant data noise that, in turn, impacts the predictive accuracy of the affected models [52]. The degree of contaminants, the physicochemical properties of the soil at the sampling locations, the soil grade, the degree of microbial activity, the various soil derivations and mineral contents, the differing land management strategies, and the techniques utilised for sample digestion [7,53,54] may also produce the variations in R2 seen amongst the models.
In this work, ME correlated positively with R2, but negatively with MNAE and MNB, respectively. Within the plant tissues of A. esculentus—with certain exceptions, namely, Pb in the fruits; Ni, Pb and Co in the stems; and Fe and Pb in the roots—MNAE parameters were calculated to be <0.50 for all the investigated metals. If MNAE ≤ 0.50, this has been proposed to represent consistency between the model and measured metal concentrations, implying that the model is a good fit [16]. Shaltout et al. [35] reported equivalent findings in relation to Sorghum bicolor cultivated in field soil that was mixed with sewage sludge.
5. Conclusions
In order to gauge the ways in which the nine investigated metals (i.e., Cd, Co, Cr, Cu, Fe, Mn, Ni, Pb, and Zn) would be absorbed by A. esculentus, regression models were designed using selected soil properties as input variables. The concentrations of the nine metals in the plant tissues of A. esculentus demonstrated negative and positive correlations with the soil pH and OM content, respectively. The models, with the exception of those with MNAE parameters ≥ 0.50, exhibited high performance, efficacy, and only a modest level of inaccuracy. These data reinforce the models’ feasibility for the examination of A. esculentus grown in sewage sludge-modified growing media. The models also provided apposite data for the majority of the tested metals in relation to the tissues of A. esculentus. The utilised model variables are pertinent to a spectrum of biological utilities since they can be assayed at frequent intervals. The most notable advantage of the constructed models was that they were efficient with respect to time and expense, since they reduced the dataset size necessary to establish significant soil properties. On the other hand, the reduction in the necessary dataset size may be misleading, as only statistically significant explanatory variables are included in the regression model. Another important downside of regression models is that their predictions are valid only within the sampled interval of the explanatory variables (e.g., concentrations of metals in soil) and that the results of regression models are only reliable when the soils and plant samples present a representative statistical sample. In general, the very careful use of models within a range of site-specific parameters is necessary. The quality of models also depends on the degree of variability explained. Therefore, the authors advise that these models should be utilised with an explained variability of R2 > 50%. We encourage other researchers to use our models according to their own specific conditions. Moreover, there are also interactions between soils and other environmental properties. Thus, the model results must be interpreted while accounting for unknown variables. Additionally, more studies should investigate the uptake and associated health risks of other toxic elements (e.g., As, Hg, etc.) that may be present in the applied sewage sludge.
Author Contributions
E.M.E.: Conceptualisation, Formal analysis, Investigation, Writing—Review and Editing, Visualisation, Funding acquisition; K.H.S.: Writing Original Draft, Supervision; S.A.M.A.: Project administration, Writing—Review & Editing; S.A.A.: Project administration, Writing—Review & Editing; N.S.: Writing—Review & Editing; M.A.T.: Methodology; M.H.: Writing—Review & Editing; Y.S.M.: Writing—Review & Editing; M.T.A.: Methodology. All authors have read and agreed to the published version of the manuscript.
Funding
This research was funded by the Deputyship for Research and Innovation, Ministry of Education in Saudi Arabia, grant number IFP-KKU-2020/3.
Institutional Review Board Statement
Not applicable.
Informed Consent Statement
Not applicable.
Data Availability Statement
The data are contained within the article.
Acknowledgments
The authors extend their appreciation to the Deputyship for Research and Innovation, Ministry of Education, in Saudi Arabia for funding this research work through the project number IFP-KKU-2020/3.
Conflicts of Interest
All the authors confirm that there are no conflict of interest.
Abbreviations
| Abbreviation | Mean |
| ANOVA | Analysis of variance |
| BCF | Bioconcentration factor |
| Cd | Cadmium |
| Co | Cobalt |
| Cr | Chromium |
| Cu | Copper |
| CV | Coefficient of variation |
| df | Degrees of freedom |
| Fe | Iron |
| MALAS | Maximum allowable limits in agricultural soil (mg/kg) |
| ME | Model efficiency |
| Mn | Manganese |
| MNAE | Mean normalised average error |
| MNB | Mean normalised bias |
| MSWVC | Municipal solid waste vermicompost |
| NA | Not available |
| Ni | Nickel |
| n | Number of samples |
| OM | Organic matter content |
| Pb | Lead |
| R2 | Coefficient of determination |
| TF | Translocation factor |
| Zn | Zinc |
Appendix A
Table A1.
Selected chemical properties of cultivated field soil and sewage sludge used in the pot experiment of Abelmoschus esculentus (means ± standard error, n = 3).
Table A1.
Selected chemical properties of cultivated field soil and sewage sludge used in the pot experiment of Abelmoschus esculentus (means ± standard error, n = 3).
| Property | Cultivated Field Soil | Sewage Sludge | ||
|---|---|---|---|---|
| Measured Value | Normal Limit * | Measured Value | Permissible Limit ** | |
| EC (mS/cm) | 0.1 ± 0.0 | NA | 1.4 ± 0.1 | NA |
| pH | 8.7 ± 0.0 | NA | 7.0 ± 0.0 | NA |
| Organic matter content (%) | 0.9 ± 0.2 | NA | 65.0 ± 0.9 | NA |
| Cd (mg/kg) | 2.9 ± 0.1 | 3 | 1.2 ± 0.1 | 20–40 |
| Co (mg/kg) | 35.5 ± 1.1 | 35 | 25.9 ± 1.3 | - |
| Cr (mg/kg) | 134.3 ± 0.7 | 125 | 176.2 ± 1.9 | 900 |
| Cu (mg/kg) | 15.0 ± 0.6 | 105 | 162.6 ± 2.3 | 1000–1750 |
| Fe (mg/g) | 42.4 ± 0.5 | 39.2 | 24.1 ± 0.5 | - |
| Mn (mg/kg) | 677.3 ± 3.2 | 1500–3000 | 560.7 ± 9.8 | - |
| Ni (mg/kg) | 68.1 ± 3.7 | 40 | 138.7 ± 3.7 | 300–400 |
| Pb (mg/kg) | 3.5 ± 0.4 | 160 | 671.1 ± 6.2 | 750–1200 |
| Zn (mg/kg) | 77.2 ± 1.9 | 200 | 667.6 ± 13.4 | 2500–4000 |
*: Kabata-Pendias [7], **: He et al. [55].
Table A2.
Regression models for predicting the concentration of Cd in plants based on the concentration of Cd in soil and soil properties.
Table A2.
Regression models for predicting the concentration of Cd in plants based on the concentration of Cd in soil and soil properties.
| Plant | n | Model | R2 | Reference |
|---|---|---|---|---|
| Okra | 24 | Cdfruit = 1.41 + 0.005 × Cdsoil − 0.22 × pH + 0.28 × OM (%) | 77.7% | Present study |
| 24 | Cdleaf = 2.74 − 0.017 × Cdsoil − 0.31 × pH + 0.07 × OM (%) | 92.5% | ||
| 24 | Cdstem = 0.43 + 0.005 × Cdsoil − 0.05 × pH + 0.05 × OM (%) | 77.9% | ||
| 24 | Cdroot = 1.02 + 0.051 × Cdsoil − 0.13 × pH + 0.05× OM (%) | 89.6% | ||
| Cucumber | 18 | Cdroot = 0.11 + 0.23 × Cdsoil − 0.04 × pH + 0.07 × OM (%) | 49% | Eid et al. [1] |
| 18 | Cdstem = −0.56 + 0.02 × Cdsoil + 0.07 × pH + 0.03 × OM (%) | 55% | ||
| 18 | Cdleaf = −0.14–0.002 × Cdsoil + 0.02 × pH + 0.03 × OM (%) | 56% | ||
| 18 | Cdfruit = 0.74 + 0.50 × Cdsoil − 0.15 × pH + 0.17 × OM (%) | 76% | ||
| Kidney bean | 18 | Cdpod = −3.576 − 0.054 × Cdsoil + 0.460 × pH + 0.099 × OM (%) | 54% | Eid et al. [47] |
| 18 | Cdleaf = 0.930 + 0.004 × Cdsoil − 0.093 × pH − 0.002 × OM (%) | 44% | ||
| 18 | Cdstem = 1.770 − 0.037 × Cdsoil − 0.174 × pH + 0.019 × OM (%) | 51% | ||
| 18 | Cdroot = 11.361 − 0.138 × Cdsoil − 1.263 × pH − 0.073 × OM (%) | 61% | ||
| Garden pea | 15 | Cdpod = 4.373 − 0.052 × Cdsoil − 0.480 × pH − 0.051 × OM (%) | 60% | Eid et al. [48] |
| 15 | Cdshoot = 1.366 + 0.003 × Cdsoil − 0.133 × pH − 0.020 × OM (%) | 25% | ||
| 15 | Cdroot = −1.455 + 0.249 × Cdsoil + 0.144 × pH + 0.042 × OM (%) | 67% | ||
| Tomato | 51 | Cdplant = 0.020 + 0.002 × Cdsoil − 0.000008 × Mnsoil | 41% | Bešter et al. [44] |
| Cabbage | 16 | Cdplant = 0.007 + 0.002 × Cdsoil | 44% | Bešter et al. [44] |
| Carrot | 54 | Cdplant = 0.107 + 0.017 × Cdsoil − 0.00007 × Mnsoil | 47% | Bešter et al. [44] |
| Carrot | 238 | Cdplant = −0.19 + 0.46 × Cdsoil | 33% | dos Santos-Araujo et al. [45] |
| 238 | Cdplant = 0.89 + 0.42 × Cdsoil − 0.17 × pH | 45% | ||
| 238 | Cdplant = 0.90 + 0.42 × Cdsoil −0.17 × pH − 0.01 × OM (%) | 45% | ||
| 238 | Cdplant = 0.92 + 0.43 × Cdsoil −0.18 × pH − 0.01 × OM (%) −0.04 × Clay (%) | 45% | ||
| Eruca sativa | 18 | Cdleaf = 0.326 + 0.204 × Cdsoil − 0.070 × pH + 0.136 × OM (%) | 81% | Eid et al. [50] |
| 18 | Cdroot = 1.518 − 0.298 × Cdsoil − 0.088 × pH + 0.067 × OM (%) | 49% | ||
| Hop | 13 | Cdplant = 0.061 × Cdsoil −0.28 × OM (%) | 51% | Novotná et al. [16] |
| Lettuce | 293 | Cdplant = −0.06 + 0.39 × Cdsoil | 35% | dos Santos-Araujo et al. [45] |
| 293 | Cdplant = 1.10 + 0.44 × Cdsoil − 0.18 × pH | 42% | ||
| 293 | Cdplant = 1.35 + 0.48 × Cdsoil −0.18 × pH − 0.28 × OM (%) | 44% | ||
| 293 | Cdplant = 1.11 + 0.39 × Cdsoil −0.14 × pH − 0.22 × OM (%) −0.14 × Clay (%) | 47% | ||
| Chicory | 29 | Cdplant = 0.016 + 0.017 × Cdsoil | 60% | Bešter et al. [44] |
| Endive | 26 | Cdplant = 0.089 + 0.032 × Cdsoil − 0.014 × OM (%) | 90% | Bešter et al. [44] |
| Onion | 35 | Cdplant = 0.208 + 0.005 × Cdsoil − 0.002 × OM (%) − 0.027 × pH | 85% | Bešter et al. [44] |
| Potato | 29 | Cdplant = 0.042 + 0.007 × Cdsoil | 76% | Bešter et al. [44] |
| Potato | 17 | Cdplant = −0.018 + 2.46 × Cdsoil −0.0041 × Clay (%) + 0.036 × Znsoil + 0.021 × pH:OM (%) − 0.0056 × Znsoil:pH − 0.37 × Cdsoil:pH | 60% | Novotná et al. [16] |
| Red beet | 20 | Cdplant = 0.017 + 0.026 × Cdsoil | 67% | Bešter et al. [44] |
| Spinach | 12 | Cdleaf = 0.402 + 0.014 × Cdsoil − 0.047 × pH + 0.043 × OM (%) | 88% | Eid et al. [51] |
| 12 | Cdroot = 2.144 + 0.060 × Cdsoil − 0.294 × pH + 0.130 × OM (%) | 83% | ||
| Corchorus olitorius | 15 | Cdshoot= 1.251 + 0.080 × Cdsoil − 0.128 × pH + 0.015 × OM | 69% | Eid et al. [49] |
| 15 | Cdroot= 15.049 + 0.901 × Cdsoil – 2.005 × pH − 0.206 × OM | 75% | ||
| Urtica dioica | 66 | log Cdplant = 0.26 + (0.24 × log CaCl2 [Cd]soil) | 10% | Boshoff et al. [42] |
| 68 | log Cdplant = −0.13 + (0.69 × log Cdsoil) − (0.87 × log clay %) | 47% | ||
| Rye grass | 156 | Cdshoot = 35.3 + 0.37 × Cdsoil − 4.9 × pH | 13% | Tudoreanu and Phillips [56] |
| Agrostis and Poa species | 37 | log Cdplant = −0.56 + (0.58 × log Cdsoil) | 38% | Boshoff et al. [42] |
| 37 | log Cdplant = 0.08 + (0.27 × log CaCl2 [Cd]soil) | 31% | ||
| Maize | 79 | Cdshoot = 90.1 + 0.24 × Cdsoil − 12.9 × pH | 17% | Tudoreanu and Phillips [56] |
| Rice | 33 | log Cdgrain = 0.473 × log Cdsoil − 0.157 × pH + 0.445 × log OM (g/kg) −0.984 | 66% | Mu et al. [57] |
| Wheat | 162 | log Cdgrain = 0.28 + 0.44 × log Cdsoil − 0.18 × pH | 49% | Adams et al. [58] |
| Wheat | 100 | log Cdplant = −1.75 + 0.59 × Cdsoil −0.23 × OM (%) | 64% | Novotná et al. [16] |
| Wheat | 14 | log Cdgrain = 1.386 + log Cdsoil − 0.279 × pH | 85% | Liu et al. [59] |
| Barley | 90 | log Cdgrain = 0.04 + 0.21 × log Cdsoil − 0.23 × pH | 22% | Adams et al. [58] |
| Barley | 18 | Cdgrain= 0.161 − 0.023 × Cdsoil − 0.005 × pH + 0.012 × OM | 88% | Eid et al. [43] |
| 18 | Cdshoot= –0.946 + 0.012 × Cdsoil + 0.118 × pH + 0.031 × OM | 45% | ||
| 18 | Cdroot= −3.339 + 0.298 × Cdsoil + 0.358 × pH + 0.052 × OM | 59% |
References
- Eid, E.M.; Alrumman, S.A.; Farahat, E.A.; El-Bebany, A. Prediction models for evaluating the uptake of heavy metals by cucumbers (Cucumis sativus L.) grown in agricultural soils amended with sewage sludge. Environ. Monit. Assess. 2018, 190, 501. [Google Scholar] [CrossRef] [PubMed]
- Muhammad, D.; Chen, F.; Zhao, J.; Zhang, G.; Wu, F. Comparison of EDTA and citric acid-enhanced phytoextraction of heavy metals in artificially metal contaminated soil by Typha Angustifolia. Int. J. Phytoremediat. 2009, 11, 558–574. [Google Scholar] [CrossRef] [PubMed]
- Parveen, N.; Zaidi, S.; Danish, M. Support vector regression model for predicting the sorption capacity of lead (II). Perspect. Sci. 2016, 8, 629–631. [Google Scholar] [CrossRef] [Green Version]
- Conor, R. Metal Contamination of Food; Elsevier: London, UK.; New York, NY, USA, 1991. [Google Scholar]
- Bradl, H. Heavy Metals in the Environment: Origin, Interaction and Remediation, Interface; Elsevier: London, UK, 2005. [Google Scholar]
- Ali, H.; Khan, E.; Sajad, M.A. Phytoremediation of heavy metals—Concepts and applications. Chemosphere 2013, 91, 869–881. [Google Scholar] [CrossRef]
- Kabata-Pendias, A. Trace Elements in Soils and Plants; CRC Press: Boca Raton, FL, USA, 2011. [Google Scholar]
- Sharma, R.K.; Agrawal, M.; Agrawal, S.B. Physiological, biochemical and growth responses of lady’s finger (Abelmoschus esculentus L.) plants as affected by Cd contaminated soil. Bull. Environ. Contam. Toxicol. 2010, 84, 765–770. [Google Scholar] [CrossRef]
- Srivastava, V.; Gupta, S.; Singh, P.; Sharma, B.; Singh, R. Biochemical, physiological, and yield responses of lady’s finger (Abelmoschus esculentus L.) grown on varying ratios of municipal solidwaste vermicompost. Int. J. Recycl. Org. Waste Agric. 2018, 7, 241–250. [Google Scholar] [CrossRef] [Green Version]
- Khan, Z.I.; Ugulu, I.; Sahira, S.; Ahmad, K.; Ashfaq, A.; Mehmood, N.; Dogan, Y. Determination of toxic metals in fruits of Abelmoschus esculentus grown in contaminated soils with different irrigation sources by spectroscopic method. Int. J. Environ. Res. 2018, 12, 503–511. [Google Scholar] [CrossRef]
- Thapliyal, A.; Vasudevan, P.; Dastidar, M.G.; Tandon, M.; Mishra, S. Irrigation with domestic wastewater: Responses on growth and yield of ladyfinger Abelmoschus esculentus and on soil nutrients. J. Environ. Biol. 2011, 32, 645–651. [Google Scholar] [PubMed]
- Srivastava, S.; Chopra, A.K. Irrigational impact of distillery effluent on Abelmoschus esculentus L. okra with special reference to heavy metals. Environ. Monit. Assess. 2014, 186, 4169–4179. [Google Scholar] [CrossRef]
- Zeng, F.; Ali, S.; Zhang, H.; Ouyang, Y.; Qiu, B.; Wu, F.; Zhang, G. The influence of pH and organic matter content in paddy soil on heavy metal availability and their uptake by rice plants. Environ. Pollut. 2011, 159, 84–91. [Google Scholar] [CrossRef]
- Raguž, V.; Jarsjo, J.; Grolander, S.; Lindborg, R.; Avila, R. Plant uptake of elements in soil and pore water: Field observations versus model assumptions. J. Environ. Manag. 2013, 126, 147–156. [Google Scholar] [CrossRef]
- Chaudri, A.; McGrath, S.; Gibbs, P.; Chambers, B.; Carlton-Smith, C.; Godley, A.; Bacon, J.; Campbell, C.; Aitken, M. Cadmium availability to wheat grain in soils treated with sewage sludge or metal salts. Chemosphere 2007, 66, 1415–1423. [Google Scholar] [CrossRef]
- Novotná, M.; Mikeš, O.; Komprdová, K. Development and comparison of regression models for the uptake of metals into various field crops. Environ. Pollut. 2015, 207, 357–364. [Google Scholar] [CrossRef] [PubMed]
- Eid, E.M.; Shaltout, K.H.; Alamri, S.A.; Alrumman, S.A.; Hussain, A.A.; Sewelam, N.; El-Bebany, A.F.; Alfarhan, A.H.; Picó, Y.; Barcelo, D. Prediction models based on soil properties for evaluating the uptake of eight heavy metals by tomato plant (Lycopersicon esculentum Mill.) grown in agricultural soils amended with sewage sludge. J. Environ. Chem. Eng. 2021, 9, 105977. [Google Scholar] [CrossRef]
- Fijalkowski, K.; Rorat, A.; Grobelak, A.; Kacprzak, M.J. The presence of contaminations in sewage sludge—The current situation. J. Environ. Manag. 2017, 203, 1126–1136. [Google Scholar] [CrossRef] [PubMed]
- Huxley, A.; Griffiths, M.; Levy, M. The New Royal Horticultural Society. In Dictionary of Gardening; A–C.; Macmillan Reference LTD.: London, UK, 1999; Volume 1. [Google Scholar]
- Adewole, M.B.; Ilesanmi, A.O. Effects of soil amendments on the nutritional quality of okra (Abelmoschus esculentus [L.] Moench). J. Soil Sci. Plant Nutr. 2011, 11, 45–55. [Google Scholar]
- Soil Survey Staff; USA Department of Agriculture; Natural Resources Conservation Service. Keys to Soil Taxonomy, 12th ed.; USA Government Printing Office: Washington, DC, USA, 2014.
- Wilke, B.M. Determination of chemical and physical soil properties. In Manual for Soil Analysis—Monitoring and Assessing Soil Bioremediation; Margesin, R., Schinner, F., Eds.; Springer: Berlin/Heidelberg, Germany, 2005; pp. 47–95. [Google Scholar]
- Allen, S. Chemical Analysis of Ecological Materials; Blackwell Scientific Publications: London, UK, 1989. [Google Scholar]
- Eid, E.M.; Shaltout, K.H. Bioaccumulation and translocation of heavy metals by nine native plant species grown at a sewage sludge dump site. Int. J. Phytoremediat. 2016, 18, 1075–1085. [Google Scholar] [CrossRef] [PubMed]
- Yang, H.; Li, Z.; Lu, L.; Long, J.; Liang, Y. Cross-species extrapolation of prediction models for cadmium transfer from soil to corn grain. PLoS ONE 2013, 8, e80855. [Google Scholar] [CrossRef] [Green Version]
- Kumar, V.; Singh, J.; Kumar, P. Heavy metal uptake by water lettuce (Pistia stratiotes L.) from paper mill effluent (PME): Experimental and prediction modeling studies. Environ. Sci. Pollut. Res. 2019, 26, 14400–14413. [Google Scholar] [CrossRef]
- SPSS. SPSS Base 15.0 User’s Guide; SPSS Inc.: Chicago, IL, USA, 2006. [Google Scholar]
- Cornell, R.M.; Schwertmann, U. The Iron Oxides, 2nd ed.; Wiley VCH: Weinheim, Germany, 2003. [Google Scholar]
- Krishnamurti, G.S.R.; Huang, P.M.; Kozak, L.M. Sorption and desorption kinetics of cadmium from soils: Influence of phosphate. Soil Sci. 1999, 164, 888–898. [Google Scholar] [CrossRef]
- Antoniadis, V.; Robinson, J.; Alloway, B. Effects of short-term pH fluctuations on cadmium, nickel, lead, and zinc availability to ryegrass in a sewage sludge-amended field. Chemosphere 2008, 71, 759–764. [Google Scholar] [CrossRef]
- Usman, A.; Kuzyakov, Y.; Stahr, K. Sorption, Desorption, and Immobilization of Heavy Metals by Artificial Soil; University of Hohenhiem: Stuttgart, Germany, 2008. [Google Scholar]
- Zhao, K.; Liu, X.; Xu, J.; Selim, H. Heavy metal contaminations in a soil–rice system: Identification of spatial dependence in relation to soil properties of paddy fields. J. Hazard. Mater. 2010, 181, 778–787. [Google Scholar] [CrossRef]
- Antoniadis, V.; Alloway, B. The role of dissolved organic carbon in the mobility of Cd, Ni and Zn in sewage sludge-amended soils. Environ. Pollut. 2002, 117, 515–521. [Google Scholar] [CrossRef]
- Dolgen, D.; Alpaslan, M.; Delen, N. Agricultural recycling of treatment-plant sludge: A case study for a vegetable-processing factory. J. Environ. Manag. 2007, 84, 274–281. [Google Scholar] [CrossRef]
- Shaltout, K.H.; Alamri, S.A.M.; Alrumman, S.A.; Hussain, A.A.; Sewelam, N.; Eid, E.M. Evaluation of eight metals uptake by Sorghum bicolor grown in arable soil combined with sewage sludge based on prediction models. Environ. Monit. Assess. 2021, 193, 510. [Google Scholar] [CrossRef] [PubMed]
- Sawidis, T.; Breuste, J.; Mitrović, M.; Pavlović, P.; Tsigaridas, K. Trees as bioindicator of heavy metal pollution in three European cities. Environ. Pollut. 2011, 159, 3560–3570. [Google Scholar] [CrossRef]
- Eid, E.M.; Shaltout, K.H. Monthly variations of trace elements accumulation and distribution in above- and below-ground biomass of Phragmites australis (Cav.) Trin. ex Steudel in Lake Burullus (Egypt): A biomonitoring application. Ecol. Eng. 2014, 73, 17–25. [Google Scholar] [CrossRef]
- Lopes, C.; Herva, M.; Franco-Uría, A.; Roca, E. Multicorrelation models and uptake factors to estimate extractable metal concentrations from soil and metal in plants in pasture lands fertilized with manure. Environ. Pollut. 2012, 166, 17–22. [Google Scholar] [CrossRef] [PubMed]
- Eid, E.M.; Alrumman, S.A.; El-Bebany, A.; Hesham, A.E.-L.; Taher, M.A.; Fawy, K.F. The effects of different sewage sludge amendment rates on the heavy metal bioaccumulation, growth and biomass of cucumbers (Cucumis sativus L.). Environ. Sci. Pollut. Res. 2017, 24, 16371–16382. [Google Scholar] [CrossRef] [PubMed]
- Du Laing, G.; de Vos, R.; Vandecasteele, B.; Lesage, E.; Tack, F.M.G.; Verloo, M. Effect of salinity on heavy metal mobility and availability in intertidal sediments of the Scheldt estuary. Estuarine Coast. Shelf Sci. 2008, 77, 589–602. [Google Scholar] [CrossRef]
- Singh, R.; Agrawal, M. Effect of different sewage sludge applications on growth and yield of Vigna radiata L. field crop: Metal uptake by plant. Ecol. Eng. 2010, 36, 969–972. [Google Scholar] [CrossRef]
- Boshoff, M.; de Jonge, M.; Scheifler, R.; Bervoets, L. Predicting As, Cd, Cu, Pb and Zn levels in grasses (Agrostis sp. and Poa sp.) and stinging nettle (Urtica dioica) applying soil-plant transfer models. Sci. Total Environ. 2014, 493, 862–871. [Google Scholar] [CrossRef]
- Eid, E.M.; Khedher, K.M.; Ayed, H.; Arshad, M.; Mouldi, A.; Shaltout, K.H.; Sewelam, N.A.; Galal, T.M.; El-Bebany, A.F.; Al Shehri, A.M. Prediction models based on soil properties for evaluating the heavy metal uptake into Hordeum vulgare L. grown in agricultural soils amended with different rates of sewage sludge. Int. J. Environ. Health Res. 2020, 190, 1–15. [Google Scholar] [CrossRef]
- Bešter, P.K.; Lobnik, F.; Eržen, I.; Kastelec, D.; Zupan, M. Prediction of cadmium concentration in selected home-produced vegetables. Ecotoxicol. Environ. Saf. 2013, 96, 182–190. [Google Scholar] [CrossRef]
- Dos Santos-Araujo, S.N.; Swartjes, F.A.; Versluijs, K.W.; Moreno, F.N.; Alleoni, L.R. Soil-plant transfer models for metals to improve soil screening value guidelines valid for São Paulo, Brazil. Environ. Monit. Assess. 2017, 189, 615. [Google Scholar] [CrossRef] [PubMed]
- Gan, Y.; Wang, L.; Yang, G.; Dai, J.; Wang, R.; Wang, W. Multiple factors impact the contents of heavy metals in vegetables in high natural background area of China. Chemosphere 2017, 184, 1388–1395. [Google Scholar] [CrossRef] [PubMed]
- Eid, E.; Shaltout, K.; Alamri, S.; Sewelam, N.; Galal, T. Evaluating the uptake of ten heavy metals by kidney bean (Phaseolus vulgaris L.) Grown in a soil-sludge mixture using a regression model. Appl. Ecol. Environ. Res. 2020, 18, 7021–7039. [Google Scholar] [CrossRef]
- Eid, E.M.; Shaltout, K.H.; Alamri, S.A.M.; Sewelam, N.A.; Galal, T.M.; Brima, E.I. Prediction models for evaluating heavy metal uptake by Pisum sativum L. in soil amended with sewage sludge. J. Environ. Sci. Health Part. A 2019, 55, 151–160. [Google Scholar] [CrossRef]
- Eid, E.M.; Shaltout, K.H.; Alamri, S.A.M.; Sewelam, N.A.; Galal, T.M. Uptake prediction of ten heavy metals by Corchorus olitorius L. cultivated in soil mixed with sewage sludge. Food Energy Secur. 2020, 9, e203. [Google Scholar] [CrossRef] [Green Version]
- Eid, E.M.; Shaltout, K.H.; Abdallah, S.M.; Galal, T.M.; El-Bebany, A.F.; Sewelam, N.A. Uptake prediction of ten heavy metals by Eruca sativa Mill. cultivated in soils amended with sewage sludge. Bull. Environ. Contam. Toxicol. 2020, 104, 134–143. [Google Scholar] [CrossRef]
- Eid, E.M.; Alrumman, S.A.; Galal, T.M.; El-Bebany, A. Prediction models for evaluating the heavy metal uptake by spinach (Spinacia oleracea L.) from soil amended with sewage sludge. Int. J. Phytoremediat. 2018, 20, 1418–1426. [Google Scholar] [CrossRef] [PubMed]
- Römkens, P.F.A.M.; Groenenberg, J.E.; Bril, J.; Vries, W. Derivation of Partition Equations to Calculate Heavy Metal Speciation and Solubility in Soils; Alterra Report 305; Wageningen University and Research Centre—Alterra: Wageningen, The Netherlands, 2004. [Google Scholar]
- Du Laing, G.; Tack, F.M.G.; Verloo, M.G. Performance of selected destruction methods for the determination of heavy metals in reed plants (Phragmites australis). Anal. Chim. Acta 2003, 497, 191–198. [Google Scholar] [CrossRef]
- Du Laing, G.; van de Moortel, A.; Moors, W.; de Grauwe, P.; Meers, E.; Tack, F.M.G.; Verloo, M. Factors affecting metal concentrations in reed plants (Phragmites australis) of intertidal marshes in the Scheldt estuary. Ecol. Eng. 2009, 35, 310–318. [Google Scholar] [CrossRef]
- He, Z.L.; Yang, X.E.; Stoffella, P.J. Trace elements in agroecosystems and impacts on the environment. J. Trace Elements Med. Biol. 2005, 19, 125–140. [Google Scholar] [CrossRef]
- Tudoreanu, L.; Phillips, C.J.C. Empirical models of cadmium accumulation in maize, rye grass and soya bean plants. J. Sci. Food Agric. 2004, 84, 845–852. [Google Scholar] [CrossRef]
- Mu, T.; Zhou, T.; Li, Z.; Hu, P.; Luo, Y.; Christie, P.; Wu, L. Prediction models for rice cadmium accumulation in Chinese paddy fields and the implications in deducing soil thresholds based on food safety standards. Environ. Pollut. 2020, 258, 113879. [Google Scholar] [CrossRef] [PubMed]
- Adams, M.L.; Zhao, F.J.; McGrath, S.P.; Nicholson, F.A.; Chambers, B.J. Predicting cadmium concentrations in wheat and barley grain using soil properties. J. Environ. Qual. 2004, 33, 532–541. [Google Scholar] [CrossRef]
- Liu, K.; Lv, J.; He, W.; Zhang, H.; Cao, Y.; Dai, Y. Major factors influencing cadmium uptake from the soil into wheat plants. Ecotoxicol. Environ. Saf. 2015, 113, 207–213. [Google Scholar] [CrossRef] [PubMed]
Publisher’s Note: MDPI stays neutral with regard to jurisdictional claims in published maps and institutional affiliations. |
© 2021 by the authors. Licensee MDPI, Basel, Switzerland. This article is an open access article distributed under the terms and conditions of the Creative Commons Attribution (CC BY) license (https://creativecommons.org/licenses/by/4.0/).