Applying Artificial Neural Network and Response Surface Method to Forecast the Rheological Behavior of Hybrid Nano-Antifreeze Containing Graphene Oxide and Copper Oxide Nanomaterials
Abstract
:1. Introduction
2. Input Data
3. Artificial Neural Network
4. RSM
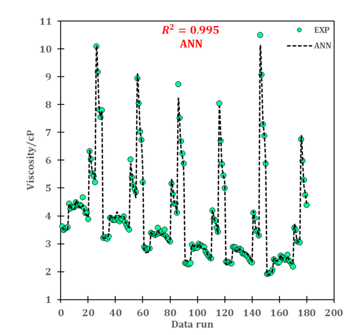
5. Results and Discussion
6. Conclusions
Author Contributions
Funding
Institutional Review Board Statement
Informed Consent Statement
Data Availability Statement
Acknowledgments
Conflicts of Interest
Nomenclature
| / | |
| Greek letter | |
| % | |
References
- Khan, M.S.; Amber, K.P.; Ali, H.M.; Abid, M.; Ratlamwala, T.A.; Javed, S. Performance analysis of solar assisted multigenerational system using therminol VP1 based nanofluids: A comparative study. Therm. Sci. 2020, 24, 865–878. [Google Scholar] [CrossRef] [Green Version]
- Salimpour, M.R.; Kalbasi, R.; Lorenzini, G. Constructal multi-scale structure of PCM-based heat sinks. Contin. Mech. Thermodyn. 2017, 29, 477–491. [Google Scholar] [CrossRef]
- Khan, M.S.; Abid, M.; Ali, H.M.; Amber, K.P.; Bashir, M.A.; Javed, S. Comparative performance assessment of solar dish assisted s-CO2 Brayton cycle using nanofluids. Appl. Therm. Eng. 2019, 148, 295–306. [Google Scholar] [CrossRef]
- Khan, M.S.; Yan, M.; Ali, H.M.; Amber, K.P.; Bashir, M.A.; Akbar, B.; Javed, S. Comparative performance assessment of different absorber tube geometries for parabolic trough solar collector using nanofluid. J. Therm. Anal. Calorim. 2020, 142, 2227–2241. [Google Scholar] [CrossRef]
- Ali, H.M.; Babar, H.; Shah, T.R.; Sajid, M.U.; Qasim, M.A.; Javed, S. Preparation Techniques of TiO2 Nanofluids and Challenges: A Review. Appl. Sci. 2018, 8, 587. [Google Scholar] [CrossRef] [Green Version]
- Motamedi, M.; Naghdi, A.; Jalali, S. Effect of temperature on properties of aluminum/single-walled carbon nanotube nanocomposite by molecular dynamics simulation. J. Mech. Eng. Sci. 2019, 234, 635–642. [Google Scholar] [CrossRef]
- Giwa, S.O.; Sharifpur, M.; Ahmadi, M.H.; Meyer, J. Magnetohydrodynamic convection behaviours of nanofluids in non-square enclosures: A comprehensive review. Math. Methods Appl. Sci. 2020. [Google Scholar] [CrossRef]
- Giwa, S.O.; Sharifpur, M.; Ahmadi, M.H.; Meyer, J.P. A review of magnetic field influence on natural convection heat transfer performance of nanofluids in square cavities. J. Therm. Anal. Calorim. 2021, 145, 2581–2623. [Google Scholar] [CrossRef]
- Li, Z.; Sarafraz, M.; Mazinani, A.; Hayat, T.; Alsulami, H.; Goodarzi, M. Pool boiling heat transfer to CuO-H2O nanofluid on finned surfaces. Int. J. Heat Mass Transf. 2020, 156, 119780. [Google Scholar] [CrossRef]
- Mahdavi, M.; Garbadeen, I.; Sharifpur, M.; Ahmadi, M.H.; Meyer, J.P. Study of particle migration and deposition in mixed convective pipe flow of nanofluids at different inclination angles. J. Therm. Anal. Calorim. 2019, 135, 1563–1575. [Google Scholar] [CrossRef]
- Mahdavi, M.; Sharifpur, M.; Ahmadi, M.H.; Meyer, J.P. Aggregation study of Brownian nanoparticles in convective phenomena. J. Therm. Anal. Calorim. 2019, 135, 111–121. [Google Scholar] [CrossRef]
- Nwosu, P.N.; Meyer, J.; Sharifpur, M. Nanofluid Viscosity: A simple model selection algorithm and parametric evaluation. Comput. Fluids 2014, 101, 241–249. [Google Scholar] [CrossRef] [Green Version]
- Arıkan, E.; Abbasoğlu, S.; Gazi, M. Experimental Performance Analysis of Flat Plate Solar Collectors Using Different Nanofluids. Sustainability 2018, 10, 1794. [Google Scholar] [CrossRef] [Green Version]
- Javed, S.; Ali, H.M.; Babar, H.; Khan, M.S.; Janjua, M.M.; Bashir, M.A. Internal convective heat transfer of nanofluids in different flow regimes: A comprehensive review. Phys. A Stat. Mech. Its Appl. 2020, 538, 122783. [Google Scholar] [CrossRef]
- Ahmadi, M.H.; Mohseni-Gharyehsafa, B.; Ghazvini, M.; Goodarzi, M.; Jilte, R.; Kumar, R. Comparing various machine learning approaches in modeling the dynamic viscosity of CuO/water nanofluid. J. Therm. Anal. Calorim. 2019, 139, 2585–2599. [Google Scholar] [CrossRef]
- Kalbasi, R. Introducing a novel heat sink comprising PCM and air—Adapted to electronic device thermal management. Int. J. Heat Mass Transf. 2021, 169, 120914. [Google Scholar] [CrossRef]
- Bahiraei, M.; Heshmatian, S. Graphene family nanofluids: A critical review and future research directions. Energy Convers. Manag. 2019, 196, 1222–1256. [Google Scholar] [CrossRef]
- Arshad, A.; Jabbal, M.; Yan, Y.; Reay, D. A review on graphene based nanofluids: Preparation, characterization and applications. J. Mol. Liq. 2019, 279, 444–484. [Google Scholar] [CrossRef]
- Motamedi, M.; Naghdi, A.; Sohail, A.; Li, Z. Effect of elastic foundation on vibrational behavior of graphene based on first-order shear deformation theory. Adv. Mech. Eng. 2018, 10, 1687814018814624. [Google Scholar] [CrossRef]
- Sadeghinezhad, E.; Mehrali, M.; Saidur, R.; Mehrali, M.; Latibari, S.T.; Akhiani, A.R.; Metselaar, H.S.C. A comprehensive review on graphene nanofluids: Recent research, development and applications. Energy Convers. Manag. 2016, 111, 466–487. [Google Scholar] [CrossRef]
- Hu, Y.; Li, H.; He, Y.; Wang, L. Role of nanoparticles on boiling heat transfer performance of ethylene glycol aqueous solution based graphene nanosheets nanofluid. Int. J. Heat Mass Transf. 2016, 96, 565–572. [Google Scholar] [CrossRef]
- Yu, W.; Xie, H.; Chen, L.; Li, Y.; Li, D. The Preparation and Thermal Conductivities Enhacement of Nanofluids Containing Graphene Oxide Nanosheets. In Proceedings of the 2010 14th International Heat Transfer Conference, Washington, DC, USA, 8–13 August 2010; pp. 569–573. [Google Scholar]
- Yu, W.; Xie, H.; Chen, W. Experimental investigation on thermal conductivity of nanofluids containing graphene oxide nanosheets. J. Appl. Phys. 2010, 107, 094317. [Google Scholar] [CrossRef]
- Yu, W.; Xie, H.; Bao, D. Enhanced thermal conductivities of nanofluids containing graphene oxide nanosheets. Nanotechnology 2009, 21, 055705. [Google Scholar] [CrossRef]
- Yu, W.; Xie, H.; Wang, X.; Wang, X. Significant thermal conductivity enhancement for nanofluids containing graphene nanosheets. Phys. Lett. A 2011, 375, 1323–1328. [Google Scholar] [CrossRef]
- Moghaddam, M.B.; Goharshadi, E.; Entezari, M.H.; Nancarrow, P. Preparation, characterization, and rheological properties of graphene–glycerol nanofluids. Chem. Eng. J. 2013, 231, 365–372. [Google Scholar] [CrossRef]
- Ahammed, N.; Asirvatham, G.; Titus, J.; Bose, J.R.; Wongwises, S. Measurement of thermal conductivity of graphene–water nanofluid at below and above ambient temperatures. Int. Commun. Heat Mass Transf. 2016, 70, 66–74. [Google Scholar] [CrossRef]
- Baby, T.T.; Ramaprabhu, S. Enhanced convective heat transfer using graphene dispersed nanofluids. Nanoscale Res. Lett. 2011, 6, 289. [Google Scholar] [CrossRef] [Green Version]
- Aravind, S.S.J.; Ramaprabhu, S. Surfactant free graphene nanosheets based nanofluids by in-situ reduction of alkaline graphite oxide suspensions. J. Appl. Phys. 2011, 110, 124326. [Google Scholar] [CrossRef]
- Kole, M.; Dey, T.K. Investigation of thermal conductivity, viscosity, and electrical conductivity of graphene based nanofluids. J. Appl. Phys. 2013, 113, 084307. [Google Scholar] [CrossRef]
- Águila, B.; Vasco, D.A.; Galvez, P.; Zapata, P.A. Effect of temperature and CuO-nanoparticle concentration on the thermal conductivity and viscosity of an organic phase-change material. Int. J. Heat Mass Transf. 2018, 120, 1009–1019. [Google Scholar] [CrossRef]
- Sahoo, R.R.; Kumar, V. Development of a new correlation to determine the viscosity of ternary hybrid nanofluid. Int. Commun. Heat Mass Transf. 2020, 111, 104451. [Google Scholar] [CrossRef]
- Esfe, M.H.; Zabihi, F.; Rostamian, H.; Esfandeh, S. Experimental investigation and model development of the non-Newtonian behavior of CuO-MWCNT-10w40 hybrid nano-lubricant for lubrication purposes. J. Mol. Liq. 2018, 249, 677–687. [Google Scholar] [CrossRef]
- Akilu, S.; Baheta, A.T.; Sharma, K. Experimental measurements of thermal conductivity and viscosity of ethylene glycol-based hybrid nanofluid with TiO2-CuO/C inclusions. J. Mol. Liq. 2017, 246, 396–405. [Google Scholar] [CrossRef]
- Asadi, A.; Alarifi, I.M.; Foong, L.K. An experimental study on characterization, stability and dynamic viscosity of CuO-TiO2/water hybrid nanofluid. J. Mol. Liq. 2020, 307, 112987. [Google Scholar] [CrossRef]
- Shah, J.; Kumar, S.; Ranjan, M.; Sonvane, Y.; Thareja, P.; Gupta, S.K. The effect of filler geometry on thermo-optical and rheological properties of CuO nanofluid. J. Mol. Liq. 2018, 272, 668–675. [Google Scholar] [CrossRef]
- Priya, K.R.; Suganthi, K.; Rajan, K. Transport properties of ultra-low concentration CuO–water nanofluids containing non-spherical nanoparticles. Int. J. Heat Mass Transf. 2012, 55, 4734–4743. [Google Scholar] [CrossRef]
- Alawi, O.A.; Sidik, N.A.C. Influence of particle concentration and temperature on the thermophysical properties of CuO/R134a nanorefrigerant. Int. Commun. Heat Mass Transf. 2014, 58, 79–84. [Google Scholar] [CrossRef]
- Çolak, A.B.; Yıldız, O.; Bayrak, M.; Celen, A.; Dalkılıç, A.S.; Wongwises, S. Experimental Study on the Specific Heat Capacity Measurement of Water- Based Al2O3-Cu Hybrid Nanofluid by using Differential Thermal Analysis Method. Curr. Nanosci. 2021, 16, 912–928. [Google Scholar] [CrossRef]
- Yan, S.-R.; Kalbasi, R.; Nguyen, Q.; Karimipour, A. Rheological behavior of hybrid MWCNTs-TiO2/EG nanofluid: A comprehensive modeling and experimental study. J. Mol. Liq. 2020, 308, 113058. [Google Scholar] [CrossRef]
- Çolak, A.B.; Yıldız, O.; Bayrak, M.; Tezekici, B.S. Experimental study for predicting the specific heat of water based Cu-Al2O3 hybrid nanofluid using artificial neural network and proposing new correlation. Int. J. Energy Res. 2020, 44, 7198–7215. [Google Scholar] [CrossRef]
- Giwa, S.O.; Sharifpur, M.; Goodarzi, M.; Alsulami, H.; Meyer, J.P. Influence of base fluid, temperature, and concentration on the thermophysical properties of hybrid nanofluids of alumina–ferrofluid: Experimental data, modeling through enhanced ANN, ANFIS, and curve fitting. J. Therm. Anal. Calorim. 2021, 143, 4149–4167. [Google Scholar] [CrossRef]
- Khosravi, R.; Rabiei, S.; Khaki, M.; Safaei, M.R.; Goodarzi, M. Entropy generation of graphene-platinum hybrid nanofluid flow through a wavy cylindrical microchannel solar receiver by using neural networks. J. Therm. Anal. Calorim. 2021, 145, 1949–1967. [Google Scholar] [CrossRef]
- Peng, Y.; Parsian, A.; Khodadadi, H.; Akbari, M.; Ghani, K.; Goodarzi, M.; Bach, Q.-V. Develop optimal network topology of artificial neural network (AONN) to predict the hybrid nanofluids thermal conductivity according to the empirical data of Al2O3—Cu nanoparticles dispersed in ethylene glycol. Phys. A Stat. Mech. Its Appl. 2020, 549, 124015. [Google Scholar] [CrossRef]
- Karimipour, A.; Bagherzadeh, S.A.; Goodarzi, M.; Alnaqi, A.A.; Bahiraei, M.; Safaei, M.R.; Shadloo, M.S. Synthesized CuFe2O4 /SiO2 nanocomposites added to water/EG: Evaluation of the thermophysical properties beside sensitivity analysis & EANN. Int. J. Heat Mass Transf. 2018, 127, 1169–1179. [Google Scholar]
- Alrashed, A.A.; Gharibdousti, M.S.; Goodarzi, M.; de Oliveira, L.R.; Safaei, M.R.; Filho, E.B. Effects on thermophysical properties of carbon based nanofluids: Experimental data, modelling using regression, ANFIS and ANN. Int. J. Heat Mass Transf. 2018, 125, 920–932. [Google Scholar] [CrossRef]
- Bagherzadeh, S.A.; D’Orazio, A.; Karimipour, A.; Goodarzi, M.; Bach, Q.-V. A novel sensitivity analysis model of EANN for F-MWCNTs–Fe3O4/EG nanofluid thermal conductivity: Outputs predicted analytically instead of numerically to more accuracy and less costs. Phys. A Stat. Mech. Its Appl. 2019, 521, 406–415. [Google Scholar] [CrossRef]
- Ghasemi, A.; Hassani, M.; Goodarzi, M.; Afrand, M.; Manafi, S. Appraising influence of COOH-MWCNTs on thermal conductivity of antifreeze using curve fitting and neural network. Phys. A Stat. Mech. Its Appl. 2019, 514, 36–45. [Google Scholar] [CrossRef]
- Esfe, M.H.; Saedodin, S.; Naderi, A.; Alirezaie, A.; Karimipour, A.; Wongwises, S.; Goodarzi, M.; bin Dahari, M. Modeling of thermal conductivity of ZnO-EG using experimental data and ANN methods. Int. Commun. Heat Mass Transf. 2015, 63, 35–40. [Google Scholar] [CrossRef]
- Hosseini, S.M.; Safaei, M.R.; Goodarzi, M.; Alrashed, A.A.; Nguyen, T.K. New temperature, interfacial shell dependent dimensionless model for thermal conductivity of nanofluids. Int. J. Heat Mass Transf. 2017, 114, 207–210. [Google Scholar] [CrossRef]
- Bahrami, M.; Akbari, M.; Bagherzadeh, S.A.; Karimipour, A.; Afrand, M.; Goodarzi, M. Develop 24 dissimilar ANNs by suitable architectures & training algorithms via sensitivity analysis to better statistical presentation: Measure MSEs between targets & ANN for Fe–CuO/Eg–Water nanofluid. Phys. A Stat. Mech. Its Appl. 2019, 519, 159–168. [Google Scholar] [CrossRef]
- Shamshirband, S.; Malvandi, A.; Karimipour, A.; Goodarzi, M.; Afrand, M.; Petković, D.; Dahari, M.; Mahmoodian, N. Performance investigation of micro-and nano-sized particle erosion in a 90 elbow using an ANFIS model. Powder Technol. 2015, 284, 336–343. [Google Scholar] [CrossRef]
- Wu, H.; Bagherzadeh, S.A.; D’Orazio, A.; Habibollahi, N.; Karimipour, A.; Goodarzi, M.; Bach, Q.-V. Present a new multi objective optimization statistical Pareto frontier method composed of artificial neural network and multi objective genetic algorithm to improve the pipe flow hydrodynamic and thermal properties such as pressure drop and heat transfer coefficient for non-Newtonian binary fluids. Phys. A Stat. Mech. Its Appl. 2019, 535, 122409. [Google Scholar] [CrossRef]
- Zhao, N.; Wen, X.; Yang, J.; Li, S.; Wang, Z. Modeling and prediction of viscosity of water-based nanofluids by radial basis function neural networks. Powder Technol. 2015, 281, 173–183. [Google Scholar] [CrossRef]
- Shahsavar, A.; Bahiraei, M. Experimental investigation and modeling of thermal conductivity and viscosity for non-Newtonian hybrid nanofluid containing coated CNT/Fe3O4 nanoparticles. Powder Technol. 2017, 318, 441–450. [Google Scholar] [CrossRef]
- Ghaffarkhah, A.; Bazzi, A.; Dijvejin, Z.A.; Talebkeikhah, M.; Moraveji, M.K.; Agin, F. Experimental and numerical analysis of rheological characterization of hybrid nano-lubricants containing COOH-Functionalized MWCNTs and oxide nanoparticles. Int. Commun. Heat Mass Transf. 2019, 101, 103–115. [Google Scholar] [CrossRef]
- Alirezaie, A.; Saedodin, S.; Esfe, M.H.; Rostamian, S.H. Investigation of rheological behavior of MWCNT (COOH-functionalized)/MgO—Engine oil hybrid nanofluids and modelling the results with artificial neural networks. J. Mol. Liq. 2017, 241, 173–181. [Google Scholar] [CrossRef]
- Yan, S.-R.; Kalbasi, R.; Nguyen, Q.; Karimipour, A. Sensitivity of adhesive and cohesive intermolecular forces to the incorporation of MWCNTs into liquid paraffin: Experimental study and modeling of surface tension. J. Mol. Liq. 2020, 310, 113235. [Google Scholar] [CrossRef]
- Tian, X.-X.; Kalbasi, R.; Qi, C.; Karimipour, A.; Huang, H.-L. Efficacy of hybrid nano-powder presence on the thermal conductivity of the engine oil: An experimental study. Powder Technol. 2020, 369, 261–269. [Google Scholar] [CrossRef]
- Tian, Z.; Rostami, S.; Taherialekouhi, R.; Karimipour, A.; Moradikazerouni, A.; Yarmand, H.; Zulkifli, N.W.B.M. Prediction of rheological behavior of a new hybrid nanofluid consists of copper oxide and multi wall carbon nanotubes suspended in a mixture of water and ethylene glycol using curve-fitting on experimental data. Phys. A Stat. Mech. Its Appl. 2020, 549, 124101. [Google Scholar] [CrossRef]
- Rostami, S.; Nadooshan, A.A.; Raisi, A. The effect of hybrid nano-additive consists of graphene oxide and copper oxide on rheological behavior of a mixture of water and ethylene glycol. J. Therm. Anal. Calorim. 2019, 139, 2353–2364. [Google Scholar] [CrossRef]
- Heidari, E.; Sobati, M.A.; Movahedirad, S. Accurate prediction of nanofluid viscosity using a multilayer perceptron artificial neural network (MLP-ANN). Chemom. Intell. Lab. Syst. 2016, 155, 73–85. [Google Scholar] [CrossRef]
- Toghraie, D.; Sina, N.; Jolfaei, N.A.; Hajian, M.; Afrand, M. Designing an Artificial Neural Network (ANN) to predict the viscosity of Silver/Ethylene glycol nanofluid at different temperatures and volume fraction of nanoparticles. Phys. A Stat. Mech. Its Appl. 2019, 534, 122142. [Google Scholar] [CrossRef]
- Esfe, M.H.; Kamyab, M.H.; Afrand, M.; Amiri, M.K. Using artificial neural network for investigating of concurrent effects of multi-walled carbon nanotubes and alumina nanoparticles on the viscosity of 10W-40 engine oil. Phys. A Stat. Mech. Its Appl. 2018, 510, 610–624. [Google Scholar] [CrossRef]
- Zolghadri, A.; Maddah, H.; Ahmadi, M.; Sharifpur, M. Predicting Parameters of Heat Transfer in a Shell and Tube Heat Exchanger Using Aluminum Oxide Nanofluid with Artificial Neural Network (ANN) and Self-Organizing Map (SOM). Sustainability 2021, 13, 8824. [Google Scholar] [CrossRef]
- Shafiq, A.; Çolak, A.B.; Sindhu, T.N.; Al-Mdallal, Q.M.; Abdeljawad, T. Estimation of unsteady hydromagnetic Williamson fluid flow in a radiative surface through numerical and artificial neural network modeling. Sci. Rep. 2021, 11, 1–21. [Google Scholar] [CrossRef] [PubMed]
- Shafiq, A.; Çolak, A.B.; Sindhu, T.N. Designing artificial neural network of nanoparticle diameter and solid–fluid interfacial layer on single-walled carbon nanotubes/ethylene glycol nanofluid flow on thin slendering needles. Int. J. Numer. Methods Fluids 2021. [Google Scholar] [CrossRef]
- Rafiee, M.; Abbasian-Naghneh, S. E-learning: Development of a model to assess the acceptance and readiness of technology among language learners. Comput. Assist. Lang. Learn. 2019, 730–750. [Google Scholar] [CrossRef]
- Abbasian-Naghneh, S.; Tehrani, R.; Tamimi, M. The Effect of JCPOA on the Network Behavior Analysis of Tehran Stock Exchange Indexes. Adv. Math. Financ. Appl. 2019, 6, 1–13. [Google Scholar] [CrossRef]
- Abbasian-Naghneh, S. Global Malmquist Productivity Index based on preference common-weights. Filomat 2016, 30, 2653–2661. [Google Scholar] [CrossRef]
- Ghanbari, A.; Hadavandi, E.; Abbasian-Naghneh, S. An Intelligent ACO-SA Approach for Short Term Electricity Load Prediction. In Proceedings of the 6th International Conference on Intelligent Computing, ICIC 2010, Changsha, China, 18–21 August 2010; pp. 623–633. [Google Scholar]
- Jahanshahloo, G.; Zohrehbandian, M.; Abbasian, H.; Abbasian-Naghneh, S. A new approach for the facility layout design in manufacturing systems. Life Sci. J. 2013, 10, 1097–8135. [Google Scholar]
- Chu, Y.-M.; Ibrahim, M.; Saeed, T.; Berrouk, A.S.; Algehyne, E.A.; Kalbasi, R. Examining rheological behavior of MWCNT-TiO2/5W40 hybrid nanofluid conducting experimental study- Challenging of RSM and ANN. J. Mol. Liq. 2021, 333, 115969. [Google Scholar] [CrossRef]
- Rostami, S.; Kalbasi, R.; Jahanshahi, R.; Qi, C.; Abbasian-Naghneh, S.; Karimipour, A. Effect of silica nano-materials on the viscosity of ethylene glycol: An experimental study by considering sonication duration effect. J. Mater. Res. Technol. 2020, 9, 11905–11917. [Google Scholar] [CrossRef]
- Ibrahim, M.; Saeed, T.; Chu, Y.-M.; Ali, H.M.; Cheraghian, G.; Kalbasi, R. Comprehensive study concerned graphene nano-sheets dispersed in ethylene glycol: Experimental study and theoretical prediction of thermal conductivity. Powder Technol. 2021, 386, 51–59. [Google Scholar] [CrossRef]
- Cheraghian, G. Improved Heavy Oil Recovery by Nanofluid Surfactant Flooding—An Experimental Study. In Proceedings of the 78th EAGE Conference and Exhibition 2016, Online, 30 May–2 June 2016. [Google Scholar] [CrossRef]
- Cheraghian, G.; Nezhad, S.S.K.; Bazgir, S. Improvement of thermal stability of polyacryl amide solution used as a nano-fluid in enhanced oil recovery process by nanoclay. Int. J. Nanosci. Nanotechnol. 2015, 11, 201–208. [Google Scholar]
- Kalbasi, R.; Afrand, M.; Alsarraf, J.; Tran, M.-D. Studies on optimum fins number in PCM-based heat sinks. Energy 2019, 171, 1088–1099. [Google Scholar] [CrossRef]
- Tian, X.-X.; Kalbasi, R.; Jahanshahi, R.; Qi, C.; Huang, H.-L.; Rostami, S. Competition between intermolecular forces of adhesion and cohesion in the presence of graphene nanoparticles: Investigation of graphene nanosheets/ethylene glycol surface tension. J. Mol. Liq. 2020, 311, 113329. [Google Scholar] [CrossRef]
- Khetib, Y.; Sedraoui, K.; Gari, A. Improving thermal conductivity of a ferrofluid-based nanofluid using Fe3O4- challenging of RSM and ANN methodologies. Chem. Eng. Commun. 2021, 10, 1–12. [Google Scholar] [CrossRef]
- Rostami, S.; Kalbasi, R.; Talebkeikhah, M.; Goldanlou, A.S. Improving the thermal conductivity of ethylene glycol by addition of hybrid nano-materials containing multi-walled carbon nanotubes and titanium dioxide: Applicable for cooling and heating. J. Therm. Anal. Calorim. 2021, 143, 1701–1712. [Google Scholar] [CrossRef]












| References | Nanoparticles | Concentration\Temperature | Findings |
|---|---|---|---|
| Hu et al. [21] | Investigation of pool boiling heat transfer (PBT) Up to 0.02 wt.%, PBT enhanced | ||
| Yu et al. [22] | 0–5 vol.% 10–60 | ||
| Yu et al. [23] | 0–5 vol.% | Owing to incorporation GON nanosheets into DW, propyl glycol, and liquid paraffin, k intensified by 30.2, 62.3, and 76.8% | |
| Yu et al. [24] | 5.0 vol.% | Enhancement in is up to 61.0%. It was found that the maximum enhancement was independent of temperature | |
| Yu et al. [25] | 5 vol.% | ||
| Moghaddam et al. [26] | 0.25–2 wt.% 20–60 °C | ntensified up to 401.49% at 2 wt.% and . | |
| Ahammed et al. [27] | 0.05, 0.1, and 0.15 vol.% 10–50 °C | 37.2% enhancement in thermal conductivity at 0.15 vol.% | |
| Baby et al. [28] | 0.005–0.05 vol.% 25–50 °C | ||
| Aravind and Ramaprabhua [29] | 0.14 vol.% 25 °C | ||
| Kole and day [30] | 10–70 | viscosity increased by 100% |
| References | Nanoparticles | Concentration\Temperature | References |
|---|---|---|---|
| Águila et al. [31] | CuO/Octadecane | 30–55 °C 2.5, 5, and 10 wt.% | non-Newtonian |
| Sahoo and Kumar [32] | Al2O3-CuO-TiO2/water | 0.01–0.1% 35 °C to 50 °C | |
| Esfe et al. [33] | CuO-MWCNT/10W40 | 5–55 °C Up to 10 vol.% | Non-Newtonian |
| Akilu et al. [34] | TiO2-CuO-C/EG | Up to 2 vol.% 30–60 °C | Newtonian |
| Asadi et al. [35] | CuO-TiO2/water | 0.1 to 1 vol% 25–55 °C | Newtonian behavior |
| Shah et al. [36] | CuO/EG-water (70;30) | 0.3 vol.% | Newtonian |
| Priya et al. [37] | CuO–water | Up to 0.016 vol.% 28–55 | |
| Alawi et al. [38] | CuO/R134a | 1 to 5 vol.%27–47 |
| Reference | Nanofluid | Input Data/Output Variable | Temperature/Concentration | Accuracy | Methods |
|---|---|---|---|---|---|
| Zhao et al. [54] | Al2O3–water CuO–water | output: | 10–50 up to 12 vol.% | ANN | |
| Shahsavar and Bahiraei [55] | Fe3O4-CNTs/water | output: | 25 and 55 °C | ANN | |
| Ghaffarkhah et al. [56] | MWCNT-Al2O3/SAE40 MWCNT-MgO/SAE40 MWCNT-ZnO/SAE40 MWCNT-SiO2/SAE40 | 25 and 50 °∁ 0.05, 0.25, 0.50, 0.75, and 1 vol.% | Not reported | ANN | |
| Alirezaie et al. [57] | MWCNT-MgO/Engine oil | 0.0625, 0.125, 0.25, 0.5, 0.75, and 1 vol.% 25–50 | ANN | ||
| Yan et al. [58] | Graphene nanosheets/ethylene glycol | 25–70 0–5 wt.% | RSM | ||
| Tian et al. [59] | Al2O3-MWCNT/10W40 | 25–65 Up to 1 vol.% | RSM | ||
| Yan et al. [40] | MWCNTs-TiO2/EG | 25–55 up to 1 vol.% | RSM | ||
| Tian et al. [60] | CuO/MWCNTs into water/EG | 20–60 Up to 1 vol.% | RSM |
| p-Value | F-Value | Parameter | p-Value | F-Value | Parameter |
|---|---|---|---|---|---|
| 0.98 | 0.00058 | 32.95 | |||
| 0.153 | 2.0577 | 55.026 | |||
| 123.39 | 0.2777 | 1.1862 | |||
| 0.711 | 0.1374 | 7.313 | |||
| 0.618 | 0.25 | 22.77 | |||
| 0.863 | 0.0296 | 46.368 | |||
| 0.741 | 0.109 | 0.055 | 3.737 | ||
| 0.0166 | 5.855 | 0.395 | 0.726 | ||
| 20.611 | 0.778 | 0.0794 | |||
| 0.0224 | 5.312 |
| Parameter | Value | Parameter | Value |
|---|---|---|---|
| 14.914 | −7.438 E−5 | ||
| −0.78439 | −1.620 E−4 | ||
| 4.26804 | 7.576 E−6 | ||
| −0.0209 | 0.0383 | ||
| −0.054 | −1.2028 E−6 | ||
| −3.288 E−4 | −9.1588 E−3 | ||
| −0.039446 | 2.57 E−4 | ||
| 0.018264 | −1.517 E−4 | ||
| 0.55451 | −0.13075 | ||
| 4.33736 E−4 | −1.908 E−6 |
Publisher’s Note: MDPI stays neutral with regard to jurisdictional claims in published maps and institutional affiliations. |
© 2021 by the authors. Licensee MDPI, Basel, Switzerland. This article is an open access article distributed under the terms and conditions of the Creative Commons Attribution (CC BY) license (https://creativecommons.org/licenses/by/4.0/).
Share and Cite
Melaibari, A.A.; Khetib, Y.; Alanazi, A.K.; Sajadi, S.M.; Sharifpur, M.; Cheraghian, G. Applying Artificial Neural Network and Response Surface Method to Forecast the Rheological Behavior of Hybrid Nano-Antifreeze Containing Graphene Oxide and Copper Oxide Nanomaterials. Sustainability 2021, 13, 11505. https://doi.org/10.3390/su132011505
Melaibari AA, Khetib Y, Alanazi AK, Sajadi SM, Sharifpur M, Cheraghian G. Applying Artificial Neural Network and Response Surface Method to Forecast the Rheological Behavior of Hybrid Nano-Antifreeze Containing Graphene Oxide and Copper Oxide Nanomaterials. Sustainability. 2021; 13(20):11505. https://doi.org/10.3390/su132011505
Chicago/Turabian StyleMelaibari, Ammar A., Yacine Khetib, Abdullah K. Alanazi, S. Mohammad Sajadi, Mohsen Sharifpur, and Goshtasp Cheraghian. 2021. "Applying Artificial Neural Network and Response Surface Method to Forecast the Rheological Behavior of Hybrid Nano-Antifreeze Containing Graphene Oxide and Copper Oxide Nanomaterials" Sustainability 13, no. 20: 11505. https://doi.org/10.3390/su132011505
APA StyleMelaibari, A. A., Khetib, Y., Alanazi, A. K., Sajadi, S. M., Sharifpur, M., & Cheraghian, G. (2021). Applying Artificial Neural Network and Response Surface Method to Forecast the Rheological Behavior of Hybrid Nano-Antifreeze Containing Graphene Oxide and Copper Oxide Nanomaterials. Sustainability, 13(20), 11505. https://doi.org/10.3390/su132011505

