Abstract
In this work, we show the experience of the driver rehabilitation process in the Republic of Serbia, with the analysis of the rehabilitation process and the changing of the drivers’ attitudes. Before performing the analysis, we define the basic hypothesis (implementation of the sustainability model of E learning for the driver rehabilitation process will impact the driver attitude and minimize the mistakes). In the analysis, we take the most recognized mistakes in the process of education. Implementation of this model is exclusive for a group of candidates who finished the driver rehabilitation process. Using the database of drivers who made mistakes, we made the electronic database (video material with comments) and subsequently implemented the driver education model to assess who made mistakes in the rehabilitation process. In the test process, we used the two groups of candidates (age 18–30 and 31–40), before and after the implementation of this e-learning model. In order to process the data, taking into account the small number of observations further in the research, correlation analysis was used, which determines whether there is a correlation between the amount of alcohol in blood (expressed in g/kg) and the reaction time (in seconds) of a driver. In the second part of the work, correlation analysis was performed with the aim to examine which type of relation exists between the candidates who participated in the driver rehabilitation program and candidates that participated in the program of the proposed e-learning model. The results of this study offer a direction in which learning takes place by itself and affects the effective environment of e-learning, multimedia teaching, virtual practical content, and learning under the instruction of the lecturer in this target group of participants in the rehabilitation program. How many times have we believed that we have an ability and overestimated our-selves in that? You can be convinced in traffic only if you have to prove that ability. The results of the application of this model make it possible to prove that ability and change the opinion about the stated mistakes. The key goal of this work is to make the sustainability e-learning model based on mistakes, which will eliminate the same mistakes made by drivers. The result would be top training and high-quality performance in traffic.
1. Introduction
The system of driver rehabilitation is one of the most important elements in the process of improving driver behavior in traffic [1]. What is really important for understanding the traffic rules and conditions is the driver’s age. Therefore, the system in this program is directed at a precisely defined groups of drivers. The target groups could be drivers who often break the law, drivers who show behaviors and habits contrary to the traffic safety rules (driving under the influence of alcohol or narcotics), drivers who have caused traffic accidents, etc.
Driver rehabilitation is a type of rehabilitation that helps individuals facing challenges caused by a physical or cognitive impairment or age to achieve safe, independent driving or transportation options through education or information dissemination. Professionals who work in the field use adaptive equipment and modified vehicles to help people attain independent community mobility.
The concept of penalty points has significantly contributed to the implementation and development of the rehabilitation system [2]. Penalty points are the precondition for the introduction of a cumulative punishment system, for the classification of drivers according to their behavior in traffic, for the recognition of drivers who need training, and for defining the measures which will be applied to drivers. Since June 2012, the Road Traffic Safety Agency of the Republic of Serbia has been organizing seminars on the improvement of knowledge in traffic safety for drivers whose driver’s license has been revoked, as well as the knowledge tests [3].
The general aim of the improvement process of drivers’ behaviors and the driver rehabilitation system is for all employees to adapt to the scheme of civilized behaviors on the road. This means that the improvement of drivers is being worked on even after they have passed the driving test, depending on their behavior in traffic [4]. A similar research model has been applied for driving under the influence of certain factors [5].
The system of penalty points enables proper classification of drivers, in accordance with their behavior in traffic [6]. The drivers can be divided into four categories:
- drivers who show safe behavior in traffic and do not make significant traffic violations;
- drivers who make significant traffic violations from time to time or rarely;
- drivers who have had a larger number of traffic violations;
- drivers who repeat severe traffic violations and are not ready to improve their behavior.
In accordance with each of the above-stated categories of drivers, relevant measures are applied with the aim of understanding the cause of such a behavior of a driver, encouraging safe behavior, or preventing them from making traffic violations. The rehabilitation system is part of the drivers’ training and the traffic safety system [7].
It is necessary to promote the attitude that traffic education is absolutely required for sustainable development.
E-learning offers dynamically created courses that adapt to the specific requirements of individuals, their previously acquired knowledge, abilities, ways of learning, and similarities.
In this regard, there is a need for a way of learning that adapts by taking the form of e-learning to the society, individual, or certain target groups.
The idea is to theoretically, and partly by implementation, contribute to the improvement of driver rehabilitation programs, with a certain model, with the help of intelligent information technologies.
The subject of this research is e-education and the possibility of applying the e-learning model based on errors that are applied to a certain group of candidates in the driver rehabilitation program.
The research will analyze the methods and ways of learning, multimedia technologies, and ways of their application in e-education, with the possibility of creating simulated real situations in which the candidate participates with a detailed analysis of mistakes made. Additional attention will be paid to the creation of database of errors, as a basis for continuous and relevant learning content.
The aim of this research includes:
- -
- The examination of multimedia and information technologies, generally suitable for the personalization of learning.
- -
- The proposal of a theoretical model for the creation of an adaptive electronic course of driver rehabilitation programs.
As all candidates are different and function in different ways, it is assumed that this way of learning, based on established mistakes in traffic, can improve and increase the efficiency of learning, which will reduce the risks in traffic in everyday life.
The structure of the research, after reviewing the literature in a separate chapter, describes the driver rehabilitation program in the Republic of Serbia, with an analysis of the program and a review of learning methods and techniques in the driver rehabilitation program, as well as previous experiences.
Work Structure
In a separate chapter, the research methodology is provided with a working hypothesis and auxiliary hypotheses. In addition to the presented tools for the research of databases, the e-learning model based on driver errors is also presented. In further continuation of the work, the research will be conducted on candidates who have passed the previous training of the driver rehabilitation program. The participation of candidates according to the proposed model will include two groups of respondents depending on their age. The first group consists of 50 candidates aged 18–30, and the second group consists of 24 candidates aged 31–40.
Candidates of both groups have been tested using the survey method before and after the application of the proposed e-learning model. The model has been designed so that based on the database of previous mistakes, in accordance with which the candidates are in the rehabilitation program, as well as the observed mistakes during the training, real simulated traffic accident situations are created.
In such conditions, the candidate creates the impression of a real event in an accidental situation of a traffic accident with visual and vibro-acoustic effects. Special attention in the research will be paid to unadjusted speed and alcohol consumption as frequent mistakes and the causes of traffic accidents. This part of research will include candidates who made the mistake of consuming alcohol while driving. Simulated situations under the influence of drunk glasses create an image of drunkenness with limited psychomotor reactions.
By measuring and presenting delayed reactions, the situations of possibility of avoiding accidents in virtual classrooms are analyzed. The research has an interdisciplinary character because it includes some of the scientific disciplines: methodology, statistics, informatics, psychology, and traffic.
The methodology includes the development of models. The informatics includes the application of information and communication technologies. The psychology includes the changes in the attitude of the candidate’s behavior, learning styles, and some personal characteristics, and the statistics include the data processing.
The contribution of this research is reflected in the application of the e-learning model with the aim of increasing knowledge about traffic rules and changing the attitude of participants towards inappropriate speeds and driving under the influence of alcohol.
2. Literature Review
Traffic safety is defined by the Law on Road Traffic Safety. The right to obtain a driver’s license is not limited by the level of candidates’ education. In such conditions, such a model of traffic education is necessary to overcome all obstacles and barriers that appear today in the system of driver rehabilitation programs, as well as in the training programs of new drivers.
The growth of countries and populations has led to various externalities, such as an increase of traffic accidents. Millions of people die in traffic accidents every year, in addition to serious economic, social, and environmental consequences. Many efforts have been made to reduce the frequency and severity of traffic accidents. The most effective way to solve the problem is through a comprehensive road safety management program, in which traffic safety modeling is essential [8]. The importance of traffic accident prediction models is emphasized in the contribution to proposing countermeasures to reduce the severity of collisions [9]. Experiences: A young child should be provided with experiences that are real and specific and provide opportunities for him or her to engage in repeated practices, such that old and new experiences can be linked to establish meaningful learning experiences that will enrich his or her aesthetic imagination and creativity [10].
Knowledge innovation and management accelerates with the prevalence of online assessment and learning because it has no difficulties in breaking through the limits of both space and time [11].
Exactly these kinds of statements lead to the solution of the traffic education model.
E-learning represents a new generation of electronic teaching methods. By connecting to the network, teachers and learners can experience interactive learning on the Internet. In addition to being a new instruction media, e-learning is a new tool and a completely new learning environment. It also overcomes the limitations of traditional teaching environments [12,13].
With the advanced and dynamic growth of technologies, how fast consumers adopt them depends on several factors, such as technology availability, convenience, consumer needs, safety, etc. [14].
When it comes to the model of knowledge evaluation, it is necessary to adhere to the following principles:
Remember these basic principles [14]:
- Regular assessment, formal and informal, can be used as milestones to increase students’ learning motivation.
- Appropriate assessment helps to strengthen and retain information.
- Assessing areas of strength can confirm and identify where further work is needed.
- Assessment can provide a closed cycle within the course modules.
- Assessments can promote student autonomy by encouraging their student progress self-evaluation.
- Assessments may cause learners to set targets for themselves.
Information technology is spreading and growing rapidly, suggesting that the technological tools of the next generation will be able to provide holistic opportunities for creative use [15].
Technology Acceptance Model 2 (TAM2), Unified Theory of Acceptance and Use of Technology (UTAUT), and Technology Acceptance Model 3 (TAM3)
This review could shed some light on potential applications for technology for future researchers to conceptualize, distinguish, and comprehend the underlying technology models and theories that might affect the previous, current, and future application of technology adoption [14].
The Theory of Reasoned Action (TRA) and the Theory of Planned Behavior (TPB) provide the foundation for the Technology Acceptance Model (TAM), which was designed and introduced by Davis in 1986 and serves as a method for exploring how the beliefs, attitudes, and intentions of e-learning users relate to different e-learning methods [16].
3. Driver Rehabilitation Program
Nowadays, great attention is paid to these problems worldwide. The following projects may be singled out as the most important sources of information:
The DRUID (Driving under the Influence of Drugs, Alcohol and Medicines) project is focused on the rehabilitation of drivers who have operated a motor vehicle under the influence of alcohol (DUI) or drugs (DUI). The DRUID consortium involved 36 partners from 18 EU member states. The project was the 6th part of the frame program financed by the European Commission [17].
The SUPREME (Summary and Publication of Best Practices in Road Safety in the Member States) project has been financed by the European Commission and KfV and consists of 14 parts. [18].
The ANDREA (Analysis of Driver Rehabilitation Program) project had the aim to provide information on individual preventive measures that positively affect the high-risk drivers. Driver rehabilitation programs, especially the efficiency of different programs, applied in the EU are described and analyzed. The results of this study can be seen as a general guide for the design of courses for drivers’ rehabilitation [19].
The project is aimed at experts (psychologists, trainers, etc.) who implement courses, in order to assess existing programs and adapt to the needs. It can be used for the purpose of staff training, especially as a basis for the introduction of new courses in different countries.
The study can help national and European decision-makers to answer questions: (1) whether driver rehabilitation programs should be implemented, (2) how driver rehabilitation programs should be implemented, and (3) how to optimize existing driver rehabilitation programs [20].
On the other hand, the program users—most of the drivers who have made serious traffic violations—can, based on this study, evaluate the quality of rehabilitation course. In this way, the study should contribute to the improvement of the quality of rehabilitation courses. Compared to the other areas, such as infrastructure or vehicles, rehabilitation and diagnostics measures are generally considered to be measures which have the least impact on traffic safety. The first studies that were conducted on the subject of the impact of rehabilitation measures on drivers’ behavior have indicated that the effects of these measures on the number of accidents and their consequences are very difficult to be proved [21].
The indicators for showing the effectiveness of these measures are ‘risk factors contributing to the accident’, such as the level of return, changes in attitudes, knowledge acquisition, the satisfaction of participants, the share of voluntary participants, successful participation, etc.
Within the disclosed rehabilitation measures, one of the most important indicators of the effects of measures is the rate of recidivism or the tendency to cause traffic accidents again. The only way to prove the effects of rehabilitation measures is a pilot project which would involve control and experimental groups, and on which occasion such conditions should be provided that the intervention over the experimental group would be the only major difference between these groups. In order to reliably determine the effect of rehabilitation on changing the behavior of drivers, it is essential that the following conditions are fulfilled:
- measurements before and after the intervention through questionnaires;
- test group (which follows the intervention) and control group (which does not follow the intervention);
- the size of the groups must be large enough to be able to demonstrate significant differences;
- the test group should represent all other offenders so that the results could be applied to others in the same target group, and
- methods of measurement must be accurate and valid.
The influence of the effects of rehabilitation measures on the behavior of drivers who have committed traffic violations is very simple if there is a quality system of registering the drivers. However, in order to identify the significant effects of the rehabilitation program on the occurrence of accidents, a significantly longer period of monitoring the drivers is needed, due to the traffic accidents being considerably less frequent as compared to traffic violations. Another important thing is how many drivers were active in driving (number of kilometers traveled). However, the official statistics on traffic accidents do not contain this information. An interesting observation is that almost all projects in the countries worldwide continue to base their approach on classical theoretical training which is not enriched with contemporary IT skills.
3.1. The Analysis of Driver Rehabilitation Program in Serbia
The driver rehabilitation program in the Republic of Serbia is regulated by the Law on Road Traffic Safety and the Rulebook on Improving Knowledge in Traffic Safety for Drivers whose Driver’s License Has Been Revoked. The institution which realizes drivers’ rehabilitation in practice (holder of rehabilitation programs) is the Road Traffic Safety Agency of the Republic of Serbia.
The types of rehabilitation programs implemented (whether the programs are the same for all drivers participating in rehabilitation or the groups are made in accordance with the type of traffic violation, such as driving under the influence of alcohol, speeding, and other. The program and content of the seminar are the same for all drivers, regardless of which violations have been previously made. The program of the mandatory seminar on the improvement of knowledge in the field of traffic safety, consists of:
- Group workshop
- Regulations on road traffic safety
- The importance and manner of safe behavior of drivers in the traffic on roads
The aim and target group of rehabilitation programs and the manner of selecting the participants:
- -
- The aim of the seminar is the improvement of knowledge in traffic safety, and the target group are drivers whose driver’s license has been revoked by the authorized authority.
The average annual number of drivers who have passed rehabilitation programs:
- -
- Since the implementation of a functional process of driver rehabilitation, 200 mandatory seminars on knowledge improvement have successfully been organized and conducted for the drivers whose driver’s license has been revoked. During the 200 seminars, around 2200 drivers have been rehabilitated, which means that during a period of almost four years, about 550 drivers have been rehabilitated per year.
Observed by years in the previous period, the following number of drivers was rehabilitated: in 2012, 42 drivers; 2013, 366 drivers, 2014, 705 drivers, and 2015, 1066 drivers. From the previous statistics, it is clear that, at the beginning of rehabilitation, the number of seminars was much smaller, that within the last two years the number of drivers attending the seminars has increased, and that the number of seminars in 2015 tripled compared to 2013.
The structure and duration of each type of rehabilitation measure: duration of the rehabilitation program in days/weeks, number of sessions per program, number of lessons per session, course program, thematic areas, etc.:
The program of the seminar and the topics covered at the seminar are defined and described in the Rulebook on Improving Knowledge in Traffic Safety for Drivers whose Driver’s License Has Been Revoked. According to the Rulebook, the seminar program covers:
- -
- Discussion in the group of participants about the causes and consequences of the behavior that led to the revocation of the driver’s license, lasting at least 9 classes and conducted in groups from 6 to 12 participants;
- -
- Lectures on knowledge of traffic regulations, lasting at least 15 classes and
- -
- Lectures on the importance and manner of safe behavior of drivers in road traffic, in order to avoid situations that lead to traffic accidents or traffic violations lasting at least 16 classes.
The seminar lasts for a total of 40 h and is realized within 14 working days. During one working day of the seminar, the participant can attend not more than 3 classes. A class lasts for 45 min and breaks between the classes last for 15 min.
The size of the group (number of participants) for each type of rehabilitation course:
For the part of the seminar which is conducted through discussion in the group of participants about the causes and consequences of behavior that led to the revocation of driver’s license, the size of the group is 6–12 participants. The exam is paper-based or computer-based and is taken before a committee formed by the Road Traffic Safety Agency of the Republic of Serbia. The examination committee consists of the president and two examiners. Meeting minutes are taken during the exam on traffic safety knowledge improvement. A driver passes the exam if he/she has scored at least 3/4 of the total points defined. The Road Traffic Safety Agency of the Republic of Serbia issues a certificate to the individuals after passing the exam.
3.2. Learning Methods and Techniques in the Driver Rehabilitation Program and Experience
The impression is that not too many things have changed as compared to before. New contents and goals of learning have been partially determined, but receptive transfer of knowledge still prevails. Now, also, as earlier, the teaching is dominated by the accumulation of materials, verbal abstract presentation of the material, and giving instructions. Methodological learning is not given too much of importance, neither in teaching nor in curricula, nor in the manuals of driver rehabilitation programs. On the contrary, teaching primarily strives for regulations and legal provisions, teaching and knowledge transfer, and thus very little is done on the adoption of basic methods of work and learning. In the curricula, it seems that it is only pointed out to the importance of learning by means of methods, but the obligatory contents and goals are still more important. The candidates should “know” and “recognize”, “see” and “understand”, they should be presented “ways of seeing” and “ways of systematization”, in order to get as much information as possible. The receptive attitude is not only a feature of the curricula, but it also implies further improvement of teachers, teaching materials as well as the entire organization of teaching. This approach often has a bad outcome in everyday life.
Several barriers prevent development and sustainment of driving rehabilitation and community mobility programs [21]. Those barriers significantly affect the number of existing programs. In 2006, researchers identified 510 driver rehabilitation programs in the United States [22]. At the time this study was conducted in 2008, the American Occupational Therapy Association’s (AOTA’s) Find a Driving Rehab Specialist database included 350 driving rehabilitation programs [21].
The results reinforce Pierce’s (2005) recommendations for driving rehabilitation program development, particularly the establishment of a professional development plan, thorough investigation of community need and available resources, research on existing programs, preparation of a proactive budget, and development of marketing and promotion strategies [23].
The question is whether a candidate-driver drives at an unadjusted speed or under the influence of unadjusted speed and whether in such conditions he does not know, i.e., does not have the knowledge that such a procedure is prohibited by the law or has the attitude that he is capable of driving in such conditions.
In the rehabilitation process and the content of the program, the knowledge is checked again: whether driving under the influence of alcohol or driving at an unadjusted speed is prohibited. The candidate will probably maintain the attitude that she/he is capable of driving in such conditions and that she/he possesses driving skills until the moment she/he experiences a situation of not being able to do so, with consequences. The candidate’s answer to the question of whether the use of alcohol is allowed according to the Law and regulations will probably be the correct answer, that such an action is prohibited and sanctioned. Well, the very reason why that candidate is in the rehabilitation program is either the use of alcohol or driving at the unadjusted speed. The system is such that the maximum number of points is taken off for such violations, within a short period of time.
Such applications of methods and techniques require changes in work with a defined goal of changing the attitude of drivers in traffic.
4. Research Methodology
Through the analysis of the driver rehabilitation system in Serbia, we have noticed the opportunity to implement a contemporary way of learning. Group workshop as part of the training enables us to set the ground for the application of newer and more contemporary learning technology. With the development of technology, it is necessary to change the teaching methods in such a way that incorporate the use of new technology. Technology ushers in fundamental structural changes that can be integral to achieving significant improvements in productivity [24].
Used to support both teaching and learning, technology infuses classrooms with digital learning tools, such as computers and handheld devices; expands course offerings, experiences, and learning materials; supports learning 24 h a day, 7 days a week; builds 21st century skills; increases student engagement and motivation; and accelerates learning.
Technology also has the power to transform teaching by ushering in a new model of connected teaching. This model links teachers to their students and to professional content, resources, and systems to help them improve their own instruction and personalize learning [24].
Mobile learning is yet to enter mainstream research in science education.
On the way to success, it is quite normal for us to make mistakes. Whether they are big or small, we consider them bad or even worse: they make us feel unsuccessful. What we do not know is that we actually learn on the principle of trials and errors—this is how our mind functions.
Furthermore, what kind of attitude we have towards mistakes is important because they can be a perfect tool for creativity and inspiration. We have been rebuked for our mistakes since we were little, and if it were not for them, we would neither learn nor develop. By studying complex systems, we can find a surprising connection between those who are successful. Their success is built through trial and error.
It is very difficult and extremely unpleasant to admit one’s own mistakes. The world has become too unpredictable and complex for today’s challenges, and it is dangerous to be guided by tried and ready solutions, as well as expert opinions. It is necessary to accept and appreciate mistakes. Based on them, we will find out how to do something new. Let the mistakes be our journey to success. The time we live in and the jobs we do every day require us to be flexible, agile, quick learners and to easily adapt to different situations.
Jobs whereby knowledge once gained is applied in the same manner until the end of working life are very rare.
We are of the opinion that these kinds of mistakes are useful and that it is possible to create a model of e-learning based on mistakes.
The current training model is based on mastering theoretical grounds which are supported by different rules on passing the exam. The individual evaluation of a candidate represents the essence that every candidate will recognize in himself/herself, which is what he or she knows, to make mistakes. The model will simply show to the candidate almost all of the mistakes created by this targeted mistake.
At the same time, the mistake will indicate where the weaknesses of the training are.
The model is based on a strong database of observed and frequent mistakes made by both the examiners during the evaluation process and by the candidates themselves.
The aim of this research is to create a theoretical model for E-learning in the driver rehabilitation program which is based on made mistakes, according which to which participants are involved in the rehabilitation program.
This research uses the literature review method and the survey method as the main research tool for qualitative and quantitative statistical researches.
The participants of this research are candidates who have lost the right to use a driver’s license after committing traffic violations. After having implemented a program of driver rehabilitation and successful passing of the exam according to the Law on Traffic Safety of the Republic of Serbia, a survey of program participants has been conducted.
The limiting factor was the sample of 50 candidates who were in the rehabilitation program during that time period. In the total number of candidates, 45 male candidates and 5 female candidates were involved.
We can assume that with the increase of practical experience of E-Learning usage in the system of the proposed model, the user will have more information on how easy or difficult the system is to use. Although the perceived ease of use may not be such, the users will still appreciate the importance of forming the behavioral intention in the later period of system usage.
The hypothesis of this research is:
Hypothesis 1 (H1).
The implementation of E-learning model for sustainability of driver rehabilitation programs will influence the change of driver’s attitude and the reduction of traffic errors.
The auxiliary hypotheses of this research are:
Hypothesis 2 (H2).
The perceived usefulness positively influences the intention of drivers.
Hypothesis 3 (H3).
The effect of observed usefulness in behavioral intentions to suggest that driving on a simulator affects candidate behavior.
4.1. Research Tools
The data for this study were gathered by means of a questionnaire.
The structure of questionnaire was prepared based on the objectives of research after reviewing the questions to be answered, as well as the relevant literature [25].
The structure is divided into the attitude on errors and causes of traffic accidents and the approach of practical teaching that integrates information technology and teaching contents of the proposed learning model.
The questionnaire is structured in its nature and provides a limited number of possible answers, which enables the generation of their frequency, which further enables easier statistical analysis.
The questions are defined by two answers, yes and no, because the Law on Traffic Safety does not allow for tolerance in respect of compliance with regulations.
Data Processing and Analysis
For the purposes of this work, the recorded data on measuring the reaction time delay dependent from the simulated value of amount of alcohol while driving under “Drunk glasses” have been used.
Pearson’s correlation method has been used for the data processing, expecting a linear trend of these data. In the second part of the research, the data obtained by the “Survey” method have been used, with the aim of defining the type of relationship that exists among the candidates who have participated in the driver rehabilitation program and after participating in the program of the proposed e-learning model. In that part, Spearman’s correlation of data rank has been used, which should indicate the importance of data ranks.
The characteristics of the examined variables are:
- -
- The attitude on behavior in traffic.
- -
- The attitude on the significance of observed errors.
The characteristics of stimulus impulse of variables, by applying the proposed model, are as follows:
- -
- Audio effect
- -
- Vibration effect
- -
- Visual effect
The experimental effect of driving under the influence of glasses and results obtained from research on the impact of alcohol on the slow reactions of drivers in Section K (Discussion–analysis of observed mistakes by candidates-participants in the virtual classroom) will influence the opinion and attitude of candidates, which will indicate H2, the effect of observed usefulness in behavioral intentions to the behavior performed.
Experimental visual driving simulator and the results of data processing collected by the “Survey” method, using correlation analysis, will rank and identify the problems to pay attention to in further application of the model and confirm the assumption of hypothesis H3, that perceived usefulness positively influences the intention of the behavior to be used.
4.2. Theoretical Model for E-Learning Based on Mistakes
In This section the E-Learning research model is described.
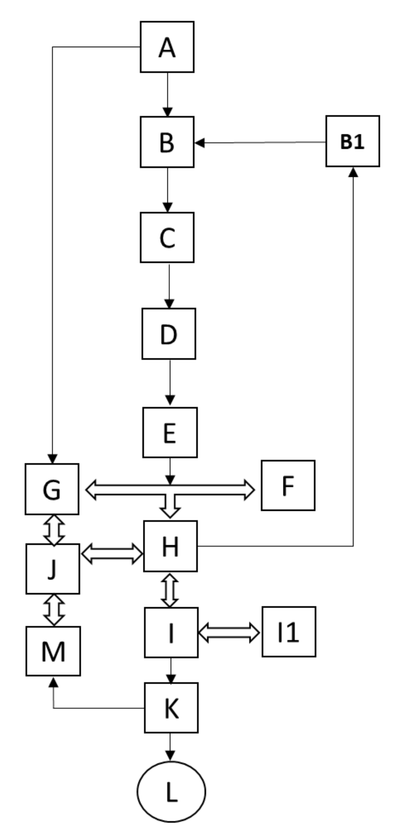
In Figure 1, the structure of the model is presented based on the following steps:
Figure 1.
E-learning research model.
A. Interviewing candidates about behavioral attitudes
B. Candidate training
B1. Suggestions and improvement of Rehabilitation Program—Group workshop
C. Review of video material with tragic consequences, caused by mistakes and attitudes of the drivers
D. Review of video material with the statements of participants in the accidents with tragic consequences and their opinion on changes in attitudes and made mistakes
E. Virtual driving—simulator with alcohol-fast driving program
G. Interviewing and recording errors of both candidates and examiners
H. Mistakes database
J. Comparative analysis of mistakes
F. Candidate selection
I. Virtual classroom with new simulated video material
I1. Creation of simulated video material with the expression of an error in action
I. Virtual classroom with new simulated video material
K. Discussion–analysis of observed mistakes by the candidates-participants of the virtual classroom
M. Interviewing candidates after applying the e-learning model
L. Success analysis.
Based on the proposed model, the first step in the application of the model is to interview the candidates with the aim of rating their knowledge and attitude on behavioral procedures in traffic. Having in mind that the rehabilitation program has been harmonized with the Law and regulations, the model as stated herein should benefit from the opportunity of improving the program in the “Group Workshop” because this is where this E-model can demonstrate the fulfillment of goals. After the implementation of the current rehabilitation program, in the next step we have the overview of video material with tragic consequences caused by mistakes and attitudes of the driver.
This film represents extremely strong emotional messages, which unfortunately last very briefly for the listener.
The review of video material with the statements of participants concerning the tragic consequences and their opinion on the changes in attitudes and mistakes leaves the candidate questions that they think about for a longer time, and they relate to whether such a fate could befall them. A very clear and characteristic message is sent by a participant who has passed all legal measures, such as time spent in prison, but more lasting and much stronger is his message of remorse, expressed by his attitude and the mistakes made in traffic.
Virtual driving in a simulator with the alcohol or high-speed program is a program that gives the impression of “drunk street”, where a candidate in a normal mental state experiences the impression of intoxication. Such simulation enables the candidate to understand the inability of safely operating of a vehicle under the influence of alcohol. It creates deep thinking about previous situations they experienced while making such mistakes. Through the selection of candidates, we identify the target groups of candidates on the basis of which we can systematically influence the targeted mistakes.
Transportation continues to be an integral part of modern life, and the importance of road traffic safety cannot be overstated. Consequently, recent road traffic safety studies have focused on analysis of risk factors that impact fatality and injury level (severity) of traffic accidents. While some of the risk factors, such as drug use and drinking, are widely known to affect severity, an accurate modeling of their influences is still an open research topic [26].
Interviewing and recording mistakes of both the candidates and examiners has the objective to correlate the results and mistakes made before and after the application of this model, and to point out positive or negative sides of the application of this model. Such an application gives us the opportunity to create an error database, which as a whole is the basis of this program, and based on its suggestions, corrections and actions will be given in the further implementation. Such a database allows for the creation of new simulated video material with the expression of an error of action that is correlated with a virtual classroom in which all candidates participate.
A virtual classroom with the new material has been aligned with the candidates. The current application has a general model, which is why the program is applied regardless of the larger number of examples of mistakes demonstrated at high speed, although it is mostly directed to intoxication and vice versa. In this manner, the candidates are targeted by a given program.
The answers, discussions, and problems that result in the virtual classroom usage are very significant because they also give new suggestions by interaction.
After the virtual classroom, the examiners discuss and analyze the mistakes noticed by the participants in the virtual classroom, and after that analyze the success.
Humans constantly use information from experience to perform predictive processing, which in turn can improve future behaviour. This bridging over different temporal points with past considerations is suggested to be a core capability which makes our cognitive brain so versatile and efficient [27].
4.3. Materials and Methods
Wright [28] also proposed that teachers could conduct activities using a diverse and extensive range of materials as well as media-oriented approaches. He believed that art could serve as a link between culture and society, and that aesthetic and artistic activities can stimulate the potential, thinking, creativity, and problem-solving skills of a young child at a deeper level. Clearly, the immediacy and convenience of information technology aligns well with the characteristics of visual art, and using information media, a large and diverse range of art media can be located. Thus, the application of information technology in teaching can enhance a young child’s visual and imaginative stimulation in many dimensions.
The training is carried out through a presentation which shows a vehicle movement with a real view of the road in 5D technology, roadway, road width, road infrastructure, and the surrounding traffic.
The driver is positioned in the seat of a simulation vehicle with control devices, a cockpit identical to that in a passenger vehicle.
Special attention is paid to the applications including the training of drivers, focusing on the assessment of risk from collision and studying of faults.
Thanks to artificial intelligence (AI), the simulator records and evaluates the habits of the driver. Driver percentage is used, with adjustment to every traffic situation.
This helps the user to improve their skills without risking their life or damaging the car, but at the same time allowing them to experience the risk in a real situation that will influence the change of the attitude and that it is not something that happens only to other people.
The only purpose of each of the abovementioned applications is to perceive the real risk situation in traffic that will influence the improvement of attitudes affecting behavior in traffic.
This project is aimed at creating real scenarios in traffic that would help the users to become more realistic and properly perceive the reasons in favor of the observance of traffic regulations. There are various other simulators meant to facilitate the same, such as simulators using VR for assistance in the treatment of patients suffering from phobias. There is a huge versatility, from racer games to F1 games and the open world of driving simulators, as well as swimming and flight simulators (Logitech). Most of those were made for the purpose of amusement, which is different from everything that this project aims to achieve. The intention is to offer the best experience in the sense of reality so that the application will be much more useful than the entertaining one.
In the experimental part, the game application Skoda Superb RS-Euro track simulator 2V1.25 ETS2 was used, with visual and video effects in addition to the usual driving program, as well as a dynamic vibration simulation of action and reaction in two situations of unavoidable contact, i.e., impact. In both situations, the vibration effect is achieved with the safety belt-tightening with greater intensity for body action and reaction in the seat.
The purpose of the project is to enable the candidates to experience feeling real risk and dangerous situations in traffic. This study mainly focuses on the steps to develop the application that will help people improve their knowledge and understand the consequences of non-observance of traffic regulations, i.e., the changes in thinking about behavior in traffic.
The goal of the application is to assess the mistakes that the driver makes in simulated driving from the aspect of the attitude affecting behavior in traffic.
The application tries to create a real driving experience, but it also adapts to different driving experiences.
The car driven by the user has all details required for a realistic drive, such as the external rearview, mirror, steering wheel, and paddles. At the same time, the audio and vibration effects respond when it comes to impacts, collisions with facilities, or driving on rough surfaces.
The experiment was conducted in the following way:
The target group of candidates includes the candidates who have passed the current driver rehabilitation program in Serbia.
The first group included the candidates for the training of drivers that passed the process of rehabilitation of drivers in the Republic of Serbia part of training, with a total of 50 candidates aged 18–30, namely 45 male candidates and 5 female candidates.
The other group included the candidates for the training of drivers that passed the process of rehabilitation of drivers in the Republic of Serbia part of training, with a total of 24 candidates aged 31–40, namely 24 male candidates and 0 female candidates.
The systematic procedure of interviewing and the realization of the questionnaire was approached in order to ask pre-defined questions and record the answers. The concept of the questionnaire aimed to indicate the distribution of characteristics, behaviors, attitudes in the population, i.e., drivers, attitudes towards alcohol consumption, awareness of driving skills, ability, and skills of driving at high speeds. In the second part of the questionnaire, the questions were conceived with the aim of changing the attitude of admitting mistakes. One of the important questions in the survey is: Do you think you can learn from your own mistakes?
The model of the practical part of the simulated driving experiment aimed to create a real situation that one of the traffic participants experienced or can experience. The significance of such a situation is related to the claim that one can learn from one’s own mistakes.
The questionnaire involving all respondents was conducted before the simulation drive.
Following the questionnaire, the simulation drive took place.
All three driving scenarios under the influence of alcohol have been implemented in the driving program with unadjusted speed. During virtual driving, unadjusted and sudden actions are created that are realistic in traffic and to which the driver must react [29].
The driver under the influence of the simulated state of alcohol creates the awareness that such reactions are delayed. The psychological effect of sound, vibration, and noise in a collision also contribute to this situation.
The aim of this part of research is to experience the real situation of creating accidents. We are of the opinion that, with the experience of incidents, the attitude and opinion towards consuming alcohol and the ability to drive safely in such conditions is changed. After the virtual drive, the candidates gave their opinion on the practical part as a whole.
After the driving simulation, the questionnaire was repeated, and the results were processed by the method of comparison.
The consumption of alcohol contributes to the driver’s false sense of self-confidence and reduces reaction time, coordination, assessment of speed, time, and distance, and concentration.
The aggravating circumstance of researching the influence of alcohol, i.e., the effect it has on decision making in this process, is that the individuals in an alcoholic state change their consciousness, the way of perception of events and problems, and even completely lose awareness of their reactions. Due to this experience of driving under the influence of alcohol, there are no events that can be analyzed from the driver’s point of view, in terms of their perception of the whole situation.
The influence of alcohol on the psychomotor abilities of drivers has been analyzed experimentally, on the basis of simulated situations with drunk glasses, which has determined the reduction measure of these abilities. However, the influence of driver alcoholism on the assessment of specific traffic situations can be established by measuring slow actions, namely the reaction time in relation to the simulated value of the amount of alcohol.
In order to approximate the effect of alcohol on people’s psychomotor abilities, since 2012, the glasses that simulate the effect of alcohol on these people’s abilities have been available in practice. In addition to the effect that these glasses have on the eyes, they also significantly affect the impression of balance. The measure and manner of influence of these glasses has been determined experimentally, working with the individuals who are under the influence of alcohol. It is these glasses that represent a great opportunity to show sober people the effect that alcohol has on their psychomotor abilities, with the absolute exception of the influence on user’s consciousness. This proactive approach has created a bridge between consciousness and the manifestation of the effect of alcohol on psychomotor abilities, when sober people have the opportunity to feel how alcohol disturbs their perception.
By applying these glasses, the effect of simulation is accomplished through the sense of sight, whereby the measure of the effect is approximately the same for all examinees, regardless of the physical constitution, gender, etc.
The simulation of driver perceptual characteristics has been performed using the “Vienna Test System” in combination with a virtual simulator. This device is intended for assessing the psychomotor abilities of drivers. Figure 2 shows the appearance of drunk glasses.
Figure 2.
Drunk Busters [30].
In this part of the research, only the reaction test to certain traffic situations has been used in order to avoid traffic accidents. The processed results of the influence of alcohol on the reaction time delay have been presented to the participants of the e-learning model of learning, in step K (discussion–analysis of observed mistakes by the candidates-participants of the virtual classroom) and following the survey after the e-learning model was realized.
All candidates of the first group (age: 18–30) and the candidates of the second group (age: 31–40) have been included in the program of drunk glasses.
The amount of alcohol in the level of 0.00–0.3 permille of alcohol has not been considered because, in accordance with the regulations, it is allowed and in the given conditions does not represent a violation and made mistake.
These tests have 3 levels, each of which represents a different scenario, such as driving:
Under the influence of alcohol with “drunk glasses”, as follows:
- From 0.3% to 0.5% of alcohol
- From 0.51% to 1.0% of alcohol
- Over 1.5% of alcohol
Scenario I involved city driving at an unadjusted speed.
Scenario II involved driving at an unadjusted speed outside the settlement
Scenario III involved driving at an unadjusted speed on the highway.
In all scenarios of virtual driving, the situation of a traffic accident has been imposed.
The reaction time has been measured at 10 candidates of the first group (age: 18–30) and 10 candidates of the second group (age: 31–40). The mentioned candidates are listed in step F. The candidate selection of the mentioned model has been made on the grounds of errors’ database, based on which they have lost points and their driver’s license, in the specific case of consuming alcohol while driving. It is due to this reason that they are in the driver’s rehabilitation program.
The data have been processed by the statistical method of Pearson correlation coefficient, which determines whether there is a correlation between the amount of alcohol in blood (expressed in g/kg) and the reaction time (in seconds) of a driver. The results of measurements and calculations of the coefficient r are shown in Table 1, Table 2, Table 3 and Table 4.
Table 1.
Results of Measurements and Calculations of the Coefficient (r)—the First Group of Candidates (Age: 18–30).
Table 2.
Results of Measurements and Calculations of the Coefficient (r)—the Seccond Group of Candidates (Age: 31–40).
5. Research Results and Discussion
The 10 participants of both groups, after applying the questionnaire method, continued with their practical testing on the simulator, with the aim of identifying the real situation of alcohol consumption while driving, which essentially represents one of the mistakes that frequently occurs in traffic. The application of “Drunk Glasses” has contributed to setting the ground for realistic conditions of the psychophysical state and creation of the same state as in situations when alcohol is consumed.
If the obtained results, shown in Table 1, Figure 3 are presented graphically, and the trend line is drawn, due to the observed linearity, the choice of the Pearson correlation method for further calculation is justified [31].
Figure 3.
Dependence of alcohol to the time of a driver’s reaction—the First Group of Candidates (Age: 18–30).
Pearson’s correlation coefficient r is used to determine whether there is a relationship between the amount of alcohol in blood (expressed in g/kg) and the reaction time (in seconds) of the driver.
The correlation between the amount of alcohol in blood and the reaction time is positive, high, and statistically significant with a risk of less than 1%. The more alcohol in the blood, the more time it takes to react.
A graphical representation of the results from Table 2, shown in Figure 4, also shows the linearity trend line and justifies further use of the Pearson’s correlation method.
Figure 4.
Dependence of alcohol to the time of a driver’s reaction—the Second Group of Candidates (Age: 31–40).
The correlation between the amount of alcohol in blood and the reaction time is positive, moderate, and statistically significant with a risk of less than 1%. The more alcohol in blood, the more time it takes to react
The survey results before and after the application of the e-learning model for the first group of respondents (age: 18–30) are shown in Table 3. The survey results before and after the application of the e-learning model for the second group of respondents (age: 31–40 years) are shown in Table 4.
The questionnaire results showed the following:
Table 3.
Results of the questionnaire carried with the first group of respondents before and after the driving simulation experiment.
Table 3.
Results of the questionnaire carried with the first group of respondents before and after the driving simulation experiment.
| First Group of Respondents—18–30 | Before Exp. | After Exp. | |||
|---|---|---|---|---|---|
| YES | NO | YES | NO | ||
| 1. | Do you consider driving a vehicle at an illegal speed as dangerous driving? | 29 | 21 | 11 | 39 |
| 2. | Have you experienced dangerous driving situations caused by high speed and alcohol? | 38 | 12 | X | X |
| 3. | Do you think that you have good skills in managing a vehicle at high speed? | 35 | 15 | 18 | 32 |
| 4. | Do you think you make mistakes by consuming alcohol? | 14 | 36 | 33 | 17 |
| 5. | Do you think you make mistakes in traffic? | 18 | 32 | 8 | 42 |
| 6. | Do you think you can learn from your own mistakes? | 32 | 18 | 39 | 11 |
| 7. | Do you think you can safely operate on a simulator? | 44 | 6 | 12 | 38 |
| 8. | Do you think that an accident can happen to you too? | 28 | 22 | 37 | 13 |
| 9. | Do you think that this simulator could affect your attitude to driving? | 22 | 28 | 39 | 11 |
| 10. | Do you think the simulator should be used before driving training? | 18 | 32 | 29 | 21 |
Table 4.
Results of the questionnaire carried with the second group of respondents before and after the drive simulation experiment.
Table 4.
Results of the questionnaire carried with the second group of respondents before and after the drive simulation experiment.
| Second Group of Respondents—31–40 | Before Exp. | After Exp. | |||
|---|---|---|---|---|---|
| YES | NO | YES | NO | ||
| 1. | Do you consider driving a vehicle at an illegal speed as dangerous driving? | 20 | 4 | 11 | 9 |
| 2. | Have you experienced dangerous driving situations caused by high speed and alcohol? | 18 | 6 | X | X |
| 3. | Do you think that you have good skills in managing a vehicle at high speed? | 15 | 9 | 8 | 16 |
| 4. | Do you think you make mistakes by consuming alcohol? | 22 | 2 | 23 | 1 |
| 5. | Do you think you make mistakes in traffic? | 19 | 4 | 22 | 2 |
| 6. | Do you think you can learn from your own mistakes? | 19 | 5 | 24 | 1 |
| 7. | Do you think you can safely operate on a simulator? | 19 | 5 | 9 | 15 |
| 8. | Do you think that an accident can happen to you too? | 20 | 4 | 23 | 1 |
| 9. | Do you think that this simulator could affect your attitude to driving? | 19 | 5 | 23 | 1 |
| 10. | Do you think the simulator should be used before driving training? | 16 | 8 | 23 | 2 |
A comparison of the above results shows the differences of the group of participants after the simulated driving, i.e., the effects of the experiment. This was logical to expect because the goal of the simulation was to experience a real car accident, with the psychophysical state of alcohol consumption by vibrations, visual and sound effects, and the participants from this group experienced it as a reality. A very important situation is the awareness of returning to reality and thinking about whether it is so easy to return to a normal state after being subject to the influence of alcohol. This is very clearly indicated in the first group of participants aged 18–30 years. The second group of participants aged 31–40 shows a certain level of experience and maturity, and as such represents a logically careful group.
In order to process the data, taking into account the small number of observations going further in the research, Spearman’s rank correlation coefficient will be used to determine the correlations of the “Yes” responses, (X1), before and after applying the model for both groups of respondents (Y1).
Ranking the questions can indicate the importance of this issue before and after the application of the model.
Table 5 shows the results of data processing and the results of Spearman’s correlation coefficient for the first group of examinees (age: 18–30).
Table 5.
The Results of Spearman Correlation Coefficient for the First Group of Examinees (Age: 18–30).
The correlation between the question from the questionnaire with the answer “yes” for (X1) and (Y1) is a positive and medium strong correlation and it is within the range: 0.5 ≤ r < 0.8.
These results can be interpreted in that a positive attitude about made mistakes before the implementation of the e-learning model gives better results. Table 6 shows the results of data processing and the results of Spearman’s correlation coefficient for the second group of examinees (age: 31–40).
Table 6.
The Results of Spearman Correlation Coefficient for the First Group of Examinees (Age: 31–40).
The correlation for the second group of examinees (age: 31–40) is 0.54 and the same is positive in the range of medium–strong correlation. The ranking of questions is shown in Figure 5 and Figure 6.
Figure 5.
Diagram of questions ranking of the first group of examinees (age: 18–30).
Figure 6.
Diagram of questions ranking of the second group of examinees (age: 31–40).
Question No. 5. Do you think that you make mistakes in the traffic?
Obviously, this question attracted high attention among the examinees, and the ranking from 3–6 questions is identical.
Question No. 3. Do you think that you have good skills in managing a vehicle at high speed?
How many times have we believed that we have the ability and overestimated ourselves in that? You can be convinced in traffic only if you have to prove that ability. At the same time, the seventh question requires safety in order to test individual skills, and it is also high ranked.
6. Conclusions
The results of the experimental part of driving with drunk glasses proved to us the decrease in psychomotor abilities and the delay of reactions while driving.
The proven correlation between the amount of alcohol in blood and the reaction time is positive, high, and statistically significant and provides the candidate with the message that the more alcohol in blood, the more time it takes to react, or the less alcohol, the less reaction time.
This statement, which is proven by the candidate’s participation in virtual driving, represents a life practice as a model of learning. The availability of reaction time provides the possibility of annulling another unadjusted speed error, timely reaction, and under certain conditions of higher speed, reduces the possibility of an accident.
The presented material concerning the late actions of the respondents, their explanations of so many seconds of time in relation to the speed of movement, the possibility of avoiding accidents, and the review of video material after driving with drunk glasses all create a suitable context for thinking about the circumstances of real situations.
This approach is explained in the research:
- -
- I. Virtual classroom with new simulated video material.
- -
- K. Discussion–analysis of observed errors by the candidates, participants of the virtual classroom.
Statistical processing of the “Yes” questions, which essentially represents a positive attitude of behavior, by processing the Pearson correlation coefficient method, indicates a moderately strong correlation between the first group of the younger population aged 18–31 and the second group of respondents (age: 31–40).
Preparation itself and the adequate educational background of candidates before the application of e-learning model would give better results. This statement leads to more creative and innovative changes in the driver rehabilitation program.
Researching the rank of questions in the questionnaire indicates its importance to the candidate. There are answers on how to improve and identify the problems that will occur during the model implementation. Constant quality monitoring is the only prerequisite for the right solution to this problem.
The users’ understanding and attitudes toward learning technology, including the attitudes of instructors and students, allow us to make learning more efficient and engaging.
When applying this model or learning system in the driver rehabilitation program, it is necessary to explore the attitudes of teachers towards this model or system.
In essence, understanding their perception toward the learning environment is a key question for improving teaching performance and learning effects.
This study has shown to us the intentions and attitudes of candidate drivers in the rehabilitation program according to the proposed e-learning model. In particular, the users’ perceptions of e-learning may include affective, cognitive, behavioral, and social components. Overall, e-learning environments could be developed keeping in mind these proposed guidelines: multimedia teaching with errors, multimedia teaching with accidental events, discussion, virtual driving with a planned accidental event, autonomous learning, instructor-led interaction, and improving the efficiency of learning with the constant improvement of teaching topics based on mistakes.
By the application of this model, the examiner will understand in what manner to recognize and explain a mistake made by a candidate. The created database of recognized, frequent mistakes leads to perfect knowledge of the examiner. The application of this model is of great importance. The continuity of updating the mistakes and updating the video material in the application will result in minimal conditions for making errors/mistakes. With the help of all the above-mentioned factors, we enable a candidate to virtually recognize the mistakes that emerge in traffic situations. The analysis and discussion of the participant in the virtual classroom will make the concept of examiners’ self-confidence stronger.
The model has been shown in this work as a concept, both graphically and descriptively. The innovative approach of the represented model mirrors a unique form of several steps which gradually make the participant of the course independent in their mastering the presented knowledge and skills. The key points in the application of the model are the development of learning material, the activities which encourage explorative approach, motivation, monitoring participants’ work and progress, and the communication between participants and moderator. The learning materials should gradually be transferred from complete information to starting information, demanding further exploration. The testing of knowledge should be continued through the application of knowledge in practice. It is necessary to elaborate the proposed experimental research model by theoretical and practical applications from the aspect of knowledge management.
The adequate use of e-learning must include the continuous improvement of learning performance. The results of this study offer a direction in which learning takes place by itself and affects the effective environment of e-learning, multimedia teaching, virtual practical content, and learning under the instruction of the lecturer in this target group of participants in the rehabilitation program.
In such conditions, the candidate is independently involved in solving the problem with a virtual experience, which we consider crucial for this target group of participants in the rehabilitation program.
The discussion and analysis lead us to the main characteristics of learning, namely the interactions between candidates and instructors.
By the constant improvement of teaching, creative approaches to teaching, cooperation, and interaction are facilitated with the aim to increase learning performance.
A poor assessment of the ability and skills of vehicle driving can change the attitude of a driver only if the driver himself or herself is convinced. It is the virtual simulator and virtual driving that have that task.
The contribution of using this research is reflected in the simpler solution of the burning problem of the human factor in traffic safety. The database of errors is a platform for enriching the teaching content.
Based on the questionnaire research, the users’ responses serve as critical information for understanding more about the users’ attitudes towards that technology or software.
E-learning could be studied from different perspectives, such as the affective, cognitive, behavioral, and social components.
Through the innovative use of information technologies, e-learning makes knowledge more accessible and brings challenges for both candidates and lecturers. This research assesses candidates’ attitudes and explores candidates’ perceptions of e-learning.
Future research studies should focus on methods to increase the autonomy and interaction of candidates and instructors. The bug database should design vivid multimedia e-learning content with the goal of improving the performance of candidates in rehabilitation programs.
The burden of the rehabilitation program in the future would continuously fall with strong support for traffic education among preschool and school age children. With such a program, the target group would narrow down to the problems of the age group.
It is necessary to extend the research to the importance of considering both affective and social components when we want to understand the attitudes of users. In such conditions, the users’ attitudes towards e-learning could be studied from different perspectives, such as affective, cognitive, behavioral, and social components.
With the innovative use of information technologies, e-learning makes knowledge more accessible and brings challenges for both candidates and lecturers. This research assesses candidates’ attitudes and examines candidates’ perceptions toward e-learning.
With the help of all this, a candidate is enabled to virtually participate in traffic accidents in such a way that they will forget that they are in a simulator.
In the future, it will be necessary to continue the research with the goal to establish whether the change of opinion after the conducted experiment, i.e., drive simulation, will enable the maintenance of a positive attitude affecting the behavior of traffic participants.
The application of this model, i.e., its implementation in the system of education and rehabilitation of drivers, will result in the creation of minimal traffic errors, reduce errors that cause traffic accidents, reduce the number of traffic errors causing death or injury, as well as those creating material damage.
Author Contributions
Conceptualization, Đ.V. and G.J.; methodology, J.V.; software, N.J.; validation, G.J., S.A. and Đ.V.; formal analysis, G.J.; investigation, N.J.; resources, G.O.; data curation, Ž.P.; writing—original draft preparation, Đ.V.; writing—review and editing, G.J.; visualization, N.J.; supervision, N.J.; project administration, J.V.; funding acquisition, S.A. All authors have read and agreed to the published version of the manuscript.
Funding
This research received no external funding.
Data Availability Statement
Not applicable.
Conflicts of Interest
The authors declare no conflict of interest.
References
- Alimpić, Z.; Bogićević, S.; Dragutinović Jovanović, N. Licensing of Personnel for Training Candidates for Drivers in the Republic of Serbia; Road Traffic Safety Agency of the Republic of Serbia: Belgrade, Serbia, 2013.
- Law on Road Traffic Safety. Official Gazette of the Republic of Serbia, no. 41/09, 53/10, 101/11. 2009. Available online: https://www.paragraf.rs/propisi/zakon_o_bezbednosti_saobracaja_na_putevima.html (accessed on 28 September 2021).
- Zhang, Q.; Yang, X.; Robert, L. Drivers’ Age and Automated Vehicle Explanations. Sustainability 2021, 13, 1948. [Google Scholar] [CrossRef]
- Rulebook on Conducting Exams, Organizing Seminars for Improving Knowledge and Keeping a Registry of Issued Permits (Licenses) for Examiners. Official Gazette of the Republic of Serbia no. 53/12; 2012. Available online: https://www.abs.gov.rs/admin/upload/documents/20200127133404-prirucnik_knjiga_1_drugo_izdanje.pdf (accessed on 28 September 2021).
- Kass, S.J.; Beede, K.E.; Vodanovich, S.J. Self-report measures of distractibility as correlates of simulated driving performance. Accid. Anal. Prev. 2010, 42, 874–880. [Google Scholar] [CrossRef] [PubMed]
- Mayer, R.E.; Anderson, R.B. The instructive animation: Helping students build connections between words and pictures in multimedia learning. J. Educ. Psychol. 1992, 84, 444–452. [Google Scholar] [CrossRef]
- Mayer, R.E. Multimedia learning: Are we asking the right questions. Educ. Psychol. 1997, 32, 1–19. [Google Scholar] [CrossRef]
- Nodari, C.T.; Lindau, L.A. Proactive method for safety evaluation of two-lane rural segments. Adv. Transp. Stud. 2007, 11, 51–61. [Google Scholar]
- Savolainen, P.T.; Mannering, F.L.; Lord, D.; Quddus, M.A. The statistical analysis of crash-injury severities: A review and assess ment of methodological alternatives. Accid. Anal. Prev. 2011, 43, 1666–1676. [Google Scholar] [CrossRef] [PubMed]
- Fan, R.-J.D.; Tan, P.J.B. Application of Information Technology in Preschool Aesthetic Teaching from the Perspective of Sustainable Management. Sustainability 2019, 11, 2179. [Google Scholar] [CrossRef]
- Tan, P.J.B.; Hsu, M.H. Designing a system for English evaluation and teaching devices A PZB and TAM model analysis. Euraia J. Math. Sci. Technol. Educ. 2018, 14, 2107–2119. [Google Scholar] [CrossRef]
- Juinn, P.; Tan, B. Students’ Adoptions and Attitudes towards Electronic Placement Tests: A UTAUT Analysis. Am. J. Comput. Technol. Appl. 2013, 1, 14–24. [Google Scholar]
- Juinn, P.; Tan, B. Applying the UTAUT to Understand Factors Affecting the Use of English E-Learning Websites in Taiwan. J. Sage Open 2013, 3, 2158244013503837. [Google Scholar]
- Tan, P.J.B. An Empirical Study of How the Learning Attitudes of College Students toward English E-Tutoring Websites Affect Site Sustainability. Sustainability 2019, 11, 1748. [Google Scholar] [CrossRef]
- Lai, P.C.; Ahmad, Z.A. Perceived Enjoyment of Malaysian consumers’ intention to use a single platform E-payment. In Proceedings of the International Conference on Liberal Arts & Social Sciences, Hanoi, Vietnam, 25–29 April 2014. [Google Scholar]
- Hong, S.; Thong, J.Y.; Tam, K.Y. Understanding continued information technology usage behavior: A comparison of three models in the context of mobile internet. Decis. Support Syst. 2016, 42, 1819–1834. [Google Scholar] [CrossRef]
- Driving Under the Influence of Drugs, Alcohol and Medicines in Europe—Findings from the DRUID Project. Available online: www.emcdda.europa.eu (accessed on 28 September 2021).
- Microsoft Word-SUPREME-FinalReport-PartD_HandbookForMeasuresAtTheEuropeanLevel.doc (europa.eu). Available online: https://ec.europa.eu/transport/road_safety/sites/default/files/pdf/projects_sources/supreme_d_handbook_for_measures_at_the_european_level.pdf (accessed on 28 September 2021).
- Andrea Draft Chapter “Introduction” (europa.eu). Available online: https://ec.europa.eu/transport/road_safety/sites/default/files/pdf/projects/andrea_final_report.pdf (accessed on 28 September 2021).
- Stav, W.B. Developing and implementing driving rehabilitation programs: A phenomenological approach. Am. J. Occup. Ther. 2012, 66, e11–e19. [Google Scholar] [CrossRef][Green Version]
- Stav, W.B.; Snider Weidley, L.; Love, A. Barriers to developing and sustaining driving and community mobility programs. Am. J. Occup. Ther. 2011, 65, e38–e45. [Google Scholar] [CrossRef]
- Stav, W.B.; Justiss, M.D.; Belchior, P.; Lanford, D.N. Clinical practice in driving rehabilitation. Top. Geriatr. Rehabil. 2006, 22, 153–161. [Google Scholar] [CrossRef]
- Pierce, S.L. Starting down the road to establishing a driver evaluation program. OT Pract. 2005, 10, 10–15. [Google Scholar]
- Oliveira, A.; Behnagh, R.F.; Ni, L.; Mohsinah, A.A.; Burgess, K.J.; Guo, L. Emerging technologies as pedagogical tools for teaching and learning science: A literature review. Hum. Behav. Emerg. Technol. 2019, 1, 149–160. [Google Scholar] [CrossRef]
- Creswell, J.W. Research Design: Qualitative, Quantitative and Mixed Method Approaches; SAGE Publications: Singapore, 2009. [Google Scholar]
- Kwon, O.H.; Rhee, W.; Yoon, Y. Application of classification algorithms for analysis of road safety risk factor dependencies. Accid. Anal. Prev. 2015, 75, 1–15. [Google Scholar] [CrossRef] [PubMed]
- Bubic, A.; Von Cramon, D.Y.; Schubotz, R.I. Prediction, cognition and the brain. Front. Hum. Neurosci. 2010, 4, 25. [Google Scholar] [CrossRef] [PubMed]
- Wright, S. Why Art Is Important for Young Children: The Arts, Young Children, and Learning; Pearson: London, UK, 2003. [Google Scholar]
- Azuma, Y.; Kawano, T.; Moriwaki, T. Evaluation Methods for Driving Performance Using A Driving Simulator under The Condition of Drunk Driving or Talking Driving with A Cell Phone, Mechatronics for Safety, Security and Dependability in a New Era; Elsevier: Oxford, UK, 2007; pp. 181–184. [Google Scholar] [CrossRef]
- Available online: http://www.mrg.rs/programi/bezbednost-u-saobracaju/drunk-busters/ (accessed on 28 September 2021).
- Pallant, J. SPSS Survival Manual; Allen & Unwin: Crows Nest, Australia, 2011. [Google Scholar]
Publisher’s Note: MDPI stays neutral with regard to jurisdictional claims in published maps and institutional affiliations. |
© 2021 by the authors. Licensee MDPI, Basel, Switzerland. This article is an open access article distributed under the terms and conditions of the Creative Commons Attribution (CC BY) license (https://creativecommons.org/licenses/by/4.0/).





