Next Article in Journal
Effects of Autogenous and Stimulated Self-Healing on Durability and Mechanical Performance of UHPFRC: Validation of Tailored Test Method through Multi-Performance Healing-Induced Recovery Indices
Next Article in Special Issue
Real Bounce Forward: Experimental Evidence on Destination Crisis Marketing, Destination Trust, e-WOM and Global Expat’s Willingness to Travel during and after COVID-19
Previous Article in Journal
Psychological and Physical Health of Organic and Conventional Farmers: A Review
Previous Article in Special Issue
Past and Future Trends in Medical Spas: A Co-Word Analysis
 
 
Font Type:
Arial Georgia Verdana
Font Size:
Aa Aa Aa
Line Spacing:
Column Width:
Background:
Article

Does COVID-19 Affect Safety and Security Perception in the Hospitality Industry? A Romanian Case Study

by
Silviu Gabriel Szentesi
1,
Lavinia Denisia Cuc
1,*,
Andrea Feher
2 and
Paul Nichita Cuc
3
1
Department of Economic Disciplines, Aurel Vlaicu University of Arad, 310130 Arad, Romania
2
Department of Economy and Firm Financing, Banat’s University of Agricultural Sciences and Veterinary Medicine “King Michael I of Romania” from Timisoara, 300645 Timisoara, Romania
3
Department of Statistical Science, University College London, London WC1E 6BT, UK
*
Author to whom correspondence should be addressed.
Sustainability 2021, 13(20), 11388; https://doi.org/10.3390/su132011388
Submission received: 30 August 2021 / Revised: 9 October 2021 / Accepted: 11 October 2021 / Published: 15 October 2021

Abstract

The objective of the article is to analyze, based on social exchange theory, the different risk and safety perceptions of employees and customers in the hospitality industry regarding the protections against the SARS-CoV-2 pandemic in an emerging market, namely in Romania. To this end, a questionnaire was administered simultaneously to both categories in Romanian hospitality units obtaining a sample of 561 employees and customers in the sector. While the emergence of SARS-CoV-2 virus has generated a lot of diverse research, studies focused on this particular topic, also regarding both customers and employees, were much less exploited. Therefore, eleven working hypotheses were formulated. It was highlighted that there is a positive perception of safety at work for employees, and jobs are protected from disappearance due to the pandemic through active measures taken by the organization. Employees do not show a significant desire to change jobs due to the new working conditions. The magnitude of safety measures taken had a positive impact on the customers, and customers do not pose a significant threat in hospitality industry units regarding the possibility of infection with the SARS-CoV-2 virus. The paper enlarges the understanding of behavioral effects of the SARS-CoV-2 pandemic, while from a managerial perspective the results are particularly useful for hospitality industry owners in order to attract and retain employees and to communicate and develop better relations with customers.

1. Introduction

The COVID-19 pandemic imposed tremendous challenges in most aspects of life, and regarding businesses, while other sectors saw modest effects, firms in the hospitality sector stopped their activity for several months. Furthermore, in order to control the spread of the pandemic, critical global responses were formulated, embodied in travel restrictions, regulations concerning hygiene, quarantine and social distancing [1]. With millions unemployed at once, uncertainties about the economic recovery and fears about the continued spread of COVID-19, the hospitality industry was among the first industries affected and will be among the last to recover [2]. The COVID-19 epidemic has led to losses in the international tourism industry in 2020 of $1.3 trillion and put 100–120 million direct jobs in tourism at risk [3]. Thus, current and future job security as well as customers’ distress and uncertainty are growing concerns and involves protecting them through active and passive measures. In this global context, it is important to investigate and learn from the emotional/behavioral responses of customers and employees regarding the work environment, safety and security [4,5,6,7], in order to increase loyalty, satisfaction, sustainability and profitability of the organization [8,9].
The hospitality industry is very vulnerable to threats from unexpected disasters, such as natural ones, terrorist attacks or epidemics [10,11,12,13] and, usually, the consequences are significant also in the long-term run. Based on social exchange theory, the paper looks to fill in a research gap regarding what aspects affect or do not affect the perception of risk and safety of both employees and customers in the industry. Additionally, the study looks to expand the social exchange theory’s emphasis on organization–employee exchange to include organization–customer exchange [14]. This information may provide solutions for increased work satisfaction, performance or decrease uncertainty in the workplace and for improved customer retention and contentment. The authors conducted this quantitative research in an emerging market that was severely hit by the pandemic. Further, from a review of works on the hospitality industry during the COVID-19 pandemic, conducted by Davahli et al. [2] out of a sample of 50 eligible papers from 175 articles found in the Web of Science, and ScienceDirect databases and Google Scholar, only five articles had the methodology of conducting surveys. These articles [15,16,17,18] present survey studies to investigate various aspects of the hospitality industry, including social costs, customer preferences, the chance of business survival and travel behavior. None of the papers aim to conduct a survey to determine employees’ perceptions of the safety of the workplace and the business environment in the hospitality industry in the current conditions of the global pandemic generated by the SARS-CoV-2 coronavirus. The research undertaken allows us to understand and mitigate the impact of this crisis on safety and helps us to be better prepared for the re-launch of the hospitality industry in the event of a future COVID-19 infection wave or new pandemic. Thus, the originality of this study derives both from the theme approached and methodology used.
This paper takes a double sided approach, as it looks at both employees and customers. The main aim of the article is to investigate and understand the perceptions, of those two sides, regarding the safety of the working environment in COVID-19 context and the safety of the workplace in the conditions of pandemic evolution and protection measures taken in the field of hospitality. The study also delves into the customers’ perceptions of safety and risk when benefiting from hotel and restaurant services.
The article includes five main sections. First, the Literature Review addresses the development of COVID-19 pandemic and the research hypotheses are developed. The second section, Materials and Methods, describes the research context, methodology and analysis process of the empirical study. It is followed by the Results Section and then a discussion in comparison with existing data from the literature. The paper ends with conclusions alongside the theoretical contributions for the development of the social exchange theory, the practical implications, and the limitations and research prospects.

2. Literature Review

Tourism and the hospitality industry are an open system, being characterized by a high degree of connection to the working environment. Due to the numerous correlations with various other sectors, tourism is very susceptible to change and very vulnerable to disasters [19,20]. Specifically, employees’ work was suspended for various time periods [2,3] and at the finalization of this paper (August 2021), there was talk of the fourth wave of COVID-19 [21]. These impacts are not often completely understood by managers and authorities. Organizations from many industries have put forth a significant effort to adapt to the turbulent conditions in their dynamics, as well as to develop answers and appropriate tactics, in order to stay competitive. The changing socio-economic setting, particularly in sanitation, has had an impact on how employees conduct their jobs and obligations for well over a year. The development of the COVID-19 pandemic has forced decisions about isolation and physical separation of individuals, particularly employees. Therefore, understanding the factors which play a major role in maintaining and increasing employees’ job satisfaction [4,5], increasing safety under unfamiliar conditions for both customers and employees is a major component these businesses need to take into account.
The SARS-CoV-2 virus has induced fear [22] and significant uncertainty among humans [23] and chaotic conditions in many industries. The tourism and hospitality industry is one of the most affected industries by the pandemic. In the period 2009–2019, international tourism registered a continuous growth, with a maximum of 1.5 billion international tourist arrivals in 2019 [24,25] and in 2020 [3] the number of international tourist arrivals decreased to 381 million (−74%). Tourism experts do not expect a return to pre-COVID-19 arrival levels until 2023 or later [26]. The main barriers are travel restrictions, slow containment of the virus, low traveler confidence and a poor economic environment. COVID-19 has also led to an unprecedented loss of jobs and income, resulting in millions of jobs and billions of euros in potential lost revenue. In this respect, some studies [27] recommend extraordinary funding measures and other support measures for the sector. In addition, a number of safety and health protocols are being considered, as there is hope that the hospitality industry will gradually reopen. COVID-19 vaccination [28,29,30] along with other sanitary measures or biosecurity behavior such as handwashing and wearing masks [31] are the key factors that can help to restart travel and revive the hospitality industry sector. However, there is still a lack of empirical studies devoted to analyzing COVID-19 vaccine confidence and tourism [32].
The shock in the tourism and hospitality industry is present and affects both the demand side and the supply side [19]. Customer behavior is largely driven by mobility restrictions, border closures and their fear of infection [33,34,35]. Regarding the offer, we are witnessing the total closure or restriction of the activities of the accommodation units, public catering and leisure facilities for tourism. Strategies to flatten the COVID-19 curve, such as community blocking, social distancing, home orders, travel restrictions and mobility, have led to the temporary closure of many hospitality companies and significantly reduced demand for businesses that were allowed to operate further [18]. Almost all restaurants were asked to limit their operations to take-outs. Restrictions on travel and home orders issued by the authorities led to a sharp decline in hotel occupancy and revenue.
Social exchange theory can explain the social implications generated by the COVID-19 pandemic, such as stress, safety, risk perception, wellbeing and satisfaction [36]. Social exchange is founded on specific conditions, such as obligations between parties, interdependence or social relations [37]. One of the social exchange theory’s assumptions is that the exchange of two parties within organisational relationships is based on reciprocity: when employees or customers feel supported and rewarded, they manifest positive and proactive attitudes and behaviors toward their work or interactions, thereby supporting desirable practises. Employees in an organisational setting are more likely to comprehend employee–organization reciprocity and to display good attitudes and produce outcomes for the benefit of the company when the latter assists or supports them [38]. Further, there were no extensive and new studies on the customer-organization social exchange, but applying this theory to services, when customers experience positive emotions after a service encounter those customers will want to revisit service providers when they value the source of positive emotions [39].
The complexities of the phenomena and social implications generated by the COVID-19 pandemic—namely stress, exhaustion, anxiety, burnout, counterproductive work behaviors, along with motivation, performance, health, wellbeing, development, and employee satisfaction—can be explained with the help of the social exchange theory [36]. Social exchange is founded on specific conditions, such as interdependence, social relations, and obligations between parties [37]. One of the social exchange theory assumptions is that within organizational relationships, the exchange of two parties is based on reciprocity: when employees feel supported and rewarded, they manifest positive and proactive attitudes and behaviors regarding their work, thus supporting desirable practices. Essentially, the employee–employer relationship takes shape and is strengthened based on these conditions. In an organizational context, employees tend to understand employee–employer reciprocity, and are prone to manifest positive attitudes and obtain results for the benefit of the organization when the latter helps and/or supports them [38]. In internal marketing research, social exchange theory shows a theoretical worth in evaluating the exchange between organization management that offers support through communication, development and rewards, and employees’ performance.
The management and marketing of travel units must be adapted to the new conditions of the pandemic, ensuring the needs of customers and employees regarding their satisfaction and safety. Currently, the management of tourist and restaurant units must take into account three important aspects: (i) artificial intelligence and robotics [40], (ii) hygiene and cleanliness [41], and (iii) physical and mental health [42]. The pandemic is expected to accelerate the penetration of artificial intelligence and robotics into the hospitality industry [43]. Robot reception services, facial or iris scanning check-in, guest voice control, robot delivery and support services, and other contactless services will begin to replace human-to-human contact services in the near future [10,40]. Hotel and catering areas are more likely to be contaminated by touch due to the high frequency of contact [44]. Thus, they can become a source of transmission of infectious diseases such as COVID-19. To determine how contactless technology can lead to hygiene, safety, and cleanliness in customer journeys, Pillai et al. [45] introduced the term “Hospitality 5.0,” derived from industry 5.0. The study is particularly focused on the role of artificial intelligence (AI), robotics, mobile technology, and contactless automation technology, as well as virtual and augmented reality (VR/AR), during various touchpoints in the customer’s journey. Another way that can also facilitate the transmission of the virus through aerosols is the air conditioners [46]. Under these conditions, the cleanliness and hygiene of the units has become particularly evident and with a direct impact on both customers and employees [10]. To attract customers to visit hotels and restaurants, it is necessary to focus on improving perceptions of safety and hygiene [47]. The results of the studies highlighted hygiene, cleanliness and safety as important parameters in the recovery plan both for COVID-19 and for other previous epidemics [48,49]. Implementing technology innovations for reducing guest interactions with hotel employees and for enhancing hotel cleanliness can be an effective strategy to reduce health risk for customers [47]. In fact, most branded hotels are already adopting technology systems for social distancing, such as the Marriott, Hilton, and Hyatt hotels, which have implemented technologies that will reduce staff interaction with hotel customers, such as mobile check-in systems, kiosk check-in machines, and robot cleaning systems. They also recently updated their cleanliness procedures and began to adopt advanced cleaning technologies for enhanced disinfection (e.g., electrostatic sprayers, ultraviolet-light technology, etc.). These strategies will be critical for hotels to reduce actual and perceived health risks for hotel customers [47]. Pillai et al. [45] present the recommendations of the Hotel Association of Canada which had also highlighted the importance of maintaining hygiene and safety. They recommended using appropriate surface sanitizers for food contact surfaces, and frequently sanitizing the human touch areas, such as door handles, elevator buttons, and stair railings. They also suggested having adequate time gaps between two consecutive shifts for employees to perform cleaning and sanitation.
Employees in the tourism and hospitality sector have a key role to play, as they have direct and permanent contact with customers [50,51]. During these interactions, employees have to perform emotional work [52] and this is influenced by personality, emotional intelligence, and orientation toward the customer. Therefore, supporting the emotional wellbeing of employees is one of the basic aspects of organizational psychology [53,54]. Schreuder et al. [55] observed that the way an individual perceives his environment directly affects the way he feels and behaves. Some researchers took a general look at the impact of the coronavirus COVID-19 pandemic on employees’ mental health. It identified the main stressors during and post COVID-19 such as perception of safety, threat and risk of contagion, stigma and social exclusion and job insecurity. The identified literature reports a negative impact of COVID-19 on an individual’s mental health [56]. Further, some studies state that maintaining a high level of job satisfaction, task performance, and the elimination of unproductive work habits are all new issues, should be considered for human resource management. Internal marketing could be a solution through which an organization may resolve the needs of its employees and contribute to a positive impact in performance [48]. Other papers look at just a subgroup in the sector, namely generation Y. They state that work environment, income, and relationships with management all have a major impact on generation Y employees’ job satisfaction, which in turn has an impact on employee commitment and intention to continue in the hospitality sector [49]. Therefore, the authors decided to further discover if age also plays a role in the employees’ job satisfaction and employee retention.
Recent literature also analyzes the environmental risks related to various sectors of activity. However, research is limited in addressing employee health and safety risks [57,58]. Holness et al. [59] conducted research on occupational skin disease awareness in the service sector, mainly among the hospitality industry units. The results of the study highlighted a low reported incidence of the disease, low priority for information, lack of training materials, and lack of time and cost of training and work culture. Therefore, in this case, no major impact of the disease was found on the safety and security of jobs related to the tourism and hospitality industry. With the onset of the COVID-19 pandemic, the literature was enriched. Much work has appeared on health risk factors for COVID-19, especially in the health sector. Mhango et al. [60] identifies the following associated risk factors for COVID-19 in health care workers: lack of protective equipment, exposure to infected patients, overload of work schedule, poor infection control, pre-existing medical conditions.
A study by Nazneen et al. [61] investigated, through an online survey, the impact of COVID-19 on travel behavior. The authors concluded that the pandemic has a significant impact on tourists’ decisions to travel. Respondents reported that they are concerned about the safety and hygiene of hotels, leisure facilities and public transport. It was also postulated that hygiene and the perception of safety will play a significant role in travel decisions in the post-COVID-19 period as well. While preliminary findings indicate that visible sanitation efforts (such as hand sanitizers at the entrance, staff wearing masks and gloves), implementing social distancing, limiting the number of customers served, more rigorous and frequent cleaning of high-touch surfaces in common areas and training of employees on health and safety protocols are the most important safety measures that customers expect from a restaurant and a hotel [62], more behavioral and causal research is needed to determine the effects (differential) of these operational strategies on customer attitudes and behavior. The results of the research [62] also indicate that about a quarter of customers will feel comfortable visiting a restaurant by taking a seat (patronizing a sit-down restaurant) only when their communities ability to test, track and isolate cases COVID-19 is significantly improved.
Starting from the literature review [63] and the objective of the research, the following working hypotheses were established:
Hypothesis H1. 
The perception of safety in the workplace of employees in the hospitality industry is a positive one.
Hypothesis H2. 
Jobs are protected from extinction due to the pandemic through active measures taken by the organization.
Hypothesis H3. 
Employees want to change jobs due to the danger of exposure to SARS-CoV-2 at work.
Hypothesis H4. 
The correct anti-COVID-19 protection measures taken by the organization influence the degree of employee satisfaction at work.
Hypothesis H5. 
Employees do not want to change jobs despite the increased discomfort due to imposed occupational safety conditions regarding protection against SARS-CoV-2.
Hypothesis H6. 
The probability of changing jobs depends on age.
Hypothesis H7. 
The probability of changing jobs is influenced by the salary obtained.
Hypothesis H8. 
The perception of safety in the hotel/restaurant is a positive one.
Hypothesis H9. 
Customers do not feel fear or threat of being infected with the SARS-CoV-2 virus.
Hypothesis H10. 
Clients who do not perceive any threats during their vacation are concerned below level 4 about their own and their family’s health.
Hypothesis H11. 
Whether clients feel any threat of being infected with the SARS-CoV-2 virus by the employees is influenced by the gender of the respondents.
This study contributes to the understanding of practical implications by recommending that the hospitality industry gain on the major trends that may follow the permanent changes that COVID-19 is expected to bring.

3. Research Methodology

3.1. Research Context

We looked at the context regarding the pandemic and its evolution in Romania (Figure 1) during 2020–2021. Following the study, the following aspects were found, which helped us to understand how the pandemic evolved and how it is possible to be in the future, specifically, the years 2021–2022.

3.2. Research Framework

Our survey questionnaires were constructed with one of the most frequently used online survey tools, “typeform.com”, which is well-known as a reliable online survey tool widely used by big corporations, such as Apple Inc., Airbnb, Uber and Nike Inc. The statistical community from which the data were collected based on online questionnaires refers to the 1599 hotels out of a total of 8610 tourist reception structures with accommodation functions existing on 31 July 2020 in Romania and to the tourists who were customers of these hotel accommodation units.
Two questionnaires were developed to collect the data for two statistical populations, employees regarding an inside perspective and customers offering an outside perspective (Table 1). A 16-question questionnaire that was applied to employees in the hospitality industry and another 12-question questionnaire dedicated to customers. Through a comprehensive literature review process, it was found that Rehman [64] confirmed the reliability and validity of the Urdu version of LibQUAL in the Pakistani context. This modified version was deemed easy to understand for the Pakistani college library users for the assessment of library service quality (LSQ). The LibQUAL consisted of 22 statements and three dimensions: affect of service (AS), information control (IC) and library as a place (LP). The researcher obtained permission from the Association of Research Libraries (ARL) to use this version for the current study, and Rehman [64] allowed the researchers to use his modified version. Keeping in view the objectives of the study, the scale was reduced to two aspects instead of the original three: desired level of service and perceived level.

3.3. Data Collection and Analysis

The authors either personally visited the hotels, restaurants and cafes and distributed the questionnaires with the permission of the owners or distributed them in the same establishments but through cold-calling, emails, etc. The goal of the study was explained to the respondents, and they agreed to participate voluntarily. Furthermore, due to the study’s geographically dispersed population, receiving responses took some time and effort. The analysis of the personnel data was performed on 269 valid questionnaires, employees of hotel type accommodation units. In the case of customers, 292 answered all questions. After numerous visits and reminders via emails, phone calls, and text messages, it resulted in a full response rate (people who started the questionnaire and fully answered all questions) of 67.92 percent and 64.47 percent respectively. We did not include questionnaires which were not entirely completed. The authors believe there was some hold back from answering personal questions such as income or age, answers which were mandatory for various analyses throughout the research.
The study was conducted during the holidays and vacations when the field of hospitality industry was much more in demand. We ensured the anonymity of the responses and the confidentiality of all data collected, with published results not containing any hotels and restaurants or cafes identifying information. The primary data collected were analyzed quantitatively and qualitatively and were coded for easier processing from an econometric point of view and for the development of descriptive statistics.
The evaluation was performed with a Likert scale according to the model in Table 2. scale between 1 and 5: total disagreement (1), disagreement (2), neither agree nor disagree (neutral) (3), agreement (4), and total agreement (5). The instrument takes about 7 min each to complete. Additionally to the questions regarding occupational health and safety, we included questions related to the variables such as gender, level of studies, income etc.
In the case of employees, the study had 269 respondents who answered each question in the questionnaire addressed to them. The data set consists of 107 men and 162 women working in the hospitality field, in positions such as receptionist, chef, bartender, manager, marketing, waiter, etc. As a level of income, 17 of the respondents earn less than €300, 141 earn between €300 and 500, 124 people earn between €500 and 1000, 25 between €1000 and 1500 and 15 over €1500. Regarding studies, 164 of the respondents have higher education, 127 have high school education, 23 have vocational education, and 5 people have just finished middle school.
In the case of customers, 334 respondents started the questionnaire, but only a number of 292 people completed it by the end. Thus, we referred to a set of 292 responses. The data set consists of 103 men and 189 women with professional activities such as economist, software developer, financial consultant, bank operator, salesman, student, etc., who interacted with the hospitality domain. As for level of income, 72 of the respondents earn less than €400, 111 people earn between €400 and 825, 70 between €825 and 1250 and 39 over €1250. Regarding studies, 206 of the respondents have higher education, 84 have high school education, and one person has just finished middle school.
For both data sets (employees and customers) we performed Shapiro-Wilk tests for numerical variables to verify normality. Shapiro–Wilk test was used because it is the most powerful for asymmetric data [65]. We rejected the null hypothesis, the data is normally distributed, as the p-value obtained is below the selected significance level 0.05. Therefore, the variables do not belong to a normal distribution and therefore in the study we will mainly use non-parametric tests.
The sample size of 267 persons was established on the basis of a non-repeated survey at a significance level of 5% and a maximum permissible error of 6%.
In the case of a repeated survey:
n = t α ; f 2 × p × q e 2 or n = t α ; f 2 × p × 1 p e 2
α—5% significance threshold, f—the number of degrees of release (f = ∞), error = +/−6%.
From the table of values for the Student distribution t 5 % ; = 1.96 .
n = 1.96 2 × 50 × 100 50 6 2 = 267  
The calculation technique aims at using the program R with the help of which we calculated the correlation coefficients V Cramer and Spearman. For testing some of the hypotheses we also used the t test. R was used because it is highly extensible. The ease with which well-designed, publication-quality plots can be made is one of R’s strengths. Additionally, it had great functionality, of which was extremely useful for our research and for data analysis (linear and non linear modeling, classical statistical tests, classification, clustering, and so on) [66]. The chi-squared statistic tells you how much difference exists between your observed counts and the counts you would predict if the population had no relationship at all. The Chi-square is a significant statistic, and should be followed by a statistic that tests the strength of the relationship, if there is any [67]. The Cramer’s V is the most common strength test used to test the data when a significant Chi-square result has been obtained. Cramer’s V coefficient is a way to calculate the correlation in tables that have more than 2 × 2 rows and columns. It is used to determine the degree of association after the chi-square test determined the existence of the association between variables [68]. The motivation for choosing the Spearman correlation was based on the fact that it is part of the non-parametric methods of link analysis and does not assume linearity between variables, and the variables of our categorical research are also of an ordinal nature. Based on these coefficients, the formulated hypotheses were tested and a descriptive statistic was performed [69].

4. Results

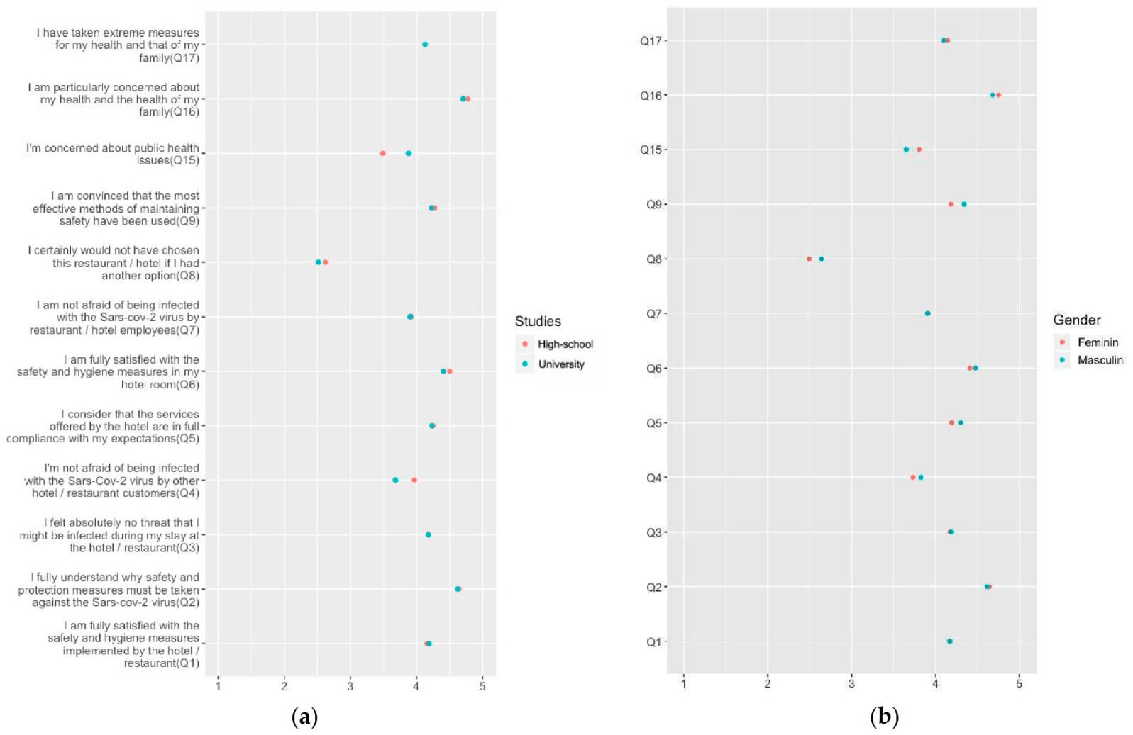
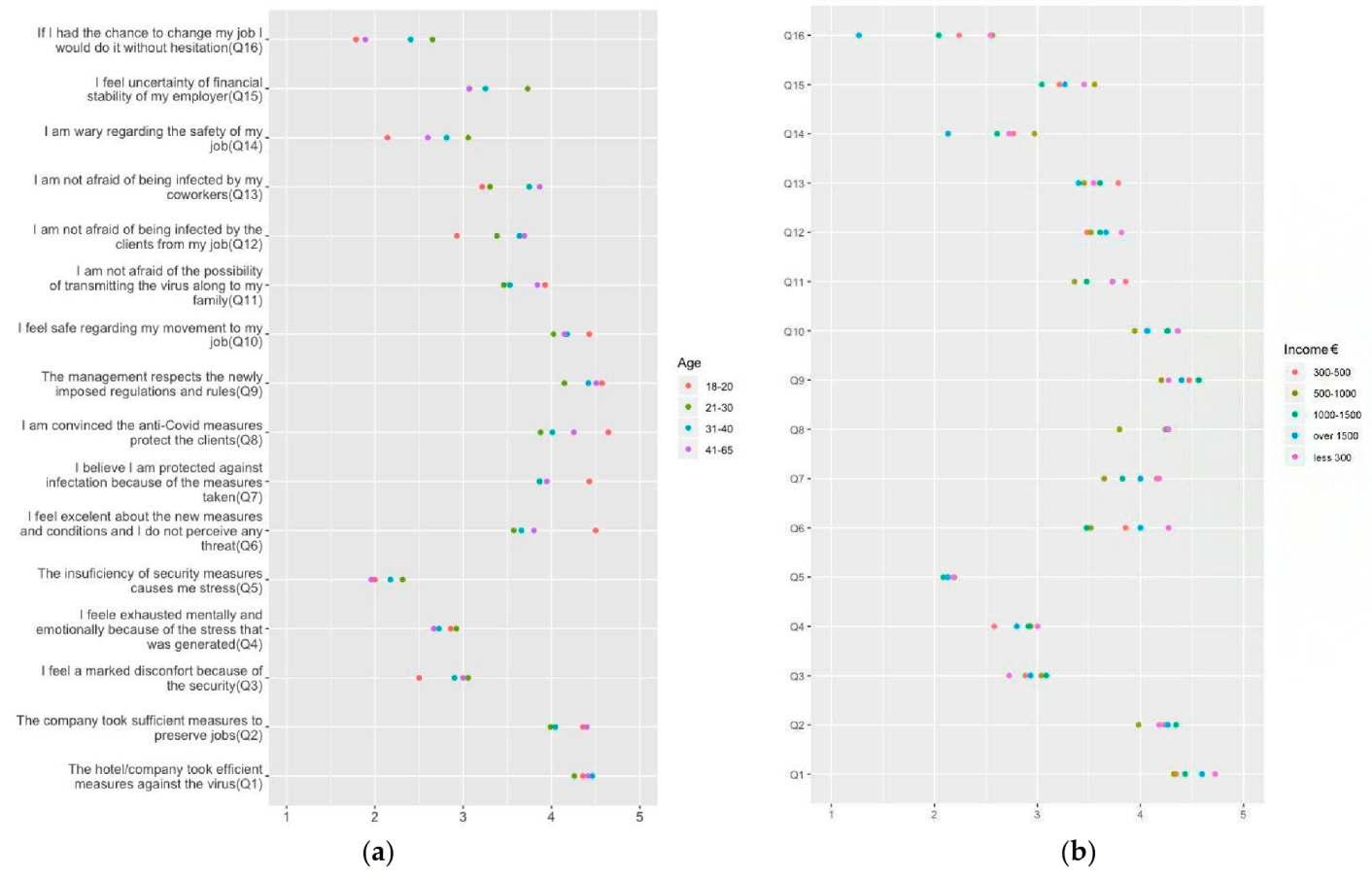
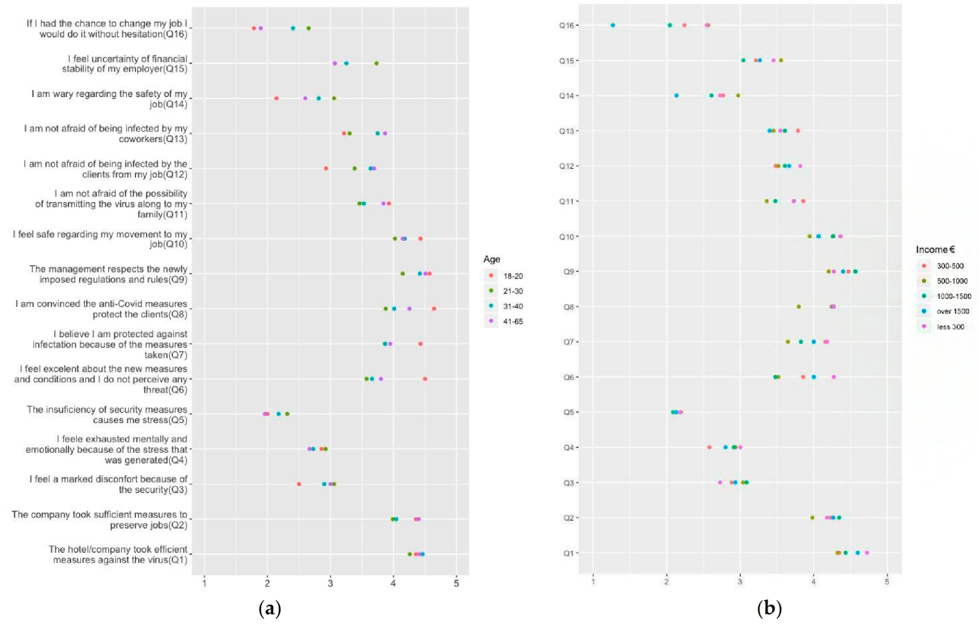
In Figure 2a,b and Figure 3a,b below, descriptive statistics are presented regarding the respondents’ answers in correlation with their age, gender, studies level and income.
The following aspects can be seen from the descriptive statistics:
1. Employees do not want to change jobs due to the pandemic, and those most inclined to do so are in the 21–30 age group;
2. Employees feel financial insecurity in the employer’s activity, and the age group with the strongest perception in this regard is 21–30 years;
3. The fear of being infected by colleagues at work is below average, but there is still the fear of passing the virus on to the family;
4. The movement of employees to the workplace is safe;
5. The rules of protection against COVID-19 are followed by the management of the organization;
6. There is a fairly strong belief that the measures taken in the hospitality industry units protect customers and employees, and the strongest belief is that of the very young, while people in the age groups 41–65, 31–40, and 21–30 have certain reserves;
7. The discomfort and exhaustion generated by the pandemic situation are at an acceptable level by employees;
8. The company has taken effective measures to preserve jobs, the belief is stronger in the 18–20 and 41–65 age groups;
9. Employees appreciate that the measures taken by the organization are effective in combating the pandemic. It is found that in the answers to the questions there are no significant differences according to gender and income classes.
Figure 2. Correlations of employees’ responses with the age of the respondents (a) and their incomes (b).
Figure 2. Correlations of employees’ responses with the age of the respondents (a) and their incomes (b).
Sustainability 13 11388 g002
Figure 3. Correlations of clients’ responses with the studies level of respondents (a) and their gender (b).
Figure 3. Correlations of clients’ responses with the studies level of respondents (a) and their gender (b).
Sustainability 13 11388 g003

4.1. Hypotheses Testing with Reference to Employees in the Hospitality Industry

Based on these data, the hypotheses were tested, descriptive statistics were performed and of the eleven research hypotheses, seven target hospitality employees. These hypotheses are: H1, H2, H3, H4, H5, H6 and H7.
Hypothesis 1. 
Employees from the hospitality industry have a positive perception about workplace safety.
A “t test” was performed on the answers to question no. 1, in which the default average 3 is a neutral perception of safety. Thus, in the sample, for a 95% confidence interval, the lower edge of the interval is greater than 3, resulting in a positive perception. The same conclusion emerges from statement 6 of the questionnaire (I feel great at work in the new conditions and do not perceive any threat or uncertainty regarding SARS-CoV-2 infection), where the mean of the responses is significantly different from 3, with a p-value less than the significance level of 0.05. Thus, the first hypothesis (H1) is validated.
Hypothesis 2. 
Employees feel that jobs are protected from extinction due to the pandemic through active measures taken by the organization.
To test the second hypothesis (H2), a “t test” for the answers to question no. 2 was performed. The test takes into account the null hypothesis if the population average is equal to 3 (neutral) and the alternative hypothesis if the average is not equal to 3. Based on the result the null hypothesis was rejected, p-value being 2.2 × 10−16. At the same time, the limit of the interval for the average value of 4.01, with a confidence interval of 95%, is far above the neutral value, so it was concluded that employees have a positive perception of the measures taken by the organization for job protection. However, to question no. 14 on the long-term preservation of the workplace, the results are different. The upper limit of the range for the mean value with a 95% confidence interval is 3.01. Thus, respondents have a neutral view on job security. It is found on the basis of a Chi-square test, with the same level of significance of 0.05, that there is a relationship between the perception of job protection measures due to the measures taken and distrust of job security. For an in-depth analysis the V Cramer coefficient was also calculated. The value of the coefficient is 0.27 and represents a slightly lower association, but which still exists. The researcher calculates a Spearman correlation for the two variables. The result is a slightly negative correlation of −0.3, which supports, to some extent, the idea that the actions taken by companies in the hospitality industry alleviate the distrust of employees.
Hypothesis 3. 
Employees want to change jobs due to the danger of exposure to SARS-CoV-2 at work.
Regarding the H3 hypothesis, there is a slightly positive Spearman correlation of 0.29 between the employees’ “fear of being infected by customers and employees” desire to change jobs. A stronger correlation, of 0.39, was found between the fear of being infected by colleagues and the desire of employees to change jobs. At the same time, between the desire to change jobs and the fear of transmitting the SARS-CoV-2 virus further at home and the effective measures taken by the company, there was a stronger negative correlation of −0.35 and, respectively, −0.49.
A “t test” was also performed for the answers to question no. 16 to measure the intention of employees to change the workplace. This hypothesis has the null hypothesis if the population average is equal to 3 (neutral) and the alternative hypothesis if the average is not equal to 3. The limit of the interval for the average value of 2.49, with a confidence interval of 95%, is below neutral value, so it was concluded that employees do not intend to change jobs even if they could. Next, it was tested whether the income level interferes with this assumption and whether it can have an effect on the desire to change jobs. In this sense the Chi-square test was applied. In this case, the null hypothesis, H0, says that there is no association between the two variables and the alternative hypothesis, there is an association. The result is a p-value of 0.15. Therefore, it is not possible to reject the null hypothesis, concluding that income does not have an impact on the desire to change jobs for the hospitality sector employees during the SARS-CoV-2 epidemic. Thus, the H3 hypothesis that employees want to change jobs due to the danger of exposure to SARS-CoV-2 is not validated.
Hypothesis 4. 
The correct anti-COVID-19 protection measures taken by the organization positively influence the degree of employee satisfaction at work.
The hypothesis H4 was tested through a “t test” with the answers to question no. 5. Here the null hypothesis is if the population average is equal to 3 (neutral) and the alternative hypothesis if the average is not equal to 3. Based on the result, the null hypothesis is rejected, the p-value being below the significance level of 0.05. At the same time, the range limit for the average value of 2.31, with a 95% confidence interval, is well below the neutral value, so it is concluded that the correct anti-COVID-19 protection measures taken by the organization influence the degree of satisfaction. By a “t test” to the question of discomfort caused by security conditions against the SARS-CoV-2 virus, the null hypothesis cannot be rejected, the population average is equal to 3 (neutral). It is noticed that the interval for the average value with a confidence interval of 95% is (2.79; 3.12). Question no. 4 (“I feel particularly mentally and emotionally exhausted due to the stress generated by the danger of infection”) has the upper limit of the average with a 95% confidence interval below the neutral value 3. A Spearman correlation is also performed between the level of employee satisfaction regarding the new anti-COVID-19 regulations, question no. 6, and the degree of protection that employees feel due to the measures implemented by the organization. The result is 0.7, which represents a strong correlation between the two variables. It can be concluded that the measures affect the degree of satisfaction of employees, but they do not feel much discomfort and are not mentally and emotionally exhausted due to stress generated by security and protection conditions.
Hypothesis 5. 
Employees do not want to change jobs despite the increased discomfort due to imposed occupational safety conditions regarding protection against SARS-CoV-2.
The researcher performs a “t test” on the answers to question no. 3. The null hypothesis is that the employees’ opinion is neutral (the average is equal to 3) and the alternative hypothesis is that the average opinion is not neutral. The result is a p-value of 0.62, so the null hypothesis cannot be rejected. Automatically, we conclude that employees have a neutral opinion regarding the conditions imposed by job security, they do not feel a strong discomfort. Thus, the desire of employees to change jobs does not depend on their discomfort. However, it was previously performed a “t test” for the answers to question no. 16 to measure the intention of employees to change the workplace. The lower limit of the result, taking a 95% confidence interval, for the average value was 2.49. It is below a neutral value of 3, so the conclusion is that employees do not intend to change jobs even if they could. In conclusion, hypothesis H7 is confirmed. Employees do not want to change jobs despite the increased discomfort due to the conditions imposed by occupational safety on protection against SARS-CoV-2.
Hypothesis 6. 
The probability of changing jobs depends on age.
Two Chi-square tests were performed to see if the desire to change employees’ jobs is still not influenced by other independent variables. One Chi-square test is between the desire to change the job and the age of the respondents (H8), with the null hypothesis—there is no relationship between the two variables, and the alternative hypothesis—there is a relationship. Following the test, we obtain a p-value of 0.038, so the null hypothesis can be rejected at a significance level of 0.05. We further verify by Cramer’s V how strong this association is, but we obtain a value of 0.19, which represents a weak association between the two variables.
Hypothesis 7. 
The probability of changing jobs is influenced by the salary obtained.
The same process described is used in hypothesis H8 to test whether there is any association between the desire to change jobs and the income of respondents. Based on the Chi-square test a p-value of 0.15 is obtained, thus rejecting the null hypothesis (the existence of an association between the two variables). Hypothesis H9, the desire to change jobs, does not depend on the income of the respondents.

4.2. Hypotheses Testing with Reference to Customers in the Hospitality Industry

Hypothesis 8 
. Customers have a positive perception about hospitality units’ measures of safety.
A “t test” is calculated on the answers to question no. 1, in which the default average 3 represents a neutral perception on the safety implemented by the hotel/company. The null hypothesis looks at if the population average is equal to 3 (neutral) and the alternative hypothesis if the average is not equal to 3. Based on the result, the null hypothesis is rejected, p-value being 2.2 × 10−16. Thus, in the constructed sample, for a 95% confidence interval, the lower limit of the range of 4.05 is higher than 3 (the value for the neutral perception) and, therefore, it can be concluded that the perception is a positive one.
The next test is whether there is any association between respondents’ incomes and satisfaction with anti-COVID-19 measures through a Chi-square test. The result is a p-value of 0.07, so the null hypothesis is accepted and, in conclusion, there is no association between the two variables at the level of significance 0.05. At the same time, based on the same test, it is noticed that there is no association between customer satisfaction and their gender, because we calculated a p-value equal to 0.26, well above the significance level of 0.05. The researcher noticed instead, also through a Chi-square test, that there is an association between the level of studies and customer satisfaction. Cramer’s V, with the value of 0.22, shows that the association is low. It is further checked if there are major changes in customer satisfaction depending on the level of education (high school or university), but the differences are imperceptible. This hypothesis targeting customers (H5) is validated.
Hypothesis 9
Customers do not feel fear or threat of being infected with the SARS-CoV-2 virus.
The t test performed for questions 3 and 4 confirms this hypothesis. The range limits for the mean value, with a 95% confidence interval, are 4.05 and 3.61. The values obtained are above the neutral value, leading to the formulation of the conclusion that customers do not feel threatened or afraid of the possibility of infection.
Hypothesis 10
Clients who do not perceive any threats during their vacation are concerned below level 4 about their own and their family’s health.
The paper goes deeper to check if the perceived threat might be related to other variables. It was tested by a Chi-square test if there is any relationship between customer satisfaction with anti-COVID-19 measures and if they are concerned about their own health and that of their family. The null hypothesis is that there is no association between the two variables, and the alternative hypothesis says there is an association. The result is a p-value of 0.01 which is below the significance level of 0.05. This means rejectection for the null hypothesis, concluding that there is an association between the two variables. The Cramer’s V is also calculated to understand the degree of association. The result is a coefficient of 0.21, which is a low association regarding customer satisfaction with the measures and concern for one’s own health. A Spearman correlation is also used between the level of customer expectations regarding the services offered and their satisfaction and we obtain a coefficient of 0.5, which represents a moderate correlation. On the other hand, between the answers to question 1 and question 8, a Spearman correlation coefficient of 0.05 is obtained, which shows that there is no relationship between the two variables. Thus, if the customers had had a higher satisfaction, it would not have affected the decision to choose the restaurant/hotel.
Hypothesis 11. 
Whether clients feel any threat of being infected with the SARS-CoV-2 virus by the employees is influenced by the gender of the respondents.
Similar to the process from hypothesis H7, and a follow up to hypothesis 6, the researcher tested whether there is any association between the gender of respondents and whether they felt any threat of being infected by the employees with SARS-CoV-2 virus during their stays at the restaurants/hotels. Based on the Chi-square test performed a p-value of 0.82 was obtained, thus rejecting the null hypothesis, the existence of an association between the two variables. Hypothesis H7, whether or not clients felt any threat regarding SARS-CoV-2 virus during their stays, does not depend on their gender.
Similar to the process from hypothesis H7, and a follow up to hypothesis 6, the researcher tested whether there is any association between the gender of respondents and whether they felt any threat of being infected by the employees with SARS-CoV-2 virus during their stays at the restaurants/hotels. Based on the Chi-square test performed a p-value of 0.82 was obtained, thus rejecting the null hypothesis, the existence of an association between the two variables. Hypothesis H7, whether or not clients felt any threat regarding SARS-CoV-2 virus during their stays, does not depend on their gender.
We performed several Chi-square tests to see if there was any relationship between the level of satisfaction with anti-COVID-19 measures and the level of fear felt by customers and whether this fear was not influenced by other independent variables. Performing two t tests on the answers to questions 16 and 17, we note that clients are concerned about their health and that of their family and have taken extreme measures to protect their health. Thus, we check whether these two independent variables can have an effect on the level of threat and fear of infection with SARS-CoV-2 virus during the stay at the hotel/restaurant. We perform Chi-square tests between Q3–Q16, Q4–Q16, Q3–Q17 and Q4–Q17 and obtain the following p-values: 0.08, 0.39, 0.06 and 0.29. All p-values obtained are above the significance level of 0.05, so we do not reject the null hypothesis that refutes the existence of a link and, therefore, we can say that there is no obvious association between the variables stated above. However, we check if there is any correlation between customer satisfaction and questions 16 and 17. We perform a Spearman correlation and obtain 0.18 and 0.07, values that represent an insignificant correlation relationship.

5. Discussion

This part of the paper discusses the study results and their interpretation in the light of the previous studies. H8 states that clients have a positive perception and are satisfied with the measures taken for safety in the hospitality units. This confirms another research result [70], which states that customers in this sector, more specifically, tourists will start to reward safety over leisure more and that safety measures improvements are becoming an increasingly deciding factor for customers. although it is still surpassed by the price factor and opinion of friends and family [70]. This aspect, to know on which aspects to focus, is even more important for tourism owners now as people are less inclined to spend as much money on tourism and leisure products as they were before the pandemic [71,72]. H9 argues that customers do not feel the fear or threat of being infected with the SARS-CoV-2 virus. This aspect does not fall in line with previous studies which said the customers will only feel comfortable to travel to a destination and stay at a hotel when that destination has very few COVID-19 cases and has the ability to test, trace, and isolate COVID-19 cases [62]. The hypothesis H10, according to which those who do not perceive any threat during their stay are concerned below level 4 about their own and their family’s health is not confirmed, the causes being of a different nature. H11 hypothesis explores if the threat, for customers, of being infected by the employees is influenced by the gender of the respondents. Even though some studies [73,74] argue that women are more likely than men to be subject to depression and anxiety during the COVID-19 pandemic, this research concluded that, regarding the hospitality industry, there is no notable disimilarity between the two genders.
There is a positive perception of safety in the workplace of employees in the hospitality industry, which feel their jobs are protected through active measures taken by the organization. Additionally, employees do not want to change jobs due to the new pandemic conditions, as it results from the H2 hypothesis. This contradicts previous reviews which stated that intrinsic high risk organizational factors such as work related stress and lack of job support feel at risk in the pandemic scenario [35,36,56]. H3 states that employees want to change jobs due to the danger of exposure to SARS-CoV-2 at work and H4 argues that the correct anti-COVID-19 protection measures taken by the organization positively influence the degree of employee satisfaction at work. These results are in line with paper [75]. The results indicated that job insecurity caused by some crisis can change the level of motivation. Thus, a negative link between job insecurity and job satisfaction indicates that if employees do not feel confident about their employment’s future, they will be less satisfied at work. A review (Table 3) of the research results is considered for the validation/refutation of the working hypotheses.
Quantitative research conducted on a relatively reduced number of employees provides a first impression of the pandemic situation of the hospitality sector in Romania [20,76,77]. Active measures taken by the organization sometimes do not depend on that organization alone. Governments’ support for enterprises can help reduce the negative impact of the pandemic on the hospitality industry. This will later improve tourists’ decision-making behavior, which is of great importance to the innovation of the hospitality industry after the pandemic [78].

6. Conclusions

In the context of the COVID-19 pandemic, managing the hospitality industry’s human resources, both employees and customers, imposes new challenges. Periods of such high uncertainty require maintaining a high level of satisfaction and task performance, but more importantly, with some many variables to take into account, knowing what aspects to focus on helps greatly. Therefore, what should be taken into account is that the decrease in the number of tourists and customers in the hospitality industry is not primarily due to the possibility of COVID-19 infection in accommodation units or restaurants, but is more related to the restrictions and limitations imposed by the authorities to combat the spread of SARS-CoV-2. There is a positive perception of safety in the workplace of employees in the hospitality industry, and jobs are protected from disappearing due to the pandemic through active measures taken by the organization. Employees do not want to change jobs due to the new pandemic conditions, as it results from the H3 hypothesis. The correct anti-COVID-19 protection measures taken by the organization influence the degree of employee satisfaction at work. The perception of safety regarding clients in the hotels/restaurants is a positive one as hypothesis H8 confirms and customers do not feel fear or threat about the possibility of infection with the SARS-CoV-2 virus.
The paper also enlarges the social exchange theory [37], as previous research did not take a double-sided approach and assessed social exchange just between organizations and employees. It now holds that if employees feel supported by the company and if customers feel safe in the hospitality units, they would nurture good views about it and engage in its activities. As a result, regarding social exchange, the satisfaction alongside the level of safety has a favourable impact on employees’ level of commitment and on satisfaction levels of both customers and employees.
The practical contributions of this paper consist in enhancing employee or customer safety and satisfaction within an hospitality unit in the context of the COVID-19 pandemic. This crisis has come with changes regarding how customers interact with hospitality organizations and how employees perform their activities. Thus, the study is important for the business and academic environment because it brings to attention a perception of the risks perceived by hospitality employees as well as the perception of customer safety during the COVID-19 pandemic in an emerging market. The article aimed to give particular recommendations for hospitality organizations and decision-makers, as well as act as a point of reflection to contemplate industry recovery. A very important aspect resulting from the research, which at first might have seemed counterintuitive, is that the risk perceived by employees and customers in various forms does not represent a significant impediment to the development of the hospitality sector, which is correlated with the concerns and barriers to this industry’s development mentioned in other works. Therefore, in a market that lost 44% in revenue [10] and an unpredictable pandemic scenario, it could be quite reassuring to know that the applicable safety actions and measures you are taking have a positive impact on your employees, customers and, overall, organization. This study conducted in this article on Romania, as well as its conclusions, can be utilized as a benchmark for other nations and researchers.
As for the study’s limitations, it’s worth noting that the data was collected in the midst of the epidemic in 2020, in an unclear situation. In addition, the outbreak is still active, it continues to impact health and economic aspects around the world. New measures of safety might be implemented in some hospitality units, while in others some might be lifted, therefore, further studies might be subject to a less standardized context. Future research directions can be directed towards a second investigation. This should be carried out once the whole situation ends and normality returns, checking if the expectations fall on with the actual behavior. Furthermore, future research will take a look at tourism behavior after the pandemic, checking the new behaviors and verifying whether they are in line with those before the outbreak of SARS-CoV-2, or if new consumption patterns are adopted in the hospitality industry. The evolution of the pandemic, vaccination and the measures to be taken during the 2021–2022 period will have a major impact on the future evolution of this field [79,80,81,82].

Author Contributions

All authors have contributed to the study and writing of this research. Conceptualization, S.G.S. and L.D.C.; methodology, S.G.S.; software, P.N.C.; validation, S.G.S. and L.D.C.; formal analysis, A.F.; investigation, L.D.C. and P.N.C.; resources, A.F.; data curation, L.D.C.; writing—original draft preparation, S.G.S.; writing—review and editing, A.F. and P.N.C.; visualization, L.D.C. All authors have read and agreed to the published version of the manuscript.

Funding

This research received no external funding.

Institutional Review Board Statement

Not applicable.

Informed Consent Statement

Not applicable.

Conflicts of Interest

The authors declare no conflict of interest.

References

  1. Nemțeanu, M.S.; Dabija, D.C. Best practices of nongovernmental organisations in combatting COVID-19. In Proceedings of the 6th BASIQ International Conference on New Trends in Sustainable Business and Consumption, Messina, Italy, 4–6 June 2020; Pamfilie, R., Dinu, V., Tăchiciu, L., Pleșea, D., Vasiliu, C., Eds.; ASE: Bucharest, Romania, 2020. [Google Scholar]
  2. Davahli, M.R.; Karwowski, W.; Sonmez, S.; Apostolopoulus, Y. The Hospitality Industry in the Face of the COVID-19 Pandemic: Current Topics and Research Methods. Int. J. Eviron. Res. Public Health 2020, 17, 7366. [Google Scholar] [CrossRef] [PubMed]
  3. United Nations; World Tourism Organization. 2020—A Year in Review. 2021. Available online: https://www.unwto.org/covid-19-and-tourism-2020 (accessed on 23 March 2021).
  4. Popescu Ljungholm, D.; Olah, M.L. Regulating Fake News Content during COVID-19 Pandemic: Evidence-based Reality, Trustworthy Sources, and Responsible Media Reporting. Rev. Contemp. Philos. 2020, 19, 43–49. [Google Scholar]
  5. Popescu Ljungholm, D. COVID-19 Vaccine Safety Regulation: Globalized Infectious Diseases, Health Literacy, and Anti-Immunization Sentiment. Anal. Metaphys. 2020, 19, 31–37. [Google Scholar]
  6. Lăzăroiu, G.; Adams, C. Viral Panic and Contagious Fear in Scary Times: The Proliferation of COVID-19 Misinformation and Fake News. Anal. Metaphys. 2020, 19, 80–86. [Google Scholar]
  7. Platt, C. Cognitive, Emotional, and Behavioral Disorders in Frontline Medical Staff and Nurses Working with COVID-19 Patients. Psychosociological Issues Hum. Resour. Manag. 2021, 9, 7–16. [Google Scholar]
  8. Nemteanu, S.M.; Dabija, D.C.; Stanca, L. The Influence of Teleworking on Performance and Employee‘s Counterproductive Behaviour. Amfiteatru Econ. 2021, 23, 601–619. [Google Scholar]
  9. Nemteanu, M.S.; Dabija, D.C. The influence of internal marketing and job satisfaction on task performance and counterproductive work behaviour in an Emergent Market during the COVID-19 pandemic. Int. J. Environ. Res. Public Health 2021, 18, 3670. [Google Scholar] [CrossRef]
  10. Jiang, Y.; Wen, J. Effects of COVID-19 on hotel marketing and management: A perspective article. Int. J. Contemp. Hosp. Manag. 2020, 32, 2563–2573. [Google Scholar] [CrossRef]
  11. Chen, M.H. The response of hotel performance to international tourism development and crisis events. Int. J. Hosp. Manag. 2011, 30, 200–212. [Google Scholar] [CrossRef]
  12. Santana, G. Crisis Management and Tourism. J. Travel Tour. Mark. 2004, 15, 299–321. [Google Scholar] [CrossRef]
  13. Adeloye, D.; Brown, L. Terrorism and domestic tourist risk perceptions. J. Tour. Cult. Chang. 2018, 16, 217–233. [Google Scholar] [CrossRef]
  14. Ma, E.; Qu, H. Social exchanges as motivators of hotel employees’ organizational citizenship behavior: The proposition and application of a new three—Dimensional framework. Int. J. Hosp. Manag. 2011, 30, 680–688. [Google Scholar] [CrossRef]
  15. Qiu, R.T.; Park, J.; Li, S.; Song, H. Social costs of tourism during the COVID-19 pandemic. Ann. Tour. Res. 2020, 84, 102994. [Google Scholar] [CrossRef]
  16. Alonso, A.D.; Kok, S.K.; Bressan, A.; O’Shea, M.; Sakellarios, N.; Koresis, A.; Solis, M.A.B.; Santoni, L.J. COVID-19, aftermath, impacts, and hospitality firms: An international perspective. Int. J. Hosp. Manag. 2020, 91, 102654. [Google Scholar] [CrossRef]
  17. Kim, J.; Lee, J.C. Effect of COVID-19 on Preference for Private Dining Facilities in Restaurants. J. Hosp. Tour. Manag. 2020, 45, 67–70. [Google Scholar] [CrossRef]
  18. Bartik, A.W.; Bertrand, M.; Cullen, Z.B.; Glaeser, E.L.; Luca, M.; Stanton, C.T. How Are Small Businesses Adjusting to COVID-19? Early Evidence from a Survey; National Bureau of Economic Research. 2020. Available online: https://www.nber.org/papers/w26989.pdf (accessed on 10 January 2021).
  19. Ugur, N.G.; Akbiyik, A. Impacts of COVID-19 on global tourism industry: A cross-regional comparison. Tour. Manag. Perspect. 2020, 26, 100744. [Google Scholar] [CrossRef]
  20. Zenker, S.; Kock, F. The coronavirus pandemic—A critical discussion of a tourism research agenda. Tour. Manag. 2020, 81, 104164. [Google Scholar] [CrossRef]
  21. AARP. COVID-19′s Fourth Wave: What You Need to Know Now. Available online: https://www.aarp.org/health/conditions-treatments/info-2021/covid-4th-wave.html (accessed on 8 April 2021).
  22. Magano, J.; Vidal, D.G.; Sousa, H.F.P.; Dinis, M.A.P.; Leite, A. Validation and Psychometric Properties of the Portuguese Version of the Coronavirus Anxiety Scale (CAS) and Fear of COVID-19 Scale (FCV-19S) and Associations with Travel, Tourism and Hospitality. Int. J. Environ. Res. Public Health 2021, 18, 427. [Google Scholar] [CrossRef]
  23. Faroudi, P.; Tabaghedi, S.A.H.; Marvi, R. The gloom of the COVID-19 shock in the hospitality industry: A study of consumer risk perception and adaptive belief in the dark cloud of a pandemic. Int. J. Hosp. Manag. 2021, 92, 102717. [Google Scholar] [CrossRef]
  24. United Nations; World Tourism Organization. International Tourism Growth Continues to Outplace the Global Economy. 2020. Available online: https://www.unwto.org/international-tourism-growth-continues-to-outpace-the-economy (accessed on 2 April 2020).
  25. Castanho, R.A.; Couto, G.; Pimente, P.; Sousa, A.; Carvalho, C.; Batista, M.G. The Impact of SARS-CoV-2 Outbreak on the Accommodation Selection of Azorean Tourists. A Study Based on the Assessment of the Azores Population’s Attitudes. Sustainability 2020, 12, 9990. [Google Scholar] [CrossRef]
  26. United Nations; World Tourism Organization. Tourist Numbers Down 83% but Confidence Slowly Rising. 2021. Available online: https://www.unwto.org/news/tourist-numbers-down-83-but-confidence-slowly-rising (accessed on 7 October 2021).
  27. Dube, K.; Nhamo, G.; Chikodzi, D. COVID-19 cripples global restaurant and hospitality industry. Curr. Issues Tour. 2020, 24, 1487–1490. [Google Scholar] [CrossRef]
  28. Moreno-González, A.A.; León, C.J.; Fernández-Hernández, C. Health destination image: The influence of public health management and well-being conditions. J. Destin. Mark. Manag. 2020, 16, 100430. [Google Scholar] [CrossRef]
  29. Sánchez-Cañizares, S.M.; Cabeza-Ramírez, L.J.; Muñoz-Fernández, G.; Fuentes-García, F.J. Impact of the perceived risk from Covid-19 on intention to travel. Curr. Issues Tour. 2021, 24, 970–984. [Google Scholar] [CrossRef]
  30. Wang, M.; Kunasekaran, P.; Rasoolimanesh, S.M. What influences people’s willingness to receive the COVID-19 vaccine for international travel? Curr. Issues Tour. 2021, 1–6. [Google Scholar] [CrossRef]
  31. Kim, M.J.; Bonn, M.; Hall, C.M. What influences COVID-19 biosecurity behaviour for tourism? Curr. Issues Tour. 2021, 1–7. [Google Scholar] [CrossRef]
  32. Williams, N.L.; Nguyen, T.H.H.; Del Chiappa, G.; Fedeli, G.; Wassler, P. COVID-19 vaccine confidence and tourism at the early stage of a voluntary mass vaccination campaign: A PMT segmentation analysis. Curr. Issues Tour. 2021, 1–15. [Google Scholar] [CrossRef]
  33. Duncan, C.; Zvarikova, K.; Frajtova Michalikova, K. Post-Traumatic Stress Disorder, Extreme Anxiety, and Depressive Symptoms in Frontline Healthcare Workers during the COVID-19 Pandemic. Psychosociological Issues Hum. Resour. Manag. 2021, 9, 27–36. [Google Scholar]
  34. Popescu Ljungholm, D.; Popescu, V. COVID-19-related Psychological Distress, Moral Injury, and Sleep Disturbances among Primary Care Providers. Psychosociological Issues Hum. Resour. Manag. 2021, 9, 57–67. [Google Scholar]
  35. Scott, R.; Poliak, M.; Vrbka, J.; Nica, E. COVID-19 Response and Recovery in Smart Sustainable City Governance and Management: Data-driven Internet of Things Systems and Machine Learning-based Analytics. Geopolit. Hist. Int. Relat. 2020, 12, 16–22. [Google Scholar]
  36. Carnevale, J.B.; Hatak, I. Employee adjustment and well-being in the era of COVID-19: Implications for human resource management. J. Bus. Res. 2020, 116, 183–187. [Google Scholar] [CrossRef] [PubMed]
  37. Wikham, W.; Hall, A.T. Social Exchange in a Swedish Environment. Int. J. Bus. Soc. Sci. 2012, 3, 56–64. [Google Scholar]
  38. Zainun, N.F.H.; Johari, J.; Adnan, Z. Technostress and Commitment to Change: The Moderating Role of Internal Communication. Int. J. Public Adm. 2020, 43, 1327–1339. [Google Scholar] [CrossRef]
  39. Sierra, J.J.; McQuitty, S. Service providers and customers: Social exchange theory and service loyalty. J. Serv. Manag. 2005, 19, 392–400. [Google Scholar]
  40. Huang, M.H.; Rust, R.T. Engaged to a robot? The role of AI in service. J. Serv. Res. 2020, 24, 30–41. [Google Scholar] [CrossRef]
  41. Yu, J.; Seo, J.; Hyun, S.S. Perceived hygiene attributes in the hotel industry: Customer retention amid the COVID-19 crisis. Int. J. Hosp. Manag. 2021, 93, 102768. [Google Scholar] [CrossRef]
  42. de Pablo, G.S.; Vaquerizo-Serrano, J.; Catalan, A.; Arango, C.; Moreno, C.; Ferre, F.; Shin, J.I.; Sullivan, S.; Brondino, N.; Solmi, M.; et al. Impact of coronavirus syndromes on physical and mental health of health care workers: Systematic review and meta-analysis. J. Affect. Disord. 2020, 275, 48–57. [Google Scholar] [CrossRef]
  43. Pelau, C.; Dabija, D.C.; Ene, I. What makes an AI device human-like? The role of interaction quality, empathy and perceived psychological anthropomorphic characteristics in the acceptance of artificial intelligence in the service industry. Comput. Hum. Behav. 2021, 122, 106855. [Google Scholar] [CrossRef]
  44. Park, H.I.; Kline, S.F.; Kim, J.; Almanza, B.; Ma, J. Does hotel cleanliness correlate with surfaces guests contact? Int. J. Contemp. Hosp. Manag. 2019, 31, 2933–2950. [Google Scholar] [CrossRef]
  45. Pillai, S.G.; Haldorai, K.; Seo, W.S.; Kim, W.G. COVID-19 and hospitality 5.0: Redefining hospitality operations. Int. J. Hosp. Manag. 2021, 94, 102869. [Google Scholar] [CrossRef]
  46. Shadloo-Jahromi, A.; Bavi, O.; Heydari, M.H.; Kharati-Koopaee, M.; Avazzadeh, Z. Dynamics of respiratory droplets carrying SARS-CoV-2 virus in a closed atmosphere. Results Phys. 2020, 19, 103482. [Google Scholar] [CrossRef]
  47. Shin, H.; Kang, J. Reducing perceived health risk to attract hotel customers in the COVID-19 pandemic era: Focused on technology innovation for social distancing and cleanliness. Int. J. Hosp. Manag. 2020, 91, 102664. [Google Scholar] [CrossRef]
  48. UNICEF. Cleaning and Hygiene Tips to Help Keep the COVID-19 Virus out of Your Home. 2020. Available online: https://www.unicef.org/mena/stories/cleaning-and-hygiene-tips-help-keep-covid-19-virus-out-your-home (accessed on 7 October 2021).
  49. Huang, A.; De la Mora Velasco, E.; Marsh, J.; Workman, H. COVID-19 and the future of work in the hospitality industry. Int. J. Hosp. Manag. 2021, 97, 102986. [Google Scholar] [CrossRef]
  50. Alipour, H.; Amelshahbaz, S.; Safaeimanesh, F.; Peyravi, B.; Salavati, A. The Impact of Environmental Stimuli on Hotel Service Employees’ Service Sabotage—Mediation Role of Emotional Intelligence and Emotional Dissonance. Sustainability 2021, 13, 876. [Google Scholar] [CrossRef]
  51. Yeh, C.M. Tourism Involvement, Work Engagement and Job Satisfaction among Frontline Hotel Employees. Ann. Tour. Res. 2013, 42, 214–239. [Google Scholar] [CrossRef]
  52. Xu, S.T.; Cao, Z.C.; Huo, Y. Antecedents and outcomes of emotional labour in hospitality and tourism: A meta-analysis. Tour. Manag. 2020, 79, 104099. [Google Scholar] [CrossRef]
  53. Lee, J.; Ok, C.M. Understanding hotel employees’ service sabotage: Emotional labor perspective based on conservation of resources theory. Int. J. Hosp. Manag. 2014, 36, 176–187. [Google Scholar] [CrossRef]
  54. Grandey, A.A.; Melloy, R.C. The state of the heart: Emotional labor as emotion regulation reviewed and revised. J. Occup. Health Psychol. 2017, 22, 407–422. [Google Scholar] [CrossRef]
  55. Schreuder, E.; van Erp, J.; Toet, A.; Kallen, V.L. Emotional Responses to Multisensory Environmental Stimuli. SAGE Open 2016, 6, 215824401663059. [Google Scholar] [CrossRef]
  56. Giorgi, G.; Lecca, L.I.; Alessio, F.; Finstad, G.L.; Bondanini, G.; Lulli, L.G.; Arcangeli, G.; Mucci, N. COVID-19-Related Mental Health Effects in the Workplace: A Narrative Review. Int. J. Eviron. Res. Public Health 2020, 17, 7857. [Google Scholar] [CrossRef]
  57. Wifa, E.; Hunter, T.S. Mitigating occupational health and safety risks in the proposed Australian offshore wind energy industry: Lessons from the safety case regime. J. Energy Nat. Resour. Law 2021. [Google Scholar] [CrossRef]
  58. Muzafar, M. Building information modelling to mitigate the health and safety risks associated with the construction industry: A review. Int. J. Occup. Saf. Ergon. 2020. [Google Scholar] [CrossRef] [PubMed]
  59. Holness, D.L.; Kudla, I.; Brown, J.; Miller, S. Awareness of occupational skin disease in the service sector. Occup. Med. 2017, 67, 256–259. [Google Scholar] [CrossRef] [PubMed][Green Version]
  60. Mhango, M.; Dzobo, M.; Chitungo, I.; Dzinamarira, T. COVID-19 Risk Factors among Health Workers: A Rapid Review. Saf. Health Work 2020, 11, 262–265. [Google Scholar] [CrossRef] [PubMed]
  61. Nazneen, S.; Hong, X.; Ud Din, N. COVID-19 Crises and Tourist Travel Risk Perceptions. 2020. SSRN. 3592321. Available online: https://papers.ssrn.com/sol3/papers.cfm?abstract_id=3592321 (accessed on 4 November 2020).
  62. Gursoy, D.; Chi, C.G. Effects of COVID-19 pandemic on hospitality industry: Review of the current situations and a research agenda. J. Hosp. Mark. Manag. 2020, 29, 527–529. [Google Scholar] [CrossRef]
  63. Dabija, D.C.; Băbuț, R. Enhancing Apparel Store Patronage through Retailer’s Attributes and Sustainability. A Generational Approach. Sustainability 2019, 11, 4532. [Google Scholar] [CrossRef]
  64. Rehman, S.U.; Kyrillidou, M.; Hameed, I. Reliability and validity of a modified LibQUAL plus (R) survey in Pakistan: An Urdu language experience. Malays. J. Libr. Inf. Sci. 2014, 19, 83–102. [Google Scholar]
  65. Arnastauskaite, J.; Ruzgas, T.; Brazenas, M. An Exhaustive Power Comparison of Normality Tests. Mathematics 2021, 9, 788. [Google Scholar] [CrossRef]
  66. Longhow, L. An Introduction to R. 2010. Available online: https://cran.r-project.org/doc/contrib/Lam-IntroductionToR_LHL.pdf (accessed on 12 May 2021).
  67. McHugh, M.L. The Chi-square test of independence. Biochem Med. Zagreb 2013, 23, 143–149. [Google Scholar] [CrossRef]
  68. Upton, G.; Cook, I. A Dictionary of Statistics; Oxford University Press: Oxford, England, 2002. [Google Scholar]
  69. Schober, P.; Boer, C.; Schwarte, L. Correlation Coefficients: Appropriate Use and Interpretation. Anesth. Analg. 2018, 126, 1763–1768. [Google Scholar] [CrossRef]
  70. Araujo-Vila, N.; Fraiz-Brea, J.A.; Matos Pereira, A. Societal Changes Due to ”COVID-19”. An Analysis of the Tourism Sector of Galicia, Spain. Sustainability 2021, 13, 8449. [Google Scholar] [CrossRef]
  71. Cretu, C.M.; Turtureanu, A.G.; Sirbu, C.G.; Chitu, F.; Marinescu, E.S.; Talaghir, L.G.; Robu, D.M. Tourist’s Perceptions Regarding Traveling for Recreational or Leisure Purposes in Times of Health Crisis. Sustainability 2021, 13, 8405. [Google Scholar] [CrossRef]
  72. da Silva Lopes, H.; Remoaldo, P.C.; Ribeiro, V.; Martín-Vide, J. Effects of the COVID-19 Pandemic on Tourist Risk Perceptions—The Case Study of Porto. Sustainability 2021, 13, 6399. [Google Scholar] [CrossRef]
  73. Platt, C. Emotional and Psychological Distress Related to COVID-19 Isolation, Quarantine, and Physical Distancing: Evidence of Gender-based Differences. J. Res. Gend. Stud. 2020, 10, 63–72. [Google Scholar]
  74. Kirkman, J. COVID-19 Gender Differences Related to Cognitive, Emotional, and Behavioral Disorders. J. Res. Gend. Stud. 2020, 10, 148–159. [Google Scholar]
  75. Bajrami, D.D.; Terzic, A.; Petrovic, M.D.; Radovanovic, M.; Tretiakova, T.N.; Hadoud, A. Will we have the same employees in hospitality after all? The impact of COVID-19 on employees’s work attitudes and turnover intentions. Int. J. Hosp. Manag. 2021, 94, 102754. [Google Scholar] [CrossRef]
  76. Williams, C.C. Impacts of the coronavirus pandemic on Europe’s tourism industry: Addressing tourism enterprises and workers in the undeclared economy. Int. J. Tour. Res. 2021, 23, 79–88. [Google Scholar] [CrossRef]
  77. Knight, D.W.; Xiong, L.; Lan, W.; Gong, J. Impact of COVID-19: Research note on tourism and hospitality sectors in the epicenter of Wuhan and Hubei Province, China. Int. J. Contemp. Hosp. Manag. 2020, 32, 3705–3719. [Google Scholar] [CrossRef]
  78. Orîndaru, A.; Popescu, M.F.; Alexoaei, A.P.; Căescu, Ș.C.; Florescu, M.S.; Orzan, A.O. Tourism in a Post-COVID-19 Era: Sustainable Strategies for Industry’s Recovery. Sustainability 2021, 13, 6781. [Google Scholar] [CrossRef]
  79. Carter, D.; Kolencik, J.; Cug, J. Smart Internet of Things-enabled Mobile-based Health Monitoring Systems and Medical Big Data in COVID-19 Telemedicine. Am. J. Med. Res. 2021, 8, 20–29. [Google Scholar]
  80. Mitchell, K. Internet of Things-enabled Smart Devices, Healthcare Body Sensor Networks, and Online Patient Engagement in COVID-19 Prevention, Screening, and Treatment. Am. J. Med. Res. 2021, 8, 30–39. [Google Scholar]
  81. Phillips, A. Artificial Intelligence-enabled Healthcare Delivery and Digital Epidemiological Surveillance in the Remote Treatment of Patients during the COVID-19 Pandemic. Am. J. Med. Res. 2021, 8, 40. [Google Scholar]
  82. Lăzăroiu, G.; Mihăilă, R.; Braniște, L. The Language of Misinformation Literacy: COVID-19 Vaccine Hesitancy Attitudes, Behaviors, and Perceptions. Linguist. Philos. Investig. 2021, 20, 85–94. [Google Scholar]
Figure 1. Correlation between the number of cases of COVID-19 and mortality in Romania between 04.03–14.12.2020 (until the appearance of the vaccine). Source: Authors’ development.
Figure 1. Correlation between the number of cases of COVID-19 and mortality in Romania between 04.03–14.12.2020 (until the appearance of the vaccine). Source: Authors’ development.
Sustainability 13 11388 g001
Table 1. Employees and customers’ questionnaires.
Table 1. Employees and customers’ questionnaires.
Questions
EmployeesCustomers
Q1The company (hotel) has taken effective and sufficient preventive measures against the spread of the SARS-CoV-2 virus.I am fully satisfied with the safety and hygiene measures implemented by the hotel/restaurant.
Q2The company has taken measures to preserve jobs that may be affected by the SARS-CoV-2 virus.I fully understand why safety and protection measures must be taken against the SARS-CoV-2 virus.
Q3I feel very uncomfortable because of the conditions of safety and protection of work imposed.I felt absolutely no threat that I might be infected with the SARS-CoV-2 virus during my stay at the hotel/restaurant.
Q4I feel particularly mentally and emotionally exhausted due to the stress generated by the danger of being infected with the SARS-CoV-2 virus.I am not at all afraid of being infected with the SARS-CoV-2 virus by the other customers in the hotel/restaurant.
Q5The lack or insufficiency of security measures taken by the Hotel (company) against the spread and contamination with the SARS-CoV-2 virus creates a major professional stress for me.I believe that the services offered by the hotel are in full compliance with my expectations regarding safety and protection against the SARS-CoV-2 virus.
Q6I am very pleased with the new measures and conditions adopted at the workplace and do not perceive any threat or uncertainty as to SARS-CoV-2 virus infection.I am fully satisfied with the safety and hygiene measures in my hotel room.
Q7I consider that I am fully protected against infection with the SARS-CoV-2 virus due to the measures taken at the hotel/restaurant where I am employed.I am not at all afraid of being infected with the SARS-CoV-2 virus by restaurant/hotel employees.
Q8I am fully convinced that the anticovid measures taken by the company in which I am employed fully protect customers.I certainly would not have chosen this restaurant/hotel if I had another option.
Q9Management complies with the new regulations and rules required to combat and protect against the SARS-CoV-2 virus that have also been required of employees.I am fully convinced that the most effective methods of maintaining safety and protection against and combating SARS-CoV-2 virus have been used.
Q10I feel completely safe when it comes to going to work and out of any danger of becoming infected with the SARS-CoV-2 virus.I’m concerned about public health issues.
Q11I’m not at all afraid of being infected with the SARS-CoV-2 virus at work and passing the virus on to my family.I am particularly concerned about my health and the health of my family.
Q12I’m not at all afraid of being infected with the SARS-CoV-2 virus by my workplace clients.I have taken extreme measures for my health and that of my family.
Q13I’m not at all afraid of being infected with the SARS-CoV-2 virus by my co-workers.
Q14I am very distrustful of the safety of my long-term job.
Q15I feel insecure about the financial stability of my employer due to the conditions generated by the pandemic.,
Q16If I had the opportunity to change this job, I would do so without hesitation.
Table 2. Evaluation scale.
Table 2. Evaluation scale.
Evaluation CriterionTotal DisagreementSustainability 13 11388 i001DisagreementNeutralAgreementTotal AgreementSustainability 13 11388 i002
1. I appreciate that in the current pandemic conditions the organization (Hotel) I work for has taken effective and sufficient occupational safety measures of protection against SARS-CoV-2 coronavirus.12345
Table 3. Centralizer of research results.
Table 3. Centralizer of research results.
Hypothesisp-Value of Chi-Square Test (<0.05)Cramer’s VValidation of
Hypothesis
H11.74 × 10−150.32YES
H22.76 × 10−100.27YES
H30.15-NO
H41.42 × 10−50.38YES
H51.32 × 10−70.24YES
H60.00380.19NO
H70.15-NO
H8--YES
H9--YES
H100.16-NO
H110.82-NO
Publisher’s Note: MDPI stays neutral with regard to jurisdictional claims in published maps and institutional affiliations.

Share and Cite

MDPI and ACS Style

Szentesi, S.G.; Cuc, L.D.; Feher, A.; Cuc, P.N. Does COVID-19 Affect Safety and Security Perception in the Hospitality Industry? A Romanian Case Study. Sustainability 2021, 13, 11388. https://doi.org/10.3390/su132011388

AMA Style

Szentesi SG, Cuc LD, Feher A, Cuc PN. Does COVID-19 Affect Safety and Security Perception in the Hospitality Industry? A Romanian Case Study. Sustainability. 2021; 13(20):11388. https://doi.org/10.3390/su132011388

Chicago/Turabian Style

Szentesi, Silviu Gabriel, Lavinia Denisia Cuc, Andrea Feher, and Paul Nichita Cuc. 2021. "Does COVID-19 Affect Safety and Security Perception in the Hospitality Industry? A Romanian Case Study" Sustainability 13, no. 20: 11388. https://doi.org/10.3390/su132011388

APA Style

Szentesi, S. G., Cuc, L. D., Feher, A., & Cuc, P. N. (2021). Does COVID-19 Affect Safety and Security Perception in the Hospitality Industry? A Romanian Case Study. Sustainability, 13(20), 11388. https://doi.org/10.3390/su132011388

Note that from the first issue of 2016, this journal uses article numbers instead of page numbers. See further details here.

Article Metrics

Back to TopTop