The Taihang Mountain Region of North China is Experiencing A Significant Warming Trend
Abstract
1. Introduction
2. Materials and Methods
2.1. Site Description
2.2. The Flowchart of This Study
2.3. Data Source and Analysis Software
2.4. Mann–Kendall Tests
2.5. Geographically Weighted Regression
3. Results
3.1. Spatial Distribution of Annual and Seasonal Temperature
3.2. Annual and Seasonal Temperature Trends
3.3. Mann–Kendall Test of Annual and Seasonal Temperature Trends
3.4. Spatial Distribution of Increasing Temperature Trends
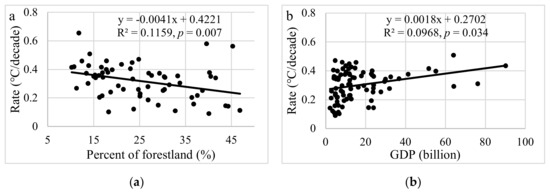
3.5. Factors Influencing Temperature Trends
4. Discussion
4.1. Spatial and Temporal Temperature Trends in the Taihang Mountain Region
4.2. Effect of Geographical and Anthropogenic Factors on Temperature
4.3. Regional Warming and Its Influence on the Environment and Human Health
5. Conclusions
Author Contributions
Funding
Institutional Review Board Statement
Informed Consent Statement
Data Availability Statement
Conflicts of Interest
References
- Liang, E.; Leuschner, C.; Dulamsuren, C.; Wagner, B.; Hauck, M. Global warming-related tree growth decline and mortality on the north-eastern Tibetan plateau. Clim. Chang. 2016, 134, 163–176. [Google Scholar] [CrossRef]
- Dai, A. Drought under global warming: A review. WIREs Clim. Chang. 2011, 2, 45–65. [Google Scholar] [CrossRef]
- Palomo, I. Climate Change Impacts on Ecosystem Services in High Mountain Areas: A Literature Review. Mt. Res. Dev. 2017, 37, 179–187. [Google Scholar] [CrossRef]
- Diffenbaugh, N.S.; Burke, M. Global warming has increased global economic inequality. Proc. Natl. Acad. Sci. USA 2019, 116, 9808–9813. [Google Scholar] [CrossRef] [PubMed]
- McCarthy, J.J.; Canziani, O.F.; Leary, N.A.; Dokken, D.J.; White, K.S. Climate Change 2001: Impacts, Adaptation, and Vulnerability: Contribution of Working Group II to the Third Assessment Report of the Intergovernmental Panel on Climate Change; Cambridge University Press: Cambridge, UK, 2001; Volume 2. [Google Scholar]
- Steve, L.; Richard, M.; William, P. Recent California climate variability: Spatial and temporal patterns in temperature trends. Clim. Res. 2007, 33, 159–169. [Google Scholar] [CrossRef]
- Mikkonen, S.; Laine, M.; Mäkelä, H.M.; Gregow, H.; Tuomenvirta, H.; Lahtinen, M.; Laaksonen, A. Trends in the average temperature in Finland, 1847–2013. Stoch. Environ. Res. Risk A 2015, 29, 1521–1529. [Google Scholar] [CrossRef]
- Nasrallah, H.A.; Balling, R.C. Spatial and temporal analysis of Middle Eastern temperature changes. Clim. Chang. 1993, 25, 153–161. [Google Scholar] [CrossRef]
- Nayava, J.L.; Adhikary, S.; Bajracharya, O.R. Spatial and temporal variation of surface air temperature at different altitude zone in recent 30 years over Nepal. Mausam 2017, 68, 417–428. [Google Scholar]
- Agu, E. Temporal and Spatial Variability of Air Temperatures in Estonia during 1756–2014. J. Climatol. 2016, 2016, 9426791. [Google Scholar] [CrossRef]
- Fan, Z.; Bräuning, A.; Thomas, A.; Li, J.; Cao, K. Spatial and temporal temperature trends on the Yunnan Plateau (Southwest China) during 1961–2004. Int. J. Climatol. 2011, 31, 2078–2090. [Google Scholar] [CrossRef]
- Li, Q.; Chen, Y.; Shen, Y.; Li, X.; Xu, J. Spatial and temporal trends of climate change in Xinjiang, China. J. Geogr. Sci. 2011, 21, 1007–1018. [Google Scholar] [CrossRef]
- Li, Z.; He, Y.; Wang, C.; Wang, X.; Xin, H.; Zhang, W.; Cao, W. Spatial and temporal trends of temperature and precipitation during 1960–2008 at the Hengduan Mountains, China. Quat. Int. 2011, 236, 127–142. [Google Scholar] [CrossRef]
- Yan, T.; Shen, Z.; Bai, J. Spatial and Temporal Changes in Temperature, Precipitation, and Streamflow in the Miyun Reservoir Basin of China. Water 2017, 9, 78. [Google Scholar] [CrossRef]
- Feizi, V.; Mollashahi, M.; Farajzadeh, M.; Azizi, G. Spatial and Temporal Trend Analysis of Temperature and Precipitation in Iran. Ecopersia 2014, 2, 727–742. [Google Scholar]
- Pepin, N.C.; Lundquist, J.D. Temperature trends at high elevations: Patterns across the globe. Geophys. Res. Lett. 2008, 35, L14701. [Google Scholar] [CrossRef]
- Liu, Y.; Yue, T.; Jiao, Y.; Zhao, Y.; Bao, Z. Fusion of Simulated and Observational Temperature Data in the Beijing-Tianjin-Hebei Region Based on High-Accuracy Surface Modeling. Adv. Meteorol. 2019, 2019, 8709575. [Google Scholar] [CrossRef]
- Ishida, T.; Kawashima, S. Use of cokriging to estimate surface air temperature from elevation. Theor. Appl. Climatol. 1993, 47, 147–157. [Google Scholar] [CrossRef]
- Collados-Lara, A.-J.; Fassnacht, S.R.; Pulido-Velazquez, D.; Pfohl, A.K.D.; Morán-Tejeda, E.; Venable, N.B.H.; Pardo-Igúzquiza, E.; Puntenney-Desmond, K. Intra-day variability of temperature and its near-surface gradient with elevation over mountainous terrain: Comparing MODIS Land Surface Temperature data with coarse and fine scale near-surface measurements. Int. J. Climatol. 2020. [Google Scholar] [CrossRef]
- Ding, Y. Response of Cryosphere to Climatic Warming SInce 1980 over the Northern Hemisphere. J. Glaciol. Geocryol. 1996, 18, 131–137, (In Chinese with English abstract). [Google Scholar]
- Beniston, M.; Diaz, H.F.; Bradley, R.S. Climatic change at high elevation sites: An overview. Clim. Chang. 1997, 36, 233–251. [Google Scholar] [CrossRef]
- Liu, X.; Chen, B. Climatic warming in the Tibetan Plateau during recent decades. Int. J. Climatol. 2000, 20, 1729–1742. [Google Scholar] [CrossRef]
- Mountain Research Initiative EDW Working Group; Pepin, N.; Bradley, R.S.; Diaz, H.F.; Baraer, M.; Caceres, E.B.; Forsythe, N.; Fowler, H.; Greenwood, G.; Hashmi, M.Z.; et al. Elevation-dependent warming in mountain regions of the world. Nat. Clim. Chang. 2015, 5, 424–430. [Google Scholar] [CrossRef]
- Ding, H.; Shi, W. Land-use/land-cover change and its influence on surface temperature: A case study in Beijing city. Int. J. Remote Sens. 2013, 34, 5503–5517. [Google Scholar] [CrossRef]
- Bindajam, A.A.; Mallick, J.; AlQadhi, S.; Singh, C.K.; Hang, H.T. Impacts of Vegetation and Topography on Land Surface Temperature Variability over the Semi-Arid Mountain Cities of Saudi Arabia. Atmosphere 2020, 11, 762. [Google Scholar] [CrossRef]
- Horowitz, J.K. The Income–Temperature Relationship in a Cross-Section of Countries and its Implications for Predicting the Effects of Global Warming. Environ. Resour. Econ. 2009, 44, 475–493. [Google Scholar] [CrossRef]
- Homoródi, R.; Osmólska, K. An Analysis of the Relationship between Carbon-Dioxide Emissions and Gross Domestic Product For 139 Countries Within the Time Period 1985–2004; University of Skövde: Skövde, Switzerland, 2009. [Google Scholar]
- Guo, X.; Ren, D.; Shi, J. Carbon emissions, logistics volume and GDP in China: Empirical analysis based on panel data model. Environ. Sci. Pollut. Res. 2016, 23, 24758–24767. [Google Scholar] [CrossRef]
- Yang, X.; Zhang, Y.; Liu, L.; Zhang, W.; Ding, M.; Wang, Z. Sensitivity of surface air temperature change to land use/cover types in China. Sci. China Ser. D Earth Sci. 2009, 52, 1207–1215. [Google Scholar] [CrossRef]
- Wang, Y.; Li, H. Initial formation and Mesozoic tectonic exhumation of an intracontinental tectonic belt of the northern part of the Taihang Mountain belt, eastern Asia. J. Geol. 2008, 116, 155–172. [Google Scholar] [CrossRef]
- Wang, Q.-X.; Fan, X.-H.; Qin, Z.-D.; Wang, M.-B. Change trends of temperature and precipitation in the Loess Plateau Region of China, 1961–2010. Global Planet Chang. 2012, 92–93, 138–147. [Google Scholar] [CrossRef]
- Fan, X.; Wang, M. Change trends of air temperature and precipitation over Shanxi Province, China. Theor. Appl. Climatol. 2011, 103, 519–531. [Google Scholar] [CrossRef]
- Wang, J.; Gao, Y.; Wang, S. Assessing the response of runoff to climate change and human activities for a typical basin in the Northern Taihang Mountain, China. J. Earth Syst. Sci. 2018, 127, 37. [Google Scholar] [CrossRef]
- Baah-Acheamfour, M.; Carlyle, C.N.; Lim, S.-S.; Bork, E.W.; Chang, S.X. Forest and grassland cover types reduce net greenhouse gas emissions from agricultural soils. Sci. Total Environ. 2016, 571, 1115–1127. [Google Scholar] [CrossRef] [PubMed]
- Fu, T.; Han, L.; Gao, H.; Liang, H.; Liu, J. Geostatistical analysis of pedodiversity in Taihang Mountain region in North China. Geoderma 2018, 328, 91–99. [Google Scholar] [CrossRef]
- Gao, H.; Fu, T.; Liu, J.; Liang, H.; Han, L. Ecosystem Services Management Based on Differentiation and Regionalization along Vertical Gradient in Taihang Mountain, China. Sustainability 2018, 10, 986. [Google Scholar] [CrossRef]
- Liu, Z.; Yang, M.; Wan, G.; Wang, X. The Spatial and Temporal Variation of Temperature in the Qinghai-Xizang (Tibetan) Plateau during 1971–2015. Atmosphere 2017, 8, 214. [Google Scholar] [CrossRef]
- Liu, Q.; Yang, Z.; Cui, B. Spatial and temporal variability of annual precipitation during 1961–2006 in Yellow River Basin, China. J. Hydrol. 2008, 361, 330–338. [Google Scholar] [CrossRef]
- Brunsdon, C.; Fotheringham, S.; Charlton, E. Geographically Weighted Regression: A Method for Exploring Spatial Nonstationarity. Geogra. Anal 2010, 28, 281–298. [Google Scholar] [CrossRef]
- Li, S.; Zhao, Z.; Miaomiao, X.; Wang, Y. Investigating spatial non-stationary and scale-dependent relationships between urban surface temperature and environmental factors using geographically weighted regression. Environ. Model. Softw. 2010, 25, 1789–1800. [Google Scholar] [CrossRef]
- Slangen, E. How humans and rising seas affect each other. Nature 2018, 558, 196–197. [Google Scholar] [CrossRef]
- Schlaepfer, D.R.; Bradford, J.B.; Lauenroth, W.K.; Munson, S.M.; Tietjen, B.; Hall, S.A.; Wilson, S.D.; Duniway, M.C.; Jia, G.; Pyke, D.A.; et al. Climate change reduces extent of temperate drylands and intensifies drought in deep soils. Nat. Commun. 2017, 8, 14196. [Google Scholar] [CrossRef]
- Hughes, T.P.; Kerry, J.T.; Álvarez-Noriega, M.; Álvarez-Romero, J.G.; Anderson, K.D.; Baird, A.H.; Babcock, R.C.; Beger, M.; Bellwood, D.R.; Berkelmans, R.; et al. Global warming and recurrent mass bleaching of corals. Nature 2017, 543, 373. [Google Scholar] [CrossRef] [PubMed]
- Walther, G.-R.; Post, E.; Convey, P.; Menzel, A.; Parmesan, C.; Beebee, T.J.C.; Fromentin, J.-M.; Hoegh-Guldberg, O.; Bairlein, F. Ecological responses to recent climate change. Nature 2002, 416, 389–395. [Google Scholar] [CrossRef] [PubMed]
- Przybylak, R. Temporal and spatial variation of surface air temperature over the period of instrumental observations in the Arctic. Int. J. Climatol. 2000, 20, 587–614. [Google Scholar] [CrossRef]
- Chuanyan, Z.; Zhongren, N.; Guodong, C. Methods for modelling of temporal and spatial distribution of air temperature at landscape scale in the southern Qilian mountains, China. Ecol. Model. 2005, 189, 209–220. [Google Scholar] [CrossRef]
- Li, Y.; Xu, Q.; Wang, Z. Discussion on Ecological Restoration in Taihang mountain area of Hebei Province. Soil Water Conserv. China 2004, 11, 10–11, (In Chinese with English abstract). [Google Scholar]
- Lu, A.; Kang, S.; Li, Z.; Theakstone, W.H. Altitude effects of climatic variation on Tibetan Plateau and its vicinities. J. Earth Sci. 2010, 21, 189–198. [Google Scholar] [CrossRef]
- Ceppi, P.; Scherrer, S.C.; Fischer, A.M.; Appenzeller, C. Revisiting Swiss temperature trends 1959–2008. Int. J. Climatol. 2012, 32, 203–213. [Google Scholar] [CrossRef]
- Burke, M.; Hsiang, S.M.; Miguel, E. Global non-linear effect of temperature on economic production. Nature 2015, 527, 235–239. [Google Scholar] [CrossRef]
- Li, L.; Zha, Y. Satellite-based regional warming hiatus in China and its implication. Sci. Total Environ. 2019, 648, 1394–1402. [Google Scholar] [CrossRef]
- Ma, Z.G.; Dan, L. Dry/wet variation and its relationship with regional warming in arid-regions of northern China. Chin. J. Geophys. 2005, 48, 1091–1099. [Google Scholar] [CrossRef]
- Du, J.; Jia, Y.; Hao, C.; Qiu, Y.; Niu, C.; Liu, H. Temporal and spatial changes of blue water and green water in the Taihang Mountain Region, China, in the past 60 years. Hydrol. Sci. J. 2019, 64, 2040–2056. [Google Scholar] [CrossRef]
- Sun, H.; Shen, Y.; Yu, Q.; Flerchinger, G.N.; Zhang, Y.; Liu, C.; Zhang, X. Effect of precipitation change on water balance and WUE of the winter wheat–summer maize rotation in the North China Plain. Agric. Water Manag. 2010, 97, 1139–1145. [Google Scholar] [CrossRef]
- Patz, J.A.; Hulme, M.; Rosenzweig, C.; Mitchell, T.D.; Goldberg, R.A.; Githeko, A.K.; Lele, S.; McMichael, A.J.; Le Sueur, D. Regional warming and malaria resurgence. Nature 2002, 420, 627–628. [Google Scholar] [CrossRef] [PubMed]











| Min. | Max. | Mean | SD | CV | |
|---|---|---|---|---|---|
| Spring | 10.93 | 14.48 | 12.65 | 0.93 | 7.39 |
| Summer | 22.55 | 25.25 | 23.81 | 0.58 | 2.42 |
| Fall | 9.97 | 13.51 | 11.53 | 0.72 | 6.21 |
| Winter | −5.20 | −0.03 | −2.35 | 1.19 | 50.50 |
| Annual | 10.22 | 12.51 | 11.41 | 0.59 | 5.21 |
| Abrupt Year | Number of Stations | Percentage of Stations | Accumulate Percentage |
|---|---|---|---|
| * | 22 | 24.7 | 24.7 |
| 1981 | 1 | 1.1 | 25.8 |
| 1986 | 3 | 3.4 | 29.2 |
| 1987 | 1 | 1.1 | 30.3 |
| 1988 | 1 | 1.1 | 31.5 |
| 1989 | 4 | 4.5 | 36 |
| 1990 | 3 | 3.4 | 39.3 |
| 1991 | 4 | 4.5 | 43.8 |
| 1992 | 1 | 1.1 | 44.9 |
| 1993 | 4 | 4.5 | 49.4 |
| 1994 | 13 | 14.6 | 64 |
| 1995 | 4 | 4.5 | 68.5 |
| 1996 | 4 | 4.5 | 73 |
| 1997 | 14 | 15.7 | 88.8 |
| 1998 | 4 | 4.5 | 93.3 |
| 1999 | 1 | 1.1 | 94.4 |
| 2000 | 3 | 3.4 | 97.8 |
| 2003 | 1 | 1.1 | 98.9 |
| 2006 | 1 | 1.1 | 100 |
| Percent Forestland | Percent Farmland | Gross Domestic Product | Elevation | Longitude | Latitude | ||
|---|---|---|---|---|---|---|---|
| T | R | 0.151 | −0.174 | 0.064 | −0.863 ** | −0.73 | −0.467 ** |
| p | 0.166 | 0.108 | 0.560 | <0.01 | 0.498 | <0.001 | |
| Z | R | −0.27 * | 0.064 | 0.236 * | 0.022 | 0.209 * | 0.123 |
| p | 0.039 | 0.552 | 0.027 | 0.840 | 0.05 | 0.252 | |
Publisher’s Note: MDPI stays neutral with regard to jurisdictional claims in published maps and institutional affiliations. |
© 2021 by the authors. Licensee MDPI, Basel, Switzerland. This article is an open access article distributed under the terms and conditions of the Creative Commons Attribution (CC BY) license (http://creativecommons.org/licenses/by/4.0/).
Share and Cite
Fu, T.; Liang, H.; Gao, H.; Liu, J. The Taihang Mountain Region of North China is Experiencing A Significant Warming Trend. Sustainability 2021, 13, 856. https://doi.org/10.3390/su13020856
Fu T, Liang H, Gao H, Liu J. The Taihang Mountain Region of North China is Experiencing A Significant Warming Trend. Sustainability. 2021; 13(2):856. https://doi.org/10.3390/su13020856
Chicago/Turabian StyleFu, Tonggang, Hongzhu Liang, Hui Gao, and Jintong Liu. 2021. "The Taihang Mountain Region of North China is Experiencing A Significant Warming Trend" Sustainability 13, no. 2: 856. https://doi.org/10.3390/su13020856
APA StyleFu, T., Liang, H., Gao, H., & Liu, J. (2021). The Taihang Mountain Region of North China is Experiencing A Significant Warming Trend. Sustainability, 13(2), 856. https://doi.org/10.3390/su13020856

