Effects of Film Mulching on Plant Growth and Nutrients in Artificial Soil: A Case Study on High Altitude Slopes
Abstract
:1. Introduction
2. Materials and Methods
2.1. Study Sites
2.2. Experimental Design
2.2.1. Soil Information
2.2.2. Experimental Grass Species
2.2.3. Film Mulching Treatment
2.3. Measurements and Methods
2.3.1. Plant Growth Parameters
2.3.2. Nutrient Contents in the Soil
2.4. Statistical Analysis
3. Results
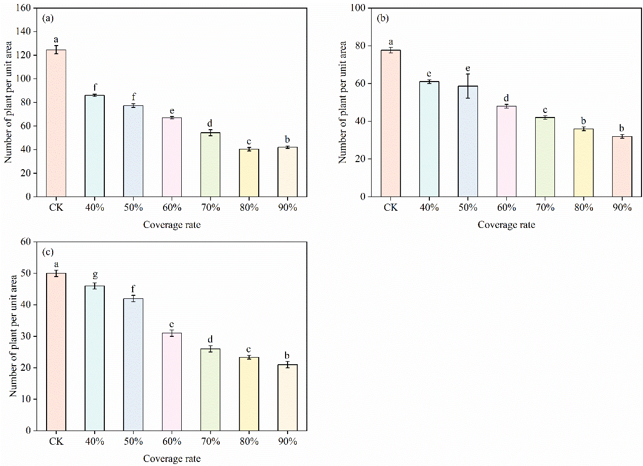
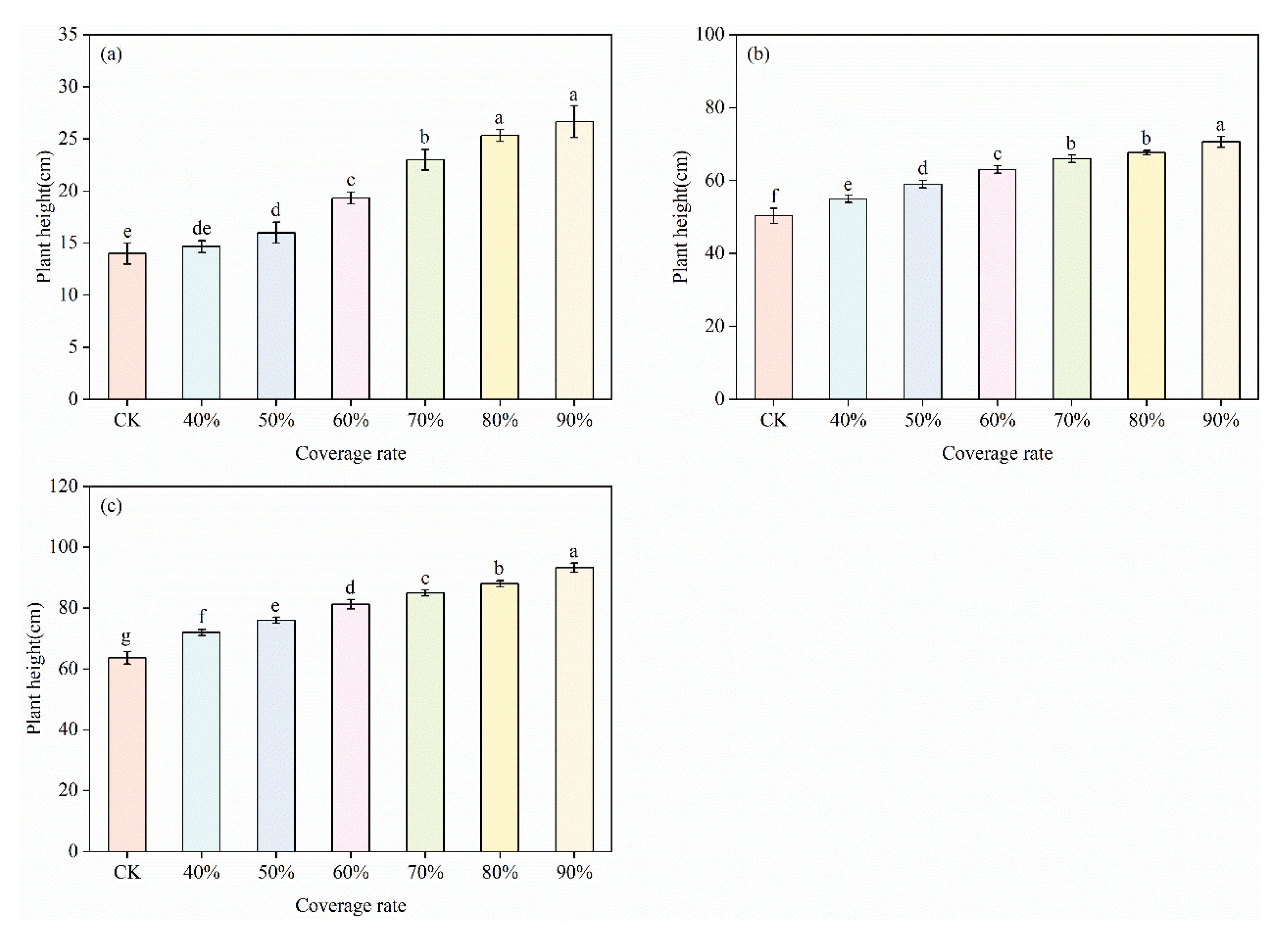
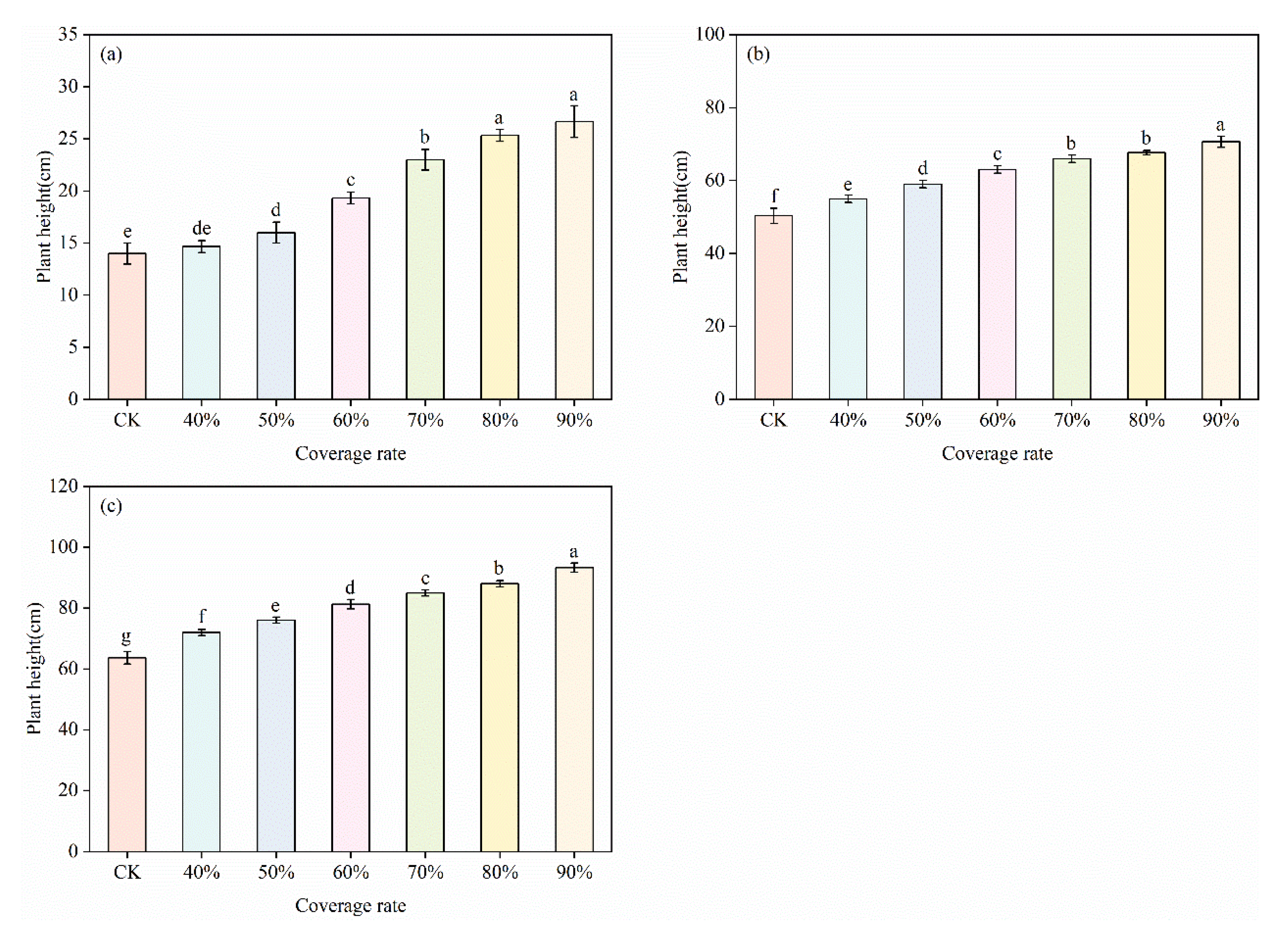
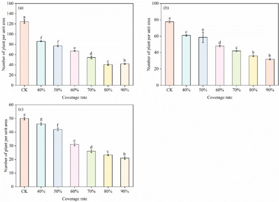
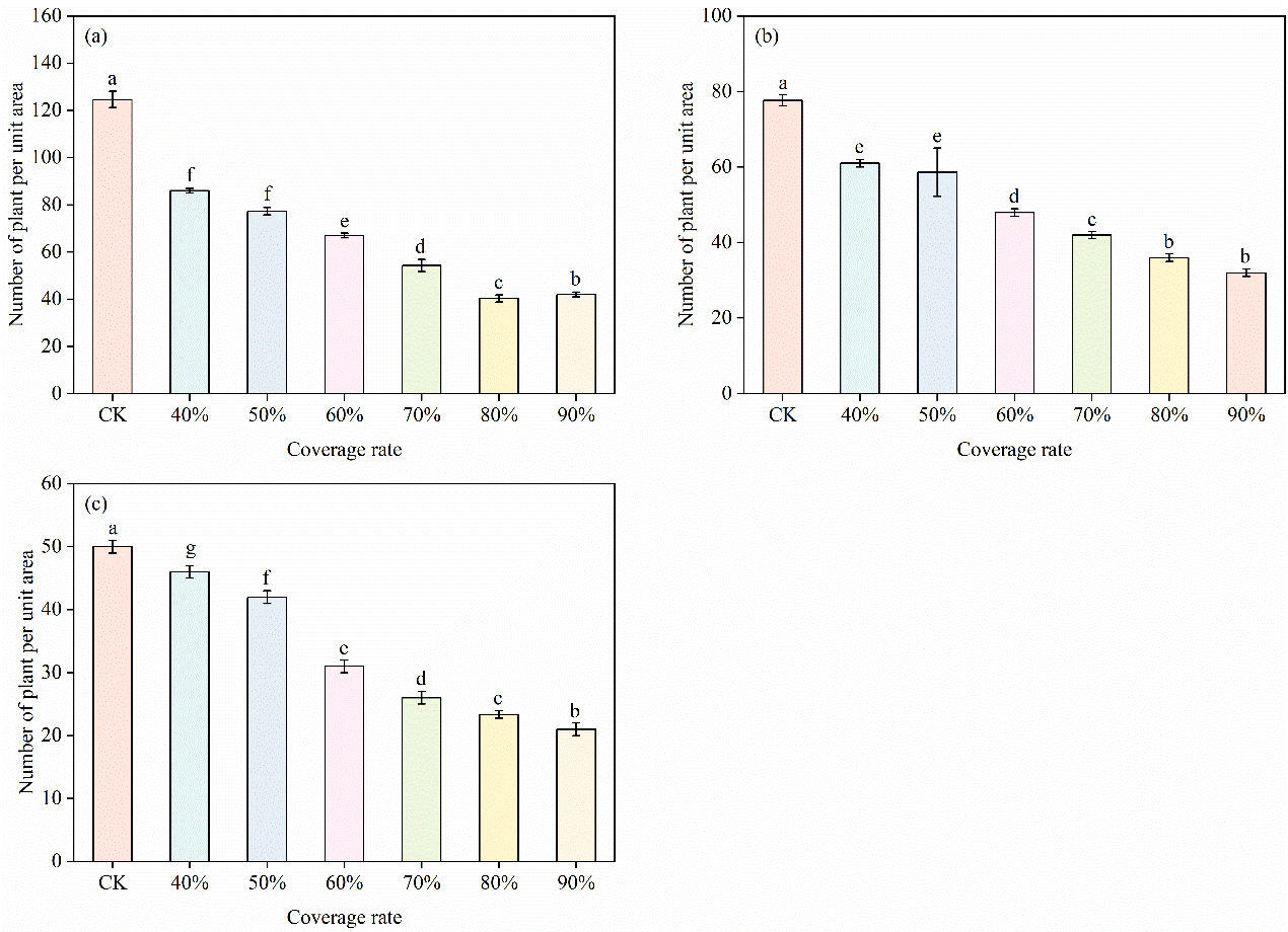
3.1. Film Mulching Effects on Plant Growth
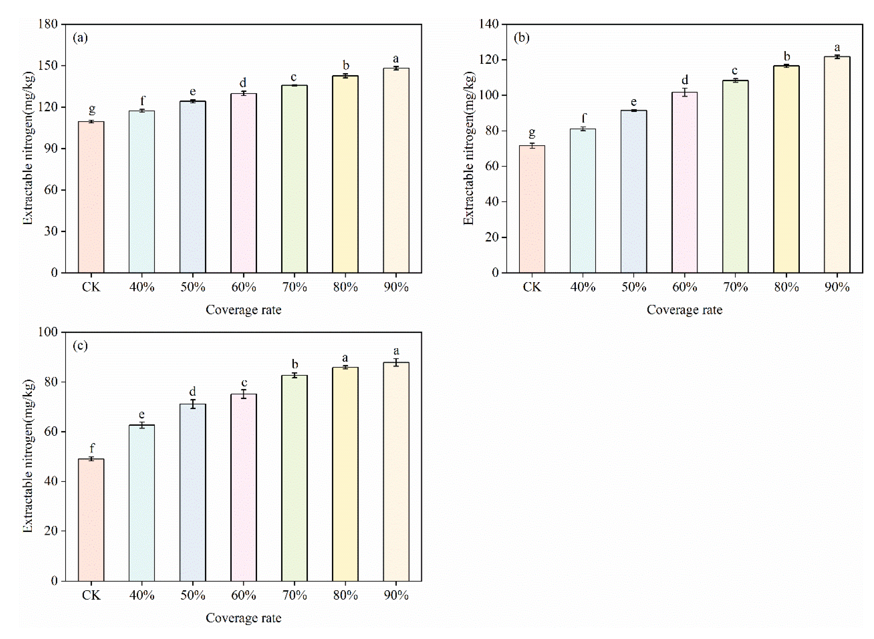
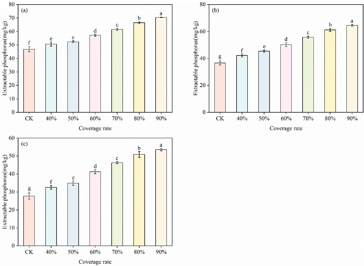
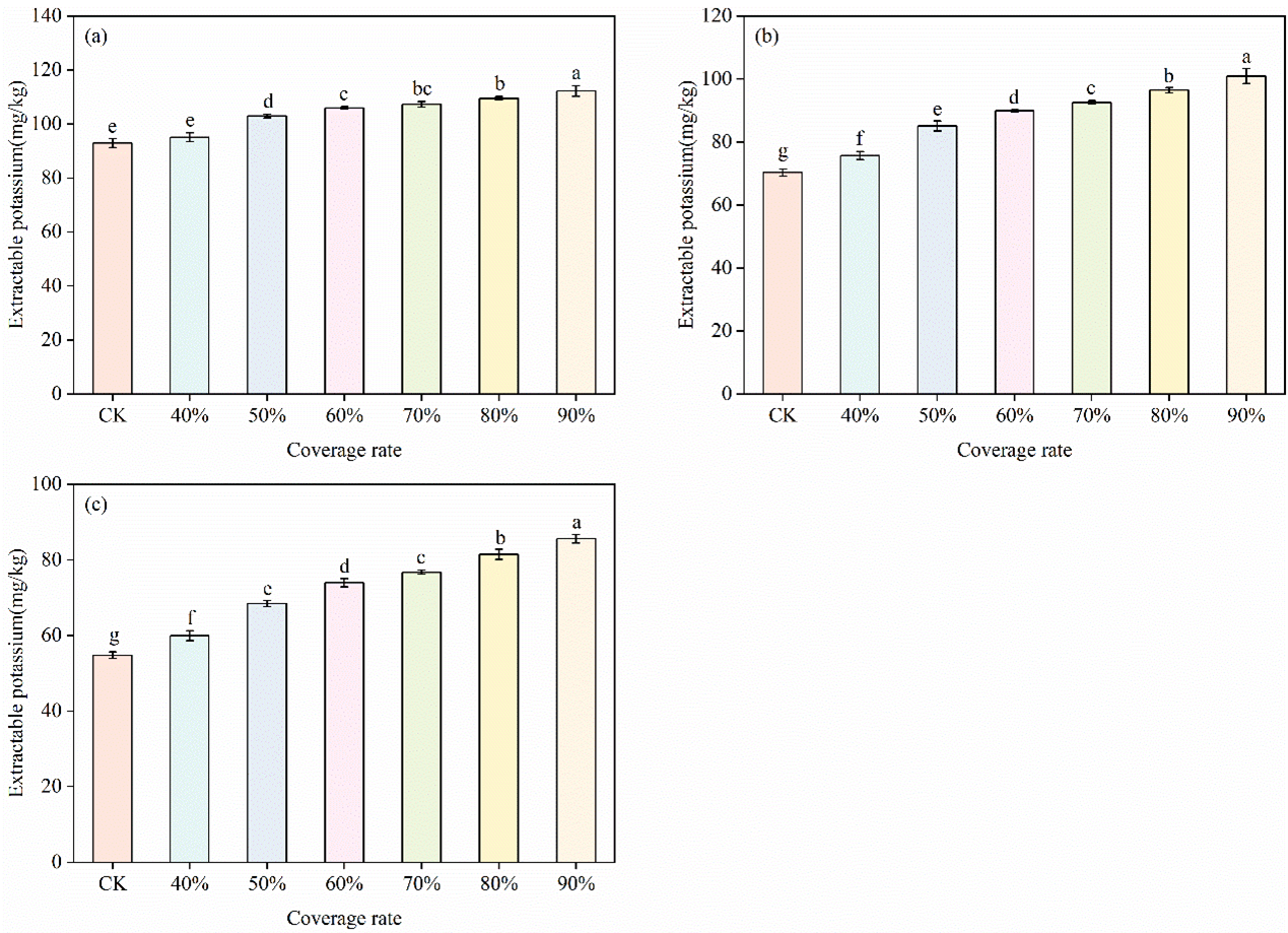
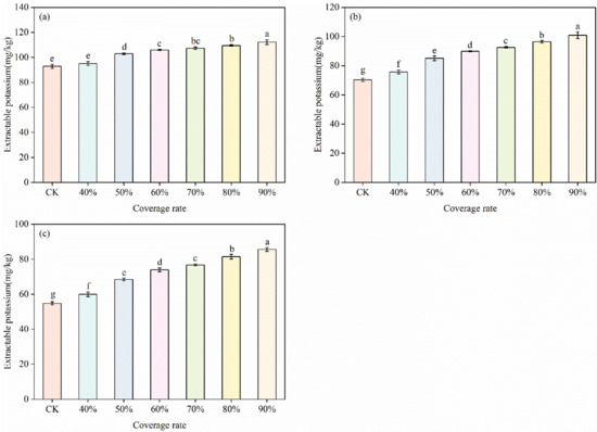
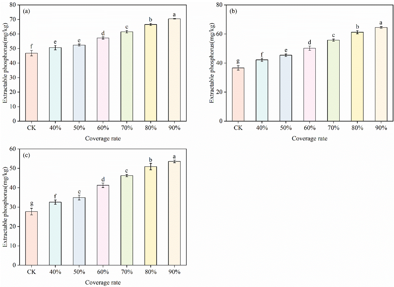
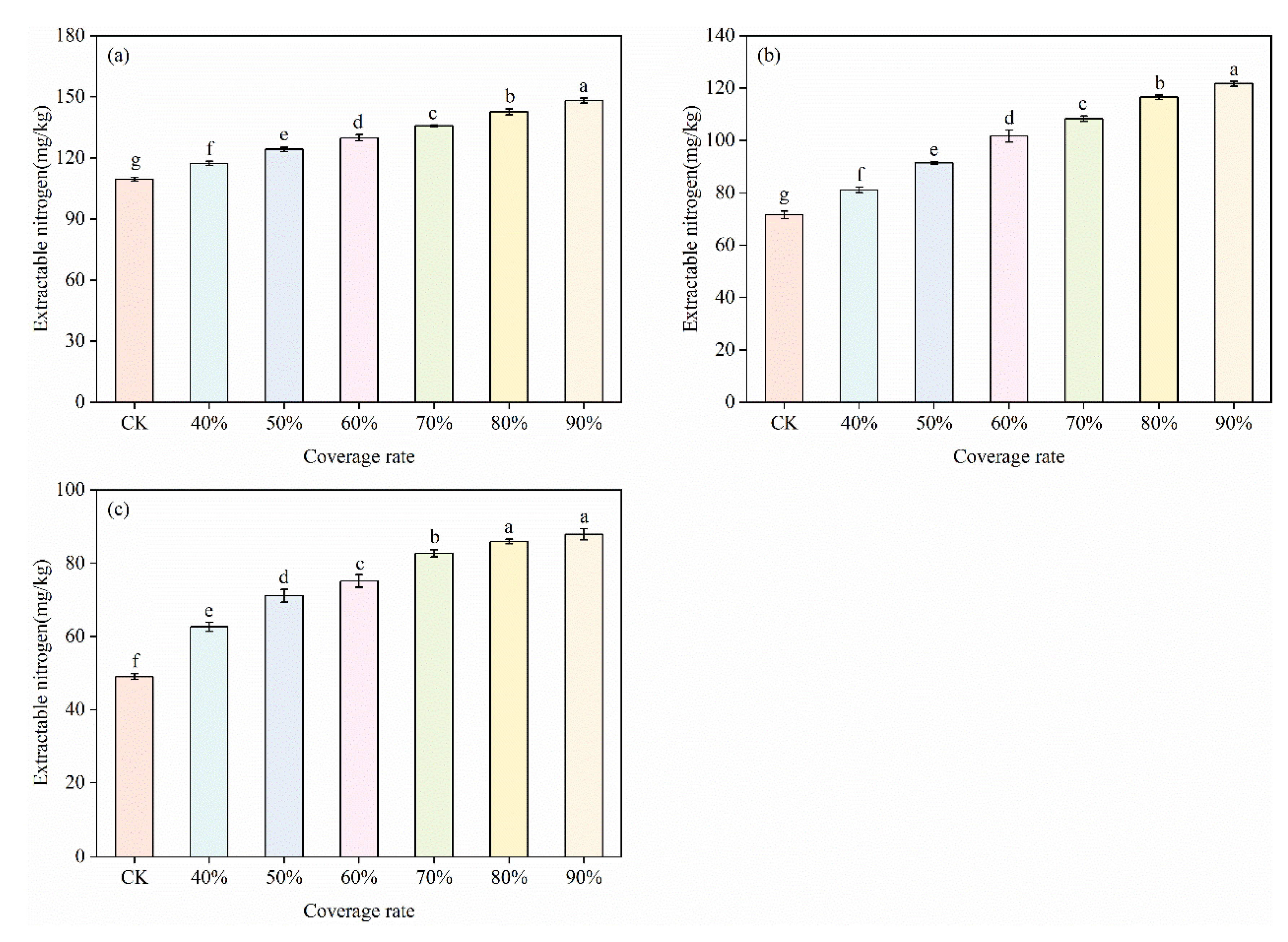
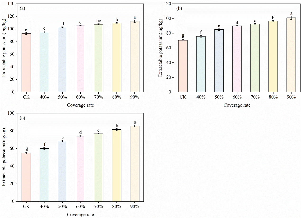
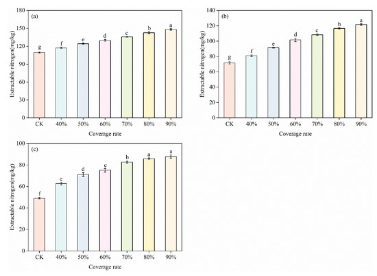
3.2. Film Mulching Effects on Nutrients in the Soil
4. Discussion
4.1. Film Mulching Effects on Plant Growth
4.1.1. Film Mulching and Number of Plant per Unit Area
4.1.2. Film Mulching and Plant Height
4.1.3. Film Mulching and Plant Biomass
4.1.4. Film Mulching and Plant ground Diameter
4.2. Film Mulching Effects on Nutrients in the Soil
5. Conclusions
Author Contributions
Funding
Institutional Review Board Statement
Informed Consent Statement
Data Availability Statement
Conflicts of Interest
References
- Xiao, Y.-H.; Ai, Y.; Chen, L.-P.; Li, W.; Chen, Z.-Q.; Fang, C.; Li, D.-H. Determination of heavy metal by AAS in railway rock-cut slope soil. Spectrosc. Spectr. Anal. 2012, 32, 2576–2578. [Google Scholar]
- Li, R.; Zhang, W.; Yang, S.; Zhu, M.; Kan, S.; Chen, J.; Ai, X.; Ai, Y. Topographic aspect affects the vegetation restoration and artificial soil quality of rock-cut slopes restored by external-soil spray seeding. Sci. Rep. 2018, 8, 12109. [Google Scholar] [CrossRef] [PubMed]
- Wang, M.; Liu, Q.; Pang, X. Evaluating ecological effects of roadside slope restoration techniques: A global meta-analysis. J. Environ. Manag. 2021, 281, 111867. [Google Scholar] [CrossRef]
- Shao, Q.; Gu, W.; Dai, Q.-Y.; Makoto, S.; Liu, Y. Effectiveness of geotextile mulches for slope restoration in semi-arid northern China. Catena 2014, 116, 1–9. [Google Scholar] [CrossRef]
- Devkota, S.; Shakya, N.M.; Sudmeier-Rieux, K. Framework for Assessment of Eco-Safe Rural Roads in Panchase Geographic Region in Central–Western Nepal Hills. Environments 2019, 6, 59. [Google Scholar] [CrossRef] [Green Version]
- Zhu, M.; Yang, S.; Ai, S.; Ai, X.; Jiang, X.; Chen, J.; Li, R.; Ai, Y. Artificial soil nutrient, aggregate stability and soil quality index of restored cut slopes along altitude gradient in southwest China. Chemosphere 2020, 246, 125687. [Google Scholar] [CrossRef] [PubMed]
- Fu, D.; Yang, H.; Wang, L.; Yang, S.; Li, R.; Zhang, W.; Ai, X.; Ai, Y. Vegetation and soil nutrient restoration of cut slopes using outside soil spray seeding in the plateau region of southwestern China. J. Environ. Manag. 2018, 228, 47–54. [Google Scholar] [CrossRef] [PubMed]
- Gao, G.-J.; Yuan, J.-G.; Han, R.-H.; Xin, G.-R.; Yang, Z.-Y. Characteristics of the optimum combination of synthetic soils by plant and soil properties used for rock slope restoration. Ecol. Eng. 2007, 30, 303–311. [Google Scholar] [CrossRef]
- Sutejo, Y.; Gofar, N. Effect of Area Development on the Stability of Cut Slopes. Procedia Eng. 2015, 125, 331–337. [Google Scholar] [CrossRef] [Green Version]
- Huang, Z.; Chen, J.; Ai, X.; Li, R.; Ai, Y.; Li, W. The texture, structure and nutrient availability of artificial soil on cut slopes restored with OSSS—Influence of restoration time. J. Environ. Manag. 2017, 200, 502–510. [Google Scholar] [CrossRef]
- Gao, J.; Sang, Y. Identification and estimation of landslide-debris flow disaster risk in primary and middle school campuses in a mountainous area of Southwest China. Int. J. Disaster Risk Reduct. 2017, 25, 60–71. [Google Scholar] [CrossRef]
- Li, X.; Gao, J.; Zhang, J.; Wang, R.; Jin, L.; Zhou, H. Adaptive strategies to overcome challenges in vegetation restoration to coalmine wasteland in a frigid alpine setting. Catena 2019, 182, 104142. [Google Scholar] [CrossRef]
- Zhang, Y.; Yang, J.-Y.; Wu, H.-L.; Shi, C.-Q.; Zhang, C.-L.; Li, D.-X.; Feng, M.-M. Dynamic changes in soil and vegetation during varying ecological-recovery conditions of abandoned mines in Beijing. Ecol. Eng. 2014, 73, 676–683. [Google Scholar] [CrossRef]
- Yang, Y.; Yang, J.; Zhao, T.; Huang, X.; Zhao, P. Ecological restoration of highway slope by covering with straw-mat and seeding with grass–legume mixture. Ecol. Eng. 2016, 90, 68–76. [Google Scholar] [CrossRef]
- Ossom, E.M.; Pace, P.F.; Rhykerd, R.L.; Rhykerd, C.L. Effect of mulch on weed infestation, soil temperature., nutrient concentration, and tuber yield in Ipomoea batatas (L.) Lam. in Papua New Guinea. Trop. Agric. 2001, 78, 144–151. [Google Scholar]
- Li, S.; Wang, Z.; Gao, Y.; Tian, X. Effect of plastic sheet mulch, wheat straw mulch, and maize growth on water loss by evaporation in dryland areas of China. Agric. Water Manag. 2013, 116, 39–49. [Google Scholar] [CrossRef]
- Wang, Y.P.; Li, X.G.; Zhu, J.; Fan, C.Y.; Kong, X.J.; Turner, N.; Siddique, K.; Li, F.-M. Multi-site assessment of the effects of plastic-film mulch on dryland maize productivity in semiarid areas in China. Agric. For. Meteorol. 2016, 220, 160–169. [Google Scholar] [CrossRef]
- Li, R.; Hou, X.; Jia, Z.; Han, Q.; Ren, X.; Yang, B. Effects on soil temperature, moisture, and maize yield of cultivation with ridge and furrow mulching in the rainfed area of the Loess Plateau, China. Agric. Water Manag. 2013, 116, 101–109. [Google Scholar] [CrossRef]
- Saglam, M.; Sintim, H.; Bary, A.I.; Miles, C.A.; Ghimire, S.; Inglis, D.A.; Flury, M. Modeling the effect of biodegradable paper and plastic mulch on soil moisture dynamics. Agric. Water Manag. 2017, 193, 240–250. [Google Scholar] [CrossRef]
- Jia, H.; Wang, Z.; Zhang, J.; Li, W.; Ren, Z.; Jia, Z.; Wang, Q. Effects of biodegradable mulch on soil water and heat conditions, yield and quality of processing tomatoes by drip irrigation. J. Arid. Land 2020, 12, 819–836. [Google Scholar] [CrossRef]
- Sintim, H.Y.; Bandopadhyay, S.; English, M.E.; Bary, A.; González, J.E.L.Y.; DeBruyn, J.M.; Schaeffer, S.M.; Miles, C.A.; Flury, M. Four years of continuous use of soil-biodegradable plastic mulch: Impact on soil and groundwater quality. Geoderma 2021, 381, 114665. [Google Scholar] [CrossRef]
- Iriany, A.; Hasanah, F.; Roeswitawati, D.; Bela, M.F. Biodegradable mulch as microclimate modification effort for improving the growth of horenso; Spinacia oleracea L. Glob. J. Environ. Sci. Manag. 2021, 7, 185–196. [Google Scholar]
- Xu, H.; Li, T.-B.; Chen, J.-N.; Liu, C.-N.; Zhou, X.-H.; Xia, L. Characteristics and applications of ecological soil substrate for rocky slope vegetation in cold and high-altitude areas. Sci. Total. Environ. 2017, 609, 446–455. [Google Scholar] [CrossRef] [PubMed]
- Li, S.; Li, Y.; Shi, J.; Zhao, T.; Yang, J. Optimizing the formulation of external-soil spray seeding with sludge using the orthogonal test method for slope ecological protection. Ecol. Eng. 2017, 102, 527–535. [Google Scholar] [CrossRef]
- García, M.M.; Cano, A.F. Soil organic matter stocks and quality at high altitude grasslands of Apolobamba, Bolivia. Catena 2012, 94, 26–35. [Google Scholar] [CrossRef]
- Huang, C.; Bai, J.; Shao, H.; Gao, H.; Xiao, R.; Huang, L.; Liu, P. Changes in Soil Properties before and after Wetland Degradation in the Yellow River Delta, China. CLEAN-Soil Air Water 2012, 40, 1125–1130. [Google Scholar] [CrossRef]
- Lan, J.C. Responses of soil organic carbon components and their sensitivity to karst rocky desertification control measures in Southwest China. J. Soils Sediments 2021, 21, 978–989. [Google Scholar] [CrossRef]
- Wang, L.; Li, X.G.; Guan, Z.-H.; Jia, B.; Turner, N.; Li, F.-M. The effects of plastic-film mulch on the grain yield and root biomass of maize vary with cultivar in a cold semiarid environment. Field Crop. Res. 2018, 216, 89–99. [Google Scholar] [CrossRef]
- Zhou, L.; Feng, H. Plastic film mulching stimulates brace root emergence and soil nutrient absorption of maize in an arid environment. J. Sci. Food Agric. 2020, 100, 540–550. [Google Scholar] [CrossRef]
- Fu, W.; Fan, J.; Hao, M.; Hu, J.; Wang, H. Evaluating the effects of plastic film mulching patterns on cultivation of winter wheat in a dryland cropping system on the Loess Plateau, China. Agric. Water Manag. 2021, 244, 106550. [Google Scholar] [CrossRef]
- Yang, C.; Gao, X.; Huang, Y.; Xie, D. An alternative to polyethylene film mulch: Field evaluation of biodegradable film mulch on winter potato in the south of China. Agron. J. 2020, 112, 4752–4764. [Google Scholar] [CrossRef]
- Yang, Y.; Li, P.; Jiao, J.; Yang, Z.; Lv, M.; Li, Y.; Zhou, C.; Wang, C.; He, Z.; Liu, Y.; et al. Renewable sourced biodegradable mulches and their environment impact. Sci. Hortic. 2020, 268, 109375. [Google Scholar] [CrossRef]
- Zhang, W.J.; Li, R.R.; Ai, X.Y.; Jiao, C.; Xu, W.N.; Wei, L.; Ai, Y.W. Enzyme activity and microbial biomass availability in artificial soils on rock-cut slopes restored with outside soil spray seeding (OSSS): Influence of topography and season. J. Environ. Manag. 2018, 211, 287–295. [Google Scholar] [CrossRef] [PubMed]
- Alvarez-Aquino, C.; Williams-Linera, G.; Newton, A.C. Experimental Native Tree Seedling Establishment for the Restoration of a Mexican Cloud Forest. Restor. Ecol. 2004, 12, 412–418. [Google Scholar] [CrossRef]
- Li, T.B.; Xu, H.; Zhang, R.B.; Zhou, X.H. Study on the ecological protection techniques of steep rock slope in high-cold area. In Proceedings and Monographs in Engineering, Water and Earth Sciences; Cai, M., Wang, J., Eds.; Taylor & Francis Ltd.: London, UK, 2008; pp. 895–900. [Google Scholar]
- Zhang, X.; You, S.; Tian, Y.; Li, J. Comparison of plastic film, biodegradable paper and bio-based film mulching for summer tomato production: Soil properties, plant growth, fruit yield and fruit quality. Sci. Hortic. 2019, 249, 38–48. [Google Scholar] [CrossRef]
- Zhao, Y.; Li, Y.; Wang, J.; Pang, H.; Li, Y. Buried straw layer plus plastic mulching reduces soil salinity and increases sunflower yield in saline soils. Soil Tillage Res. 2016, 155, 363–370. [Google Scholar] [CrossRef]
- Wang, R.; Wan, S.; Sun, J.; Xiao, H. Soil salinity, sodicity and cotton yield parameters under different drip irrigation regimes during saline wasteland reclamation. Agric. Water Manag. 2018, 209, 20–31. [Google Scholar] [CrossRef]
- Qi, Y.; Chen, T.; Pu, J.; Yang, F.; Shukla, M.K.; Chang, Q. Response of soil physical, chemical and microbial biomass properties to land use changes in fixed desertified land. Catena 2018, 160, 339–344. [Google Scholar] [CrossRef]
- Bray, R.H.; Kurtz, L.T. Determination of total, organic, and available forms of phosphorus in soils. Soil Sci. 1945, 59, 39–45. [Google Scholar] [CrossRef]
- Kundu, R.; Mondal, M.; Garai, S.; Poddar, R.; Banerjee, S. Efficacy of Herbicides against Broad-spectrum Weed Floras and Their Effect on Non-target Soil Micro-organisms and Productivity in Sugarcane (Saccharum sp.). Curr. J. Appl. Sci. Technol. 2020, 23–32. [Google Scholar] [CrossRef]
- Ashman, C.; Awty-Carroll, D.; Mos, M.; Robson, P.; Clifton-Brown, J. Assessing seed priming, sowing date, and mulch film to improve the germination and survival of direct-sown Miscanthus sinensis in the United Kingdom. Glob. Chang. Biol. Bioenergy 2018, 10, 612–627. [Google Scholar] [CrossRef] [PubMed]
- Gordon, G.G.; Foshee, W.G.; Reed, S.T.; Brown, J.E.; Vinson, E.L. The Effects of Colored Plastic Mulches and Row Covers on the Growth and Yield of Okra. HortTechnology 2010, 20, 224–233. [Google Scholar] [CrossRef] [Green Version]
- Liu, Y.; Yang, S.J.; Li, S.Q.; Chen, X.P.; Chen, F. Growth and development of maize (Zea mays L.) in response to different field water management practices: Resource capture and use efficiency. Agric. For. Meteorol. 2010, 150, 606–613. [Google Scholar]
- Kasirajan, S.; Ngouajio, M. Polyethylene and biodegradable mulches for agricultural applications: A review. Agron. Sustain. Dev. 2012, 32, 501–529. [Google Scholar] [CrossRef]
- Tang, W.; Baskin, C.C.; Baskin, J.M.; Nan, Z.B. Plastic film mulching improves seed germination, seedling development and potential for perenniality of Vicia unijugaunder subalpine climate conditions. Crop. Pasture Sci. 2020, 71, 592–609. [Google Scholar] [CrossRef]
- Jabran, K.; Ullah, E.; Hussain, M.; Farooq, M.; Zaman, U.; Yaseen, M.; Chauhan, B. Mulching Improves Water Productivity, Yield and Quality of Fine Rice under Water-saving Rice Production Systems. J. Agron. Crop. Sci. 2015, 201, 389–400. [Google Scholar] [CrossRef]
- Acheampong, K.; Daymond, A.J.; Adu-Yeboah, P.; Hadley, P. Improving field establishment of cacao (Theobroma cacao) through mulching, irrigation and shading. Exp. Agric. 2019, 55, 898–912. [Google Scholar] [CrossRef]
- Hallidri, M. Comparison of the different mulching materials on the growth, yield and quality of cucumber (Cucumis sativus L.). In Proceedings of the 5th International Symposium on Protected Cultivation in Mild Winter Climates: Current Trends for Sustainable Technologies, Cartagena, Spain, 7–11 March 2001; Fernandez, J.A., Martinez, P.F., Castilla, N., Eds.; ISHS: Leuven, Belgium, 2001; pp. 49–53. [Google Scholar]
- Mendonça, S.R.; Ávila, M.C.R.; Vital, R.G.; Evangelista, Z.R.; Pontes, N.D.C.; Nascimento, A.D.R. The effect of different mulching on tomato development and yield. Sci. Hortic. 2020, 275, 109657. [Google Scholar] [CrossRef]
- Anikwe, M.; Mbah, C.; Ezeaku, P.; Onyia, V. Tillage and plastic mulch effects on soil properties and growth and yield of cocoyam (Colocasia esculenta) on an ultisol in southeastern Nigeria. Soil Tillage Res. 2007, 93, 264–272. [Google Scholar] [CrossRef]
- Wang, J.; Gao, X.; Zhou, Y.; Wu, P.; Zhao, X. Impact of conservation practices on soil hydrothermal properties and crop water use efficiency in a dry agricultural region of the tibetan plateau. Soil Tillage Res. 2020, 200, 104619. [Google Scholar] [CrossRef]
- Kasperbauer, M.J. Phytochrome regulation of morphogenesis in green plants—From the beltsville spectrograph to colored mulch in the field. Photochem. Photobiol. 1992, 56, 823–832. [Google Scholar] [CrossRef]
- Sarkar, D.; Solaiman, A.H.M.; Jahan, M.S.; Rojoni, R.N.; Kabir, K.; Hasanuzzaman, M. Soil parameters, onion growth, physiology, biochemical and mineral nutrient composition in response to colored polythene film mulches. Ann. Agric. Sci. 2019, 64, 63–70. [Google Scholar] [CrossRef]
- Zhang, P.; Wei, T.; Han, Q.; Ren, X.; Jia, Z. Effects of different film mulching methods on soil water productivity and maize yield in a semiarid area of China. Agric. Water Manag. 2020, 241, 106382. [Google Scholar] [CrossRef]
- Zhang, F.; Zhang, W.J.; Li, M.; Zhang, Y.; Li, F.M.; Li, C.B. Is crop biomass and soil carbon storage sustainable with long-term application of full plastic film mulching under future climate change? Agric. Syst. 2017, 150, 67–77. [Google Scholar] [CrossRef]
- Jiang, X.; Li, X.G. Assessing the effects of plastic film fully mulched ridge–furrow on rainwater distribution in soil using dye tracer and simulated rainfall. Soil Tillage Res. 2015, 152, 67–73. [Google Scholar] [CrossRef]
- Chen, S.; Zhang, X.; Pei, D.; Sun, H.; Chen, S. Effects of straw mulching on soil temperature, evaporation and yield of winter wheat: Field experiments on the North China Plain. Ann. Appl. Biol. 2007, 150, 261–268. [Google Scholar] [CrossRef]
- Hu, Y.; Ma, P.; Zhang, B.; Hill, R.L.; Wu, S.; Dong, Q.; Chen, G. Exploring optimal soil mulching for the wheat-maize cropping system in sub-humid drought-prone regions in China. Agric. Water Manag. 2019, 219, 59–71. [Google Scholar] [CrossRef]
- Yang, Y.H.; Zong, J.W.; Huang, P.; Zhao, G.Q.; Liang, Y.H. Growth of edible lily (Lilium davidii var. unicolor) and bulb yield responses to potassium fertiliser and plastic film mulching. J. Hortic. Sci. Biotechnol. 2015, 90, 115–120. [Google Scholar] [CrossRef]
- Ni, X.; Song, W.T.; Zhang, H.C.; Yang, X.L.; Wang, L.G. Effects of Mulching on Soil Properties and Growth of Tea Olive (Osmanthus fragrans). PLoS ONE 2016, 11, e0158228. [Google Scholar] [CrossRef] [PubMed]
- Hou, X.; Li, R. Potato Tuber Yields in Semi-Arid Environments are Increased by Tillage and Mulching Practices. Agron. J. 2018, 110, 2641–2651. [Google Scholar] [CrossRef]
- Zhang, D.; Wang, Q.; Zhou, X.; Liu, Q.; Wang, X.; Zhao, X.; Zhao, W.; He, C.; Li, X.; Li, G.; et al. Suitable furrow mulching material for maize and sorghum production with ridge-furrow rainwater harvesting in semiarid regions of China. Agric. Water Manag. 2020, 228, 105928. [Google Scholar] [CrossRef]
- Thakur, M.; Kumar, R. Mulching: Boosting crop productivity and improving soil environment in herbal plants. J. Appl. Res. Med. Aromat. Plants 2021, 20, 100287. [Google Scholar] [CrossRef]
- Schalk, J.M.; Robbins, M.L. Reflective mulches influence plant-survival, production, and insect control in fall tomatoes. Hortscience 1987, 22, 30–32. [Google Scholar]
- Yang, D.; Liu, Y.; Wang, Y.; Gao, F.; Zhao, J.; Li, Y.; Li, X. Effects of Soil Tillage, Management Practices, and Mulching Film Application on Soil Health and Peanut Yield in a Continuous Cropping System. Front. Microbiol. 2020, 11. [Google Scholar] [CrossRef]
- Luo, C.-L.; Zhang, X.-F.; Duan, H.-X.; Mburu, D.M.; Ren, H.-X.; Kavagi, L.; Dai, R.-Z.; Xiong, Y.-C. Dual plastic film and straw mulching boosts wheat productivity and soil quality under the El Nino in semiarid Kenya. Sci. Total Environ. 2020, 738, 139808. [Google Scholar] [CrossRef] [PubMed]
- Fang, H.; Li, Y.N.; Gu, X.B.; Li, Y.P.; Chen, P.P. Can ridge-furrow with film and straw mulching improve wheat-maize system productivity and maintain soil fertility on the Loess Plateau of China? Agric. Water Manag. 2021, 246, 106686. [Google Scholar] [CrossRef]
- Ndubuisi, M.C. Physical Properties of an Ultisol Under Plastic Film and No-Mulches and their Effect on the Yield of Maize. J. Am. Sci. 2009, 5, 25–30. [Google Scholar]
- Jiang, R.; Li, X.; Zhu, W.; Wang, K.; Guo, S.; Misselbrook, T.; Hatano, R. Effects of the ridge mulched system on soil water and inorganic nitrogen distribution in the Loess Plateau of China. Agric. Water Manag. 2018, 203, 277–288. [Google Scholar] [CrossRef]
- Ghimire, S.; Scheenstra, E.; Miles, C.A. Soil-biodegradable Mulches for Growth, Yield, and Quality of Sweet Corn in a Mediterranean-type Climate. Hortscience 2020, 55, 317–325. [Google Scholar] [CrossRef] [Green Version]
- Barton, A.P.; Fullen, M.A.; Mitchell, D.J.; Hocking, T.J.; Liu, L.G.; Bo, Z.W.; Zheng, Y.; Xia, Z.Y. Effects of soil conservation measures on erosion rates and crop productivity on subtropical Ultisols in Yunnan Province, China. Agric. Ecosyst. Environ. 2004, 104, 343–357. [Google Scholar] [CrossRef]
- Rodrigo-Comino, J.; Terol, E.; Mora, G.; Giménez-Morera, A.; Cerdà, A. Vicia sativa Roth. Can Reduce Soil and Water Losses in Recently Planted Vineyards (Vitis vinifera L.). Earth Syst. Environ. 2020, 4, 827–842. [Google Scholar] [CrossRef]
- Akhtar, K.; Wang, W.; Ren, G.; Khan, A.; Feng, Y.; Yang, G.; Wang, H. Integrated use of straw mulch with nitrogen fertilizer improves soil functionality and soybean production. Environ. Int. 2019, 132, 105092. [Google Scholar] [CrossRef] [PubMed]
- Gu, X.; Li, Y.; Du, Y. Film-mulched continuous ridge-furrow planting improves soil temperature, nutrient content and enzymatic activity in a winter oilseed rape field, Northwest China. J. Arid Land 2018, 10, 362–374. [Google Scholar] [CrossRef] [Green Version]
- Zhang, H.Y.; Liu, Q.J.; Yu, X.X.; Wang, L.Z. Influences of mulching durations on soil erosion and nutrient losses in a peanut (Arachis hypogaea)-cultivated land. Nat. Hazards 2014, 72, 1175–1187. [Google Scholar] [CrossRef]
- Sintim, H.; Bandopadhyay, S.; English, M.E.; Bary, A.I.; DeBruyn, J.; Schaeffer, S.; Miles, C.A.; Reganold, J.P.; Flury, M. Impacts of biodegradable plastic mulches on soil health. Agric. Ecosyst. Environ. 2018, 273, 36–49. [Google Scholar] [CrossRef]











| Bulk Density (g cm−3) | Organic Matter (g kg−1) | Extractable N (mg kg−1) | Extractable P (mg kg−1) | Extractable K (mg kg−1) |
|---|---|---|---|---|
| 1.32 | 24.34 | 153.66 | 72.19 | 121.49 |
| Parameter | Number of Plant Individuals per Unit Area | Plant Height (cm) | Plant Ground Diameter (cm) | Extractable N (mg kg−1) | Extractable P (mg kg−1) | Extractable K (mg kg−1) |
|---|---|---|---|---|---|---|
| June 2019 | ||||||
| F-value | 693.32 | 89.88 | 94.88 | 88.33 | 429.90 | 184.90 |
| p-value | 0.00 | 0.00 | 0.00 | 0.00 | 0.00 | 0.00 |
| October 2019 | ||||||
| F-value | 111.15 | 101.04 | 1.96 | - | 615.94 | 248.87 |
| p-value | 0.00 | 0.00 | 0.14 | - | 0.00 | 0.00 |
| May 2020 | ||||||
| F-value | 452.89 | 165.65 | - | - | 337.03 | 187.43 |
| p-value | 0.00 | 0.00 | - | - | 0.00 | 0.00 |
Publisher’s Note: MDPI stays neutral with regard to jurisdictional claims in published maps and institutional affiliations. |
© 2021 by the authors. Licensee MDPI, Basel, Switzerland. This article is an open access article distributed under the terms and conditions of the Creative Commons Attribution (CC BY) license (https://creativecommons.org/licenses/by/4.0/).
Share and Cite
Wang, X.; Sun, H.; Tan, C.; Wang, X.; Xia, M. Effects of Film Mulching on Plant Growth and Nutrients in Artificial Soil: A Case Study on High Altitude Slopes. Sustainability 2021, 13, 11026. https://doi.org/10.3390/su131911026
Wang X, Sun H, Tan C, Wang X, Xia M. Effects of Film Mulching on Plant Growth and Nutrients in Artificial Soil: A Case Study on High Altitude Slopes. Sustainability. 2021; 13(19):11026. https://doi.org/10.3390/su131911026
Chicago/Turabian StyleWang, Xing, Hailong Sun, Changming Tan, Xiaowen Wang, and Min Xia. 2021. "Effects of Film Mulching on Plant Growth and Nutrients in Artificial Soil: A Case Study on High Altitude Slopes" Sustainability 13, no. 19: 11026. https://doi.org/10.3390/su131911026
APA StyleWang, X., Sun, H., Tan, C., Wang, X., & Xia, M. (2021). Effects of Film Mulching on Plant Growth and Nutrients in Artificial Soil: A Case Study on High Altitude Slopes. Sustainability, 13(19), 11026. https://doi.org/10.3390/su131911026
