Assessment of University Students on Online Remote Learning during COVID-19 Pandemic in Korea: An Empirical Study
Abstract
1. Introduction
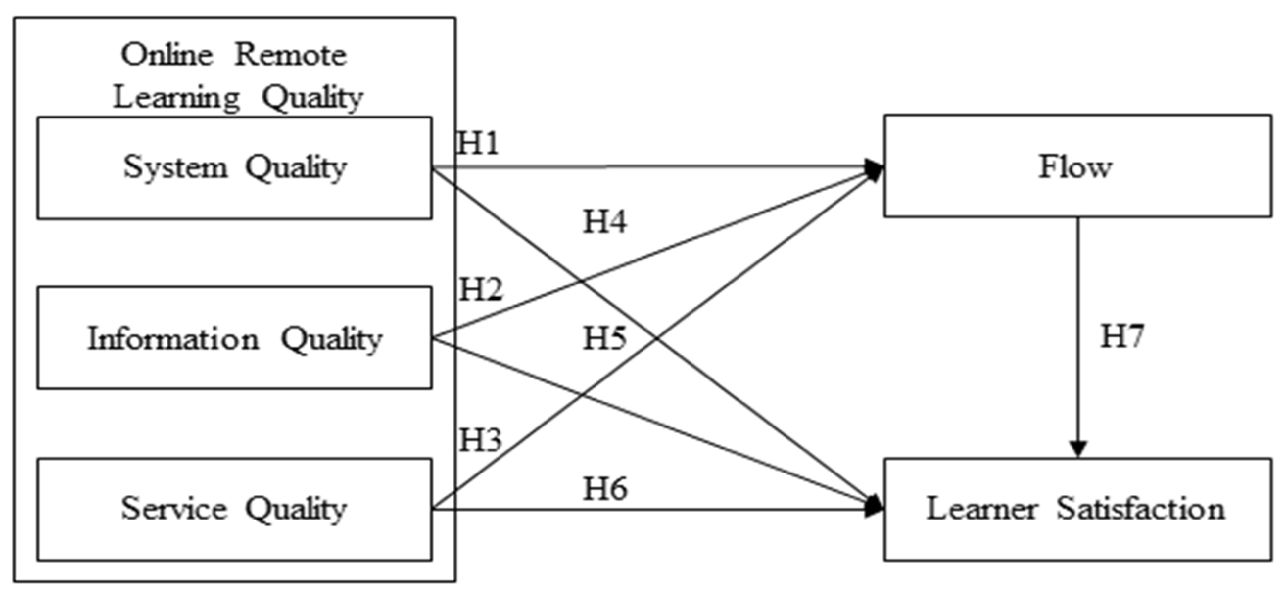
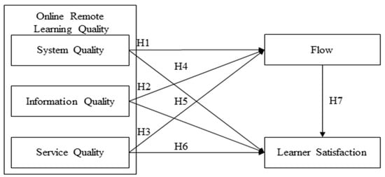
2. Theoretical Background and Hypothesis
2.1. Online Remote Learning Quality
2.2. Flow
2.3. Learner Satisfaction
3. Research Method
4. Results
4.1. Sample Characteristics
4.2. Reliability and Validity Analysis
4.3. Correlation Analysis
4.4. Hypothesis Testing
5. Discussion
5.1. Discussion
5.2. Implications
5.3. Limitation and Future Study
6. Conclusions
Author Contributions
Funding
Institutional Review Board Statement
Informed Consent Statement
Data Availability Statement
Conflicts of Interest
References
- Ministry of Education of Korea. Press Releases. Available online: http://english.moe.go.kr/main.do?s=english (accessed on 5 April 2020).
- BBC News Services. Coronavirus: How South Korea Is Teaching Empty Classrooms. Available online: https://www.bbc.com/news/world-asia-52230371 (accessed on 10 April 2020).
- Cuaton, G. Philippine higher education institutions in the time of COVID-19 pandemic. Rev. Rom. Educ. Multidimens. 2020, 12, 61–70. [Google Scholar]
- Zhang, W.; Wang, Y.; Yang, L.; Wang, C. Suspending classes without stopping learning: China’s education emergency management policy in the COVID-19 outbreak. J. Risk Financ. Manag. 2020, 13, 55. [Google Scholar] [CrossRef]
- Zayabalaradjane, Z. COVID-19: Strategies for online engagement of remote learners. F1000Research 2020, 9, 246. [Google Scholar]
- Muzaffar, A.W.; Tahir, M.; Anwar, M.W.; Chaudry, Q.; Mir, S.R.; Rasheed, Y. A systematic review of online exams solutions in e-learning: Techniques, tools, and global adoption. IEEE Access 2021, 9, 32689–32712. [Google Scholar] [CrossRef]
- Lonn, S.; Teasley, S.D. Saving time or innovating practice: Investigating perceptions and uses of Learning Management Systems. Comput. Educ. 2009, 53, 686–694. [Google Scholar] [CrossRef]
- Cavus, N.; Ala’a, M.M. Computer aided evaluation of learning management systems. Procedia-Soc. Behav. Sci. 2009, 1, 426–430. [Google Scholar] [CrossRef][Green Version]
- Rainer, R.K.; Turban, E.; Potter, R.E. Introduction to Information Systems: Supporting and Transforming Business; Wiley: Hoboken, NJ, USA, 2007. [Google Scholar]
- Sridhar, S. E-government—A proactive participant for e-learning in higher education. J. Am. Acad. Bus. 2005, 7, 258–268. [Google Scholar]
- Henderson, D.; Woodcock, H.; Mehta, J.; Khan, N.; Shivji, V.; Richardson, C.; Aya, H.; Ziser, S.; Pollara, G.; Burns, A. Keep calm and carry on learning: Using Microsoft teams to deliver a medical education programme during the COVID-19 pandemic. Future Healthc. J. 2020, 7, 67–70. [Google Scholar] [CrossRef]
- Daradoumis, T.; Bassi, R.; Xhafa, F.; Caballé, S. A review on massive e-learning (MOOC) design, delivery and assessment. In Proceedings of the 2013 8th International Conference on P2P, Parallel, Grid, Cloud and Internet Computing, Compiegne, France, 28–30 October 2013; pp. 208–213. [Google Scholar]
- Choi, R.I.; Cho, J.G. Establishing an effective quality management system for the 4th Industrial Revolution and e-Learning Contents. Asia-Pac. J. Multimed. Serv. Converg. Art Humanit. Sociol. 2019, 20, 9935–9944. [Google Scholar]
- Lee, J.Y.; Ae, B.J. The Conceptions and experiences of college students taking e-learning and face-to-face sections of the same course. J. Educ. Technol. 2012, 28, 53–78. [Google Scholar] [CrossRef]
- Lee, H.J.; Park, K.S. A strategy of learner-centered usability evaluation for quality management in e-learning contents development. J. Korean Assoc. Educ. Inf. Media 2009, 15, 63–88. [Google Scholar]
- Lee, J.M. Study on the effect of sociability, ease of use, usefulness, enjoyment on acceptance intention in e-learning—A perspective of the extended technology acceptance model. J. Korea Contents Assoc. 2012, 12, 417–425. [Google Scholar] [CrossRef]
- Stars and Stripes. Families of DODEA Students in Korea Reveal Pros, Cons of Online Study During Coronavirus Outbreak. Available online: https://www.stripes.com/theaters/asia_pacific/families-of-dodea-students-in-korea-reveal-pros-cons-of-online-study-during-coronavirus-outbreak-1.620920 (accessed on 2 March 2020).
- Han, J.; Lee, S. Investigating online learning types based on self-regulated learning in online software education: Applying hierarchical cluster analysis. J. Korean Assoc. Comput. Educ. 2019, 22, 51–65. [Google Scholar]
- Lee, S.H. Remote Lectures at Universities, Which Have Become Essential, Need to Be Improved to Settle Down. Available online: http://www.dhnews.co.kr/news/articleView.html?idxno=124650 (accessed on 26 June 2020).
- Ribble, M. Digital Citizenship in Schools: Nine Elements All Students Should Know, 3rd ed.; International Society for Technology in Education: Arlington, VA, USA, 2015. [Google Scholar]
- Lee, Y. A study on the Correlation of between Online Learning Patterns and Learning Effects in the Non-face-to-face Learning Environment. J. Korea Acad. Ind. Coop. Soc. 2020, 21, 557–562. [Google Scholar]
- Jang, S. The Case Study on SMART education of Converging with Education3.0 and ICT. Rev. Korea Contents Assoc. 2013, 11, 35–39. [Google Scholar]
- Ministry of Education of Korea. Announcement of the Implementation Plan for Academic Operation in the 2nd Semester of 2020. Available online: https://www.moe.go.kr/boardCnts/view.do?boardID=294&boardSeq=81419&lev=0&searchType=null&statusYN=W&page=1&s=moe&m=020402&opType=N (accessed on 10 October 2020).
- Lee, B.K. A study on learners’ response to online college English class as general education due to the COVID-19 pandemic. Korean J. Gen. Educ. 2020, 14, 97–112. [Google Scholar] [CrossRef]
- Hodges, C.; Moore, S.; Lockee, B.; Trust, T.; Bond, A. The Difference between Emergency Remote Teaching and Online Learning. Available online: https://er.educause.edu/articles/2020/3/the-difference-between-emergency-remote-teaching-and-online-learning (accessed on 27 May 2020).
- Kim, D.; Lee, M. Perception on Online Learning of Faculty Members in Higher Education. KALCI 2019, 19, 845–867. [Google Scholar] [CrossRef]
- Lee, Y.; Cho, K. Research on Learners’ Experiences in K-MOOC(Korea Massive Open Online Courses): Using Phenomenological Qualitative Analysis. KSET 2018, 34, 991–1017. [Google Scholar] [CrossRef]
- Dhawan, S. Online Learning: A Panacea in the Time of COVID-19 Crisis. J. Educ. Technol. Syst. 2020, 49, 5–22. [Google Scholar] [CrossRef]
- Bates, A.W. Teaching in a Digital Age; Guidelines for Designing Teaching and Learning. Available online: https://opentextbc.ca/teachinginadigitalage (accessed on 1 April 2015).
- Knight, J. Transnational education remodeled: Toward a common TNE framework and definitions. J. Stud. Int. Educ. 2015, 20, 34–47. [Google Scholar] [CrossRef]
- Mah, S.H.; Huh, J.K. An analysis of learners’ perception on online distance learning under the Covid-19 pandemic to enhance the quality of the learning-focusing on a survey on undergraduates in interpreting and translation courses. J. Transl. Stud. 2020, 21, 39–61. [Google Scholar]
- Delone, W.H.; Mclean, E.R. Information systems success: The quest for the dependent variable. Inf. Syst. Res. 1992, 3, 60–95. [Google Scholar] [CrossRef]
- Delone, W.H.; Mclean, E.R. The Delone & Mclean model of information systems success: A ten-year update. J. Manag. Inf. Syst. 2013, 19, 9–30. [Google Scholar]
- Martinez-Arguelles, M.; Batalla-Busquets, J. Perceived service quality and student loyalty in an online university. Int. Rev. Res. Open Distrib. Learn. 2016, 17, 264–279. [Google Scholar] [CrossRef]
- Lin, F.H. Measuring online learning systems success: Applying the updated DeLone and McLean model. Cyberpsychol. Behav. 2007, 10, 817–820. [Google Scholar] [CrossRef] [PubMed]
- Samarasinghe, S.M.; Tretiakov, A. A multidimensional measure of e-learning systems success. In Proceedings of the Ascilite, Same Places, Different Spaces, Auckland, New Zealand, 6–9 December 2009; pp. 908–910. [Google Scholar]
- Riandi, M.H.; Respati, H.; Hidayatullah, S. Conceptual model of user satisfaction as mediator of e-learning services and system quality on students’ individual performance. Int. J. Res. Eng. Sci. Manag. 2021, 4, 60–65. [Google Scholar]
- Lee, M.S.; Choi, J.H.; Seok, J.H. A study about e-learning quality, learner satisfaction, and eWOM based on information systems success model (ISSM): Comparison between working and non-working learners. Korean Bus. Educ. Rev. 2018, 33, 1–21. [Google Scholar] [CrossRef]
- Wang, Y.S.; Wang, H.Y.; Shee, D.Y. Measuring e-learning systems success in an organizational context: Scale development and validation. Comput. Hum. Behav. 2007, 23, 1792–1808. [Google Scholar] [CrossRef]
- Halawi, L.A.; McCarthy, R.V.; Aronson, J.E. An empirical investigation of knowledge management systems’ success. J. Comput. Inf. Syst. 2008, 48, 121–135. [Google Scholar]
- Situmorang, B.; Triyadi, T.; Prasetyo, J.H. The reaction over customer satisfaction through service quality variable at Tennis School in Cilandak Town Square. Int. J. Innov. Sci. Res.Technol. 2020, 5, 1312–1316. [Google Scholar]
- Rita, P.; Oliveira, T.; Farisa, A. The impact of e-service quality and customer satisfaction on customer behavior in online shopping. Heliyon 2019, 5, e02690. [Google Scholar] [CrossRef] [PubMed]
- Kusumawati, A.; Fedianty Augustinah, F.; Alhabsyi, T.; Suharyono, S. The e-servqual effect on the stickiness intention of marketplace during COVID-19 pandemic: An empirical study in Indonesia. Korea Distrib. Sci. Assoc. 2021, 8, 573–581. [Google Scholar]
- Csikszentmihalyi, M. Beyond Boredom and Anxiety, 2nd ed.; Jossey Bass: San Francisco, CA, USA, 2000. [Google Scholar]
- Nakamura, J.; Csikszentmihalyi, M. The concept of flow. In Flow and the Foundations of Positive Psychology; Springer: Chicago, IL, USA, 2014. [Google Scholar]
- Hoffman, D.L.; Novak, T.P. Marketing in hypermedia computer-mediated environment: Conceptual foundations. J. Mark. 1996, 60, 50–68. [Google Scholar] [CrossRef]
- Joo, Y.J.; Kim, N.Y.; Kim, G.Y. The structural relationship among self-efficacy, internal locus of control, school support, learning flow, satisfaction and learning persistence in cyber education. J. Educ. Technol. 2010, 26, 25–55. [Google Scholar] [CrossRef]
- Lee, J.H. Analysis of the structural relationships among self-determination motivation to learn, metacognition, self-directed learning ability, learning flow, and school achievement. Korean J. Educ. Res. 2010, 48, 67–92. [Google Scholar]
- Joo, Y.J.; Chung, A.K.; Lim, E.G. The prediction of academic self-efficacy, learning flow, academic stress, and emotional exhaustion on course satisfaction of cyber university students. J. Korean Assoc. Comput. Educ. 2012, 15, 61–69. [Google Scholar]
- Kim, E.J. Examining structural relationships among college students’ internal and external factors for learning engagement and satisfaction. Asian J. Educ. 2015, 16, 107–129. [Google Scholar] [CrossRef]
- Shin, N. Online learner’s ‘flow’ experience: An empirical study. Br. J. Educ. Technol. 2006, 37, 705–720. [Google Scholar] [CrossRef]
- Richardson, J.C.; Swan, K. Examining social presence in online courses in relation to students’ perceived learning and satisfaction. JALN 2003, 7, 68–88. [Google Scholar] [CrossRef]
- Lawrence, J.J.; McCollough, M.A. Implementing total quality management in the classroom by means of student satisfaction guarantees. Total Qual. Manag. 2004, 15, 235–254. [Google Scholar] [CrossRef]
- Nadiri, H.; Kandampully, J.; Hussain, K. Students’ perceptions of service quality in higher education. Total Qual. Manag. 2009, 20, 523–535. [Google Scholar] [CrossRef]
- Ha, Y.J.; I’m, Y. Prediction of learning persistence, satisfaction, and academic achievement according to e-learning adult learners’ intrinsic value and academic self-efficacy. JCDL 2010, 5, 49–67. [Google Scholar]
- Bagozzi, R.P.; Yi, Y. Specification, evaluation, and interpretation of structural equation models. J. Acad. Mark. Sci. 2012, 40, 8–34. [Google Scholar] [CrossRef]
- Anderson, J.C.; Gerbing, D.W. The effect of sampling error on convergence, improper solutions, and goodness-of-fit indices for maximum likelihood confirmatory factor analysis. Psychometrika 1984, 49, 155–173. [Google Scholar] [CrossRef]
- Fornell, C.; Larcker, D.F. Evaluating structural equation models with unobservable variables and measurement error. J. Mark. Res. 1981, 18, 39–50. [Google Scholar] [CrossRef]
- Ogawa, K. Social Media Marketing; Softbank Creative Corp.: Tokyo, Japan, 2010. [Google Scholar]
- Shaw, W.T. Cyber Security for SCADA Systems, 2nd ed.; PennWell Books: Tulsa, OK, USA, 2006. [Google Scholar]
- Kline, R.B. Principles and Practice of Structural Equation Modeling, 2nd ed.; Guildford: New York, NY, USA, 2004. [Google Scholar]
- Hair, J.F.; Anderson, R.E.; Tatham, R.L.; Black, W.C. Multivariate Data Analysis, 5th ed.; Prentice Hall: Upper Saddle River, NJ, USA, 1998. [Google Scholar]
- Isaias, P.; Issa, T. E-learning and sustainability in higher education: An international case study. Int. J. Learn. High. Educ. 2013, 19, 77–90. [Google Scholar] [CrossRef]

| Construct | Items | Standardized Loadings | S.E. | t-Value | Composite Reliability | Cronbach’s α | AVE |
|---|---|---|---|---|---|---|---|
| System Quality | SY1. The remote lecture system has clear and reliable quality characteristics. | 0.763 | - | - | 0.876 | 0.856 | 0.702 |
| SY2. The remote lecture system always responds quickly. | 0.816 | 0.099 | 10.95 | ||||
| SY3. The remote lecture system delivers information in a clear and concise manner to both men and women of all ages. | 0.883 | 0.104 | 11.302 | ||||
| Information Quality | I1. Remote lecture providers provide information related to my learning. | 0.843 | - | - | 0.872 | 0.857 | 0.697 |
| I2. Remote learning providers provide very easy-to-understand educational content. | 0.904 | 0.077 | 13.754 | ||||
| I3. The remote lecture provider provides the latest information for my purpose. | 0.733 | 0.084 | 11.127 | ||||
| Service Quality | SE1. The instructor has enough knowledge to meet the needs of the learner. | 0.794 | - | - | 0.844 | 0.836 | 0.645 |
| SE2. Instructors and operators respond kindly to the needs of learners. | 0.738 | 0.098 | 9.729 | ||||
| SE3. Instructors and operators give individual attention to learners. | 0.844 | 0.096 | 10.477 | ||||
| Flow | F1. Time passed very quickly during the remote lecture. | 0.704 | - | - | 0.878 | 0.85 | 0.707 |
| F2. While taking remote lectures, I am not affected by the surrounding conditions. | 0.906 | 0.124 | 11.24 | ||||
| F3. Remote lectures are more focused than offline learning. | 0.829 | 0.115 | 11.033 | ||||
| Learner Satisfaction | LS1. I am satisfied with the overall remote lectures. | 0.835 | - | - | 0.906 | 0.885 | 0.764 |
| LS2. I am satisfied with the recently learned remote lecture. | 0.919 | 0.07 | 15.085 | ||||
| LS3. I think taking remote lectures was a good thing. | 0.797 | 0.072 | 13.173 |
| Construct | (1) | (2) | (3) | (4) | (5) |
|---|---|---|---|---|---|
| (1) System Quality | 0.838 | ||||
| (2) Information Quality | 0.301 ** | 0.835 | |||
| (3) Service Quality | 0.240 ** | 0.203 ** | 0.803 | ||
| (4) Flow | 0.380 ** | 0.338 ** | 0.260 ** | 0.841 | |
| (5) Learner Satisfaction | 0.423 ** | 0.489 ** | 0.359 ** | 0.527 ** | 0.874 |
| Hypothesized Path | Std. Estimate | S.E. | t-Value | p-Value | Results | |
|---|---|---|---|---|---|---|
| H1 | System Quality → Flow | 0.237 | 0.078 | 3.024 | 0.002 | Accepted |
| H2 | Information Quality → Flow | 0.248 | 0.087 | 2.860 | 0.004 | Accepted |
| H3 | Service Quality → Flow | 0.178 | 0.082 | 2.167 | 0.030 | Accepted |
| H4 | System Quality → Learner Satisfaction | 0.161 | 0.061 | 2.664 | 0.008 | Accepted |
| H5 | Information Quality → Learner Satisfaction | 0.300 | 0.071 | 4.213 | 0.000 | Accepted |
| H6 | Service Quality → Learner Satisfaction | 0.198 | 0.065 | 3.026 | 0.002 | Accepted |
| H7 | Flow → Learner Satisfaction | 0.284 | 0.068 | 4.155 | 0.000 | Accepted |
Publisher’s Note: MDPI stays neutral with regard to jurisdictional claims in published maps and institutional affiliations. |
© 2021 by the authors. Licensee MDPI, Basel, Switzerland. This article is an open access article distributed under the terms and conditions of the Creative Commons Attribution (CC BY) license (https://creativecommons.org/licenses/by/4.0/).
Share and Cite
Jung, J.-H.; Shin, J.-I. Assessment of University Students on Online Remote Learning during COVID-19 Pandemic in Korea: An Empirical Study. Sustainability 2021, 13, 10821. https://doi.org/10.3390/su131910821
Jung J-H, Shin J-I. Assessment of University Students on Online Remote Learning during COVID-19 Pandemic in Korea: An Empirical Study. Sustainability. 2021; 13(19):10821. https://doi.org/10.3390/su131910821
Chicago/Turabian StyleJung, Ji-Hee, and Jae-Ik Shin. 2021. "Assessment of University Students on Online Remote Learning during COVID-19 Pandemic in Korea: An Empirical Study" Sustainability 13, no. 19: 10821. https://doi.org/10.3390/su131910821
APA StyleJung, J.-H., & Shin, J.-I. (2021). Assessment of University Students on Online Remote Learning during COVID-19 Pandemic in Korea: An Empirical Study. Sustainability, 13(19), 10821. https://doi.org/10.3390/su131910821
