Industry 4.0 and Smart Data as Enablers of the Circular Economy in Manufacturing: Product Re-Engineering with Circular Eco-Design
Abstract
1. Introduction
- RQ: Is it possible to validate through a feasibility study the hypothesis that Industry 4.0 digital technologies can work as an enabling operating environment for the Circular Economy?
2. Materials and Methods
2.1. Industrial Background and Methodological Design
2.2. Environmental Assessment and Eco-Design
2.3. Sample Preparation
2.4. Sample Characterization
3. Results and Discussion
3.1. Circular Eco-Design
- Ukrainian clay: train + ship + truck;
- Turkish feldspar: truck + ship + truck;
- German clay: truck + train + truck;
- Domestic raw materials: truck only.
3.2. Ceramic Bodies Testing
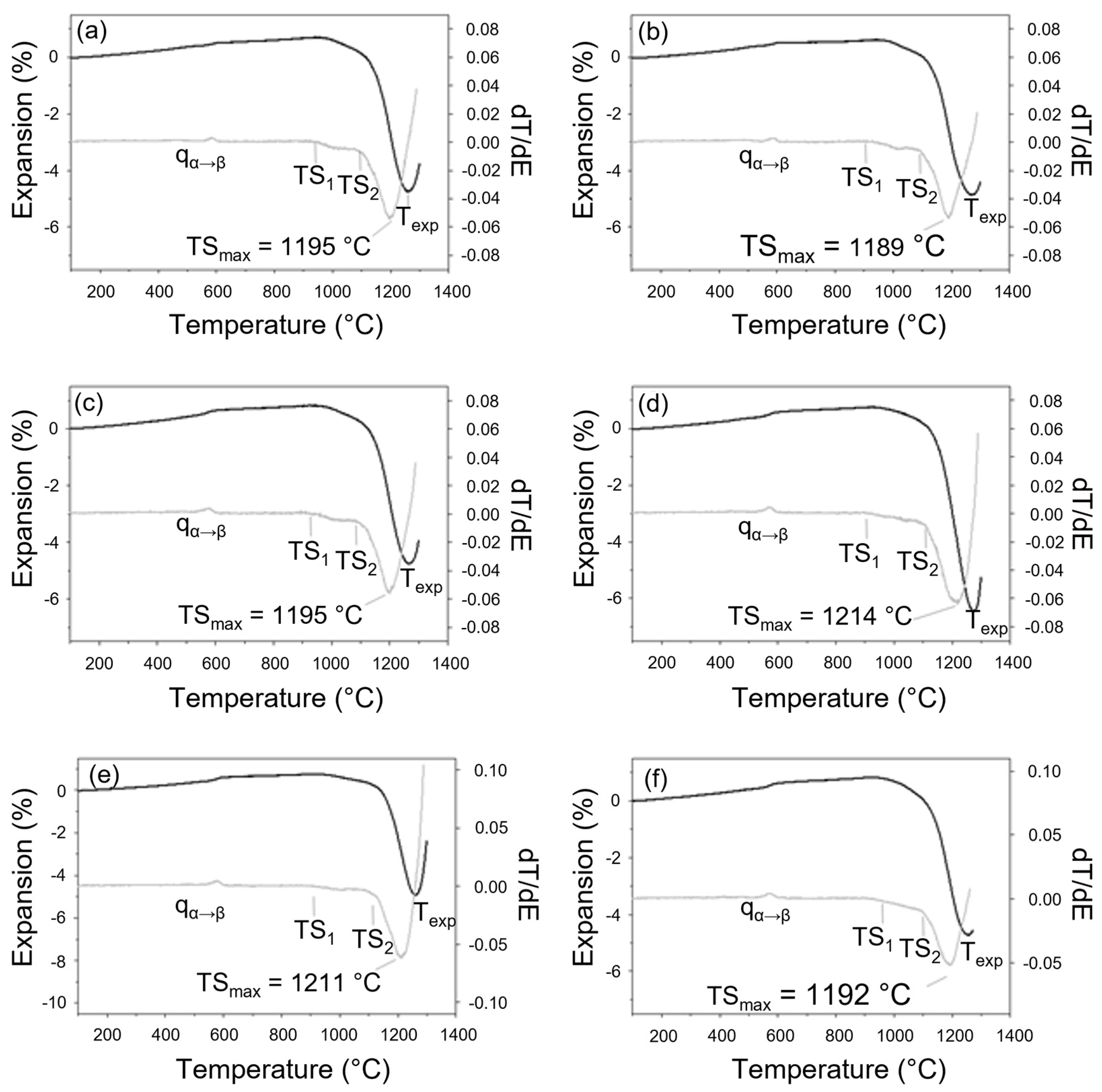
3.3. In Situ Thermal Analyses
3.4. Microstructural Properties of the Fired Ceramic Bodies
3.5. Technological Properties of Fired Ceramic Bodies
4. Conclusions
4.1. Implications for Scholars
4.2. Implications for Industry Practitioners
- Digital technologies have enabled the smart exploitation of Big Data;
- Smart Data has enabled circular eco-design that has led to product innovation;
- Product innovation has favored the re-engineering of the raw material sourcing system;
- The company moved a further step toward transitioning to the circular economy.
4.3. Limitation and Future Research
- Empirical validation of the theoretical hypotheses was carried out on a single case study. Although this methodological approach is widely used in the literature, and the company involved is one of the most representative in the ceramic sector, it would be appropriate to test the circular eco-design model with other companies, even in different sectors.
- The Italian ceramic sector is certainly exemplary of a resource-intensive industry with a high level of process digitalization and environmental best practices. Therefore, the approach followed in this research should be tested in other manufacturing sectors that are less evolved from an Industry 4.0 and environmental viewpoint.
- The circular eco-design model adopted in this study considered only the environmental dimension of sustainability without including the economic and social dimensions. Therefore, the question of the multidimensionality of the circular economy to go beyond only environmental aspects remains open.
- The results show a strong link between environmental and technological performance. This relationship, along with that between technological performance and social and economic ones, are to be further investigated.
- The interdependence between Na2O/K2O and SiO2/Al2O3 ratios and the degree of sintering of a ceramic body that arose from the results of this study require further investigation, as well as the effect of the chemical nature and quantity of the glass phase formed during firing on the degree of sintering of the ceramic body.
Author Contributions
Funding
Institutional Review Board Statement
Informed Consent Statement
Data Availability Statement
Conflicts of Interest
References
- Khanzode, A.G.; Sarma, P.R.S.; Mangla, S.K.; Yuan, H. Modeling the Industry 4.0 adoption for sustainable production in Micro, Small & Medium Enterprises. J. Clean. Prod. 2021, 279, 123489. [Google Scholar] [CrossRef]
- Thomson, L.; Kamalaldin, A.; Sjödin, D.; Parida, V. A maturity framework for autonomous solutions in manufacturing firms: The interplay of technology, ecosystem, and business model. Int. Entrep. Manag. J. 2021, 1–28. [Google Scholar] [CrossRef]
- Zambetti, M.; Adrodegari, F.; Pezzotta, G.; Pinto, R.; Rapaccini, M.; Barbieri, C. From data to value: Conceptualising data-driven product service system. Prod. Plan. Control 2021, 1–17. [Google Scholar] [CrossRef]
- Horick, C. Industry 4.0 production networks: Cyber-physical system-based smart factories, real-time big data analytics, and sustainable product lifecycle management. J. Self-Gov. Manag. Econ. 2020, 8, 107–113. [Google Scholar] [CrossRef][Green Version]
- Ghouri, A.M.; Mani, V.; Jiao, Z.; Venkatesh, V.G.; Shi, Y.; Kamble, S.S. An empirical study of real-time information-receiving using industry 4.0 technologies in downstream operations. Technol. Forecast. Soc. Chang. 2021, 165, 120551. [Google Scholar] [CrossRef]
- Romero, C.A.T.; Castro, D.F.; Ortiz, J.H.; Khalaf, O.I.; Vargas, M.A. Synergy between circular economy and industry 4.0: A literature review. Sustainability 2021, 13, 4331. [Google Scholar] [CrossRef]
- Sharma, N.K.; Govindan, K.; Lai, K.K.; Chen, W.K.; Kumar, V. The transition from linear economy to circular economy for sustainability among SMEs: A study on prospects, impediments, and prerequisites. Bus. Strateg. Environ. 2021, 30, 1803–1822. [Google Scholar] [CrossRef]
- D’Adamo, I.; Ferella, F.; Gastaldi, M.; Maggiore, F.; Rosa, P.; Terzi, S. Towards sustainable recycling processes: Wasted printed circuit boards as a source of economic opportunities. Resour. Conserv. Recycl. 2019, 149, 455–467. [Google Scholar] [CrossRef]
- Santana, A.; Afonso, P.; Zanin, A.; Wernke, R. Costing models for capacity optimization in Industry 4.0: Trade-off between used capacity and operational efficiency. Procedia Manuf. 2017, 13, 1183–1190. [Google Scholar] [CrossRef]
- D’Adamo, I.; Rosa, P. How do you see infrastructure? Green energy to provide economic growth after COVID-19. Sustainability 2020, 12, 4738. [Google Scholar] [CrossRef]
- Ferrari, A.M.; Volpi, L.; Pini, M.; Siligardi, C.; García-Muiña, F.E.; Settembre-Blundo, D. Building a sustainability benchmarking framework of ceramic tiles based on life cycle sustainability assessment (LCSA). Resources 2019, 8, 11. [Google Scholar] [CrossRef]
- Marzouk, M.; Azab, S. Environmental and economic impact assessment of construction and demolition waste disposal using system dynamics. Resour. Conserv. Recycl. 2014, 82, 41–49. [Google Scholar] [CrossRef]
- Khorassani, S.M.; Ferrari, A.M.; Pini, M.; Blundo, D.S.; Muiña, F.E.G.; García, J.F. Environmental and social impact assessment of cultural heritage restoration and its application to the Uncastillo Fortress. Int. J. Life Cycle Assess. 2019, 24, 1297–1318. [Google Scholar] [CrossRef]
- Vacchi, M.; Siligardi, C.; Demaria, F.; Cedillo-González, E.I.; González-Sánchez, R.; Settembre-Blundo, D. Technological Sustainability or Sustainable Technology? A Multidimensional Vision of Sustainability in Manufacturing. Sustainability 2021, 13, 9942. [Google Scholar] [CrossRef]
- Mahbub, N.; Oyedun, A.O.; Zhang, H.; Kumar, A.; Poganietz, W.R. A life cycle sustainability assessment (LCSA) of oxymethylene ether as a diesel additive produced from forest biomass. Int. J. Life Cycle Assess. 2019, 24, 881–899. [Google Scholar] [CrossRef]
- Azarmipour, M.; Elfaham, H.; Gries, C.; Kleinert, T.; Epple, U. A Service-based Architecture for the Interaction of Control and MES Systems in Industry 4.0 Environment. In Proceedings of the 2020 IEEE 18th International Conference on Industrial Informatics (INDIN), Warwick, UK, 20–23 July 2020; pp. 217–222. [Google Scholar]
- Bressanelli, G.; Perona, M.; Saccani, N. Challenges in supply chain redesign for the Circular Economy: A literature review and a multiple case study. Int. J. Prod. Res. 2019, 57, 7395–7422. [Google Scholar] [CrossRef]
- Resman, M.; Turk, M.; Herakovic, N. Methodology for planning smart factory. Procedia CIRP 2020, 97, 401–406. [Google Scholar] [CrossRef]
- Agrawal, R.; Wankhede, V.A.; Kumar, A.; Upadhyay, A.; Garza-Reyes, J.A. Nexus of circular economy and sustainable business performance in the era of digitalization. Int. J. Product. Perform. Manag. 2021. ahead-of-print. [Google Scholar] [CrossRef]
- Spaltini, M.; Poletti, A.; Acerbi, F.; Taisch, M. A quantitative framework for Industry 4.0 enabled Circular Economy. Procedia CIRP 2021, 98, 115–120. [Google Scholar] [CrossRef]
- Pieroni, M.P.P.; McAloone, T.C.; Pigosso, D.C.A. Developing a process model for circular economy business model innovation within manufacturing companies. J. Clean. Prod. 2021, 299, 126785. [Google Scholar] [CrossRef]
- D’Adamo, I.; Gastaldi, M.; Rosa, P. Recycling of end-of-life vehicles: Assessing trends and performances in Europe. Technol. Forecast. Soc. Chang. 2020, 152, 119887. [Google Scholar] [CrossRef]
- Bressanelli, G.; Saccani, N.; Perona, M.; Baccanelli, I. Towards circular economy in the household appliance industry: An overview of cases. Resources 2020, 9, 128. [Google Scholar] [CrossRef]
- Han, J.; Heshmati, A.; Rashidghalam, M. Circular economy business models with a focus on servitization. Sustainability 2020, 12, 8799. [Google Scholar] [CrossRef]
- Hapuwatte, B.M.; Jawahir, I.S. Closed-loop sustainable product design for circular economy. J. Ind. Ecol. 2021. [Google Scholar] [CrossRef]
- Waibel, M.W.; Steenkamp, L.P.; Moloko, N.; Oosthuizen, G.A. Investigating the Effects of Smart Production Systems on Sustainability Elements. Procedia Manuf. 2017, 8, 731–737. [Google Scholar] [CrossRef]
- García-Quevedo, J.; Jové-Llopis, E.; Martínez-Ros, E. Barriers to the circular economy in European small and medium-sized firms. Bus. Strateg. Environ. 2020, 29, 2450–2464. [Google Scholar] [CrossRef]
- Jørgensen, M.S.; Remmen, A. A Methodological Approach to Development of Circular Economy Options in Businesses. Procedia CIRP 2018, 69, 816–821. [Google Scholar] [CrossRef]
- Pazoki, M.; Samarghandi, H. Take-back regulation: Remanufacturing or Eco-design? Int. J. Prod. Econ. 2020, 227, 107674. [Google Scholar] [CrossRef]
- Rajput, S.; Singh, S.P. Industry 4.0—Challenges to implement circular economy. Benchmarking 2019, 28, 1717–1739. [Google Scholar] [CrossRef]
- Maccioni, L.; Borgianni, Y.; Pigosso, D.C.A. Can the choice of eco-design principles affect products’ success? Des. Sci. 2019, 5, e25. [Google Scholar] [CrossRef]
- Barbosa, A.J.D.; de Paiva Santos, V.H.; de Araújo, P.C.; de Medeiros, F.L.; da Silva Otaviano, L.Y. Eco product development combining eco design and life cycle assessment. Benchmarking 2021, 28, 502–516. [Google Scholar] [CrossRef]
- da Luz, L.M.; de Francisco, A.C.; Piekarski, C.M.; Salvador, R. Integrating life cycle assessment in the product development process: A methodological approach. J. Clean. Prod. 2018, 193, 28–42. [Google Scholar] [CrossRef]
- Dev, N.K.; Shankar, R.; Swami, S. Diffusion of green products in industry 4.0: Reverse logistics issues during design of inventory and production planning system. Int. J. Prod. Econ. 2020, 223, 107519. [Google Scholar] [CrossRef]
- Patrucco, A.; Ciccullo, F.; Pero, M. Industry 4.0 and supply chain process re-engineering: A coproduction study of materials management in construction. Bus. Process Manag. J. 2020, 26, 1093–1119. [Google Scholar] [CrossRef]
- Tripathi, S.; Gupta, M. A framework for procurement process re-engineering in Industry 4.0. Bus. Process Manag. J. 2021, 27, 439–458. [Google Scholar] [CrossRef]
- Brad, E.; Brad, S. Algorithm for designing reconfigurable equipment to enable industry 4.0 and circular economy-driven manufacturing systems. Appl. Sci. 2021, 11, 4446. [Google Scholar] [CrossRef]
- Zheng, T.; Ardolino, M.; Bacchetti, A.; Perona, M. The applications of Industry 4.0 technologies in manufacturing context: A systematic literature review. Int. J. Prod. Res. 2021, 59, 1922–1954. [Google Scholar] [CrossRef]
- Lacam, J.-S.; Salvetat, D. Big data and Smart data: Two interdependent and synergistic digital policies within a virtuous data exploitation loop. J. High Technol. Manag. Res. 2021, 32, 100406. [Google Scholar] [CrossRef]
- Kumar, P.; Singh, R.K.; Kumar, V. Managing supply chains for sustainable operations in the era of industry 4.0 and circular economy: Analysis of barriers. Resour. Conserv. Recycl. 2021, 164, 105215. [Google Scholar] [CrossRef]
- Beltrami, M.; Orzes, G.; Sarkis, J.; Sartor, M. Industry 4.0 and sustainability: Towards conceptualization and theory. J. Clean. Prod. 2021, 312, 127733. [Google Scholar] [CrossRef]
- Badhotiya, G.K.; Avikal, S.; Soni, G.; Sengar, N. Analyzing barriers for the adoption of circular economy in the manufacturing sector. Int. J. Product. Perform. Manag. 2021. ahead-of-print. [Google Scholar] [CrossRef]
- Blundo, D.S.; García-Muiña, F.E.; Pini, M.; Volpi, L.; Siligardi, C.; Ferrari, A.M. Sustainability as source of competitive advantages in mature sectors: The case of Ceramic District of Sassuolo (Italy). Smart Sustain. Built Environ. 2019, 8, 53–79. [Google Scholar] [CrossRef]
- Dondi, M.; García-Ten, J.; Rambaldi, E.; Zanelli, C.; Vicent-Cabedo, M. Resource efficiency versus market trends in the ceramic tile industry: Effect on the supply chain in Italy and Spain. Resour. Conserv. Recycl. 2021, 168, 105271. [Google Scholar] [CrossRef]
- Garcia-Muiña, F.E.; González-Sánchez, R.; Ferrari, A.M.; Volpi, L.; Pini, M.; Siligardi, C.; Settembre-Blundo, D. Identifying the equilibrium point between sustainability goals and circular economy practices in an Industry 4.0 manufacturing context using eco-design. Soc. Sci. 2019, 8, 241. [Google Scholar] [CrossRef]
- García-Muiña, F.E.; Medina-Salgado, M.S.; Ferrari, A.M.; Cucchi, M. Sustainability Transition in Industry 4.0 and Smart Manufacturing with the Triple-Layered Business Model Canvas. Sustainability 2020, 12, 2364. [Google Scholar] [CrossRef]
- Boschi, G.; Masi, G.; Bonvicini, G.; Bignozzi, M.C. Sustainability in Italian ceramic tile production: Evaluation of the environmental impact. Appl. Sci. 2020, 10, 9063. [Google Scholar] [CrossRef]
- Confindustria Ceramica. Environmental Product Declaration: Italian Ceramic Tiles; EPD-COI-20160202-ICG1-EN; Institut Bauen und Umwelt e.V. (IBU): Berlin, Germany, 2016. [Google Scholar]
- Confindustria Ceramica. National Statistical Survey on Italian Ceramic Tile Industry; Confindustria Ceramica: Sassuolo, Italy, 2020; Volume 41. [Google Scholar]
- Esteller-Cucala, M.; Fernandez, V.; Villuendas, D. Towards data-driven culture in a Spanish automobile manufacturer: A case study. J. Ind. Eng. Manag. 2020, 13, 228–245. [Google Scholar] [CrossRef]
- Mishra, O. Principles of frugal innovation and its application by social entrepreneurs in times of adversity: An inductive single-case approach. J. Entrep. Emerg. Econ. 2021. ahead-of-print. [Google Scholar] [CrossRef]
- Margherita, E.G.; Braccini, A.M. Examining the development of a digital ecosystem in an Industry 4.0 context: A sociotechnical perspective. SN Bus. Econ. 2021, 1, 89. [Google Scholar] [CrossRef]
- Candelo, E.; Troise, C.; Matricano, D.; Lepore, A.; Sorrentino, M. The evolution of the pathways of innovation strategies in the automotive industry. The case of Fiat Chrysler Automobiles. Eur. J. Innov. Manag. 2021. ahead-of-print. [Google Scholar] [CrossRef]
- Murmura, F.; Bravi, L.; Santos, G. Sustainable Process and Product Innovation in the Eyewear Sector: The Role of Industry 4.0 Enabling Technologies. Sustainability 2021, 13, 365. [Google Scholar] [CrossRef]
- Strandhagen, J.W.; Buer, S.-V.; Semini, M.; Alfnes, E.; Strandhagen, J.O. Sustainability challenges and how Industry 4.0 technologies can address them: A case study of a shipbuilding supply chain. Prod. Plan. Control 2020, 1–16. [Google Scholar] [CrossRef]
- Machado, C.G.; Winroth, M.; Carlsson, D.; Almström, P.; Centerholt, V.; Hallin, M. Industry 4.0 readiness in manufacturing companies: Challenges and enablers towards increased digitalization. Procedia CIRP 2019, 81, 1113–1118. [Google Scholar] [CrossRef]
- Braccini, A.M.; Margherita, E.G. Exploring organizational sustainability of Industry 4.0 under the triple bottom line: The case of a manufacturing company. Sustainability 2018, 11, 36. [Google Scholar] [CrossRef]
- Brasileiro, C.T.; Conte, S.; Contartesi, F.; Melchiades, F.G.; Zanelli, C.; Dondi, M.; Boschi, A.O. Effect of strong mineral fluxes on sintering of porcelain stoneware tiles. J. Eur. Ceram. Soc. 2021, 41, 5755–5767. [Google Scholar] [CrossRef]
- Medina-Salgado, M.S.; García-Muiña, F.E.; Cucchi, M.; Settembre-Blundo, D. Adaptive life cycle costing (Lcc) modeling and applying to italy ceramic tile manufacturing sector: Its implication of open innovation. J. Open Innov. Technol. Mark. Complex. 2021, 7, 101. [Google Scholar] [CrossRef]
- Settembre-Blundo, D.; González-Sánchez, R.; Medina-Salgado, S.; García-Muiña, F.E. Flexibility and Resilience in Corporate Decision Making: A New Sustainability-Based Risk Management System in Uncertain Times. Glob. J. Flex. Syst. Manag. 2021, 1–26. [Google Scholar] [CrossRef]
- European Council Directive 2009/125/EC of the European Parliament and of the Council of 21 October 2009 establishing a framework for the setting of ecodesign requirements for energy-related products (recast). Off. J. Eur. Union 2009, 52, 10–35.
- Navajas, A.; Uriarte, L.; Gandía, L.M. Application of eco-design and life cycle assessment standards for environmental impact reduction of an industrial product. Sustainability 2017, 9, 1724. [Google Scholar] [CrossRef]
- Toniolo, S.; Tosato, R.C.; Gambaro, F.; Ren, J. Life cycle thinking tools: Life cycle assessment, life cycle costing and social life cycle assessment. In Life Cycle Sustainability Assessment for Decision-Making: Methodologies and Case Studies; Elsevier: Amsterdam, The Netherlands, 2019; pp. 39–56. [Google Scholar]
- Dondi, M.; Guarini, G.; Raimondo, M.; Falucci, S. Influence of mineralogy and particle size on the technological properties of ball clays for porcelain stoneware tiles. Tile Brick Int. 2003, 20, 2–11. [Google Scholar]
- Dondi, M.; Raimondo, M.; Zanelli, C. Clays and bodies for ceramic tiles: Reappraisal and technological classification. Appl. Clay Sci. 2014, 96, 91–109. [Google Scholar] [CrossRef]
- Ohbuchi, A.; Koike, Y.; Nakamura, T. Quantitative phase analysis of fly ash of municipal solid waste by X-ray powder diffractometry/Rietveld refinement. J. Mater. Cycles Waste Manag. 2019, 21, 829–837. [Google Scholar] [CrossRef]
- Larson, A.C.; Von Dreele, R.B. Generalized Structure Analysis System (GSAS) LAUR 86-748; Los Alamos National Laboratory: Los Alamos, NM, USA, 1994. [Google Scholar]
- Toby, B.H. EXPGUI, a graphical user interface for GSAS. J. Appl. Crystallogr. 2001, 34, 210–213. [Google Scholar] [CrossRef]
- Conte, S.; Zanelli, C.; Ardit, M.; Cruciani, G.; Dondi, M. Phase evolution during reactive sintering by viscous flow: Disclosing the inner workings in porcelain stoneware firing. J. Eur. Ceram. Soc. 2020, 40, 1738–1752. [Google Scholar] [CrossRef]
- Correia, S.L.; Dienstmann, G.; Folgueras, M.V.; Segadaes, A.M. Effect of quartz sand replacement by agate rejects in triaxial porcelain. J. Hazard. Mater. 2009, 163, 315–322. [Google Scholar] [CrossRef]
- Wernet, G.; Bauer, C.; Steubing, B.; Reinhard, J.; Moreno-Ruiz, E.; Weidema, B. The ecoinvent database version 3 (part I): Overview and methodology. Int. J. Life Cycle Assess. 2016, 21, 1218–1230. [Google Scholar] [CrossRef]
- Ferrari, A.M.; Volpi, L.; Settembre-Blundo, D.; García-Muiña, F.E. Dynamic life cycle assessment (LCA) integrating life cycle inventory (LCI) and Enterprise resource planning (ERP) in an industry 4.0 environment. J. Clean. Prod. 2021, 286, 125314. [Google Scholar] [CrossRef]
- Pauer, E.; Wohner, B.; Tacker, M. The influence of database selection on environmental impact results. Life cycle assessment of packaging using gabi, ecoinvent 3.6, and the environmental footprint database. Sustainability 2020, 12, 9948. [Google Scholar] [CrossRef]
- PRé Sustainability SimaPro|The World’s Leading LCA Software. 2020. Available online: https://simapro.com/ (accessed on 14 September 2021).
- Abyar, H.; Younesi, H.; Nowrouzi, M. Life cycle assessment of A2O bioreactor for meat processing wastewater treatment: An endeavor toward the achievement of environmental sustainable development. J. Clean. Prod. 2020, 257, 120575. [Google Scholar] [CrossRef]
- Pini, M.; Breglia, G.; Venturelli, M.; Montorsi, L.; Milani, M.; Neri, P.; Ferrari, A.M. Life cycle assessment of an innovative cogeneration system based on the aluminum combustion with water. Renew. Energy 2020, 154, 532–541. [Google Scholar] [CrossRef]
- EN 15804:2012+A2:2019. Available online: http://store.uni.com/catalogo/en-15804-2012-a2-2019 (accessed on 12 August 2021).
- Zanelli, C.; Raimondo, M.; Guarini, G.; Dondi, M. The vitreous phase of porcelain stoneware: Composition, evolution during sintering and physical properties. J. Non-Cryst. Solids 2011, 357, 3251–3260. [Google Scholar] [CrossRef]
- Mugoni, C.; Rosa, R.; Remigio, V.A.; Ferrari, A.M.; Siligardi, C. Opportune inward waste materials toward a zero waste ceramic slabs production in a circular economy perspective. Int. J. Appl. Ceram. Technol. 2020, 17, 32–41. [Google Scholar] [CrossRef]
- Al-Shantir, O.; Csáki, Š.; Veverka, J.; Trník, A. The influence of compression pressure on thermal expansion, bulk density, and Young’s modulus of electroporcelain mixture up to 1100 °C. J. Therm. Anal. Calorim. 2019, 138, 2035–2042. [Google Scholar] [CrossRef]
- Rodriguez-Navarro, C.; Cultrone, G.; Sanchez-Navas, A.; Sebastian, E. TEM study of mullite growth after muscotive breakdown. Am. Mineral. 2003, 88, 713–724. [Google Scholar] [CrossRef]
- Chauhan, A. Powder XRD Technique and its Applications in Science and Technology. J. Anal. Bioanal. Tech. 2014, 5, 5. [Google Scholar] [CrossRef]
- Ban, T.; Okada, K. Structure Refinement of Mullite by the Rietveld Method and a New Method for Estimation of Chemical Composition. J. Am. Ceram. Soc. 1992, 75, 227–230. [Google Scholar] [CrossRef]
- Giordano, D.; Russell, J.K.; Dingwell, D.B. Viscosity of magmatic liquids: A model. Earth Planet. Sci. Lett. 2008, 271, 123–134. [Google Scholar] [CrossRef]
- Conte, S.; Zanelli, C.; Ardit, M.; Cruciani, G.; Dondi, M. Predicting viscosity and surface tension at high temperature of porcelain stoneware bodies: A methodological approach. Materials 2018, 11, 2475. [Google Scholar] [CrossRef] [PubMed]
- Vieira, A.W.; De Mello Innocentini, M.D.; Mendes, E.; Gomes, T.; Demarch, A.; Montedo, O.R.K.; Angioletto, E. Comparison of methods for determining the water absorption of glazed porcelain stoneware ceramic tiles. Mater. Res. 2017, 20, 637–643. [Google Scholar] [CrossRef]
- Barrachina, E.; Esquinas, M.; Llop, J.; Notari, M.D.; Carda, J.B. Development of a glass-ceramic glaze formulated from industrial residues to improve the mechanical properties of the porcelain stoneware tiles. Mater. Lett. 2018, 220, 226–228. [Google Scholar] [CrossRef]
- Luo, Y.; Ma, S.; Zheng, S.; Liu, C.; Han, D.; Wang, X. Mullite-based ceramic tiles produced solely from high-alumina fly ash: Preparation and sintering mechanism. J. Alloys Compd. 2018, 732, 828–837. [Google Scholar] [CrossRef]








| Raw Materials (wt.%) | C1 | C2 | C3 | C4 | C5 | C6 |
|---|---|---|---|---|---|---|
| Ukraine Clay | 30 | 25 | 20 | 15 | 10 | / |
| German Clay | 15 | 20 | 20 | 25 | 25 | 30 |
| Turkish Na-Feldspar | 37 | 35 | 30 | 25 | 20 | 20 |
| Italian Clay | / | / | 10 | 15 | 20 | 30 |
| Italian K-Feldspar | 10 | 10 | 10 | 10 | 15 | 15 |
| Italian Feldspar Sand | / | / | 10 | 10 | 10 | 5 |
| Italian Quartz Sand | 8 | 10 | / | / | / | / |
| Extra-EU raw materials (wt.%) | 67 | 60 | 50 | 40 | 30 | 20 |
| Product Life Cycle Stages | Composition | GWP | ODP | AP | EP | POCP | ADPE | ADPF | TOTAL DAMAGE |
|---|---|---|---|---|---|---|---|---|---|
| [kg CO2 eq.] | [kg CFC-11 eq] | [kg SO2 eq.] | [kg (PO4) 3− eq.] | [kg C2H4 eq.] | [kg Sb eq.] | [MJ] | [kPt] | ||
| Raw materials and chemicals sourcing (Modules A1–A2) | C1 | 3.49 | 1.91 × 1015 | 1.95 × 10−2 | 5.51 × 10−3 | 6.23 × 10−4 | 6.84 × 10−5 | 4.49 × 101 | 1.50 × 10−6 |
| C2 | 3.32 | 4.95 × 10−7 | 1.85 × 10−2 | 5.25 × 10−3 | 6.09 × 10−4 | 6.56 × 10−5 | 4.26 × 101 | 1.43 × 10−6 | |
| C3 | 3.05 | 4.62 × 10−7 | 1.65 × 10−2 | 4.74 × 10−3 | 5.63 × 10−3 | 6.37 × 10−5 | 3.95 × 101 | 1.32 × 10−6 | |
| C4 | 2.81 | 4.25 × 10−7 | 1.50 × 10−2 | 4.35 × 10−3 | 5.39 × 10−4 | 6.08 × 10−5 | 3.64 × 101 | 1.22 × 10−6 | |
| C5 | 2.59 | 3.94 × 10−7 | 1.33 × 10−2 | 3.89 × 10−3 | 5.09 × 10−5 | 5.88 × 10−5 | 3.38 × 101 | 1.12 × 10−6 | |
| C6 | 2.32 | 3.53 × 10−7 | 1.15 × 10−2 | 3.41 × 10−3 | 4.80 × 10−4 | 5.60 × 10−5 | 3.05 × 101 | 1.01 × 10−6 | |
| Tiles manufacturing (Modules A3) | C1–C6 | 7.21 | 2.07 × 1015 | 8.34 × 10−3 | 1.71 × 10−3 | 6.68 × 10−4 | 1.03 × 10−5 | 1.10 × 102 | 2.01 × 10−6 |
| Tiles transport and installation (Modules A4–A5) | C1–C6 | 5.75 | 5.48 × 1014 | 2.13 × 10−2 | 4.91 × 10−3 | 1.03 × 10−3 | 7.79 × 10−5 | 5.45 × 101 | 1.93 × 10−6 |
| Tiles use (Modules B1–B7) | C1–C6 | 1.51 | 7.59 × 1014 | 7.57 × 10−3 | 5.81 × 10−3 | 8.08 × 10−4 | 4.47 × 10−5 | 1.80 × 101 | 2.10 × 10−6 |
| Tiles end-of-life | C1–C6 | 0.04 | 1.39 × 1013 | 4.44 × 10−4 | 7.37 × 10−5 | 1.53 × 10−5 | 1.85 × 10−6 | 9.25 × 10−1 | 3.37 × 10−8 |
| Body Composition | Main Mineralogical Phases (wt.%) | |||||
|---|---|---|---|---|---|---|
| Quartz | Kaolinite | Illite/Mica | Plagioclase | K-Feldspar | Calcite | |
| C1 | 27.4 ± 0.2 | 19.1 ± 0.4 | 11.0 ± 0.5 | 38.8 ± 0.3 | 3.2 ± 0.4 | 0.4 ± 0.1 |
| C2 | 30.9 ± 0.2 | 21.9 ± 0.3 | 7.1 ± 0.3 | 36.0 ± 0.3 | 3.7 ± 0.7 | 0.4 ± 0.1 |
| C3 | 36.7 ± 0.2 | 13.1 ± 0.4 | 10.3 ± 0.3 | 38.5 ± 0.3 | 1.4 ± 0.2 | - |
| C4 | 32.3 ± 0.2 | 13.1 ± 0.5 | 16.0 ± 0.6 | 30.8 ± 0.3 | 6.9 ± 0.4 | 0.8 ± 0.1 |
| C5 | 38.9 ± 0.2 | 13.1 ± 0.4 | 12.1 ± 0.4 | 26.1 ± 0.3 | 8.9 ± 0.2 | 0.9 ± 0.1 |
| C6 | 33.4 ± 0.2 | 12.8 ± 0.3 | 16.5 ± 0.3 | 28.4 ± 0.2 | 8.4 ± 0.2 | 0.5 ± 0.1 |
| Oxide (wt.%) | Body Composition | |||||
|---|---|---|---|---|---|---|
| C1 | C2 | C3 | C4 | C5 | C6 | |
| SiO2 | 66.68 | 67.27 | 67.74 | 68.24 | 69.11 | 69.79 |
| Al2O3 | 20.56 | 20.05 | 19.51 | 19.00 | 18.16 | 17.35 |
| Fe2O3 | 0.83 | 0.86 | 0.90 | 0.98 | 1.02 | 1.09 |
| TiO2 | 0.77 | 0.76 | 0.69 | 0.68 | 0.61 | 0.56 |
| MgO | 0.46 | 0.45 | 0.44 | 0.43 | 0.41 | 0.38 |
| CaO | 0.90 | 0.94 | 0.62 | 0.58 | 0.62 | 0.61 |
| Na2O | 4.00 | 3.81 | 3.49 | 3.05 | 2.60 | 2.60 |
| K2O | 1.95 | 1.93 | 2.58 | 2.75 | 3.14 | 3.22 |
| LOI | 3.93 | 4.00 | 4.12 | 4.35 | 4.36 | 4.36 |
| Oxide (wt.%) | C1 | C2 | C3 | C4 | C5 | C6 |
|---|---|---|---|---|---|---|
| SiO2 | 70.8 | 71.7 | 70.0 | 70.1 | 70.1 | 71.2 |
| Al2O3 | 17.3 | 16.2 | 17.5 | 15.8 | 16.0 | 15.4 |
| Fe2O3 | 0.8 | 1.1 | 0.9 | 1.9 | 1.4 | 1.7 |
| TiO2 | 0.8 | 1.1 | 1.0 | 1.0 | 1.0 | 0.8 |
| MgO | 0.4 | 0.6 | 0.4 | 0.7 | 1.0 | 0.6 |
| CaO | 1.2 | 1.2 | 0.7 | 1.6 | 1.9 | 1.0 |
| Na2O | 5.8 | 5.7 | 6.5 | 4.0 | 3.9 | 3.8 |
| K2O | 3.0 | 2.4 | 3.0 | 4.9 | 4.6 | 5.5 |
| Technological Properties | Composition of Ceramic Bodies | |||||
|---|---|---|---|---|---|---|
| C1 | C2 | C3 | C4 | C5 | C6 | |
| Extra-EU raw materials (wt.%) | 63 | 57 | 52 | 42 | 26 | 20 |
| Length (nominal N = 604 mm) | 603.7 ± 0.1 | 601.3 ± 0.1 | 604.6 ± 0.1 | 608.1 ± 0.1 | 605.1 ± 0.1 | 603.2 ± 0.1 |
| Linear shrinkage (%) | 6.55 ± 0.02 | 6.92 ± 0.02 | 6.41 ± 0.02 | 5.87 ± 0.02 | 6.33 ± 0.02 | 6.63 ± 0.02 |
| Dimensional conformity (ISO 10545-2) | N ± 2.0 mm | N ± 2.0 mm | N ± 2.0 mm | N ± 2.0 mm | N ± 2.0 mm | N ± 2.0 mm |
| Water absorption (%) | 0.39 ± 0.01 | 0.18 ± 0.01 | 0.49 ± 0.01 | 0.61 ± 0.01 | 0.52 ± 0.01 | 0.27 ± 0.01 |
| Water absorption conformity (ISO 10545-3) | ≤0.5% | ≤0.5% | ≤0.5% | ≤0.5% | ≤0.5% | ≤0.5% |
| Bending strength (N) | 1749 ± 1 | 1592 ± 1 | 1482 ± 1 | 1420 ± 1 | 1510 ± 1 | 1767 ± 1 |
| Bending strength conformity (ISO 10545-4) | ≥1300 N | ≥1300 N | ≥1300 N | ≥1300 N | ≥1300 N | ≥1300 N |
Publisher’s Note: MDPI stays neutral with regard to jurisdictional claims in published maps and institutional affiliations. |
© 2021 by the authors. Licensee MDPI, Basel, Switzerland. This article is an open access article distributed under the terms and conditions of the Creative Commons Attribution (CC BY) license (https://creativecommons.org/licenses/by/4.0/).
Share and Cite
Vacchi, M.; Siligardi, C.; Cedillo-González, E.I.; Ferrari, A.M.; Settembre-Blundo, D. Industry 4.0 and Smart Data as Enablers of the Circular Economy in Manufacturing: Product Re-Engineering with Circular Eco-Design. Sustainability 2021, 13, 10366. https://doi.org/10.3390/su131810366
Vacchi M, Siligardi C, Cedillo-González EI, Ferrari AM, Settembre-Blundo D. Industry 4.0 and Smart Data as Enablers of the Circular Economy in Manufacturing: Product Re-Engineering with Circular Eco-Design. Sustainability. 2021; 13(18):10366. https://doi.org/10.3390/su131810366
Chicago/Turabian StyleVacchi, Marco, Cristina Siligardi, Erika Iveth Cedillo-González, Anna Maria Ferrari, and Davide Settembre-Blundo. 2021. "Industry 4.0 and Smart Data as Enablers of the Circular Economy in Manufacturing: Product Re-Engineering with Circular Eco-Design" Sustainability 13, no. 18: 10366. https://doi.org/10.3390/su131810366
APA StyleVacchi, M., Siligardi, C., Cedillo-González, E. I., Ferrari, A. M., & Settembre-Blundo, D. (2021). Industry 4.0 and Smart Data as Enablers of the Circular Economy in Manufacturing: Product Re-Engineering with Circular Eco-Design. Sustainability, 13(18), 10366. https://doi.org/10.3390/su131810366

